Study on the Effect of the Water Injection Rate on the Cavern Leaching Strings of Salt Cavern Gas Storages
Abstract
1. Introduction
2. Experiment Introduction
2.1. Experimental Principles
2.2. Experimental String Model
2.3. Experimental Data Acquisition System
2.4. Experimental Working Conditions
3. Experimental Data Processing
3.1. Modal Analysis Method of Experimental Data Processing
3.2. Frequency Analysis Method
4. Experimental Results and Discussion
4.1. Effect of Water Injection Rate on the Vibration Amplitude of Cavern Leaching Strings
4.2. Effect of Water Injection Rate on the Vibration Frequency of Cavern Leaching Strings
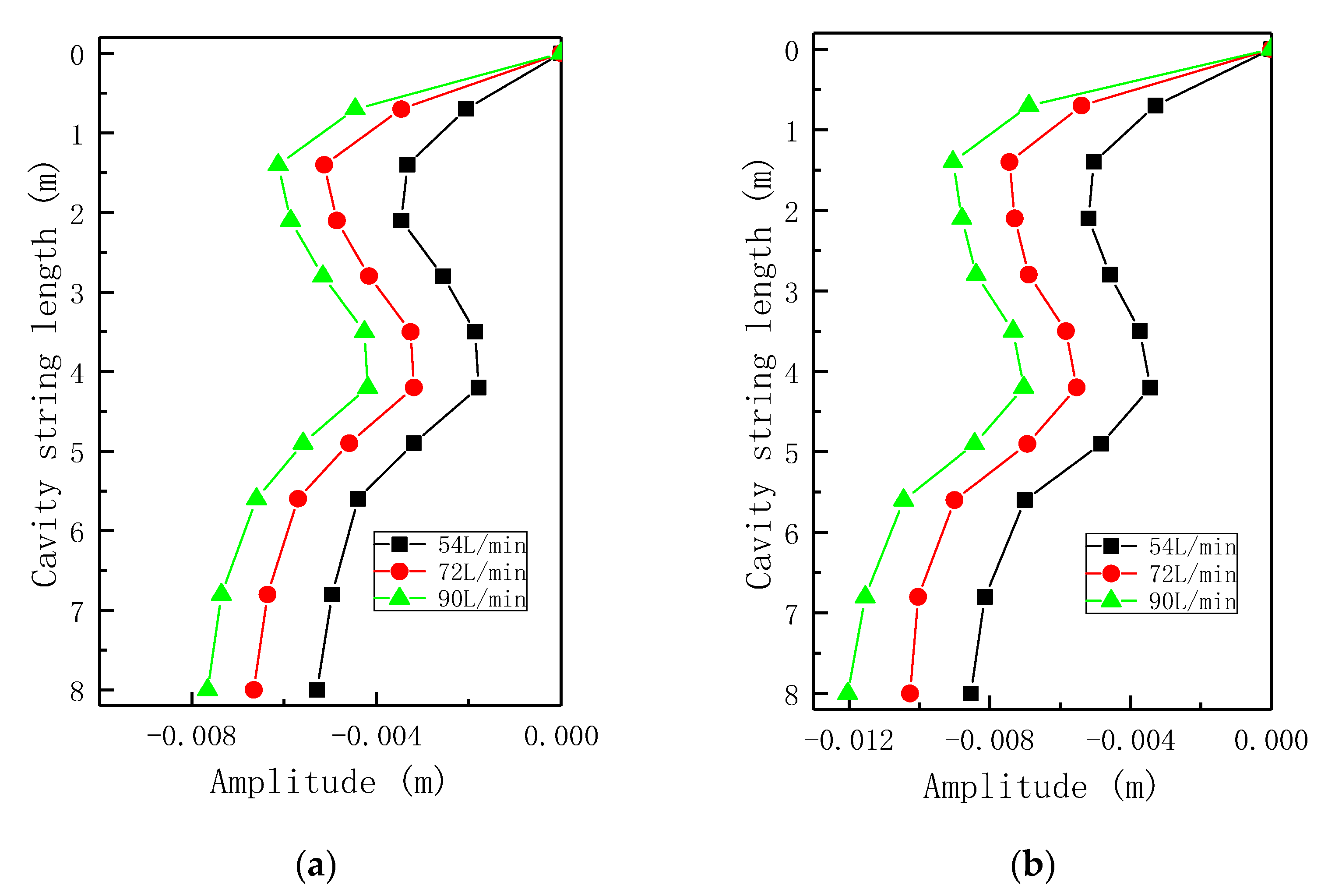
4.3. Effect of Water Injection Rate on the Vibration Displacement Characteristics of Cavern Leaching Strings
4.4. Effect of Water Injection Rate on the Vibration Deformation Characteristics of Cavern Leaching Strings
5. Conclusions
- With the same water injection rate, the vibration frequency of the string exhibited no significant differences during direct and reverse circulation, having an average value of about 5.5 Hz.
- During the same circulation mode, the vibration frequency of the string did not significantly increase with an increase in the water injection rate. The vibration amplitude becomes obviously larger, and the lateral vibration displacement and longitudinal vibration displacement of the string increases, so the water injection flow should not be too large in the actual cavity making process.
- With the same water injection rate, the deformation characteristics of the string were independent of the circulation mode. The largest deformation of the string during reverse circulation was about 1.5 times that during direct circulation. Therefore, it is necessary to pay attention to the selection of appropriate pipe string materials when using reverse circulation in the process of cavity making to ensure its deformation margin.
- When the other conditions were fixed, the deformation of the string increased with an increasing water injection rate. The deformation at the bottom of the string was the largest, while that at the middle of the string was the smallest.
- Matching the string injection rate with the dissolution efficiency of different salt caverns is the key to ensuring the efficiency of salt cavern construction and will be the focus of future research. Since the injection displacement of the pipe string is inextricably linked to the vibration of the pipe string, it is recommended to minimize the displacement before calculating the dissolution rate of the salt cavity and determining the parameters of the pipe string itself and the displacement to avoid the vibration failure of the pipe string. The reliability and stability of salt cavern strings directly affect the progress and cost of salt cavern construction, but the vibration failure mechanism of salt cavern strings cannot be fully revealed. In order to solve the failure mechanism of cavity strings, more professionals need to participate in the discussion.
Author Contributions
Funding
Data Availability Statement
Conflicts of Interest
References
- Malachowska, A.; Lukasik, N.; Mioduska, J.; Gebicki, J. Hydrogen Storage in Geological Formations—The Potential of Salt Caverns. Energies 2022, 15, 5038. [Google Scholar] [CrossRef]
- Yang, C.; Li, Y.; Qu, D.; Chen, F.; Ying, X. Advance in Reseaches of The Mechanical Behaviors of Bedded Salt Rokes. Adv. Mech. 2008, 38, 484–494. [Google Scholar]
- Zhang, L.; Chen, L.; Hu, R.; Cai, J. Subsurface multiphase reactive flow in geologic CO2 storage: Key impact factors and characterization approaches. Adv. Geo-Energy Res. 2022, 6, 179–180. [Google Scholar] [CrossRef]
- Wan, J.; Peng, T.; Shen, R.; Jurado, M.J. Numerical model and program development of TWH salt cavern construction for UGS. J. Pet. Sci. Eng. 2019, 179, 930–940. [Google Scholar] [CrossRef]
- Yang, H. Key Construction key technologies and challenges of salt-cavern gas storage in China. Oil Gas Storage Transp. 2017, 36, 747–753. [Google Scholar]
- Wang, Q. Water-Soluble Mining of Salt Deposits; Chemical Industry Press: Beijing, China, 2003. [Google Scholar]
- Luan, J. Study on Evaluation Method of Underground Salt Cavern Gas Storage; China University of Geosciences: Beijing, China, 2017. [Google Scholar]
- Wan, J.; Peng, T.; Yuan, G.; Ban, F.; Jurado, M.; Xai, Y. Influence of tubing/oil-blanket lifting on construction and geometries of two-well-horizontal salt caverns. Tunn. Undergr. Space Technol. 2021, 108, 103688. [Google Scholar] [CrossRef]
- Wan, J.; Peng, T.; Jurado, M.J.; Shen, R.; Yuan, G.; Ban, F. The influence of the water injection method on two-well-horizontal salt cavern construction. J. Pet. Sci. Eng. 2020, 184, 106560. [Google Scholar] [CrossRef]
- Tian, Z.; Xia, B. Research of Solution Mining Techniques on Salt Cavern Gas Storage. Geoscience 2008, 22, 97–102. [Google Scholar]
- Li, J.; Wan, J.; Liu, H.; Jurado, M.J.; He, Y.; Yuan, G.; Xia, Y. Stability Analysis of a Typical Salt Cavern Gas Storage in the Jintan Area of China. Energies 2022, 15, 4167. [Google Scholar] [CrossRef]
- Tang, L.; Zhang, G.; Dai, X. Some Thinks on Improving Downhole Operation Efficiency in Cavity-made Well Construction of Jintan Gas Storage. Technol. Superv. Pet. Ind. 2015, 5, 58–60. [Google Scholar]
- Dai, X.; Zhang, G.; Ma, J.; Tang, L. Causes Analysis and Solutions of JT2 Well Blocking in Jintan Salt-cavern Gas Storage. China Well Rock Salt 2017, 1, 13–15. [Google Scholar]
- Moditis, K.; Paidoussis, M.; Ratigan, J. Dynamics of a partially confined, discharging, cantilever pipe with reverse external flow. J. Fluids Struct. 2016, 63, 120–139. [Google Scholar] [CrossRef]
- Shi, X.; Li, Y.; Yang, C.; Qu, D. Test Study Of Influence Of Brine On Tensile Strength Of Muddy Intercalation. Chin. J. Rock Mech. Eng. 2009, 28, 2301–2308. [Google Scholar]
- Shi, X.; Li, Y.; Yang, C.; Qu, D.; Ma, H. Research on mechanical mechanism of interlayer collapse in solution mining for salt cavern gas storage. Rock Soil Mech. 2009, 30, 3615–3620+3626. [Google Scholar]
- Li, Y.; Yang, C.; Qu, D.; Yang, C.; Shi, X. Preliminary study of dynamic characteristics of tubing string for solution mining of oil/gas storage salt caverns. Rock Soil Mech. 2012, 3, 681–686. [Google Scholar]
- Li, Y.; Ge, X.; Wang, B.; Shi, X. Dynamic stability tests on tubing string for solution mining of a salt cavern UGS. Nat. Gas Ind. 2016, 36, 81–87. [Google Scholar]
- Li, Y.; Shi, X.; Liu, W.; Wang, B.; Ma, X.; Yang, C. Study on Movement Behavior and Application of Insoluble Substance in Salt Cavern Water—Soluble Cavity Construction Period. Chin. J. Rock Mech. Eng. 2016, 35, 23–31. [Google Scholar]
- Hu, W.; Fan, S.; Wang, C.; Yuan, G. Analysis of Serious Deformation of Cavitation Tubing in Salt Cavern Gas Storage in Jianghan Oilfield. IOP Conf. Ser. Earth Environ. Sci. 2021, 791, 012130. [Google Scholar]
- Liu, J.; Zeng, L.; Guo, X.; Dai, L.; Huang, X.; Cai, L. Nonlinear flow-induced vibration response characteristics of leaching tubing in salt cavern underground gas storage. J. Energy Storage 2021, 41, 102909. [Google Scholar] [CrossRef]
- Cen, X.; Zeng, H.; Wang, H.; Huang, X.; Zhang, R.; Wang, L.; Gao, S.; Liu, F.; Huang, Q.; Wu, J.; et al. Research on Tubing and Casing Anti-Bending Technology for Salt Cavern Gas Storage Cavity Construction. In Proceedings of the Abu Dhabi International Petroleum Exhibition & Conference, Online, 9–12 November 2020. [Google Scholar]
- Li, J.; Wan, J.; Wang, T.; Yuan, G.; Jurado, M.J.; He, Q. Leakage simulation and acoustic characteristics based on acoustic logging by ultrasonic detection. Adv. Geo-Energy Res. 2022, 6, 181–191. [Google Scholar] [CrossRef]
- Li, Y.; Shi, X.; Yang, C.; Qu, D. Several key problems about control of solution mining for oil/gas storage in deep salt mine. Chin. J. Rock Mech. Eng. 2012, 31, 1785–1796. [Google Scholar]
- Ni, Q.; Wang, L.; Huang, Y. Advances and Trends of a Dynamical Model:Pipes Aspirating Fluid. Chin. J. Appl. Mech. 2008, 25, 450–454. [Google Scholar]
- Paı, M.P. Some unresolved issues in fluid-structure interactions. J. Fluids Struct. 2005, 20, 871–890. [Google Scholar]
- Paı, M.P.; Luu, T.P.; Prabhakar, S. Dynamics of a long tubular cantilever conveying fluid downwards, which then flows upwards around the cantilever as a confined annular flow. J. Fluids Struct. 2008, 24, 111–128. [Google Scholar]
- Liangjie, M.; Qingyou, L.; Shouwei, Z. Experimental study of the vortex-induced vibration of drilling risers under the shear flow with the same shear parameter at the different Reynolds numbers. PloS ONE 2014, 9, e104806. [Google Scholar] [CrossRef]
- Liangjie, M.; Qingyou, L.; Shouwei, Z.; Jiang, W.; Zhengli, L.; Tao, P. Vortex-induced vibration mechanism of drilling riser under shear flow. Pet. Explor. Dev. 2015, 42, 112–118. [Google Scholar]













| Production Casing Tubing | Intermedium Casing Tubing | Central Tubing | |||||||||
|---|---|---|---|---|---|---|---|---|---|---|---|
| Specification /(in) | Outer Diameter /(mm) | Inner Diameter /(mm) | Casing Coupling /(mm) | Specification /(in) | Outer Diameter /(mm) | Inner Diameter /(mm) | Casing Coupling /(mm) | Specification /(in) | Outer Diameter /(mm) | Inner Diameter /(mm) | Casing Coupling /(mm) |
| 13-3/8 | 339.7 | 321.7 | 365.1 | 9-5/8 | 244.5 | 228.5 | 270.1 | 5-1/2 | 139.7 | 125.7 | 153.7 |
| 9-5/8 | 244.5 | 228.5 | 270.1 | 7 | 177.8 | 163.8 | 198 | 4 | 144.3 | 100.3 | 132.5 |
| 7 | 177.8 | 163.8 | 198 | 5 | 139.7 | 125.7 | 153.7 | 3 | 88.9 | 75 | 107 |
| 5-1/2 | 139.7 | 125.7 | 153.7 | 3-1/2 | 101.6 | 88.6 | 121 | 1-1/2 | 48.3 | 40.3 | 55 |
| Order | Frequency Value/(rad/s) |
|---|---|
| 1 | 0.01626 |
| 2 | 0.03223 |
| 3 | 0.09024 |
| 4 | 0.17683 |
| 5 | 0.2923 |
| Main Physical Parameters | Actual Strings | Experimental Strings |
|---|---|---|
| Length (m) | 1160 | 8 |
| Outer diameter (mm) | 114.3 | 20 |
| Inner diameter (mm) | 100.54 | 18 |
| Wall thickness (mm) | 6.88 | 1 |
| Elastic modulus (GPa) | 210 | 1.07 |
| Density (g/cm3) | 7.85 | 0.94 |
| Material | Steels | PE |
| Corresponding Inner Pipe Diameter (mm) | Actual Water Injection Rate (m3/h) | Experimental Water Injection Rate (L/min) | Number of Experimental Groups | Experiment Content |
|---|---|---|---|---|
| 114.3 | 60 | 54 | 3 | Measurement of the frequency spectrum and vibration amplitude of leaching strings during different circulation processes |
| 88.9 | 80 | 72 | 3 | |
| 73 | 100 | 90 | 3 |
Disclaimer/Publisher’s Note: The statements, opinions and data contained in all publications are solely those of the individual author(s) and contributor(s) and not of MDPI and/or the editor(s). MDPI and/or the editor(s) disclaim responsibility for any injury to people or property resulting from any ideas, methods, instructions or products referred to in the content. |
© 2022 by the authors. Licensee MDPI, Basel, Switzerland. This article is an open access article distributed under the terms and conditions of the Creative Commons Attribution (CC BY) license (https://creativecommons.org/licenses/by/4.0/).
Share and Cite
Dong, S.; Fang, T.; Wan, J.; Hu, X.; Li, J.; Liu, H.; Li, D.; Qiao, S. Study on the Effect of the Water Injection Rate on the Cavern Leaching Strings of Salt Cavern Gas Storages. Energies 2023, 16, 344. https://doi.org/10.3390/en16010344
Dong S, Fang T, Wan J, Hu X, Li J, Liu H, Li D, Qiao S. Study on the Effect of the Water Injection Rate on the Cavern Leaching Strings of Salt Cavern Gas Storages. Energies. 2023; 16(1):344. https://doi.org/10.3390/en16010344
Chicago/Turabian StyleDong, Shengwei, Taian Fang, Jifang Wan, Xuhui Hu, Jingcui Li, Hangming Liu, Dongyang Li, and Shaofeng Qiao. 2023. "Study on the Effect of the Water Injection Rate on the Cavern Leaching Strings of Salt Cavern Gas Storages" Energies 16, no. 1: 344. https://doi.org/10.3390/en16010344
APA StyleDong, S., Fang, T., Wan, J., Hu, X., Li, J., Liu, H., Li, D., & Qiao, S. (2023). Study on the Effect of the Water Injection Rate on the Cavern Leaching Strings of Salt Cavern Gas Storages. Energies, 16(1), 344. https://doi.org/10.3390/en16010344

