Energy Performance Curves Prediction of Centrifugal Pumps Based on Constrained PSO-SVR Model
Abstract
:1. Introduction
2. Geometric Features
3. Theoretical Analysis
3.1. Performance Relationship of Pumps
3.2. Support Vector Regression
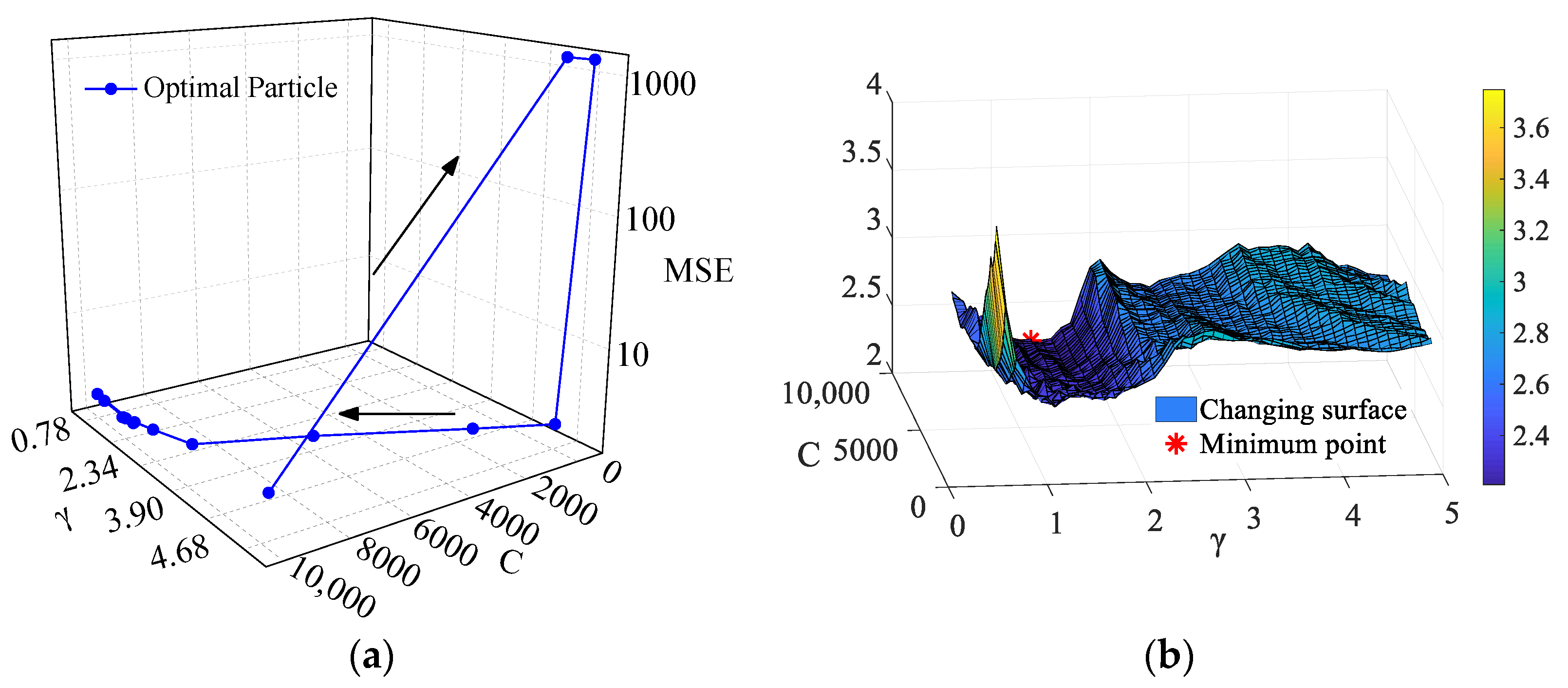
3.3. Particle Swarm Optimization
4. Model Construction
4.1. Data Porcessing
4.2. Implementation Steps of Prediction Model
- Step 1: Collect 535 samples under different working conditions to build the prediction model and divide 428 samples for training and 107 samples for testing. All samples were normalized using Equation (11).
- Step 2: Establish the relationship between the optimization variables and performance constraint functions, as shown in Equation (14), determine the optimization range of the optimization variables, and select the appropriate kernel function according to the sample characteristics.where is the constraint error, and are the predicted head and power, respectively.
- Step 3: Randomly distribute 100 particles in the optimization range, adjust the local learning factor and the global learning factor , and assign a relatively large value for the inertia factor to improve the global optimization ability.
- Step 4: Introduce Equation (14) into the objective function to determine the particle with the smallest constraint error. The maximum evolution generations were set to 15.
- Step 5: Determine whether the particle velocity tends to converge. If it converges, switch to Step 6. Otherwise, go back to Step 2.
- Step 6: Establish and train the SVR model based on the position of the globally optimal particle.
- Step 7: Predict the head and power based on 107 test samples. Calculate the efficiency using Equation (5) and compare it with the experimental efficiency to determine whether the constraint accuracy is satisfied. If not, return to Step 2. Otherwise, switch to Step 8.
- Step 8: Output the SVR model to predict the energy performance of the centrifugal pump.
4.3. Establishment of PSO-SVR
5. Discussion and Results
5.1. Prediction Analysis of Tset Sample
5.2. Prediction of Multi-Condition Samples
5.3. Comparsion with XGBoost Model
5.4. Comparisons with BP Neural Network
6. Conclusions
Author Contributions
Funding
Institutional Review Board Statement
Informed Consent Statement
Data Availability Statement
Conflicts of Interest
Nomenclature
| ARE | Absolute relative error |
| MARE | Mean Absolute Relative Error |
| CFD | Computational Fluid Dynamics |
| SVR | Support Vector Regression |
| PSO | Particle Swarm Optimization |
| XGBoost | Extreme Gradient Boosting |
| BP | Back Propagation |
| Inlet diameter of impeller | |
| Inlet diameter of blade | |
| Hub diameter of impeller | |
| Inlet angle of blade | |
| Outlet diameter of impeller | |
| Outlet width of impeller | |
| Outlet angle of blade | |
| Wrap angle of blade | |
| Number of blades | |
| Diameter of base circle | |
| Placement angle of cut tongue | |
| Width of inlet | |
| Head | |
| Predicted head of the th sample | |
| Shaft power | |
| predicted shaft power of the th sample | |
| Output power | |
| Loss power | |
| Efficiency | |
| Test efficiency of the th sample | |
| Calculation efficiency of the th sample | |
| Flow | |
| Energy per unit weight of fluid at the pump outlet | |
| Energy per unit weight of fluid at the pump inlet | |
| Density | |
| Acceleration of gravity | |
| Penalty coefficient | |
| Relaxation factor | |
| Relaxation factor | |
| Loss function | |
| Lagrange multipliers | |
| Lagrange multipliers | |
| Kernel function | |
| Speed of particle | |
| Position of particle | |
| Current optimal value | |
| Global optimal solution | |
| Inertia factor | |
| Particle learning factor | |
| Swarm learning factor | |
| Maximum value of sample | |
| Minimum value of sample | |
| Number of samples | |
| Coefficient of the kernel function | |
| Tolerance parameter | |
| Constraint error | |
| Test experiments of the th sample | |
| Predicted value of the th sample |
References
- Imasaka, Y.; Kanno, H.; Saito, S.; Miyagawa, K.; Nohmi, M.; Isono, M.; Kawai, M. Clogging Mechanisms of Vortex Pumps: Fibrous Material Motion Capture and Simulation with a CFD and DEM Coupling Method. In Proceedings of the ASME 2018 5th Joint US-European Fluids Engineering Division Summer Meeting, Montreal, QC, Canada, 15–20 July 2018. [Google Scholar]
- Muriel, D.F.; Tinoco, R.O.; Filardo, B.P.; Cowen, E.A. Development of a novel, robust, sustainable and low cost self-powered water pump for use in free-flowing liquid streams. Renew. Energy 2016, 91, 466–476. [Google Scholar] [CrossRef]
- Ramakrishna, R.; Hemalatha, S.; Rao, D.S. Analysis and performance of centrifugal pump impeller. Mater. Today Proc. 2021, 50, 2467–2473. [Google Scholar] [CrossRef]
- Sun-Sheng, Y.; Shahram, D.; Fan-Yu, K. Theoretical, numerical and experimental prediction of pump as turbine performance. Renew. Energy 2012, 48, 507–513. [Google Scholar]
- Bozorgasareh, H.; Khalesi, J.; Jafari, M.; Gazori, O.H. Performance improvement of mixed-flow centrifugal pumps with new impeller shrouds: Numerical and experimental investigations. Renew. Energy 2021, 50, 635–648. [Google Scholar] [CrossRef]
- Simão, M.; Ramos, H.M. Micro Axial Turbine Hill Charts: Affinity Laws, Experiments and CFD Simulations for Different Diameters. Energies 2019, 12, 2908. [Google Scholar] [CrossRef] [Green Version]
- Zhou, P.-J.; Wang, F.-J.; Yang, Z.-J.; Mou, J.-G. Investigation of rotating stall for a centrifugal pump impeller using various SGS models. J. Hydrodyn. Ser. B 2017, 29, 235–242. [Google Scholar] [CrossRef]
- Zhou, P.-J.; Dai, J.-C.; Li, Y.-F.; Chen, T.; Mou, J.-G. Unsteady flow structures in centrifugal pump under two types of stall conditions. J. Hydrodyn. 2018, 30, 1038–1044. [Google Scholar] [CrossRef]
- Morani, M.C.; Simão, M.; Gazur, I.; Santos, R.S.; Carravetta, A.; Fecarotta, O.; Ramos, H.M. Pressure Drop and Energy Recovery with a New Centrifugal Micro-Turbine: Fundamentals and Application in a Real WDN. Energies 2022, 15, 1528. [Google Scholar] [CrossRef]
- Zhang, C.; Xu, S.; Yu, P. Numerical analysis of the effects of gas-phase properties on the internal characteristics and wear in a centrifugal pump. Aquac. Eng. 2020, 91, 102126. [Google Scholar] [CrossRef]
- Zhao, J.; Xiang, Y.; Fan, C. A new method for polishing the inner wall of a circular tube with a soft abrasive rotating jet. Powder Technol. 2022, 398, 117068. [Google Scholar] [CrossRef]
- Zhang, S.; Yao, Z.; Wu, H.; Zhong, Q.; Tao, R.; Wang, F. A New Turbulent Viscosity Correction Model with URANS Solver for Unsteady Turbulent Cavitation Flow Computations. J. Fluids Eng. 2022, 144, 091403. [Google Scholar] [CrossRef]
- Zhou, W.; Wang, Y.; Li, C.; Zhang, W.; Wu, G. Analysis of fluid-induced force of centrifugal pump impeller with compound whirl. Alex. Eng. J. 2020, 59, 4247–4255. [Google Scholar] [CrossRef]
- Capurso, T.; Bergamini, L.; Torresi, M. Performance analysis of double suction centrifugal pumps with a novel impeller configuration. Energy Convers. Manag. X 2022, 14, 100227. [Google Scholar] [CrossRef]
- Zhao, J.; Fu, Y.; Ma, J.; Fu, J.; Chao, Q.; Wang, Y. Review of cylinder block/valve plate interface in axial piston pumps: Theoretical models, experimental investigations, and optimal design. Chin. J. Aeronaut. 2021, 34, 111–134. [Google Scholar] [CrossRef]
- Guan, D.; Cong, X.; Li, J.; Niu, Z. Experimental test and theoretical modeling on the working characteristics of spherical water pump. Flow Meas. Instrum. 2022, 85, 102162. [Google Scholar] [CrossRef]
- Lin, T.; Zhu, Z.; Li, X.; Li, J.; Lin, Y. Theoretical, experimental, and numerical methods to predict the best efficiency point of centrifugal pump as turbine. Renew. Energy 2021, 168, 31–34. [Google Scholar] [CrossRef]
- Harish, R.; Subhramanyan, E.E.; Madhavan, R.; Vidyanand, S. Theoretical model for evaluation of variable frequency drive for cooling water pumps in sea water based once through condenser cooling water systems. Appl. Therm. Eng. 2010, 30, 2051–2057. [Google Scholar] [CrossRef]
- Stefanizzi, M.; Torresi, M.; Fornarelli, F.; Fortunato, B.; Camporeale, S.M. Performance prediction model of multistage centrifugal Pumps used as Turbines with Two-Phase Flow. Energy Procedia 2018, 148, 408–415. [Google Scholar] [CrossRef]
- Fecarotta, O.; Carravetta, A.; Ramos, H.M.; Martino, R. An improved affinity model to enhance variable operating strategy for pumps used as turbines. J. Hydraul. Res. 2016, 54, 332–341. [Google Scholar] [CrossRef]
- Huang, S.; He, J.; Wang, X.; Qiu, G. Theoretical Model for the Performance of Liquid Ring Pump Based on the Actual Operating Cycle. Int. J. Rotating Mach. 2017, 2017, 3617321. [Google Scholar] [CrossRef]
- El-Naggar, M.A. A one-dimensional flow analysis for the prediction of centrifugal pump performance characteristics. Int. J. Rotating Mach. 2013, 2013, 473512. [Google Scholar] [CrossRef] [Green Version]
- Bing, H.; Tan, L.; Cao, S.; Lu, L. Prediction method of impeller performance and analysis of loss mechanism for mixed-flow pump. Sci. China Technol. Sci. 2012, 55, 1988–1998. [Google Scholar] [CrossRef]
- Kara Omar, A.; Khaldi, A.; Ladouani, A. Prediction of centrifugal pump performance using energy loss analysis. Aust. J. Mech. Eng. 2017, 15, 210–221. [Google Scholar] [CrossRef]
- Liu, M.; Tan, L.; Cao, S. Theoretical model of energy performance prediction and BEP determination for centrifugal pump as turbine. Energy 2019, 172, 712–732. [Google Scholar] [CrossRef]
- Kassab, S.Z.; Kandil, H.A.; Warda, H.A.; Ahmed, W.H. Experimental and analytical investigations of airlift pumps operating in three-phase flow. Chem. Eng. J. 2007, 131, 273–281. [Google Scholar] [CrossRef]
- Ming, L.; Lei, T.; Yun, X.; Cao, S. Optimization design method of multi-stage multiphase pump based on Oseen vortex. J. Pet. Sci. Eng. 2020, 184, 106532. [Google Scholar]
- Toet, G.; Johnson, J.; Montague, J.; Torres, K.; José, G.-B. The Determination of the Theoretical Stroke Volume of Hydrostatic Positive Displacement Pumps and Motors from Volumetric Measurements. Energies 2019, 12, 415. [Google Scholar] [CrossRef] [Green Version]
- Tahani, M.; Kandi, A.; Moghimi, M.; Houreh, S.D. Rotational speed variation assessment of centrifugal pump-as-turbine as an energy utilization device under water distribution network condition. Energy 2020, 213, 118502. [Google Scholar] [CrossRef]
- Pedersen, G.K.M.; Yang, Z. Estimation of Pump-Curves using Genetic Algorithms. In Proceedings of the 10th Annual Conference on Genetic and Evolutionary Computation, Atlanta, GA, USA, 12–16 July 2008. [Google Scholar]
- Ye, S.; Zhang, J.; Xu, B.; Hou, L.; Xiang, J.; Tang, H. A theoretical dynamic model to study the vibration response characteristics of an axial piston pump. Mech. Syst. Signal Processing 2021, 150, 107237. [Google Scholar] [CrossRef]
- Altobi, M.A.S.; Bevan, G.; Wallace, P.; Harrison, D.; Ramachandran, K.P. Fault diagnosis of a centrifugal pump using MLP-GABP and SVM with CWT. Eng. Sci. Technol. Int. J. 2019, 22, 854–861. [Google Scholar] [CrossRef]
- Wu, D.; Huang, H.; Qiu, S.; Liu, Y.; Wu, Y.; Ren, Y.; Mou, J. Application of Bayesian regularization back propagation neural network in sensorless measurement of pump operational state. Energy Rep. 2022, 8, 3041–3050. [Google Scholar] [CrossRef]
- Azadeh, A.; Saberi, M.; Kazem, A.; Ebrahimipour, V.; Nourmohammadzadeh, A.; Saberi, Z. A flexible algorithm for fault diagnosis in a centrifugal pump with corrupted data and noise based on ANN and support vector machine with hyper-parameters optimization. Appl. Soft Comput. 2013, 13, 1478–1485. [Google Scholar] [CrossRef]
- Faegh, M.; Behnam, P.; Shafii, M.B.; Khiadani, M. Development of artificial neural networks for performance prediction of a heat pump assisted humidification-dehumidification desalination system. Desalination 2021, 508, 115052. [Google Scholar] [CrossRef]
- Rossi, M.; Renzi, M. A general methodology for performance prediction of pumps-as-turbines using Artificial Neural Networks. Renew. Energy 2018, 128, 265–274. [Google Scholar] [CrossRef]
- Huang, R.; Zhang, Z.; Zhang, W.; Mou, J.; Zhou, P.; Wang, Y. Energy performance prediction of the centrifugal pumps by using a hybrid neural network. Energy 2020, 213, 119005. [Google Scholar] [CrossRef]
- Han, W.; Nan, L.; Su, M.; Chen, Y.; Li, R.; Zhang, X. Research on the Prediction Method of Centrifugal Pump Performance Based on a Double Hidden Layer BP Neural Network. Energies 2019, 12, 2709. [Google Scholar] [CrossRef] [Green Version]
- Ping, X.; Yang, F.; Zhang, H.-G.; Zhang, W.-j.; Song, G.; Yang, Y. Prediction and optimization of isentropic efficiency of vortex pump under full operating conditions in Organic Rankine Cycle waste heat recovery system based on deep learning and intelligent algorithm. Sustain. Energy Technol. Assess. 2020, 42, 100898. [Google Scholar] [CrossRef]
- Srivastava, S.; Roy, A.K.; Kumar, K. Design analysis of Mixed Flow Pump Impeller Blades Using ANSYS and Prediction of its Parameters using Artificial Neural Network. Procedia Eng. 2014, 97, 2022–2031. [Google Scholar] [CrossRef]
- Derakhshan, S.; Pourmahdavi, M.; Abdolahnejad, E.; Reihani, A.; Ojaghi, A. Numerical shape optimization of a centrifugal pump impeller using artificial bee colony algorithm. Comput. Fluids 2013, 12, 145–151. [Google Scholar] [CrossRef]
- Ji, Y.; Yang, Z.; Ran, J.; Li, H. Multi-objective parameter optimization of turbine impeller based on RBF neural network and NSGA-II genetic algorithm. Energy Rep. 2021, 7, 584–593. [Google Scholar] [CrossRef]
- Deng, H.-Y.; Liu, Y.; Li, P.; Zhang, S. Whole flow field performance prediction by impeller parameters of centrifugal pumps using support vector regression. Adv. Eng. Softw. 2017, 114, 258–267. [Google Scholar] [CrossRef]
- Ping, X.; Yang, F.; Zhang, H. Introducing machine learning and hybrid algorithm for prediction and optimization of multistage centrifugal pump in an ORC system. Energy 2017, 114, 120007. [Google Scholar] [CrossRef]
- Matlakala, M.E.; Kallon, D.V.V.; Simelane, S.P.; Mashinini, P.M. Impact of Design Parameters on the Performance of Centrifugal Pumps. Procedia Manuf. 2019, 35, 197–206. [Google Scholar] [CrossRef]
- Zhou, Z.-H. Machine Learning; Tsinghua University Press: Beijing, China, 2016; pp. 121–141. [Google Scholar]
- Alex, S.; Bernhard, S. A tutorial on support vector regression. Stat. Comput. 2004, 114, 199–222. [Google Scholar]
- Drucker, H.; Burges, C.J.; Kaufman, L.; Smola, A.; Vapnik, V. Support Vector Regression Machines. In Advances in Neural Information Processing Systems 9 (NIPS); The MIT Press: Cambridge, MA, USA, 1996. [Google Scholar]
- Chen, T.; Guestrin, C. XGBoost: A Scalable Tree Boosting System. In Proceedings of the 22nd ACM SIGKDD International Conference on Knowledge Discovery and Data Mining, San Francisco, CA, USA, 13–17 August 2016. [Google Scholar]













| Number Series | ||||||||||
|---|---|---|---|---|---|---|---|---|---|---|
| 1 | 0.0196 | 0.0606 | 0 | 0.4156 | 0 | 0.36 | 0 | 0.8276 | 0.4060 | 0.0588 |
| 2 | 0.0283 | 0.2272 | 0.6944 | 0.5121 | 0.0385 | 0.52 | 0 | 0.9342 | 0.5639 | 0.1324 |
| 3 | 0.1907 | 0.3485 | 0 | 0.1596 | 0.3077 | 0.48 | 0.5 | 0.2884 | 0.1429 | 0.3235 |
| 4 | 0.9212 | 1 | 1 | 0.5121 | 1 | 0.4 | 0.5 | 0 | 0.5639 | 1 |
| 533 | 0.0176 | 0.0606 | 0 | 0.4156 | 0 | 0.36 | 0 | 0.8276 | 0.4060 | 0.0588 |
| 534 | 0.0434 | 0.1591 | 0 | 0.0074 | 0.1154 | 0.6 | 1 | 0.3135 | 0 | 0.1471 |
| 535 | 0.2738 | 0.6136 | 0 | 0.3191 | 0.4327 | 0.1 | 1 | 0.1693 | 0.3383 | 0.4412 |
| Name of Parameters | Value | |
|---|---|---|
| PSO | number of particles | 100 |
| range of optimization | 1–10,000\1–5 | |
| times of iteration | 15 | |
| learning factor | 0.5\0.5 | |
| weight factor | 0.8 | |
| SVR | kernel function | RBF |
| 10,000 | ||
| 1.48 | ||
| tolerance | 0.001 | |
| 0.1 |
| /(m3/h) | /(°) | |||||||||
|---|---|---|---|---|---|---|---|---|---|---|
| 23.4 | 12.5 | 50 | 14 | 251 | 6.5 | 32.5 | 4 | 142 | 255 | 18 |
| 46.2 | 50 | 80 | 0 | 252 | 6.5 | 39 | 5 | 135 | 260 | 22 |
| 125.3 | 100 | 90 | 0 | 173 | 20 | 29 | 5 | 112 | 178 | 34 |
| Name of Parameters | Value | |
|---|---|---|
| PSO | number of particles | 100 |
| range of optimization | 3~10\0.1~0.8\300~1000 | |
| times of iteration | 15 | |
| learning factor | 0.5\0.5 | |
| weight factor | 0.8 | |
| XGBoost | Max depth | 10 |
| Learning rate | 0.1204 | |
| Estimators | 720 | |
| objective | Squared error | |
| jobs | −1 |
| BPNN | PSO-XGBoost | PSO-SVR | |
|---|---|---|---|
| MSE | 26.225 | 14.37 | 0.638 |
| R2 score | 0.9914 | 0.9913 | 0.9993 |
| MARE | 6.21% | 3.76% | 1.18% |
Publisher’s Note: MDPI stays neutral with regard to jurisdictional claims in published maps and institutional affiliations. |
© 2022 by the authors. Licensee MDPI, Basel, Switzerland. This article is an open access article distributed under the terms and conditions of the Creative Commons Attribution (CC BY) license (https://creativecommons.org/licenses/by/4.0/).
Share and Cite
Luo, H.; Zhou, P.; Shu, L.; Mou, J.; Zheng, H.; Jiang, C.; Wang, Y. Energy Performance Curves Prediction of Centrifugal Pumps Based on Constrained PSO-SVR Model. Energies 2022, 15, 3309. https://doi.org/10.3390/en15093309
Luo H, Zhou P, Shu L, Mou J, Zheng H, Jiang C, Wang Y. Energy Performance Curves Prediction of Centrifugal Pumps Based on Constrained PSO-SVR Model. Energies. 2022; 15(9):3309. https://doi.org/10.3390/en15093309
Chicago/Turabian StyleLuo, Huican, Peijian Zhou, Lingfeng Shu, Jiegang Mou, Haisheng Zheng, Chenglong Jiang, and Yantian Wang. 2022. "Energy Performance Curves Prediction of Centrifugal Pumps Based on Constrained PSO-SVR Model" Energies 15, no. 9: 3309. https://doi.org/10.3390/en15093309
APA StyleLuo, H., Zhou, P., Shu, L., Mou, J., Zheng, H., Jiang, C., & Wang, Y. (2022). Energy Performance Curves Prediction of Centrifugal Pumps Based on Constrained PSO-SVR Model. Energies, 15(9), 3309. https://doi.org/10.3390/en15093309

