Research on Improving Denoising Performance of ROI Computer Vision Method for Transmission Tower Displacement Identification
Abstract
1. Introduction
2. ROI Key Point Method
2.1. Extraction of the Region of Interest
2.2. Corner Detection
2.3. Coordinate Conversion
3. Research on Image Denoising Method
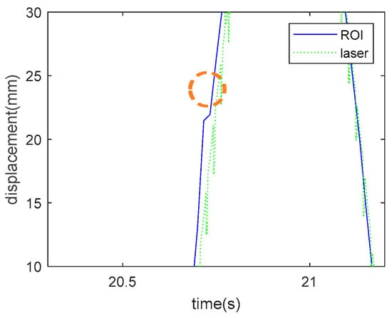
3.1. Experimental Design
3.2. Main Sources of Errors
3.3. Subpixel Corner Point Detection
3.4. Histogram Equalization
3.5. Expansion + Erosion
4. Combined Application of Noise-Resistance Methods
5. Conclusions
Author Contributions
Funding
Data Availability Statement
Conflicts of Interest
References
- Fei, Q.; Zhou, H.; Han, X.; Wang, J. Structural health monitoring ori ented stability and dynamic analysis of a long-span transmission tower-line system. Eng. Fail. Anal. 2012, 20, 80–87. [Google Scholar] [CrossRef]
- Cao, S. Damage Analysis of Transmission Tower Based on Structural Health Monitoring System. Master’s Thesis, North China Electric Power University (Beijing), Beijing, China, 2016. [Google Scholar]
- Zhang, S. Identification and Application of Vibration Displacement Response of Transmission Tower Structure Based on Central Frame Difference Method. Master’s Thesis, Northeast Forestry University, Harbin, China, 2021. [Google Scholar]
- Ye, X.W.; Dong, C.Z.; Liu, T. A Review of Machine Vision-Based Structural Health Monitoring, Methodologies and Applications. J. Sens. 2016, 2016, 7103039. [Google Scholar] [CrossRef]
- Sabato, A.; Niezrecki, C.; Fortino, G. Wireless MEMS-Based Accelerometer Sensor Boards for Structural Vibration Monitoring, A Review. IEEE Sens. J. 2017, 17, 226–235. [Google Scholar] [CrossRef]
- Kim, H.; Sim, S.H.; Spencer, B.F. Automated concrete crack evaluation using stereo vision with two different focal lengths. Autom. Constr. 2022, 135, 104136. [Google Scholar] [CrossRef]
- Huang, Y.; Zhang, H.; Li, H.; Wu, S. Recovering compressed images for automatic crack segmentation using generative models. Mech. Syst. Signal Process. 2021, 146, 107061. [Google Scholar] [CrossRef]
- Wang, F.; Liu, Y. A mechanism-based simulation algorithm for crack propagation in non-uniform geomaterials. Comput. Geotech. 2022, 151, 104994. [Google Scholar] [CrossRef]
- Satoshi, S.; Keiichi, A.B. Topological structural analysis of digitized binary images by border following. Comput. Vis. Graph. Image Process. 1985, 30, 32–46. [Google Scholar]
- Gueguen, L.; Pesaresi, M. Multi scale Harris corner detector based on Differential Morphological Decomposition. Pattern Recognit. Lett. 2011, 32, 1714–1719. [Google Scholar] [CrossRef]
- Ming, Y.; Huang, Y.; Liu, G. Simulation of Video Image Subpixel Corner Detection Based on Iterative Correction. Comput. Simul. 2021, 38, 450–453. [Google Scholar]
- Qi, X. Application Research on Uncertain Information for Image Noise Processing. Ph.D. Thesis, Shandong University, Jinan, China, 2018. [Google Scholar]
- Yan, H.; Deng, X. Application of median filter in digital image denoising. Comput. Era 2020, 2, 47–49. [Google Scholar]
- Zhao, B.; Zhang, L.; Pan, Z.; Wang, R.; Guo, Y. Comparation of OpenCV-based Image Filtering Methods. China Comput. Commun. 2020, 32, 78–80. [Google Scholar]
- Liu, Q. Research on Denoising, Sharping and Color Enhancement about Digital Image Enhancement. Ph.D. Thesis, Zhejiang University, Hangzhou, China, 2016. [Google Scholar]
- Deng, Z.; Huang, Y. Fast algorithm of dilation and erosion for binary image. Comput. Eng. Appl. 2017, 53, 207–211. [Google Scholar]
- Tian, Q. Research on Image Denoising Based on Deep Learning. Master’s Thesis, Changchun University of Science and Technology, Changchun, China, 2021. [Google Scholar]
- Chen, Y. Gray Image Histogram Equalization Processing Research. Master’s Thesis, Anhui University, Hefei, China, 2014. [Google Scholar]
- Zhang, C. Image Denoising Research under Extremely Low Light Scenes. Master’s Thesis, Zhejiang University, Hangzhou, China, 2020. [Google Scholar]
- Bi, X.; Qiu, Y.; Xiao, B.; Li, W.; Ma, J. Histogram Equalization Detection Based on Statistical Features in Digital Image. Chin. J. Comput. 2021, 44, 292–303. [Google Scholar]
- Li, Z.; Che, W.; Qian, M.; Xu, X. An Improved Image Defogging Algorithm Based on Histogram Equalization. Henan Sci. 2021, 39, 1–6. [Google Scholar]
- Huang, W.; Hu, X. An Improved Calibration Algorithm of Monocular Camera Based on Zhang’s Plane Calibration Method. Navig. Control 2019, 18, 105–111. [Google Scholar]













| Noise | Classification | ||||
|---|---|---|---|---|---|
| No noise | No treatment | 3.11 | 5.62 | 0.86 | 0.99 |
| Histogram equalization | 2.79 | 4.85 | 0.85 | 0.99 | |
| No treatment | 45.46 | 1786.30 | 0.12 | 0.23 | |
| Histogram equalization | 3.62 | 8.06 | 0.74 | 0.97 |
| Noise | Classification | Emae (mm) | Emse (mm) | σ5 | σ10 |
|---|---|---|---|---|---|
| no noise | expansion + corrosion | 2.90 | 5.25 | 0.86 | 0.99 |
| median filtering + sharpening | 2.95 | 6.29 | 0.82 | 0.98 | |
| σ = 0.05 | expansion + corrosion | 3.09 | 6.62 | 0.81 | 0.96 |
| median filtering + sharpening | 4.26 | 8.62 | 0.75 | 0.92 |
| Noise | Emae (mm) | Emse (mm) | σ5 | σ10 | t (s/Frame) |
|---|---|---|---|---|---|
| no noise | 2.79 | 4.85 | 0.85 | 0.99 | 0.16 |
| σ = 0.05 | 3.62 | 8.06 | 0.74 | 0.97 | 0.32 |
| σ = 0.10 | 4.26 | 9.13 | 0.72 | 0.92 | 0.60 |
| σ = 0.15 | 6.26 | 11.08 | 0.69 | 0.89 | 0.71 |
| σ = 0.20 | 52.10 | 1914.50 | 0.12 | 0.20 | 0.72 |
| σ = 0.05 (CNN) | 4.69 | 9.04 | 0.71 | 0.93 | \ |
| σ = 0.10 (CNN) | 6.21 | 10.58 | 0.67 | 0.87 | \ |
| σ = 0.15 (CNN) | 7.52 | 12.36 | 0.65 | 0.81 | \ |
| σ = 0.20 (CNN) | 12.35 | 18.25 | 0.42 | 0.51 | \ |
Disclaimer/Publisher’s Note: The statements, opinions and data contained in all publications are solely those of the individual author(s) and contributor(s) and not of MDPI and/or the editor(s). MDPI and/or the editor(s) disclaim responsibility for any injury to people or property resulting from any ideas, methods, instructions or products referred to in the content. |
© 2023 by the authors. Licensee MDPI, Basel, Switzerland. This article is an open access article distributed under the terms and conditions of the Creative Commons Attribution (CC BY) license (https://creativecommons.org/licenses/by/4.0/).
Share and Cite
Zhang, K.; Liu, J.; Li, Y.; Sun, C.; Zhang, L. Research on Improving Denoising Performance of ROI Computer Vision Method for Transmission Tower Displacement Identification. Energies 2023, 16, 539. https://doi.org/10.3390/en16010539
Zhang K, Liu J, Li Y, Sun C, Zhang L. Research on Improving Denoising Performance of ROI Computer Vision Method for Transmission Tower Displacement Identification. Energies. 2023; 16(1):539. https://doi.org/10.3390/en16010539
Chicago/Turabian StyleZhang, Kai, Jiahao Liu, Yuxue Li, Chao Sun, and Laiyi Zhang. 2023. "Research on Improving Denoising Performance of ROI Computer Vision Method for Transmission Tower Displacement Identification" Energies 16, no. 1: 539. https://doi.org/10.3390/en16010539
APA StyleZhang, K., Liu, J., Li, Y., Sun, C., & Zhang, L. (2023). Research on Improving Denoising Performance of ROI Computer Vision Method for Transmission Tower Displacement Identification. Energies, 16(1), 539. https://doi.org/10.3390/en16010539

