Design of a 2DOF-PID Control Scheme for Frequency/Power Regulation in a Two-Area Power System Using Dragonfly Algorithm with Integral-Based Weighted Goal Objective
Abstract
1. Introduction
- i.
- Design and implementation a 2-DOF-PID control scheme for power/frequency control of two-area interconnected electric power system.
- ii.
- Design and implementation of a novel IB-WGFF to tune the 2DOF-PID controller parameters using the DA and GA.
- iii.
- Demonstrate the superiority of the proposed scheme by comparing the results with those obtained using the frequently published fitness-based controllers.
- iv.
- Verifying the stability, efficacy, and robustness of the proposed approach under load disturbances and parameter perturbations under the same proposed control scheme.
2. Complete System Modeling
2.1. DOF-PID Controller Modelling
3. Dragonfly Algorithm (DA)
3.1. Separation (SI)
3.2. Alignment (AI)
3.3. Cohesion (CI)
3.4. Attraction of Food (AFI)
3.5. Enemy (EI)
4. Proposed Control Objective and Optimal Tuning of the 2DOF-PID Controller
4.1. Proposed Objective Function Formulation
4.2. Proposed Integral-Based Weighted Goal Fitness Function (IB-WGFF)
4.3. Implementation of the Proposed DA-2DOF-PID Controller
4.4. Implementation of the GA-2DOF-PID Controller
5. Results and Discussion
5.1. System Dynamic using 2-DOF-PID Controllers Tuned Conventionally
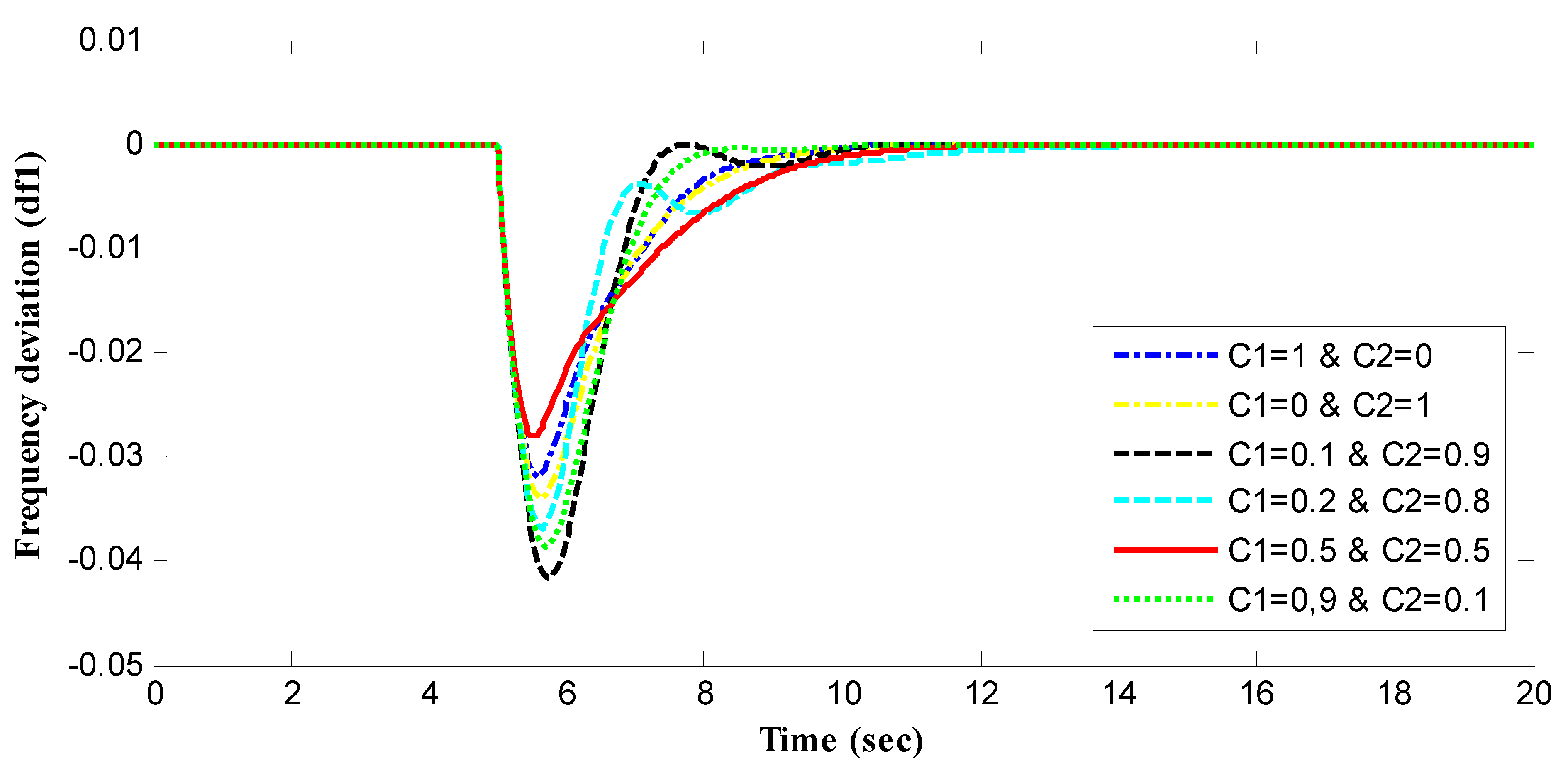
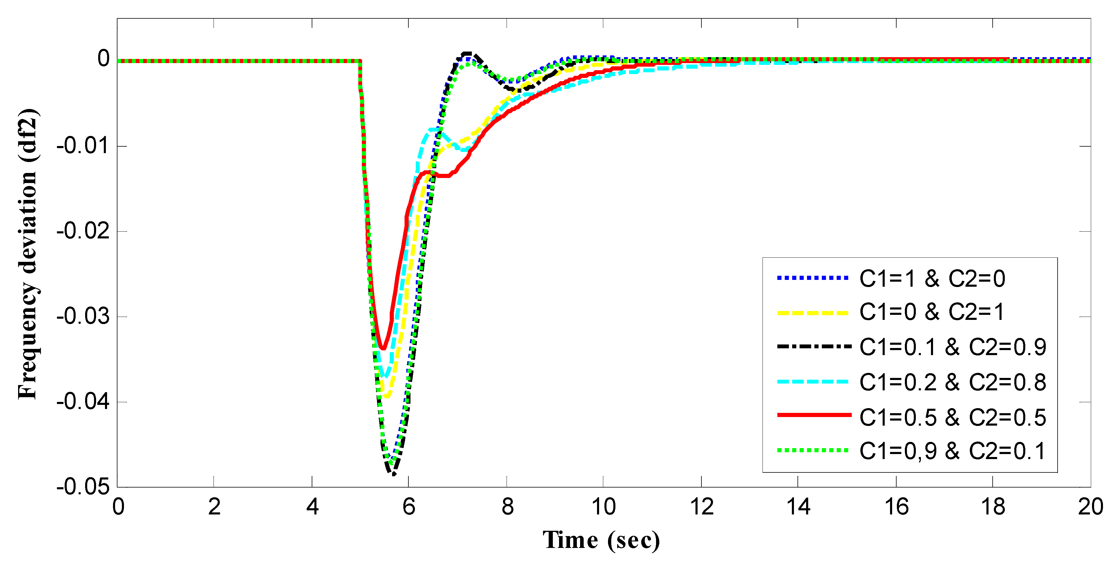
5.2. Results using DA with the Proposed IB-WGFF
5.3. Results Implementing Different Performance Indices in Literature
5.4. Comparison with Different Controllers
5.5. Comparison with GA
6. Verification of the Proposed Control Scheme
6.1. Parameters Perturbations
6.2. The Impact of the Parameters Perturbations
6.3. Effect of Parameter Variation on System Response
6.4. Disturbance Load
7. Conclusions
Author Contributions
Funding
Data Availability Statement
Conflicts of Interest
References
- Essiet, I.O.; Sun, Y.; Wang, Z. Optimized energy consumption model for smart home using improved differential evolution algorithm. Energy 2019, 172, 354–3651. [Google Scholar] [CrossRef]
- Tungadio, D.H.; Bansal, R.C.; Siti, M.W. Energy flow estimation-control of two interconnected microgrid. J. Energy S. Afr. 2008, 29, 69–80. [Google Scholar] [CrossRef]
- Barakat, M. Novel chaos game optimization tuned-fractional-order PID fractional-order PI controller for load–frequency control of interconnected power systems. Prot. Control Mod. Power Syst. 2022, 7, 16. [Google Scholar] [CrossRef]
- Kumar, N.; Malik, H.; Singh, A.; Alotaibi, M.A.; Nassar, M.E. Novel Neural Network-Based Load Frequency Control Scheme: A Case Study of Restructured Power System. IEEE Access 2021, 9, 162231–162242. [Google Scholar] [CrossRef]
- Saxena, S. Load frequency control strategy via fractional order controller and reduced-order modeling. Int. J. Electr. Power Energy Syst. 2019, 104, 603–6014. [Google Scholar] [CrossRef]
- Barakat, M.; Donkol, A.; Hamed, H.F.A.; Salama, G.M. Harris Hawks-Based optimization algorithm for automatic LFC of the interconnected power system using PD-PI cascade control. J. Electr. Eng. Technol. 2021, 16, 1845–1865. [Google Scholar] [CrossRef]
- Lu, K.-D.; Zeng, G.-Q.; Zhou, W. Adaptive constrained population external optimisation-based robust proportional-integral-derivation frequency control method for an islanded microgrid. IET Cyber Syst. Robot. 2021, 3, 210–227. [Google Scholar] [CrossRef]
- Hossain, S.A.; Roy, S.; Karmaker, A.; Islam, R. Performance improvement of PID controller for AVR system using Particle Swarm Optimization. In Proceedings of the 2015 International Conference on Advances in Electrical Engineering (ICAEE), Dhaka, Bangladesh, 17–19 December 2015. [Google Scholar]
- Abdelaziz, A.Y.; Ali, E.S. Load Frequency Controller Design via Artificial Cuckoo Search. Electr. Power Compon. Syst. 2016, 44, 90–98. [Google Scholar] [CrossRef]
- Fathy, A.; Kassem, A.M.; Abdelaziz, A.Y. Optimal Design of Fuzzy-PID Controller for Deregulated LFC of Multi-Area Power System via Mine Blast Algorithm. Neural Comput. Appl. 2020, 32, 4531–4551. [Google Scholar] [CrossRef]
- Ebrahim, M.A.; Becherif, M.; Abdelaziz, A.Y. PID/FOPID-based Frequency control of zero-carbon multi-sources based interconnected power systems under deregulated scenarios. Int. Trans. Electr. Energy Syst. 2021, 31, e12712. [Google Scholar] [CrossRef]
- Praveena, P.; Shubhanka, H.S.; Neha, V.; Prasath, P.; Veda, G.S. Load Frequency Control of Single Area System Using Ziegler-Nichols and Genetic Algorithm. Asian J. Electr. Sci. 2019, 8, 62–64. [Google Scholar] [CrossRef]
- Kouba, N.E.Y.; Menaa, M.; Hasni, M.; Boudour, M. Optimal control of frequency and voltage variations using PID controller based on Particle Swarm Optimization. In Proceedings of the 2015 4th International Conference on Systems and Control (ICSC), Sousse, Tunisia, 27–30 April 2015; pp. 424–429. [Google Scholar]
- Arya, Y. AGC of two-area electric power systems using optimized fuzzy PID with filter plus double integral controller. J. Frankl. Inst. 2018, 355, 4583–4617. [Google Scholar] [CrossRef]
- Gupta, D.; Goyal, G.; Kumar, J. An Optimized Fractional Order PID Controller for Integrated Power System. In ICICCT 2019—System Reliability, Quality Control, Safety, Maintenance and Management, Proceedings of the ICICCT 2019 International Conference on Intelligent Computing and Communication Technologies, Hyderabad, India, 9–11 January 1019; Gunjan, V.K., Diaz, V.G., Cardona, M., Solanki, V.K., Sunitha, K.V.N., Eds.; Springer: Singapore, 2019; pp. 663–672. [Google Scholar]
- Lamba, R.; Singla, S.K.; Sondhi, S. Design of Fractional Order PID Controller for Load Frequency Control in Perturbed Two Area Interconnected System. Electr. Power Compon. Syst. 2019, 47, 998–1011. [Google Scholar] [CrossRef]
- Singh, R.; Kesarwani, S.K.; Gupta, N.K.; Ashfaq, H. Design of 2-DOF PID Controller for Load Frequency Control of Two Area Power System using MFO Algorithm. Int. J. Eng. Adv. Technol. 2020, 9, 158–161. [Google Scholar] [CrossRef]
- Karanam, A.N.; Shaw, B. A new two-degree of freedom combined PID controller for automatic generation control of a wind integrated interconnected power system. Prot. Control Mod. Power Syst. 2022, 7, 20. [Google Scholar] [CrossRef]
- Kouba, N.E.Y.; Menaa, M.; Hasni, M.; Boudour, M. A Novel Optimal Combined Fuzzy PID Controller Employing Dragonfly Algorithm for Solving Automatic Generation Control Problem. Electr. Power Compon. Syst. 2018, 46, 2054–2070. [Google Scholar] [CrossRef]
- Guha, D.; Roy, P.K.; Banerjee, S. Quasi-oppositional JAYA optimized 2-degree-of-freedom PID controller for load-frequency control of interconnected power systems. Int. J. Model. Simul. 2022, 42, 63–85. [Google Scholar] [CrossRef]
- Hassan, A.; Aly, M.; Elmelegi, A.; Nasrat, L.; Watanabe, M.; Mohamed, E.A. Optimal Frequency Control of Multi-Area Hybrid Power System Using New Cascaded TID-PIλDμN Controller Incorporating Electric Vehicles. Fractal Fract. 2022, 6, 548. [Google Scholar] [CrossRef]
- Gheisarnejad, M. An effective hybrid harmony search and cuckoo optimization algorithm based fuzzy PID controller for load frequency control. Appl. Soft Comput. 2018, 65, 121–138. [Google Scholar] [CrossRef]
- Barakat, M. Optimal design of fuzzy-PID controller for automatic generation control of multi-source interconnected power system. Neural Comput. Appl. 2022, 34, 18859–18880. [Google Scholar] [CrossRef]
- Alhalabi, M.; Rashed, A.; Barham, Y.; Salim, R.; Ghazal, M. Two-Area Load Frequency Control for Power System Dynamic Performance Enhancement with a Graphical User Interface Integration. In Proceedings of the 2022 International Conference on Electrical, Computer and Energy Technologies (ICECET), Prague, Czech Republic, 20–22 July 2022. [Google Scholar]
- Sahu, R.K.; Panda, S.; Padhanm, S. A novel hybrid gravitational search and pattern search algorithm for load frequency control of nonlinear power system. Appl. Soft Comput. 2015, 29, 310–327. [Google Scholar] [CrossRef]
- Gbadega, P.A.; Saha, A.K. Load Frequency Control of a Two-Area Power System with a Stand-Alone Microgrid Based on Adaptive Model Predictive Control. IEEE J. Emerg. Sel. Top. Power Electron. 2021, 9, 7253–7263. [Google Scholar] [CrossRef]
- Alaa Abdel-hamed, M.; Abou El-Eyoun, K.M.; Amged El-Wakeel, S. Optimized Control Scheme for Frequency/Power Regulation of Microgrid for Fault Tolerant operation. Electr. Power Compon. Syst. 2016, 44, 1429–1440. [Google Scholar] [CrossRef]
- Tripathy, D.; Choudhury, N.D.; Sahu, B. Comparative performance assessment of several Fractional Order -Two Degree Freedom controllers tuned using GOA for LFC. Procedia Comput. Sci. 2020, 167, 2022–2032. [Google Scholar] [CrossRef]
- Azzini, I.; Muresano, R.; Ratto, M. Dragonfly: A multi-platform parallel toolbox for MATLAB/Octave computer Languages. Syst. Struct. 2018, 52, 21–42. [Google Scholar]
- Mirjalili, S. Dragonfly algorithm: A new meta-heuristic optimization technique for solving single-objective, discrete, and multiobjective problems. Neural Comput. Appl. 2015, 27, 1053–1073. [Google Scholar] [CrossRef]
- Venkatesh, M.; Sudheer, G. Optimal Load Frequency Regulation of Micro-Grid Using Dragonfly Algorithm. Int. Res. J. Eng. Technol. 2017, 4, 978–981. [Google Scholar]
- Gheisarnejad, M.; Khooban, M.H. Design an optimal fuzzy fractional proportional integral derivative controller with derivative filter for load frequency control in power systems. Trans. Inst. Meas. Control 2019, 4, 2563–2581. [Google Scholar] [CrossRef]
- Fathy, A.; Yousri, D.; Rezk, H.; Thanikanti, S.B.; Hasanien, H.M. A Robust Fractional-Order PID Controller Based Load Frequency Control Using Modified Hunger Games Search Optimizer. Energies 2022, 15, 361. [Google Scholar] [CrossRef]
- Rabindra, K.S.; Tulasichandra, S.G.; Sidhartha, P. Automatic generation control of multi-area power systems with diverse energy sources using Teaching Learning Based Optimization algorithm. Eng. Sci. Technol. Int. J. 2016, 19, 113–134. [Google Scholar]
- Ali, T.; Malik, S.A.; Hameed, I.A.; Daraz, A.; Mujlid, H.; Azar, A.T. Load Frequency Control and Automatic Voltage Regulation in a Multi-Area Interconnected Power System Using Nature-Inspired Computation-Based Control Methodology. Sustainability 2022, 14, 12162. [Google Scholar] [CrossRef]
- Elwakel, A.S.; Ellissy, A.; Abdelhamed, A.M. A Hybrid Bacterial Foraging-Particle Swarm Optimization Technique for Optimal Tuning of Proportional-Integral-Derivative Controller of a Permanent Magnet Brushless DC Motor. Electr. Power Compon. Syst. 2015, 3, 309–319. [Google Scholar] [CrossRef]
- Cam, E.; Gorel, G.; Mamur, H. Use of the Genetic Algorithm-Based Fuzzy Logic Controller for Load-Frequency Control in a Two Area Interconnected Power System. Appl. Sci. 2017, 7, 308. [Google Scholar] [CrossRef]






































| Parameters | Values | Parameters | Values | Parameters | Values |
|---|---|---|---|---|---|
| R1 | 2.4 | D2 | 0.90 | B1 | 20.1 |
| D1 | −0.60 | H2 | 4.0 | T12 | 0.545 |
| H1 | 5.0 | Tg2 | 0.30 | R2 | 0.0625 |
| Tg1 | 0.20 | Tt2 | 0.60 | Kg | 1.0 |
| Tt1 | 0.50 | B2 | 16.90 | Kt | 1.0 |
| Parameters | Values |
|---|---|
| Population Size | 50 |
| Number of iterations | 30 |
| A, Separation weighted coefficients, | 0.25 |
| B, Alignment weighted coefficients | 0.15 |
| C, Cohesion weighted coefficients | 0.96 |
| D, Food weighted coefficients | 0.6 |
| E, is the enemy factor | 1 |
| , inertial weighted coefficient | [0.25, 95] |
| Parameters | Values |
|---|---|
| population size | 50 |
| Number of generations | 30 |
| Acceleration constant, C1 | 0.5 |
| Acceleration constant, C2 | 1.5 |
| Initial inertia weight, wmax | 0.9 |
| Final inertia weight, wmin | 0.4 |
| FO-PID Parameters | DW | Seeking Time | ||||
|---|---|---|---|---|---|---|
| Area 1 | 0.9213 | 0.7024 | 0.8312 | 0.9034 | 0.4434 | Very large time |
| Area 2 | 0.8324 | 0.7034 | 0.5354 | 0.6015 | 0.6415 |
| Parameters | 2-DOF PID Controller (AREA 1) | 2-DOF PID Controller (AREA 2) | Fitness Function | ||||||||
|---|---|---|---|---|---|---|---|---|---|---|---|
| C1 and C2 | Kp | Ki | Kd | PW | DW | Kp | Ki | Kd | PW | DW | Value |
| 0 and 1 | 1.0000 | 0.8624 | 0.6317 | 1.7320 | 1.1800 | 0.7505 | 1.0000 | 0.6840 | 1.6648 | 1.7315 | 0.106046 |
| 0.1 and 0.9 | 1.0000 | 0.8528 | 0.4163 | 1.5577 | 1.0554 | 0.6907 | 0.9610 | 0.5588 | 1.4008 | 1.2963 | 0.250180 |
| 0.2 and 0.8 | 1.0000 | 0.8291 | 0.2698 | 2.0000 | 2.0000 | 1.0000 | 1.0000 | 0.6349 | 1.7490 | 2.0000 | 0.262111 |
| 0.3 and 0.7 | 1.0000 | 0.8614 | 0.8169 | 2.0000 | 1.3534 | 0.9115 | 1.0000 | 0.83141 | 1.70759 | 2.0000 | 0.278407 |
| 0.4 and 0.6 | 1.0000 | 0.8712 | 0.4138 | 1.9143 | 1.5160 | 0.7819 | 1.0000 | 0.9755 | 1.8252 | 1.0090 | 0.352105 |
| 0.5 and 0.5 | 1.0000 | 0.8680 | 0.9555 | 1.8034 | 0.8308 | 1.0000 | 1.0000 | 0.6134 | 1.2911 | 2.0000 | 0.399303 |
| 0.6 and 0.4 | 0.9910 | 0.8759 | 0.4285 | 1.7924 | 1.4968 | 0.8316 | 1.0000 | 0.8726 | 1.4925 | 1.0982 | 0.465029 |
| 0.7 and 0.3 | 0.7733 | 0.8765 | 0.2956 | 2.0000 | 1.6655 | 0.6831 | 1.0000 | 1.0000 | 1.4374 | 0.8161 | 0.517983 |
| 0.8 and 0.2 | 1.0000 | 1.0000 | 0.80587 | 2.0000 | 1.1101 | 0.88687 | 1.0000 | 0.5545 | 1.1164 | 1.4286 | 0.625108 |
| 0.9 and 0.1 | 0.8448 | 0.8920 | 0.7857 | 1.8841 | 0.6918 | 0.8434 | 1.0000 | 0.6676 | 1.1299 | 1.1732 | 0.609655 |
| 1 and 0 | 1.0000 | 1.000 | 0.6936 | 2.0000 | 1.1717 | 0.8781 | 1.0000 | 0.5342 | 1.1930 | 1.4938 | 0.641395 |
| Response and PID Parameters | ITAE | ITSE | IAE | ISE | |
|---|---|---|---|---|---|
| Area 1 | 0.96642 | 1.00000 | 1.00000 | 1.00000 | |
| 0.93701 | 0.96773 | 1.00000 | 0.94818 | ||
| 0.79796 | 0.82892 | 0.98677 | 1.00000 | ||
| PW | 2.00000 | 1.94039 | 2.00000 | 2.00000 | |
| DW | 0.95602 | 1.86494 | 1.68953 | 2.00000 | |
| Area 2 | 0.70693 | 0.87803 | 0.73250 | 1.00000 | |
| 0.6000 | 1.00000 | 1.00000 | 0.95282 | ||
| 0.78672 | 1.00000 | 1.00000 | 0.81901 | ||
| PW | 1.64358 | 1.15338 | 1.49248 | 1.06404 | |
| DW | 1.09507 | 1.33994 | 1.34948 | 2.00000 | |
| FF Val. | 0.35286 | 0.00751 | 0.04615 | 0.00100 | |
| Seeking Time | 345.105 | 347.8026 | 325.40 | 310.12 | |
| Response and PID Parameters | ITAE | Conventional | Proposed IB-WGFF | ||||
|---|---|---|---|---|---|---|---|
| Area 1 | Area 2 | Area 1 | Area 2 | Area 1 | Area 2 | ||
| 0.96642 | 0.70693 | 0.92134 | 0.82245 | 1.0000 | 1.0000 | ||
| 0.93701 | 1.00000 | 0.70024 | 0.73345 | 0.8680 | 1.0000 | ||
| 0.79796 | 0.78672 | 0.83123 | 0.50543 | 0.9555 | 0.6134 | ||
| PW | 2.00000 | 1.64358 | 0.9034 | 0.60156 | 1.8034 | 1.2911 | |
| DW | 0.95602 | 1.09507 | 0.44345 | 0.64156 | 0.8308 | 2.0000 | |
| FF. Value | 0.35286 | 0.399303 | |||||
| Seeking Time | 345.105 | Very large time | 343.261 | ||||
| Overshoot | Δf1 | 0.0000 | 0.0235 | 0.0 | |||
| Δf2 | 0.0000 | 0.020 | 0.0 | ||||
| ΔP | 0.0328 | 0.092 | 0.0153 | ||||
| Undershoot | Δf1 | 0.0355 | 0.0545 | 0.0241 | |||
| Δf2 | 0.0453 | 0.0665 | 0.0321 | ||||
| ΔP | 0.0000 | 0.074 | 0.0000 | ||||
| S.S. Error | Δf1 | 6.57 × 10−6 | 344 × 10−6 | 1.931 × 10−6 | |||
| Δf2 | 29.99 × 10−6 | 131 × 10−6 | 3.143 × 10−6 | ||||
| ΔP | 18.34 × 10−6 | 1059 × 10−6 | 4.5682 × 10−6 | ||||
| Settling Time (Sec.) | Δf1 | 7.42 | 11.52 | 6.571 | |||
| Δf2 | 6.83 | 9.43 | 6.731 | ||||
| ΔP | 3.724 | 12.45 | 1.543 | ||||
| Response and PID Parameters | Technique | ITAE | Proposed IB-WGO | Conventional | ||||
|---|---|---|---|---|---|---|---|---|
| Area 1 | Area 2 | Area 1 | Area 2 | Area 1 | Area 2 | |||
| GA | 0.72699 | 0.27871 | 0.83946 | 0.762206 | 0.92134 | 0.82245 | ||
| DA | 0.96642 | 0.70693 | 1.0000 | 1.0000 | ||||
| GA | 0.83020 | 0.94735 | 0.80700 | 0.92890 | 0.70024 | 0.73345 | ||
| DA | 0.93701 | 1.00000 | 0.8680 | 1.0000 | ||||
| GA | 0.60058 | 0.39374 | 0.72354 | 0.80695 | 0.83123 | 0.50543 | ||
| DA | 0.79796 | 0.78672 | 0.9555 | 0.6134 | ||||
| PW | GA | 1.45231 | 1.168094 | 1.46078 | 0.71085 | 0.9034 | 0.60156 | |
| DA | 2.00000 | 1.64358 | 1.8034 | 1.2911 | ||||
| DW | GA | 0.90314 | 1.63051 | 0.72796 | 0.88071 | 0.44345 | 0.64156 | |
| DA | 0.95602 | 1.09507 | 0.8308 | 2.0000 | ||||
| FF. Value | GA | 0.738761 | 0.657643 | |||||
| DA | 0.352865 | 0.399303 | ||||||
| Seeking Time | GA | 445.234 | 442.343 | Very large time | ||||
| DA | 345.105 | 343.261 | ||||||
| Overshoot | Δf1 | GA | 0.0153 | 0.0083 | 0.0235 | |||
| DA | 0.0000 | 0.000 | ||||||
| Δf2 | GA | 0.0178 | 0.0073 | 0.020 | ||||
| DA | 0.0000 | 0.000 | ||||||
| ΔP | GA | 0.0435 | 0.0273 | 0.092 | ||||
| DA | 0.0328 | 0.0153 | ||||||
| Undershoot | Δf1 | GA | 0.0493 | 0.0412 | 0.0545 | |||
| DA | 0.0355 | 0.0244 | ||||||
| Δf2 | GA | 0.0545 | 0.048 | 0.0665 | ||||
| DA | 0.0453 | 0.0321 | ||||||
| ΔP | GA | 0.0321 | 0.0234 | 0.074 | ||||
| DA | 0.0000 | 0.000 | ||||||
| S.S. Error | Δf1 | GA | 45.372 × 10−6 | 9.16 × 10−6 | 344 × 10−6 | |||
| DA | 6.57 × 10−6 | 1.931 × 10−6 | ||||||
| Δf2 | GA | 86.31 × 10−6 | 32.78 × 10−6 | 131 × 10−6 | ||||
| DA | 29.99 × 10−6 | 3.143 × 10−6 | ||||||
| ΔP | GA | 35.34 × 10−6 | 15.856 × 10−6 | 1059 × 10−6 | ||||
| DA | 18.34 × 10−6 | 4.5682 × 10−6 | ||||||
| Settling Time (Sec.) | Δf1 | GA | 9.343 | 6.312 | 11.52 | |||
| DA | 7.423 | 6.571 | ||||||
| Δf2 | GA | 9.843 | 6.233 | 9.43 | ||||
| DA | 6.832 | 6.731 | ||||||
| ΔP | GA | 7.576 | 7.322 | 12.45 | ||||
| DA | 3.724 | 1.543 | ||||||
| Parameter | Variation Range (%) | Parameter | Variation Range (%) |
|---|---|---|---|
| R1 = 2.4; | +40% (3.36) | D2 = 0.90; | +10% (0.99) |
| D1 = 0.60; | −40% (0.36) | H2 = 4.0; | +10% (4.4) |
| H1 = 5.0; | +50% (7.5) | Tg2 = 0.30; | −10% (0.33) |
| Tg1 = 0.20; | +10% (0.22) | Tt2 = 0.60; | +10% (0.66) |
| Tt1 = 0.50; | +25% (0.625) | B2 = 16.90; | +20% (20.28) |
| B1 =20.1; | 10% (22.11) | T12=0.545; | +10% (0.5995) |
| R2 = 0.0625; | −10% (0.05625) |
Disclaimer/Publisher’s Note: The statements, opinions and data contained in all publications are solely those of the individual author(s) and contributor(s) and not of MDPI and/or the editor(s). MDPI and/or the editor(s) disclaim responsibility for any injury to people or property resulting from any ideas, methods, instructions or products referred to in the content. |
© 2023 by the authors. Licensee MDPI, Basel, Switzerland. This article is an open access article distributed under the terms and conditions of the Creative Commons Attribution (CC BY) license (https://creativecommons.org/licenses/by/4.0/).
Share and Cite
Abdel-hamed, A.M.; Abdelaziz, A.Y.; El-Shahat, A. Design of a 2DOF-PID Control Scheme for Frequency/Power Regulation in a Two-Area Power System Using Dragonfly Algorithm with Integral-Based Weighted Goal Objective. Energies 2023, 16, 486. https://doi.org/10.3390/en16010486
Abdel-hamed AM, Abdelaziz AY, El-Shahat A. Design of a 2DOF-PID Control Scheme for Frequency/Power Regulation in a Two-Area Power System Using Dragonfly Algorithm with Integral-Based Weighted Goal Objective. Energies. 2023; 16(1):486. https://doi.org/10.3390/en16010486
Chicago/Turabian StyleAbdel-hamed, Alaa M., Almoataz Y. Abdelaziz, and Adel El-Shahat. 2023. "Design of a 2DOF-PID Control Scheme for Frequency/Power Regulation in a Two-Area Power System Using Dragonfly Algorithm with Integral-Based Weighted Goal Objective" Energies 16, no. 1: 486. https://doi.org/10.3390/en16010486
APA StyleAbdel-hamed, A. M., Abdelaziz, A. Y., & El-Shahat, A. (2023). Design of a 2DOF-PID Control Scheme for Frequency/Power Regulation in a Two-Area Power System Using Dragonfly Algorithm with Integral-Based Weighted Goal Objective. Energies, 16(1), 486. https://doi.org/10.3390/en16010486

