Effects of Internal Heat Exchanger on Two-Stage Compression Trans-Critical CO2 Refrigeration Cycle Combined with Expander and Intercooling
Abstract
1. Introduction
2. Thermodynamic Model
2.1. Simulation Model
- The equipment in the system is in steady-state operation, and the flow of refrigerant in the system is continuous, ignoring the pressure drop of refrigerant in the pipeline and the heat exchange loss;
- The evaporating temperature of the refrigeration system varies in the range of −5 to 10 °C, and the outlet temperature of the gas cooler varies in the range of 35 to 50 °C, with an ambient temperature of 35 °C;
- Two fixed values are employed to simulate the performance of the compressor and expander: the isentropic efficiency is 0.9 for both CO2 low-pressure and high-pressure compressors, and 0.8 for expanders [33];
- The internal heat exchanger effectiveness and the intercooling effectiveness ranges from 0 to 1. When ηIHX is set to 0, the system does not reheat. When ηInc is 0, a single-stage compression system is used.
2.2. Descriptions of Presented System
2.3. Entropy, and Exergy Model
3. Discussion
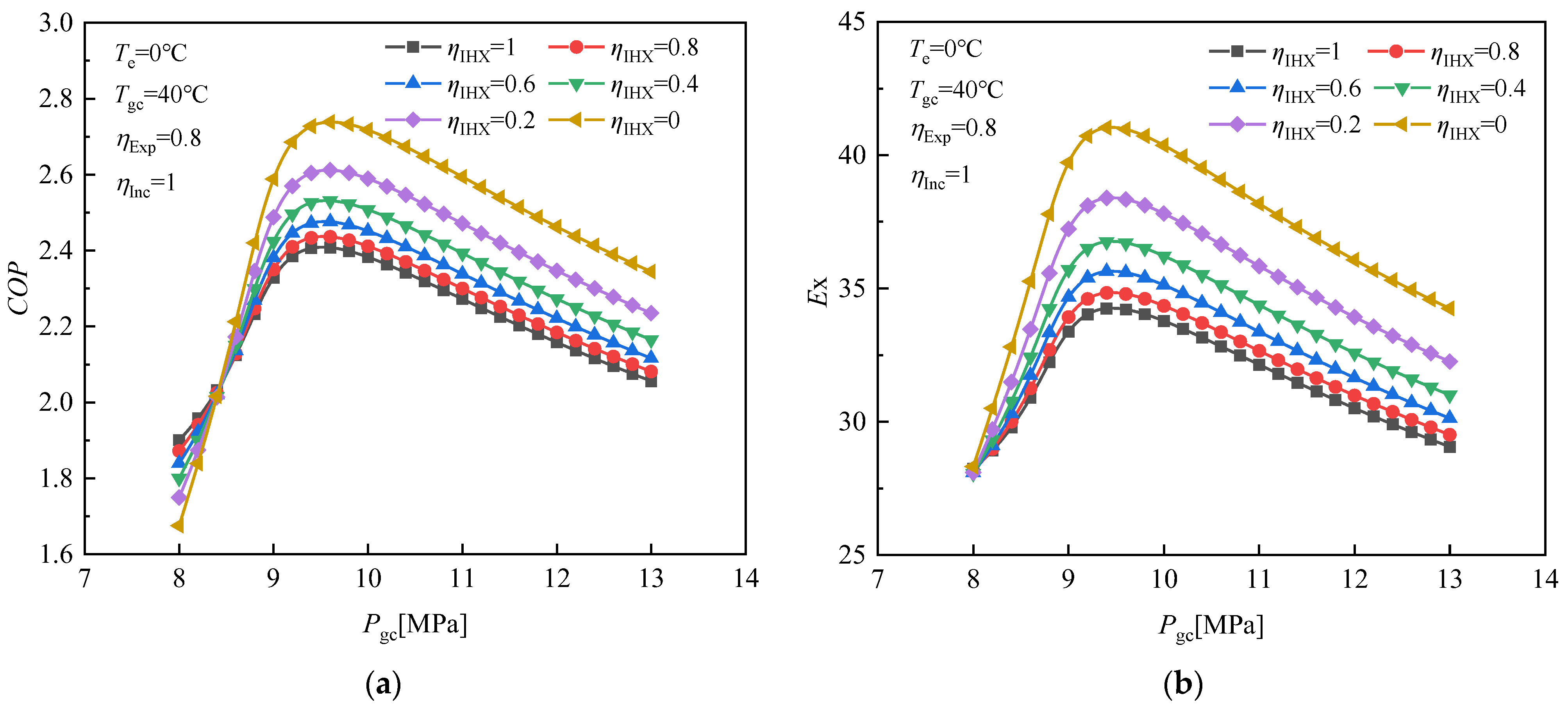
3.1. Analysis of ηIHX for CO2 Trans-Critical Single-Stage System with Expander
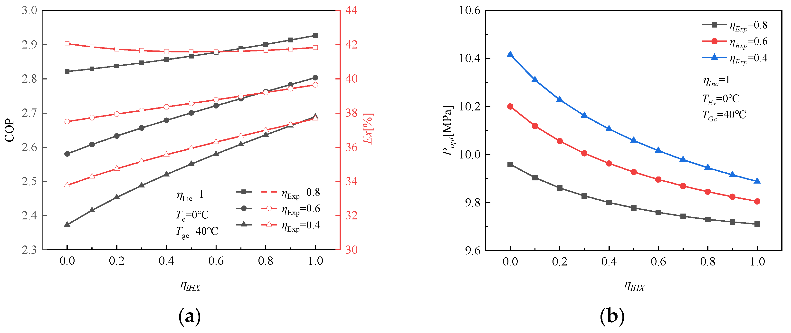
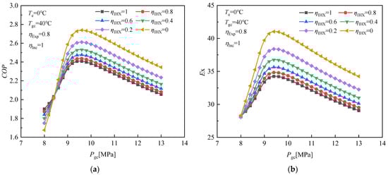
3.2. Effect of ηIHX and ηInc on a CO2 Trans-Critical Two-Stage Compression System
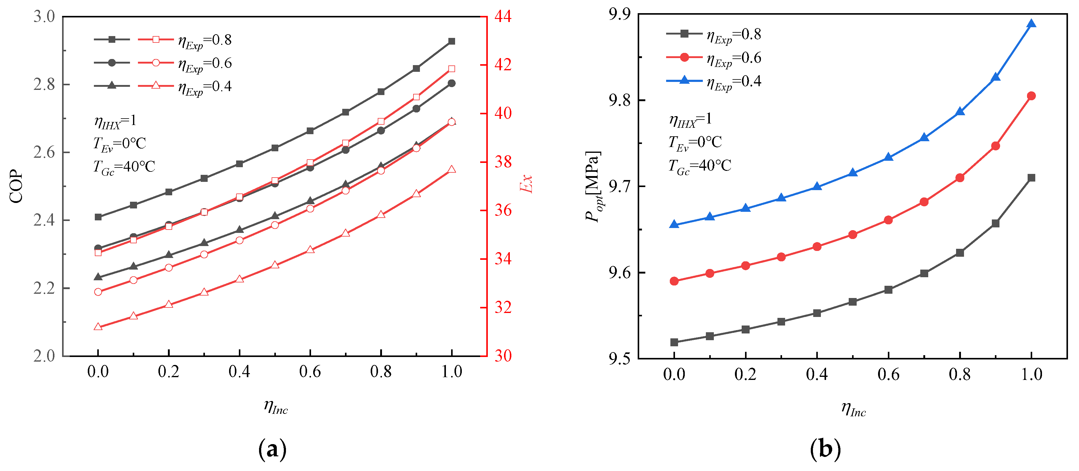
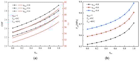
3.3. Effect of ηInc and ηExp on the CO2 Trans-Critical Two-Stage Compression Refrigeration System
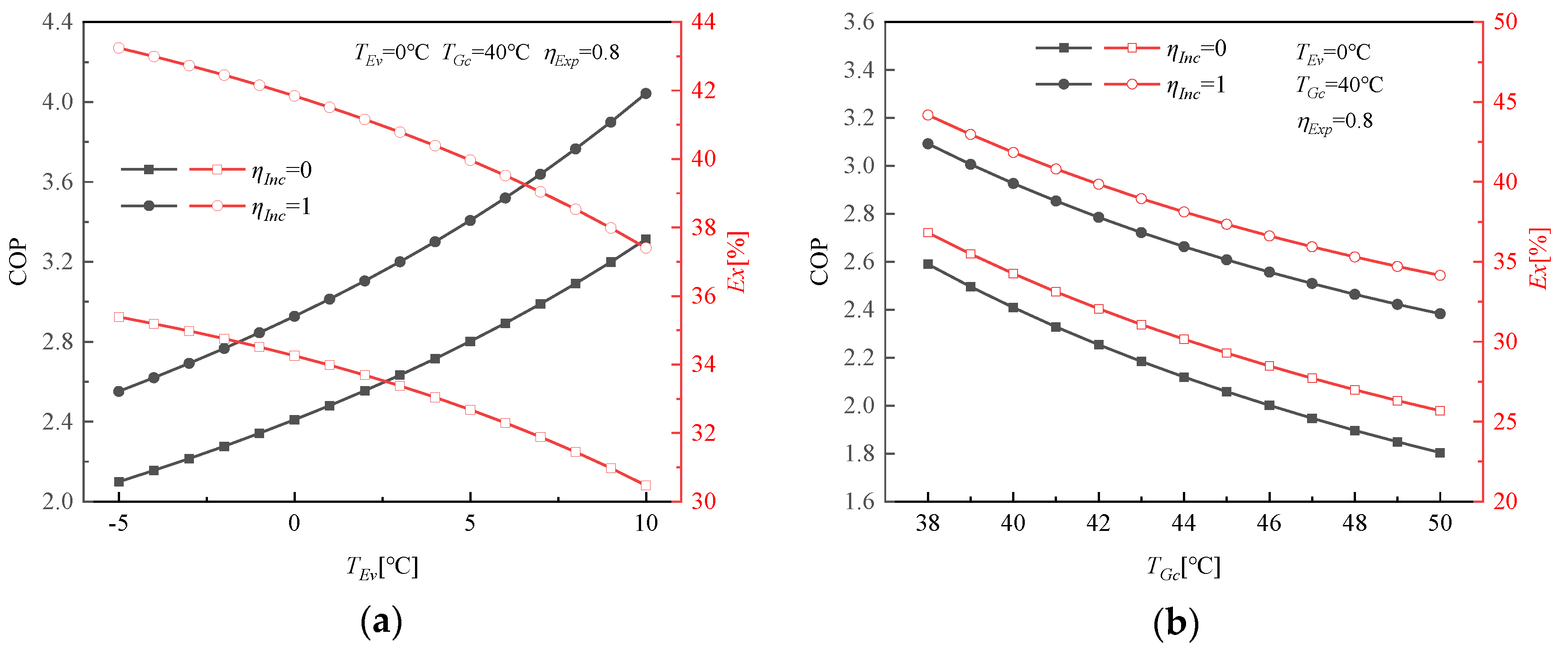
3.4. Effect of Evaporation Temperatures on System Performance
3.5. Effect of Gas Cooler Outlet Temperature on the Performance of the System
3.6. The Percentage of the Components That Lose Exergy
4. Conclusions
- (1)
- Performance of trans-critical CO2 cycle without an intercooling (ηInc = 0) system; the single-stage compression cycle is negatively impacted by the internal heat exchanger. The system’s COP and exergy efficiency both tend to decline as ηIHX increases. The maximum system COP and exergy efficiency are 2.41% and 34.26%, respectively, when the ηIHX is acting ideally. Reheating reduces the maximum system COP and exergy efficiency by 12.04% and 16.52%, respectively, as compared to no reheating.
- (2)
- It is discovered that when increasing the ηInc through the two-stage compression combined with an internal heat exchanger, within a certain range, IHX is beneficial for this system COP enhancement. Increasing the ηExp is an effective way to improve system performance, while the internal heat exchanger can also achieve system performance improvement when the ηInc is greater, and the conclusion is verified in the three-dimensional diagram. When the intercooling is completely cooled, the system unit mass cooling capacity increases by 35.47%, the Wtot consumed by the system increases by 30.62%, the cooling capacity increases faster than the system’s network consumption, and the COP increases.
- (3)
- By analyzing the changes in system performance for systems with or without the IHX and intercooling, we found that where the impact of the ηIHX is small, while the intercooling affects the system performance to a greater extent, at the evaporation temperature of 10 °C, COP increases by 18.07%, with a 22.78% decrease in exergy efficiency.
- (4)
- The exergy loss percentage of each component in a system is an important way to evaluate the performance of a refrigeration system. In the ideal condition (ηIHX = 1), the evaporation temperature of the system components does not affect the components as much as the outlet temperature of the gas cooler does, and with the change of the outlet temperature of the gas cooler, the percentage of exergy losses of the intercooling increases from 13.72% to 26.31%. With the increase of internal heat exchanger effectiveness, the percentage of exergy loss of the gas cooler tends to decrease.
Author Contributions
Funding
Conflicts of Interest
Nomenclature
| IHX | Internal heat exchanger |
| Inc | Intercooling |
| Exp | Expander |
| Comp | Compressor |
| Gc | Gas-cooler |
| Ev | Evaporator |
| S | Isentropic [kJ/kg K] |
| h | Enthalpy [kJ/kg] |
| Qe | Refrigeration effect [kJ/kg] |
| P | Pressure [MPa] |
| T | Temperature [K] |
| W | Specific work [kW] |
| Ex | Exergy efficiency [%] |
| E | Exergy loss contribution |
| COP | Coefficient of performance |
| 0–7,k,i | State points of refrigerant |
| a | Reference environment |
| m | Quality [kg] |
| in | Inlet of Refrigerant |
| out | Outlet of Refrigerant |
| η | Isentropic efficiency of component |
| Lp | Low pressure stage |
| Hp | High Pressure Stage |
| qm | Mass Flow |
| Te | Evaporation temperature |
| Tgc | Gas cooler discharge temperature |
| tot | Total consumption |
| opt | Optimum operating conditions |
References
- Zheng, B.; Wang, S.; Xu, J. A Review on the CO2 Emission Reduction Scheme and Countermeasures in China’s Energy and Power Industry under the Background of Carbon Peak. Sustainability 2022, 14, 879. [Google Scholar] [CrossRef]
- Lorentzen, G. Revival of carbon dioxide as a refrigerant. Int. J. Refrig. 1994, 17, 292–301. [Google Scholar] [CrossRef]
- Song, Y.; Cui, C.; Yin, X.; Cao, F. Advanced Exergy development and application of transcritical CO2 refrigeration and heat pump technology—A review. Energy Rep. 2022, 8, 7840–7869. [Google Scholar] [CrossRef]
- Casi, Á.; Aranguren, P.; Araiz, M.; Alegría, P.; Astrain, D. Impact of a thermoelectric subcooler heat exchanger on a carbon dioxide transcritical refrigeration facility. Appl. Therm. Eng. 2022, 215, 118866. [Google Scholar] [CrossRef]
- Lorentzen, G.; Pettersen, J. A new, efficient and environmentally benign system for car air-conditioning. Int. J. Refrig. 1993, 16, 4–12. [Google Scholar] [CrossRef]
- Liu, S.; Lu, F.; Dai, B.; Nian, V.; Li, H.; Qi, H.; Li, J. Performance analysis of two-stage compression transcritical CO2 refrigeration system with R290 mechanical subcooling unit. Energy 2019, 189, 116143. [Google Scholar] [CrossRef]
- Sun, Z.; Li, J.; Liang, Y.; Sun, H.; Liu, S.; Yang, L.; Wang, C.; Dai, B. Performance assessment of CO2 supermarket refrigeration system in different climate zones of China. Energy Convers. Manag. 2020, 208, 112572. [Google Scholar] [CrossRef]
- Aktemur, C.; Ozturk, I.T.; Cimsit, C. Comparative energy and exergy analysis of a subcritical cascade refrigeration system using low global warming potential refrigerants. Appl. Therm. Eng. 2021, 184, 116254. [Google Scholar] [CrossRef]
- Qi, Y.; Huang, D. Energy and exergy analysis of supercritical/transcritical CO2 cycles for water injected hydrogen gas turbine. Energy 2022, 260, 124931. [Google Scholar] [CrossRef]
- Wang, G.-B.; Zhang, X.-R. Thermoeconomic optimization and comparison of the simple single-stage transcritical carbon dioxide vapor compression cycle with different subcooling methods for district heating and cooling. Energy Convers. Manag. 2019, 185, 740–757. [Google Scholar] [CrossRef]
- Gullo, P.; Hafner, A.; Banasiak, K. Thermodynamic Performance Investigation of Commercial R744 Booster Refrigeration Plants Based on AdvanExergy Exergy Analysis. Energies 2019, 12, 354. [Google Scholar] [CrossRef]
- Murthy, A.; Subiantoro, A.; Norris, S.; Fukuta, M. A review on expanders and their performance in vapour compression refrigeration systems. Int. J. Refrig. 2019, 106, 427–446. [Google Scholar] [CrossRef]
- Fang, J.; Yin, X.; Wang, A.; Sun, X.; Liu, Y.; Cao, F. Cooling performance enhancement for the automobile transcritical CO2 air conditioning system with various internal heat exchanger effectiveness. Appl. Therm. Eng. 2021, 196, 117274. [Google Scholar] [CrossRef]
- Li, S.; Lu, J.; Li, W.; Zhang, Y.; Huang, S.; Tian, L.; Lv, Y.; Hu, Y.; Zeng, Y. Thermodynamic analyses of a novel ejector enhanced dual-temperature air source heat pump cycle with self-defrosting. Appl. Therm. Eng. 2022, 215, 118944. [Google Scholar] [CrossRef]
- Rigola, J.; Ablanque, N.; Pérez-Segarra, C.D.; Oliva, A. Numerical simulation and experimental validation of internal heat exchanger influence on CO2 trans-critical cycle performance. Int. J. Refrig. 2010, 33, 664–674. [Google Scholar] [CrossRef]
- Torrella, E.; Sánchez, D.; Llopis, R.; Cabello, R. Energetic evaluation of an internal heat exchanger in a CO2 transcritical refrigeration plant using experimental data. Int. J. Refrig. 2011, 34, 40–49. [Google Scholar] [CrossRef]
- Aprea, C.; Greco, A.; Maiorino, A. The substitution of R134a with R744: An exergetic analysis based on experimental data. Int. J. Refrig. 2013, 36, 2148–2159. [Google Scholar] [CrossRef]
- Zhang, F.Z.; Jiang, P.X.; Lin, Y.S.; Zhang, Y.W. Efficiencies of subcritical and transcritical CO2 inverse cycles with and without an internal heat exchanger. Appl. Therm. Eng. 2011, 31, 432–438. [Google Scholar] [CrossRef]
- Feng, F.; Zhang, Z.; Liu, X.; Liu, C.; Hou, Y. The Influence of Internal Heat Exchanger on the Performance of Transcritical CO2 Water Source Heat Pump Water Heater. Energies 2020, 13, 1787. [Google Scholar] [CrossRef]
- She, X.; Yin, Y.; Zhang, X. A proposed subcooling method for vapor compression refrigeration cycle based on expansion power recovery. Int. J. Refrig. 2014, 43, 50–61. [Google Scholar] [CrossRef]
- Dai, B.; Liu, S.; Li, H.; Sun, Z.; Song, M.; Yang, Q.; Ma, Y. Energetic performance of transcritical CO2 refrigeration cycles with mechanical subcooling using zeotropic mixture as refrigerant. Energy 2018, 150, 205–221. [Google Scholar] [CrossRef]
- Dai, B.; Liu, S.; Sun, Z.; Ma, Y. Thermodynamic Performance Analysis of CO2 Transcritical Refrigeration Cycle Assisted with Mechanical Subcooling. Energy ProExergyia 2017, 105, 2033–2038. [Google Scholar]
- Bai, T.; Yu, J.; Yan, G. AdvanExergy Exergy analyses of an ejector expansion transcritical CO2 refrigeration system. Energy Convers. Manag. 2016, 126, 850–861. [Google Scholar] [CrossRef]
- Subiantoro, A.; Oi, K.T. Economic analysis of the application of expanders in medium scale air-conditioners with conventional refrigerants, R1234yf and CO2. Int. J. Refrig. 2013, 36, 1472–1482. [Google Scholar] [CrossRef]
- Yang, J.L.; Ma, Y.T.; Li, M.X.; Guan, H.Q. Exergy analysis of transcritical carbon dioxide refrigeration cycle with an expander. Energy 2005, 30, 1162–1175. [Google Scholar] [CrossRef]
- Pérez-García, V.; Rodríguez-Muñoz, J.L.; Ramírez-Minguela, J.J.; Belman-Flores, J.M.; Méndez-Díaz, S. Comparative analysis of energy improvements in single transcritical cycle in refrigeration mode. Appl. Therm. Eng. 2016, 99, 866–872. [Google Scholar] [CrossRef]
- Robinson, D.M.; Groll, E.A. Efficiencies of transcritical CO2 cycles with and without an expansion turbine. Int. J. Refrig. 1998, 21, 577–589. [Google Scholar] [CrossRef]
- Purjam, M.; Goudarzi, K. High efficiency sub-critical carbon dioxide supplementary heat pump for low temperature climates (energy and Exergy analysis ). Renew. Energy 2019, 133, 166–176. [Google Scholar] [CrossRef]
- Zhang, B.; Zhao, D.; Zhao, Y.; Ji, H.; Chen, L.; Liu, L. Comparative Analysis of Typical Improvement Methods in Transcritical Carbon Dioxide Refrigeration Cycle. ProExergyia Eng. 2017, 205, 1207–1214. [Google Scholar] [CrossRef]
- Wang, H.; Ma, Y.; Tian, J.; Li, M. Theoretical analysis and experimental research on transcritical CO2 two stage compression cycle with two gas coolers (TSCC+TG) and the cycle with intercooler (TSCC+IC). Energy Convers. Manag. 2011, 52, 2819–2828. [Google Scholar] [CrossRef]
- Yang, J.L.; Ma, Y.T.; Liu, S.C. Performance investigation of transcritical carbon dioxide two-stage compression cycle with expander. Energy 2007, 32, 237–245. [Google Scholar] [CrossRef]
- Joneydi Shariatzadeh, O.; Abolhassani, S.S.; Rahmani, M.; Ziaee Nejad, M. Comparison of transcritical CO2 refrigeration cycle with expander and throttling valve including/excluding internal heat exchanger: Exergy and energy points of view. Appl. Therm. Eng. 2016, 93, 779–787. [Google Scholar] [CrossRef]
- Liang, Y.; Sun, Z.; Dong, M.; Lu, J.; Yu, Z. Investigation of a refrigeration system based on combined supercritical CO2 power and transcritical CO2 refrigeration cycles by waste heat recovery of engine. Int. J. Refrig. 2020, 118, 470–482. [Google Scholar] [CrossRef]
- Ghazizade-Ahsaee, H. Effects of using Expander and Internal Heat Exchanger on Carbon Dioxide Direct-Expansion Geothermal Heat Pump. Appl. Therm. Eng. 2018, 136, 389–407. [Google Scholar] [CrossRef]
- Dai, B.; Zhao, P.; Liu, S.; Su, M.; Zhong, D.; Qian, J.; Hu, X.; Hao, Y. Assessment of heat pump with carbon dioxide/low-global warming potential working fluid mixture for drying process: Energy and emissions saving potential. Energy Convers. Manag. 2020, 222, 113225. [Google Scholar] [CrossRef]
- Illán-Gómez, F.; Sena-Cuevas, V.F.; García-Cascales, J.R.; Velasco, F.J.S. Analysis of the optimal gas cooler pressure of a CO2 heat pump with gas bypass for hot water generation. Appl. Therm. Eng. 2021, 182, 116110. [Google Scholar] [CrossRef]
- Wang, D.; Chen, Z.; Gu, Z.; Liu, Y.; Kou, Z.; Tao, L. Performance analysis and comprehensive comparison between CO2 and CO2/ethane azeotropy mixture as a refrigerant used in single-stage and two-stage vapor compression transcritical cycles. Int. J. Refrig. 2020, 115, 39–47. [Google Scholar] [CrossRef]
- Du, Y.; Tian, G.; Pekris, M. A comprehensive review of micro-scale expanders for carbon dioxide related power and refrigeration cycles. Appl. Therm. Eng. 2022, 201, 117722. [Google Scholar] [CrossRef]
- Ahamed, J.U.; Saidur, R.; Masjuki, H.H. A review on Exergy analysis of vapor compression refrigeration system. Renew. Sustain. Energy Rev. 2011, 15, 1593–1600. [Google Scholar] [CrossRef]
- Zhili, S.; Minxia, L.; Guangming, H.; Yitai, M. Performance study of a transcritical carbon dioxide cycle with an expressor. Energy 2013, 60, 77–86. [Google Scholar] [CrossRef]
- Zhang, Z.; Tian, L.; Chen, Y.; Tong, L. Effect of an Internal Heat Exchanger on Performance of the Transcritical Carbon Dioxide Refrigeration Cycle with an Expander. Entropy 2014, 16, 5919–5934. [Google Scholar] [CrossRef]














| Components | Energy Relations | Exergy Relations |
|---|---|---|
| Compressor1 | ||
| Compressor2 | ||
| Gas cooler | ||
| Internal heat exchanger | ||
| Expander | ||
| Evaporator | ||
| Intercooling |
| Cycles | Parameters | Present Work | Reported by Zhang [41] | Relative Error (%) |
|---|---|---|---|---|
| Basic cycle | Pgc | 10.1 MPa | 9.8 MPa | 3.06 |
| COP | 2.25 | 2.26 | 0.44 | |
| With IHX | Pgc | 9.7 MPa | 9.5 MPa | 2.10 |
| COP | 2.38 | 2.42 | 1.65 | |
| With IHX and expander | Pgc | 9.4 MPa | 9.2 MPa | 2.17 |
| COP | 2.83 | 2.91 | 2.75 |
Disclaimer/Publisher’s Note: The statements, opinions and data contained in all publications are solely those of the individual author(s) and contributor(s) and not of MDPI and/or the editor(s). MDPI and/or the editor(s) disclaim responsibility for any injury to people or property resulting from any ideas, methods, instructions or products referred to in the content. |
© 2022 by the authors. Licensee MDPI, Basel, Switzerland. This article is an open access article distributed under the terms and conditions of the Creative Commons Attribution (CC BY) license (https://creativecommons.org/licenses/by/4.0/).
Share and Cite
Shi, B.; Chen, M.; Chi, W.; Yang, Q.; Liu, G.; Zhao, Y.; Li, L. Effects of Internal Heat Exchanger on Two-Stage Compression Trans-Critical CO2 Refrigeration Cycle Combined with Expander and Intercooling. Energies 2023, 16, 115. https://doi.org/10.3390/en16010115
Shi B, Chen M, Chi W, Yang Q, Liu G, Zhao Y, Li L. Effects of Internal Heat Exchanger on Two-Stage Compression Trans-Critical CO2 Refrigeration Cycle Combined with Expander and Intercooling. Energies. 2023; 16(1):115. https://doi.org/10.3390/en16010115
Chicago/Turabian StyleShi, Benlin, Muqing Chen, Weikai Chi, Qichao Yang, Guangbin Liu, Yuanyang Zhao, and Liansheng Li. 2023. "Effects of Internal Heat Exchanger on Two-Stage Compression Trans-Critical CO2 Refrigeration Cycle Combined with Expander and Intercooling" Energies 16, no. 1: 115. https://doi.org/10.3390/en16010115
APA StyleShi, B., Chen, M., Chi, W., Yang, Q., Liu, G., Zhao, Y., & Li, L. (2023). Effects of Internal Heat Exchanger on Two-Stage Compression Trans-Critical CO2 Refrigeration Cycle Combined with Expander and Intercooling. Energies, 16(1), 115. https://doi.org/10.3390/en16010115

