Piezoelectric Energy Harvesting from Roadways under Open-Traffic Conditions: Analysis and Optimization with Scaling Law Method
Abstract
:1. Introduction
2. Electromechanical Modeling
2.1. Mechanical Response of Roadways under Traffic Flow Load
2.2. Electromechanical Modeling of PEHs
3. Scaling Law Analysis
4. Results and Optimization Criteria
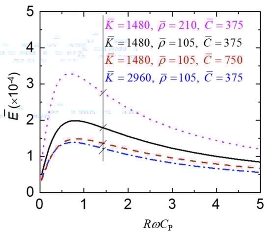
4.1. Influence of Energy Coefficient
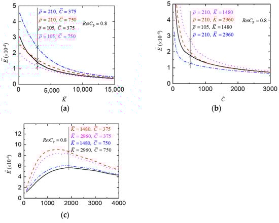
4.2. Influence of System’s Intrinsic Parameter
4.3. Influence of Normalized Parameters (, , and ) of Roads
4.4. Influence of Normalized Lateral Embedded Position of PEH Units
4.5. Energy Harvested by PEH Units: A Numerical Example
5. Conclusions
Author Contributions
Funding
Institutional Review Board Statement
Informed Consent Statement
Data Availability Statement
Conflicts of Interest
References
- Farinholt, K.; Taylor, S.; Miller, N.; Sifuentes, W.; Moro, E.; Park, G.; Farrar, C.; Flynn, E.; Mascarenas, D.; Todd, M. Energy harvesting and wireless energy transmission for embedded sensor nodes. Struct. Health Monit. 2010, 9, 269–280. [Google Scholar] [CrossRef]
- Wang, H.; Jasim, A.; Chen, X. Energy harvesting technologies in roadway and bridge for different applications—A comprehensive review. Appl. Energy 2018, 212, 1083–1094. [Google Scholar] [CrossRef]
- Roshani, H.; Dessouky, S.; Montoya, A.; Papagiannakis, A.T. Energy harvesting from asphalt pavement roadways vehicle-induced stresses: A feasibility study. Appl. Energy 2016, 182, 210–218. [Google Scholar] [CrossRef]
- Pei, J.Z.; Zhou, B.C.; Lyu, L. E-Road: The largest energy supply of the future? Appl. Energy. 2019, 241, 174–183. [Google Scholar] [CrossRef]
- Gholikhani, M.; Roshani, H.; Dessouky, S.; Papagiannakis, A.T. A critical review of roadway energy harvesting technologies. Appl. Energy 2020, 261, 114388. [Google Scholar] [CrossRef]
- Ahmad, S.; Mujeebu, A.M.; Farooqi, M.A. Energy harvesting from pavements and roadways: A comprehensive review of technologies, materials, and challenges. Int. J. Energy Res. 2019, 43, 1974–2015. [Google Scholar] [CrossRef]
- Qabur, A.; Alshammari, K. A Systematic Review of Energy Harvesting from Roadways by using Piezoelectric Materials Technology. Innov. Energy Res. 2018, 7, 1–6. [Google Scholar] [CrossRef]
- Zhao, H.D.; Ling, J.M.; Yu, J. A comparative analysis of piezoelectric transducers for harvesting energy from asphalt pavement. J. Ceram. Soc. Jpn. 2012, 120, 317–323. [Google Scholar] [CrossRef] [Green Version]
- Lin, L.; Hu, Y.; Xu, C.; Zhang, Y.; Zhang, R.; Wen, X.; Lin Wang, Z. Transparent flexible nanogenerator as self-powered sensor for transportation monitoring. Nano Energy 2013, 2, 75–81. [Google Scholar] [CrossRef]
- Jung, I.; Shin, Y.H.; Kim, S.; Choi, J.Y.; Kang, C.Y. Flexible piezoelectric polymer-based energy harvesting system for roadway applications. Appl. Energy 2017, 197, 222–229. [Google Scholar] [CrossRef]
- Wang, C.H.; Wang, S.; Li, Q.J.; Wang, X.J.; Gao, Z.W.; Zhang, L. Fabrication and performance of a power generation device based on stacked piezoelectric energy-harvesting units for pavements. Energy Convers. Manag. 2018, 163, 196–207. [Google Scholar] [CrossRef]
- Jiang, X.Z.; Li, Y.C.; Li, J.C.; Wang, J.; Yao, J. Piezoelectric energy harvesting from traffic-induced pavement vibrations. J. Renew. Sustain. Energy 2014, 6, 043110. [Google Scholar] [CrossRef]
- Ding, G.; Zhao, X.; Sun, F.; Wang, J. Effect of subgrade on piezoelectric energy harvesting under traffic loads. Int. J. Pavement Eng. 2017, 19, 661–674. [Google Scholar] [CrossRef]
- Papagiannakis, A.T.; Montoya, A.; Dessouky, S.; Helffrich, J. Development and evaluation of piezoelectric prototypes for roadway energy harvesting. J. Energy Eng. 2017, 143, 04017034. [Google Scholar] [CrossRef]
- Roshani, H.; Dessouky, S.; Papagiannakis, A.T.; Montoya, A. Experimental and finite element assessment of three energy harvesting prototypes for roadways. Innov. Infrastruct. Solut. 2017, 2, 1–12. [Google Scholar] [CrossRef]
- Wang, X.F.; Shi, Z.F. Double piezoelectric energy harvesting cell: Modeling and experimental verification. Smart Mater. Struct. 2017, 26, 065002. [Google Scholar] [CrossRef]
- Roshani, H.; Jagtap, P.; Dessouky, S.; Montoya, A.; Papagiannakis, A.T. Theoretical and experimental evaluation of two roadway piezoelectric-based energy harvesting prototypes. J. Mater. Civ. Eng. 2018, 30, 04017264. [Google Scholar] [CrossRef]
- Jasim, A.; Wang, H.; Yesner, G.; Safari, A.; Maher, A. Optimized design of layered bridge transducer for piezoelectric energy harvesting from roadway. Energy 2017, 141, 1133–1145. [Google Scholar] [CrossRef]
- Jasim, A.; Yesner, G.; Wang, H.; Safari, A.; Maher, A.; Basily, B. Laboratory testing and numerical simulation of piezoelectric energy harvester for roadway applications. Appl. Energy 2018, 224, 438–447. [Google Scholar] [CrossRef]
- Dogan, A.; Uchino, K.; Newnham, R.E. Composite piezoelectric transducer with truncated conical endcaps "cymbal". IEEE Trans. Ultrason. Ferroelectr. Freq. Control. 1997, 44, 597–605. [Google Scholar] [CrossRef]
- Moure, A.; Rodríguez, M.A.I.; Rueda, S.H.; Gonzalo, A.; Rubio-Marcos, F.; Cuadros, D.U.; Pérez-Lepe, A.; Fernández, J.F. Feasible integration in asphalt of piezoelectric cymbals for vibration energy harvesting. Energy Convers. Manag. 2016, 112, 246–253. [Google Scholar] [CrossRef]
- Yesner, G.; Jasim, A.; Wang, H.; Basily, B.; Maher, A.; Safari, A. Energy harvesting and evaluation of a novel piezoelectric bridge transducer. Sens. Actuators A Phys. 2019, 285, 348–354. [Google Scholar] [CrossRef]
- Guo, L.K.; Lu, Q. Modeling a new energy harvesting pavement system with experimental verification. Appl. Energy 2017, 208, 1071–1082. [Google Scholar] [CrossRef]
- Guo, L.K.; Lu, Q. Numerical analysis of a new piezoelectric-based energy harvesting pavement system: Lessons from laboratory-based and field-based simulations. Appl. Energy 2019, 235, 963–977. [Google Scholar] [CrossRef]
- Jeon, D.H.; Cho, J.Y.; Jhun, J.P.; Ahn, J.H.; Jeong, S.; Jeong, S.Y.; Kumar, A.; Ryu, C.H.; Hwang, W.; Park, H.; et al. A lever-type piezoelectric energy harvester with deformation-guiding mechanism for electric vehicle charging station on smart road. Energy 2021, 218, 119540. [Google Scholar] [CrossRef]
- Chen, Y.S.; Zhang, H.; Zhang, Y.Y.; Li, C.H.; Yang, Q.; Zheng, H.Y.; Lü, C.F. Mechanical energy harvesting from road pavements under vehicular load using embedded piezoelectric elements. J. Appl. Mech. 2016, 83, 081001. [Google Scholar] [CrossRef]
- Zhang, H.; Huang, K.X.; Zhang, Z.C.; Xiang, T.; Quan, L.W. Piezoelectric energy harvesting from roadways based on pavement compatible package. J. Appl. Mech. 2019, 86, 091012. [Google Scholar] [CrossRef]
- Wang, P.; Cheng, R.; Ding, G.; Wang, J.; Liu, Z.; Zhang, H. Optimized testing of package for stacked piezoelectric energy harvester in roadway applications. Ferroelectr. Lett. Sect. 2021, 48, 104–116. [Google Scholar] [CrossRef]
- Wang, C.H.; Zhao, J.X.; Li, Q.; Li, Y.W. Optimization design and experimental investigation of piezoelectric energy harvesting devices for pavement. Appl. Energy 2018, 229, 18–30. [Google Scholar] [CrossRef]
- Li, C.; Yang, F.; Liu, P.; Fu, C.; Liu, Q.; Zhao, H.; Lin, P. Development and piezoelectric properties of a stack units-based piezoelectric device for roadway application. Sensors 2021, 21, 7708. [Google Scholar] [CrossRef]
- Wu, P.H.; Shu, Y.C. Finite element modeling of electrically rectified piezoelectric energy harvesters. Smart Mater. Struct. 2015, 24, 094008. [Google Scholar] [CrossRef]
- Wu, Y.; Badel, A.; Formosa, F.; Liu, W.; Agbossou, A.E. Piezoelectric vibration energy harvesting by optimized synchronous electric charge extraction. J. Intell. Mater. Syst. Struct. 2013, 24, 1445–1458. [Google Scholar] [CrossRef]
- Xiang, H.J.; Wang, J.J.; Shi, Z.F.; Zhang, Z.W. Theoretical analysis of piezoelectric energy harvesting from traffic induced deformation of pavements. Smart Mater. Struct. 2013, 22, 095024. [Google Scholar] [CrossRef]
- Chen, Y.S.; Zhang, H.; Quan, L.W.; Zhang, Z.C.; Lü, C.F. Theoretical assessment on piezoelectric energy harvesting in smart self-powered asphalt pavements. J. Vib. Eng. Technol. 2018, 6, 1–10. [Google Scholar] [CrossRef]
- Zhang, Y.; Zhang, H.; Lü, C.; Chen, Y.; Wang, J. Piezoelectric energy harvesting from roadway deformation under various traffic flow conditions. J. Intell. Mater. Syst. Struct. 2020, 31, 1751–1762. [Google Scholar] [CrossRef]
- Zhao, X.; Xiang, H.; Shi, Z. Piezoelectric energy harvesting from vehicles induced bending deformation in pavements considering the arrangement of harvesters. Appl. Math. Model. 2020, 77, 327–340. [Google Scholar] [CrossRef]
- Zhao, H.D.; Yu, J.; Ling, J.M. Finite element analysis of cymbal piezoelectric transducers for harvesting energy from asphalt pavement. J. Ceram. Soc. Jpn. 2010, 118, 909–915. [Google Scholar] [CrossRef] [Green Version]
- Cafiso, S.; Cuomo, M.; Graziano, A.D.; Vecchio, C. Experimental analysis for piezoelectric transducers applications into roads pavements. Adv. Mater. Res. 2013, 684, 253–257. [Google Scholar] [CrossRef]
- Xiong, H.C.; Wang, L.B. Piezoelectric energy harvester for public roadway: On-site installation and evaluation. Appl. Energy 2016, 174, 101–107. [Google Scholar] [CrossRef]
- Yang, H.L.; Wang, L.B.; Hou, Y.; Guo, M.; Ye, Z.J.; Tong, X.L.; Wang, D.W. Development in stacked-array-type piezoelectric energy harvester in asphalt pavement. J. Mater. Civ. Eng. 2017, 29, 04017224. [Google Scholar] [CrossRef]
- Yang, H.L.; Wang, L.B.; Zhou, B.; Wei, Y.; Zhao, Q. A preliminary study on the highway piezoelectric power supply system. Int. J. Pavement Res. Technol. 2018, 11, 168–175. [Google Scholar] [CrossRef]
- Hwang, W.; Kim, K.-B.; Cho, J.Y.; Yang, C.H.; Kim, J.H.; Song, G.J.; Song, Y.; Jeon, D.H.; Ahn, J.H.; Hong, S.D.; et al. Watts-level road-compatible piezoelectric energy harvester for a self-powered temperature monitoring system on an actual roadway. Appl. Energy 2019, 243, 313–320. [Google Scholar] [CrossRef]
- Song, G.J.; Kim, K.-B.; Cho, J.Y.; Woo, M.S.; Ahn, J.H.; Eom, J.H.; Ko, S.M.; Yang, C.H.; Hong, S.D.; Jeong, S.Y.; et al. Performance of a speed bump piezoelectric energy harvester for an automatic cellphone charging system. Appl. Energy 2019, 247, 221–227. [Google Scholar] [CrossRef]
- Chen, C.; Xu, T.-B.; Yazdani, A.; Sun, J.-Q. A high density piezoelectric energy harvesting device from highway traffic—System design and road test. Appl. Energy 2021, 299, 117331. [Google Scholar] [CrossRef]
- Hong, S.D.; Ahn, J.H.; Kim, K.-B.; Kim, J.H.; Cho, J.Y.; Woo, M.S.; Song, Y.; Hwang, W.; Jeon, D.H.; Kim, J.; et al. Uniform stress distribution road piezoelectric generator with free-fixed-end type central strike mechanism. Energy 2022, 239, 121812. [Google Scholar] [CrossRef]
- Wang, C.H.; Wang, S.; Gao, Z.W.; Song, Z. Effect evaluation of road piezoelectric micro-energy collection-storage system based on laboratory and on-site tests. Appl. Energy 2021, 287, 116581. [Google Scholar] [CrossRef]
- Duong, L.; Pham, M.T.; Chebanenko, V.; Solovyev, A.; Nguyen, C.V. Finite element modeling and experimental studies of stack-type piezoelectric energy harvester. Int. J. Appl. Mech. 2017, 9, 1750084. [Google Scholar] [CrossRef]
- Zhao, H.D.; Tao, Y.J.; Niu, Y.L.; Ling, J.M. Harvesting energy from asphalt pavement by piezoelectric generator. J. Wuhan Univ. Technol.-Mater. Sci. Ed. 2014, 29, 933–937. [Google Scholar] [CrossRef]
- Wang, C.H.; Wang, S.; Gao, Z.W.; Wang, X.J. Applicability evaluation of embedded piezoelectric energy harvester applied in pavement structures. Appl. Energy 2019, 251, 113383. [Google Scholar] [CrossRef]
- Yang, S.P.; Li, S.H.; Lu, Y.J. Investigation on dynamical interaction between a heavy vehicle and road pavement. Veh. Syst. Dyns. 2010, 48, 923–944. [Google Scholar] [CrossRef]






| Geometry and Material Parameters | Value | 
|---|---|
| Length of a PEH unit, LP (m) | 0.05 | 
| Width of a PEH unit, BP (m) | 0.05 | 
| Thickness of a PEH unit, hP (m) | 0.02 | 
| Piezoelectric constant, d31 (C/N) | −2.74 × 10−10 | 
| Dielectric constants, ε33 (F/m) | 3.98 × 10−8 | 
| Elastic compliances, s11 (Pa−1) | 16.5 × 10−12 | 
| Elastic compliances, s12 (Pa−1) | −4.78 × 10−12 | 
| Publisher’s Note: MDPI stays neutral with regard to jurisdictional claims in published maps and institutional affiliations. | 
© 2022 by the authors. Licensee MDPI, Basel, Switzerland. This article is an open access article distributed under the terms and conditions of the Creative Commons Attribution (CC BY) license (https://creativecommons.org/licenses/by/4.0/).
Share and Cite
Zhang, Y.; Lai, Q.; Wang, J.; Lü, C. Piezoelectric Energy Harvesting from Roadways under Open-Traffic Conditions: Analysis and Optimization with Scaling Law Method. Energies 2022, 15, 3395. https://doi.org/10.3390/en15093395
Zhang Y, Lai Q, Wang J, Lü C. Piezoelectric Energy Harvesting from Roadways under Open-Traffic Conditions: Analysis and Optimization with Scaling Law Method. Energies. 2022; 15(9):3395. https://doi.org/10.3390/en15093395
Chicago/Turabian StyleZhang, Yangyang, Qi Lai, Ji Wang, and Chaofeng Lü. 2022. "Piezoelectric Energy Harvesting from Roadways under Open-Traffic Conditions: Analysis and Optimization with Scaling Law Method" Energies 15, no. 9: 3395. https://doi.org/10.3390/en15093395
APA StyleZhang, Y., Lai, Q., Wang, J., & Lü, C. (2022). Piezoelectric Energy Harvesting from Roadways under Open-Traffic Conditions: Analysis and Optimization with Scaling Law Method. Energies, 15(9), 3395. https://doi.org/10.3390/en15093395
 
         
                                                



 
       