Modeling and Simulation of Modified MPPT Techniques under Varying Operating Climatic Conditions
Abstract
1. Introduction
2. System Configuration and Models
2.1. Main System Configuration
2.2. Models Specifications
3. MPPT Algorithms
3.1. Issues Related to Conventional P&O and INC Algorithms
3.2. Modified MPPT Algorithms
4. Results and Discussion
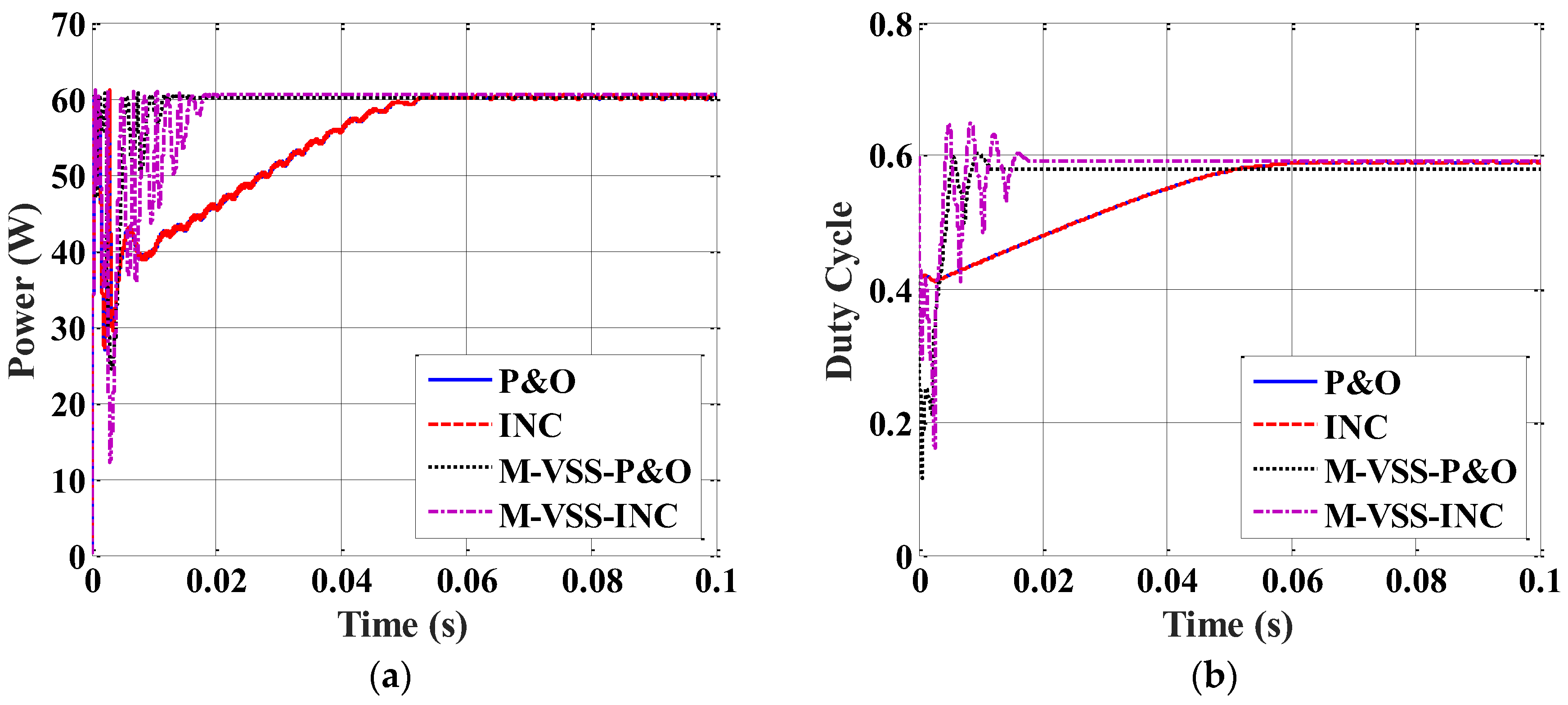
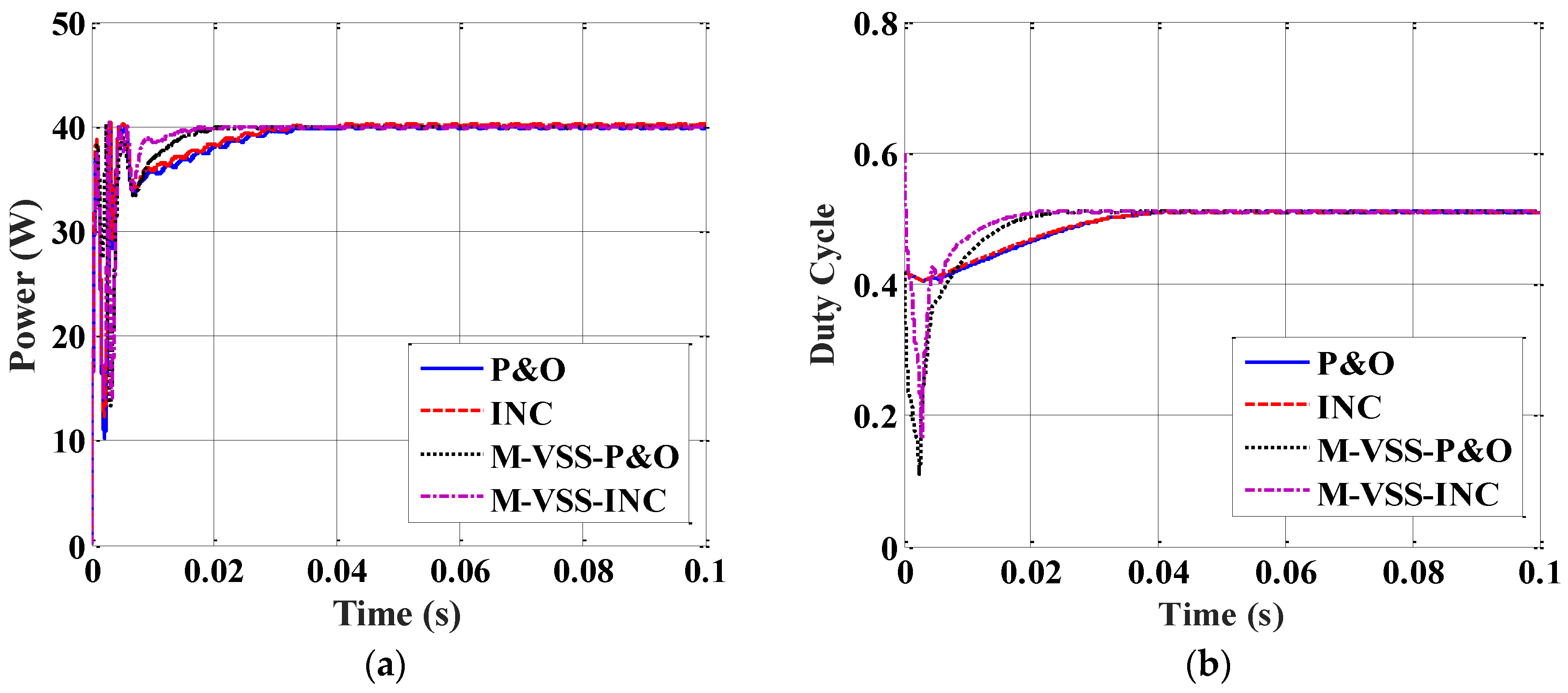
4.1. Test under STC
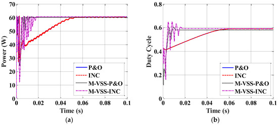
4.2. Test under an Abrupt Variation in Irradiance with Constant STC Temperature
4.3. Test under an Abrupt Variation in Temperature with Constant STC Irradiance
4.4. Test under Ramp Variation in Both Irradiance and Temperature
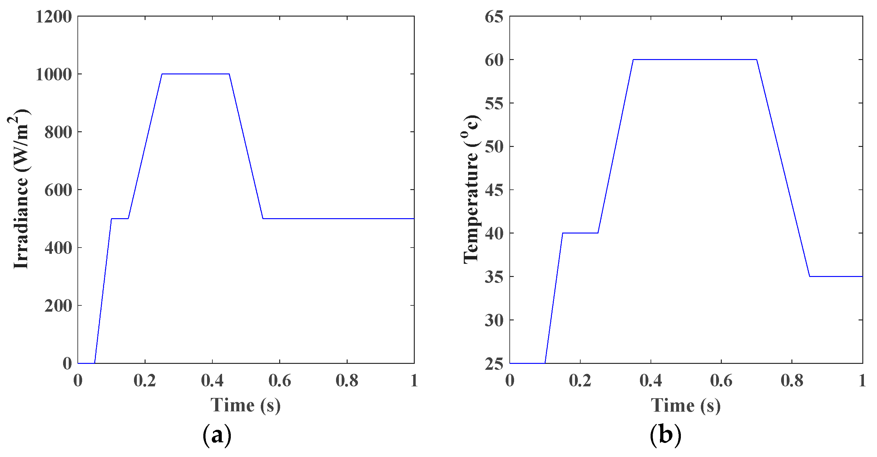
4.5. Test under Real Solar Radiation Measurements
5. Hardware Implementation
6. Conclusions
Supplementary Materials
Author Contributions
Funding
Data Availability Statement
Conflicts of Interest
References
- Pervez, I.; Antoniadis, C.; Massoud, Y. Advanced Limited Search Strategy for Enhancing the Performance of MPPT Algorithms. Energies 2022, 15, 5650. [Google Scholar] [CrossRef]
- Martinez Lopez, V.A.; Žindžiūtė, U.; Ziar, H.; Zeman, M.; Isabella, O. Study on the Effect of Irradiance Variability on the Efficiency of the Perturb-and-Observe Maximum Power Point Tracking Algorithm. Energies 2022, 15, 7562. [Google Scholar] [CrossRef]
- Akram, N.; Khan, L.; Agha, S.; Hafeez, K. Global Maximum Power Point Tracking of Partially Shaded PV System Using Advanced Optimization Techniques. Energies 2022, 15, 4055. [Google Scholar] [CrossRef]
- Marinic-Kragic, I.; Nižetic, S.; Grubišic-Cabo, F.; Papadopoulos, A.M. Analysis of flow separation effect in the case of the free-standing photovoltaic panel exposed to various operating conditions. J. Clean. Prod. 2018, 174, 53–64. [Google Scholar] [CrossRef]
- Motahhir, S.; El Ghzizal, A.; Sebti, S.; Derouich, A. MIL and SIL and PIL tests for MPPT algorithm. Cogent Eng. 2017, 1, 1378475. [Google Scholar] [CrossRef]
- El Hammoumi, A.; Motahhir, S.; Chalh, A.; El Ghzizal, A.; Derouich, A. Low-cost virtual instrumentation of PV panel characteristics using Excel and Arduino in comparison with traditional instrumentation. Renew. Wind WaterSol. 2018, 5, 3. [Google Scholar] [CrossRef]
- Patel, H.; Agarwal, V. MATLAB-Based Modeling to Study the Effects of Partial Shading on PV Array Characteristics. IEEE Trans. Energy Convers. 2008, 23, 302–310. [Google Scholar] [CrossRef]
- Motahhir, S.; El Ghzizal, A.; Sebti, S.; Derouich, A. Proposal and implementation of a novel perturb and observe algorithm using embedded software. In Proceedings of the 3rd International Renewable and Sustainable Energy Conference (IRSEC), Marrakech, Morocco, 10–13 December 2015; pp. 1–5. [Google Scholar]
- Barker, L.; Neber, M.; Lee, H. Design of a low-profile two-axis solar tracker. Sol. Energy 2013, 97, 569–576. [Google Scholar] [CrossRef]
- Rambhowan, Y.; Oree, V. Improving the Dual Axis Solar Tracking System Efficiency via Drive Power Consumption Optimization1. Appl. Sol. Energy 2014, 50, 74–80. [Google Scholar] [CrossRef]
- Visconti, P.; Costantini, P.; Orlando, C.; Lay-Ekuakille, A.; Cavalera, G. Software solution implemented on hardware system to manage and drive multiple bi-axial solar trackers by PC in photovoltaic solar plants. Measurement 2015, 76, 80–92. [Google Scholar]
- Kawamoto, H.; Shibata, T. Electrostatic cleaning system for removal of sand from solar panels. J. Electrost. 2015, 73, 65–70. [Google Scholar] [CrossRef]
- Hafeez, M.A.; Naeem, A.; Akram, M.; Javed, M.Y.; Asghar, A.B.; Wang, Y. A Novel Hybrid MPPT Technique Based on Harris Hawk Optimization (HHO) and Perturb and Observer (P&O) under Partial and Complex Partial Shading Conditions. Energies 2022, 15, 5550. [Google Scholar] [CrossRef]
- Saharia, B.J.; Manas, M.; Talukdar, B.K. Comparative evaluation of photovoltaic MPP trackers: A simulated approach. Cogent Eng. 2016, 3, 1137206. [Google Scholar] [CrossRef]
- Verma, D.; Nema, S.; Shandilya, A.M.; Dash, S.K. Maximum power point tracking (MPPT) techniques: Recapitulation in solar photovoltaic systems. Renew. Sustain. Energy Rev. 2016, 54, 1018–1034. [Google Scholar] [CrossRef]
- El-Khozondar, H.J.; El-Khozondar, R.J.; Matter, K.; Suntio, T. A review study of photovoltaic array maximum power tracking algorithms. Renew. Wind. Water Sol. 2016, 3, 1. [Google Scholar] [CrossRef]
- Gupta, A.; Chauhan, Y.K.; Pachauri, R.K.; Yin, X.; Pickert, V. A comparative investigation of maximum power point tracking methods for solar PV system. Sol. Energy 2016, 136, 236–253. [Google Scholar] [CrossRef]
- Ahmed, J. A fractional open circuit voltage based maximum power point tracker for photovoltaic arrays. In Proceedings of the 2nd International Conference on Software Technology and Engineering (ICSTE), San Juan, PR, USA, 3–5 October 2010; Volume 1, pp. V1–V247. [Google Scholar]
- Sher, H.A.; Murtaza, A.F.; Noman, A.; Addoweesh, K.E.; Chiaberge, M. An intelligent control strategy of fractional short circuit current maximum power point tracking technique for photovoltaic applications. J. Renew. Sustain. Energy 2015, 7, 013114. [Google Scholar] [CrossRef]
- Kottas, T.L.; Boutalis, Y.S.; Karlis, A.D. New maximum power point tracker for PV arrays using fuzzy controller in close cooperation with fuzzy cognitive networks. IEEE Trans. Energy Convers. 2006, 21, 793–803. [Google Scholar] [CrossRef]
- Miloudi, L.; Acheli, D.; Kesraoui, M. Application of Artificial Neural Networks for Forecasting Photovoltaic System Parameters. Appl. Sol. Energy 2017, 53, 85–91. [Google Scholar] [CrossRef]
- Sellami, A.; Kandoussi, K.; El Otmani, R.; Eljouad, M.; Mesbahi, O.; Hajjaji, A. A Novel Auto-Scaling MPPT Algorithm based on Perturb and Observe Method for Photovoltaic Modules under Partial Shading Conditions. Appl. Sol. Energy 2018, 54, 149–158. [Google Scholar] [CrossRef]
- Elgendy, M.A.; Zahawi, B.; Atkinson, D.J. Assessment of Perturb and Observe MPPT Algorithm Implementation Techniques for PV Pumping Applications. IEEE Trans. Sustain. Energy 2012, 3, 21–33. [Google Scholar] [CrossRef]
- Elgendy, M.A.; Zahawi, B.; Atkinson, D.J. Assessment of the Incremental Conductance Maximum Power Point Tracking Algorithm. IEEE Trans. Sustain. Energy 2013, 4, 108–117. [Google Scholar] [CrossRef]
- Khodair, D.; Shaker, A.; El Munim, A.H.E.; Saeed, A.; Abouelatta, M. A Comparative Study Between Modified MPPT Algorithms Using Different Types of Solar Cells. In Proceedings of the 2020 2nd International Conference on Smart Power & Internet Energy Systems (SPIES), Bangkok, Thailand, 15–18 September 2020; pp. 215–218. [Google Scholar] [CrossRef]
- Femia, N.; Granozio, D.; Petrone, G.; Spagnuolo, G.; Vitelli, M. Predictive & Adaptive MPPT Perturb and Observe Method. IEEE Trans. Aerosp. Electron. Syst. 2007, 43, 934–950. [Google Scholar] [CrossRef]
- Piegari, L.; Rizzo, R. Adaptive perturb and observe algorithm for photovoltaic maximum power point tracking. IET Renew. Power Gener. 2010, 4, 317–328. [Google Scholar] [CrossRef]
- Elbaset, A.A.; Ali, H.; Sattar, M.; Khaled, M. Implementation of a modified perturb and observe maximum power point tracking algorithm for photovoltaic system using an embedded microcontroller. IET Renew. Power Gener. 2016, 4, 551–560. [Google Scholar] [CrossRef]
- Motahhir, S.; El Ghzizal, A.; Sebti, S.; Derouich, A. Shading effect to energy withdrawn from the photovoltaic panel and implementation of DMPPT using C language. Int. Rev. Autom. Control. (IREACO) 2016, 2, 88–94. [Google Scholar] [CrossRef]
- Ishaque, K.; Salam, Z.; Lauss, G. The performance of perturb and observe and incremental conductance maximum power point tracking method under dynamic weather conditions. Appl. Energy 2014, 119, 228–236. [Google Scholar] [CrossRef]
- Farayola, A.M.; Hasan, A.N.; Ali, A. Implementation of Modified Incremental Conductance and Fuzzy Logic MPPT Techniques Using MCUK Converter under Various Environmental Condition. Appl. Sol. Energy 2017, 53, 173–184. [Google Scholar] [CrossRef]
- Elbreki, A.M.; Alghoul, M.A.; Al-Shamani, A.N.; Ammar, A.A.; Yegani, B.; Aboghrara, A.M.; Rusaln, M.H.; Sopian, K. The role of climatic-design-operational parameters on combined PV/T collector performance: A critical review. Renew. Sustain. Energy Rev. 2016, 57, 602–647. [Google Scholar] [CrossRef]
- Matlab. Version 9.11 (R2021b); The MathWorks Inc.: Natick, MA, USA, 2021. [Google Scholar]
- Motahhir, S.; Chalh, A.; Ghzizal, A.; Sebti, S.; Derouich, A. Modeling of photovoltaic panel by using proteus. J. Eng. Sci. Technol. Rev. 2017, 10, 8–13. [Google Scholar] [CrossRef]
- Mukti, R.; Islam, A. Modeling and Performance Analysis of PV Module with Maximum Power Point Tracking in Matlab/Simulink. Appl. Sol. Energy 2015, 51, 245–252. [Google Scholar] [CrossRef]
- Ayop, R.; Tan, C.W. Design of boost converter based on maximum power point resistance for photovoltaic applications. Sol. Energy 2018, 160, 322–335. [Google Scholar] [CrossRef]
- Al-Diab, A.; Sourkounis, S. Variable step size P&O MPPT algorithm for PV systems. In Proceedings of the International Conference on Optimization of Electrical and electronic Equipment, Brasov, Romania, 20–22 May 2010. [Google Scholar]
- Zakzouk, N.E.; Elsaharty, M.A.; Abdelsalam, A.K.; Helal, A.A.; Williams, B.W. Improved performance low-cost incremental conductance PV MPPT technique. IET Renew. Power Gener. 2016, 10, 561–574. [Google Scholar] [CrossRef]
- Zhang, L.; Yu, S.S.; Fernando, T.; Ho-Ching IU, H.; Wong, K.P. An online maximum power point capturing technique for high efficiency power generation of solar photovoltaic systems. J. Mod. Power Syst. Clean Energy 2019, 2, 357–368. [Google Scholar] [CrossRef]
- Wang, Y.; Yang, Y.; Fang, G.; Zhang, B.; Wen, H.; Tang, H.; Fu, L.; Chen, X. An advanced Maximum Power Point Tracking Method for Photovoltaic Systems by Using Variable Universe Fuzzy Logic Control Considering Temperature Variability. Electronics 2018, 7, 355. [Google Scholar] [CrossRef]
- Hassan, M.A.; Khalil, A.; Kaseb, S.; Kassem, M.A. Machine Learning Models for Generating Synthetic Solar Radiation Data at Cairo, Egypt; Mendeley Data: Amsterdam, The Netherlands, 2017. [Google Scholar] [CrossRef]
- Mahmod, A.N.; Mohd, M.A.; Azis, N.; Shafie, S.; Atiqi, M.A. An enhanced adaptive perturb and observe technique for efficient maximum power point tracking under partial shading conditions. Appl. Sci. 2020, 10, 3912. [Google Scholar] [CrossRef]
- Belkaid, A.; Colak, I.; Isik, O. Photovoltaic maximum power point tracking under fast varying of solar radiation. Appl. Energy 2016, 179, 523–530. [Google Scholar] [CrossRef]
- Sher, H.A.; Murtaza, A.F.; Noman, A.; Addoweesh, K.E.; Al-Haddad, K.; Chiaberge, M. A new sensorless hybrid MPPT algorithm based on fractional short-circuit current measurement and P&O MPPT. IEEE Trans. Sustain. Energy 2015, 6, 1426–1434. [Google Scholar]
- Sekhar, P.C.; Mishra, S. Takagi–Sugeno fuzzy-based incremental conductance algorithm for maximum power point tracking of a photovoltaic generating system. IET Renew. Power Gener. 2014, 8, 900–914. [Google Scholar] [CrossRef]
- Kaced, K.; Larbes, C.; Ramzan, N.; Bounabi, M.; Dahmane, Z. Bat algorithm based maximum power point tracking for photovoltaic system under partial shading conditions. Sol. Energy 2017, 158, 490–503. [Google Scholar] [CrossRef]




















| Parameter | Definition | Value |
|---|---|---|
| L | Inductor | 3 mH |
| C1 | Input capacitor | 100 μF |
| C2 | Output capacitor | 100 μF |
| Parameter | Definition | Polycrystalline MSX60 | Thin Film ST40 |
|---|---|---|---|
| Voc (V) | Open-Circuit voltage | 21.1 | 23.3 |
| Isc (A) | Short-Circuit current | 3.80 | 2.68 |
| Vmp (V) | Voltage at MPP | 17.1 | 16.6 |
| Imp (A) | Current at MPP | 3.5 | 2.41 |
| Kv (V/°C) | Temperature coefficient of the Voc | −0.08 | −0.1 |
| Ki (A/°C) | Temperature coefficient of the Isc | 0.00300 | 0.00035 |
| Ns | Number of cells per module | 36 | 36 |
| Module | MPPT Algorithm | MPP (W) | Power (W) | Tracking Time (ms) | Oscillations (W) | Eff. (%) |
|---|---|---|---|---|---|---|
| MSX60 | P&O | 60.53 | 60.15 | 54.76 | 0.52 | 99.37 |
| INC | 60.53 | 60.15 | 54.76 | 0.52 | 99.37 | |
| M-VSS-P&O | 60.53 | 60.15 | 16.34 | Neglected | 99.37 | |
| M-VSS-INC | 60.53 | 60.53 | 18.22 | Neglected | 100 | |
| ST40 | P&O | 40.006 | 34.19 | 34.19 | 0.21 | 99.78 |
| INC | 40.006 | 33.71 | 33.71 | 0.15 | 100 | |
| M-VSS-P&O | 40.006 | 26.21 | 26.21 | 0.1 | 100 | |
| M-VSS-INC | 40.006 | 23.02 | 23.02 | 0.1 | 100 |
| MPPT Technique | PV Panel | Oscillation Level (W) | Eff. (%) | Response Time during Sudden Changes in Irradiance | Complexity | Cost | REF |
|---|---|---|---|---|---|---|---|
| M-VSS-P&O | MSX60 | Neglected | 99.37 | Very fast | Simple | Medium | Our Work |
| M-VSS-INC | MSX60 | Neglected | 100 | Very fast | Simple | Medium | Our Work |
| Modified INC | MSX60 | 1 | 96.50 | Fast | Simple | Medium | [43] |
| Fractional Short-Circuit and P&O | PB-115 | Neglected | 97.56 | Fast | Medium | Medium | [44] |
| Fuzzy INC | NA | 1 | 97.50 | Medium | Complex | Expensive | [45] |
| PSO | SM55 | Neglected | 99.90 | Very fast | Complex | Very Expensive | [46] |
Disclaimer/Publisher’s Note: The statements, opinions and data contained in all publications are solely those of the individual author(s) and contributor(s) and not of MDPI and/or the editor(s). MDPI and/or the editor(s) disclaim responsibility for any injury to people or property resulting from any ideas, methods, instructions or products referred to in the content. |
© 2023 by the authors. Licensee MDPI, Basel, Switzerland. This article is an open access article distributed under the terms and conditions of the Creative Commons Attribution (CC BY) license (https://creativecommons.org/licenses/by/4.0/).
Share and Cite
Khodair, D.; Motahhir, S.; Mostafa, H.H.; Shaker, A.; Munim, H.A.E.; Abouelatta, M.; Saeed, A. Modeling and Simulation of Modified MPPT Techniques under Varying Operating Climatic Conditions. Energies 2023, 16, 549. https://doi.org/10.3390/en16010549
Khodair D, Motahhir S, Mostafa HH, Shaker A, Munim HAE, Abouelatta M, Saeed A. Modeling and Simulation of Modified MPPT Techniques under Varying Operating Climatic Conditions. Energies. 2023; 16(1):549. https://doi.org/10.3390/en16010549
Chicago/Turabian StyleKhodair, Doaa, Saad Motahhir, Hazem H. Mostafa, Ahmed Shaker, Hossam Abd El Munim, Mohamed Abouelatta, and Ahmed Saeed. 2023. "Modeling and Simulation of Modified MPPT Techniques under Varying Operating Climatic Conditions" Energies 16, no. 1: 549. https://doi.org/10.3390/en16010549
APA StyleKhodair, D., Motahhir, S., Mostafa, H. H., Shaker, A., Munim, H. A. E., Abouelatta, M., & Saeed, A. (2023). Modeling and Simulation of Modified MPPT Techniques under Varying Operating Climatic Conditions. Energies, 16(1), 549. https://doi.org/10.3390/en16010549

