Abstract
Ventilation is becoming increasingly important to improve indoor air quality and prevent the spread of COVID-19. This study analyzed the indoor air quality of office spaces, where occupants remain for extended periods, among multi-use facilities with an increasing need for ventilation system application. A “tool for office space CO2 prediction and indoor air quality improvement recommendation” was developed. The research method was divided into four steps. Step 1: Analysis of indoor air quality characteristics in office spaces was carried out with a questionnaire survey and indoor air quality experiment. Based on the CO2 concentration, which was found to be a problem in the indoor air quality experiment in the office space, Step 2: CO2 concentration prediction tool for office spaces, which requires inputs of regional and spatial factors and architectural and equipment elements, was developed. In Step 3: Development and verification of prediction tool considering economic feasibility, the cost of energy recovery ventilation systems based on the invoices of the energy recovery ventilation manufacturers was analyzed. In Step 4: Energy recovery ventilation proposal and indoor CO2 forecast, Office Space B, which can accommodate up to 15 people, was derived as an example of the proposed tool. As a result of the prediction, the optimal air volume of the energy recovery ventilation was determined according to the “office CO2 prediction and indoor air quality improvement recommendations”. This study introduced simple tools, which can be used by non-experts, that are capable of showing changes in indoor air quality, CO2 concentration and cost according to activities.
1. Background of Research
Since its outbreak at the end of 2019, the COVID-19 pandemic has continued to spread []. The COVID-19 virus, which has a high infection rate and rapid spread, spreads to humans through the droplets of infected individuals and contaminates the surfaces of objects, resulting in frequent infection cases in confined spaces [,]. To curb the spread of this pandemic, the South Korean government prepared and implemented a nationwide manual for the prevention of infectious diseases, including the four-stage social distancing policy []. However, regarding the COVID-19 pandemic, as shown in Figure 1a, the number of confirmed cases is increasing mainly in the Seoul Metropolitan Area []. The Korea Disease Control and Prevention Agency (KCDA), which has developed various manuals and guidelines to prevent the spread of COVID-19, has emphasized the importance of disinfection and ventilation in its guidance manual [].
Ventilation, one of the methods used to mitigate the risk of COVID-19, has been applied by both experts and non-experts, and the South Korean Rules on the Standards, etc. for Facilities of Buildings have been revised accordingly, requiring medical institutions, apartment buildings, and educational and research facilities to be equipped with appropriate ventilation facilities []. These ventilation standards are already being actively applied overseas. For example, laws and regulations provide ventilation standards in the United States in reference to ASHRAE standards, and building design includes ventilation facilities in Japan, with reference to HEAS standards []. As demonstrated in these examples, the importance of ventilation is being emphasized worldwide, and South Korea is no exception.
Due to the increasing importance of ventilation worldwide, the domestic energy recovery ventilation (ERV) market is expanding. As of April 2020, the Rules on the Standards, etc. for Facilities of Buildings stipulated that apartment buildings containing 30 or more households should install mechanical ventilation facilities, in addition to multi-use facilities, for which the installation of mechanical ventilation facilities was already required [].
However, rules regarding the frequency of ventilation for each use, installation standards for mechanical ventilation facilities, and manuals for multi-use facilities except for apartment buildings are still in preparation [,].
The mechanical ventilation system installation standards for multi-use facilities have recently been revised, and their scope is limited to new buildings. As shown in Figure 2, the majority (58.2%) of all buildings in South Korea are old buildings, or buildings that are at least 20 years old []. In addition, according to the “Current Status of Mass Infection Clusters in Seoul Metropolitan Area” released in November 2020, as shown in Figure 1b, the incidence rate of COVID-19 infection was particularly high in religious facilities, multi-use facilities with a lack of ventilation standards, and office spaces, at 36% and 22%, respectively [,]. Office spaces are high-risk areas in terms of the incidence of infectious diseases because many people remain in one shared space for extended periods.
Figure 1.
(a) Ratio of confirmed cases of COVID-19 by region in Korea []; * ratio of COVID-19 confirmed cases by region; (b) cases of mass infection of COVID-19 in multi-use facilities in Seoul []. All values are as of November 2021.
Figure 2.
Age analysis of existing buildings in Korea []; values as of November 2021.
As described above, it is necessary to predict the indoor air quality reflecting the application status of natural and mechanical ventilation facilities, the characteristics of occupants’ activities, and the spatial characteristics of office spaces among existing buildings with a lack of ventilation facilities standards. Moreover, suitable ventilation facilities must be provided. The domestic indoor air quality prediction analysis mainly utilizes the indoor air quality measurement method using measurement devices and the spatial indoor air quality prediction analysis method using a CFD program.
However, spatial analysis methods using measurement and CFD programs are difficult for non-professionals because they require equipment and program proficiency [,,]. Therefore, there is a need for a simple indoor air quality prediction tool that can be used by non-experts.
2. Objectives of Research
Considering the aforementioned issues of office spaces, this study identified the current status of the application of ventilation facilities in existing buildings in South Korea, in addition to the difficulties in the application of ventilation facilities through a survey of tenants and users occupying an office space. In addition, this study aimed to provide office space users with a tool that can predict indoor air quality, before creating an interior design and living environment, by analyzing air quality characteristics through an indoor air quality experiment in their office space.
Finally, the purpose of this study was to present a decision tool for more efficiently constructing an air purification system by determining the amount of ventilation suitable for the characteristics of office spaces, in addition to the benefits and costs for the tenants through an economic feasibility analysis of ERV.
3. Research Method
Figure 3 shows the research process according to the purpose of this study to develop an ERV selection tool that considers the indoor air quality prediction and economic feasibility reflecting the characteristics of office spaces.
Figure 3.
Research model and economic analysis of indoor CO2 concentration prediction and the improvement proposal system reflecting characteristics of office occupants; * target: office space.
This research method was applied in four major steps, as follows: Step 1: Analysis of indoor air quality characteristics in office spaces; Step 2: CO2 concentration prediction tool for office spaces; Step 3: Development and verification of prediction tool considering economic feasibility; and Step 4: Proposal of ERV and prediction of indoor CO2.
4. Step 1: Analysis of Indoor Air Quality Characteristics in Office Spaces
The indoor air quality in office spaces was qualitatively and quantitatively characterized, and the analysis results were utilized to derive the problems of indoor air quality in office spaces. The qualitative characteristic analysis contained two parts: a survey on the current status of domestic office spaces and a questionnaire survey for the analysis of user satisfaction. A quantitative characteristic analysis was conducted through an experiment, in which the concentrations of fine dust and CO2, representative pollutants of indoor air quality, were measured [,].
4.1. Qualitative Characteristic Analysis: Survey on Current Status of Domestic Office Spaces and Analysis of User Satisfaction
In the case of the qualitative characteristic analysis, related drawings were analyzed to identify the application status of mechanical ventilation facilities in domestic office spaces and compared with domestic installation standards. Moreover, a questionnaire survey was conducted to objectively investigate the comfort and satisfaction of occupants, and the necessity of improving indoor air quality.
4.1.1. Survey on Current Status of Domestic Office Spaces
Among domestic building standards, the representative legal standards closely related to ventilation are the Rules on the Standards, etc. for Facilities of Buildings [] and the Indoor Air Quality Control Act []. Ventilation through windows is prescribed based mainly on the standard for natural smoke ventilators in article 14-2 of the Rules on the Standards, etc. for Facilities of Buildings. The main purpose of this provision is to exhaust smoke in the case of fire rather than ventilation through windows []. This case indicates that there is a lack of standards regarding installation methods of natural ventilation facilities and their scope of application for domestic office spaces.
There is an increasing awareness of the need for indoor space ventilation through mechanical ventilation for non-residential buildings; however, it is difficult to set certain standards for office spaces compared to apartment buildings because it is hard to determine the number of occupants in each space. Furthermore, ventilation performance decreases when openings are designed to be small based on energy-efficient building designs [,,,].
We examined 10 non-residential buildings including office spaces newly constructed in 2018–2021 for the analysis of actual building application status in comparison to the previously analyzed domestic ventilation standards, and found a total of four buildings that were designed considering the number of occupants. The sum of the total window area satisfied 10% or more of the floor area in all 10 places, while the effective opening area was found to be 9.5% of the total window area. It was confirmed that ERV mechanical ventilation was only installed in six buildings (60%). Even in the case of recently designed buildings, less than half of the survey subjects considered ventilation by reflecting the number of occupants during the design stage, and the effective opening area for ventilation windows considering natural ventilation depending on the size of the office spaces was significantly insufficient [].
4.1.2. Questionnaire Survey on Office Space Users
A questionnaire survey containing seven items and 23 sub-items, including comfort level, satisfaction level, and the necessity of improving indoor air quality, was conducted with 45 office workers employed in a currently occupied building.
This questionnaire survey was conducted without distinction between experts and non-experts regarding architecture, and figures and photos for each question item were attached to help the respondents understand the questions. The details of the questions are presented in Table 1, and the representative responses are listed in Figure 4.
Table 1.
Questionnaire content.
According to Figure 4a, which contains the responses to the questions items shown in Table 1, only 42% of buildings were designed for office work, and according to Figure 4b, the proportion of buildings reporting ventilation three times or more per day through windows was low, at approximately 33%. Figure 4c shows that the ERV, which is a mechanical ventilation system, was not installed in 69% of the buildings. Furthermore, Figure 4d indicates that 56% of the respondents felt uncomfortable with the indoor air quality of their office space.
As previously described, the results of the survey revealed the lack of application of natural and mechanical ventilation facilities in domestic office spaces, in addition to the issues of office spaces perceived by users, such as the recognition of voluntary natural ventilation and the difficulty of regular opening and closing. In addition, 58% of the total survey respondents were working in an office space that was not designed in consideration of the number and characteristics of office space occupants. In this case, it was difficult to reflect the ventilation facilities considering the number of occupants and the characteristics of the space.
4.2. Quantitative Characteristic Analysis: Indoor Air Quality Experiment in Office Spaces
The questionnaire survey for the qualitative characteristic analysis revealed the dissatisfaction of office space occupants with the indoor air quality. Thus, an indoor air quality experiment was conducted for the quantitative characteristic analysis.
Moreover, to analyze the comfort and indoor air quality of the first office space analysis, the predicted mean vote (PMV) of the office space was determined, and the concentrations of CO2 and fine dust, which are representative indoor air pollutants, were measured [,,,].
In the indoor air quality experiment, temperature, humidity (or dew point temperature), CO2, PM10, and PM2.5 were measured. The building, including the office space where the experiment was conducted, was newly constructed; it received the highest rating level for the Green Building Certification (G-SEED) [], and a 1++ level for the Building Energy Efficiency Rating in 2021 [], exhibiting significantly high energy efficiency and airtight performance. The experiment was conducted from 15 April to 26 April 2021, in a one-person office space with a floor area of 28.10 m2 [,,].
Measurements were obtained with one or two occupants, reflecting the usage characteristics of this space. The measurement of fine dust was performed using a Sensirion SPS30 (acquiring the monitoring certification by the U.K. Environment Agency), and the measurements of temperature and CO2 concentration were performed using a Testo 400 and IAQ160. Measurements were obtained at three locations: outdoor, indoor, and hallway. Figure 5a shows that the indoor measurement points were located at the center of the building.
Figure 5.
Indoor air quality measurement of a one-person office space: (a) one-person office space plane view and measurement locations, and (b) photos of the indoor air quality measurement experiment on 20 April 2021.
Measurement was performed on 20 April and 22 April 2021. The door opening sensor shown in Figure 5b was utilized to record the entry and exit of occupants. Considering the comfort level regarding the stuffy office space and uncomfortable indoor air environment, which were problems in the previous qualitative evaluation, the indoor temperature and humidity data measured by the Testo 400 on 20 April were utilized to conduct “CBE Thermal Comfort Tool” [] PMV analysis. As shown in Figure 6, the analysis indicated a value of −0.17, which is within the comfort range of the ASHRAE Standard 55(2020) [,]. During measurement from 15:00 to 17:00 on 20 April, EHP, air purifier, and natural ventilation were not used, and the air speed was selected as 0.17 m/s [,].
Figure 6.
Indoor air quality measurement of one-person office space: one-person office space comfort level analysis result as of 20 April 2021.
4.2.1. Indoor Air Quality Experiment in Office Spaces
In the case of the indoor air quality test conducted on 20 April, measurements were carried out in the absence of other factors such as window opening and door opening.
As shown in Figure 7a, as a result of one occupant staying in the office space for 15 min, it was found that the CO2 concentration increased by about 40–50 ppm (about 3 ppm/min) per 15 min. During the two-person meeting for 30 min from 15:15 to 15:45, the CO2 concentration increased by 200 ppm (about 6.7 ppm/min).

Figure 7.
Concentration measurement of (a) CO2 and (b) PM2.5 on 20 April 2021.
When one or two people occupied an office space designed for one person for two hours, the CO2 concentration rose to 995 ppm. Therefore, it can be predicted that the 1000 ppm CO2 maintenance standard of the enforcement decree of the Indoor Air Quality Control Act of Korea would be exceeded after 2 h of occupancy [].
As shown in Figure 7b, the PM2.5 concentrations on 20 April was 41 μg/m3 at 15:00, when the occupant entered this space at the occupant’s breathing height of 1.2 m [], which exceeded the indoor standard of 35 μg/m3. In contrast, it decreased to 28 μg/m3 at 17:00 after 2 h, indicating that the decrease per hour was 0.108 μg/(m3 min). In addition, a comparison of PM2.5 concentration between outdoor, hallway, and office space, showed that the concentration was the lowest indoors. Despite the non-operation of natural and mechanical ventilation, the PM2.5 concentration decreased to 35 μg/m3 or less, which is the domestic indoor air quality standard, after 1 h occupancy.
4.2.2. Indoor Air Quality Experiment According to the Application of Natural Ventilation in Office Space
Figure 8 presents the analysis results from the indoor air quality experiment conducted on 22 April, where indoor air quality was measured by adding variables of window opening and hallway door opening.
Figure 8.
Indoor air quality measurement with various conditions on 22 April 2021, in a one-person office: (a) CO2 concentration and (b) PM2.5 concentration.
As shown in Figure 8a, the analysis results regarding the measurement of CO2 concentration indicate that when the two occupants stayed in the space without ventilation, the concentration rose to 957 ppm within 1 h and 45 min. In contrast, ventilation was performed for 30 min, from 16:45 to 17:15, when the hallway doors and windows were opened as the first variable condition; as a result, the CO2 concentration decreased to 554 ppm, with a 13.4 ppm/min decrease rate. As a second activity scenario, ventilation for 30 min, from 18:15 to 18:45, when the door connected to the hallway was opened, resulted in a decrease in the CO2 concentration by 238 ppm to 718 ppm, showing a 7.9 ppm/min decrease rate.
In contrast, as the third activity scenario, only the window was opened and ventilation was performed from 21:00 to 22:15. As a result, the initial concentration of 949 ppm decreased by 212 ppm to 737 ppm, showing a 2.8 ppm/min decrease rate.
According to the measurement result regarding fine dust shown in Figure 8b, the concentrations on 22 April were all determined to be 35 μg/m3 or less outdoors, in the hallway, and in the office space, which is the indoor air quality standard set by the Ministry of Environment. This result suggests that the concentration of fine dust becomes the highest when the hallway door and windows are all opened [].
As previously described, when ventilation is performed through natural ventilation in an office space, the most effective method for reducing CO2 concentration is to simultaneously open windows and doors. In contrast, the concentration of fine dust became the highest in the section where natural ventilation was applied.
Experiment results show that, in the case of office space, the concentration of pollutants varied depending on the ventilation conditions for each indoor air pollutant, the outdoor air, and the opening and closing method of the hallway windows and doors. Therefore, the Step 1 analysis of characteristics revealed that natural ventilation alone is insufficient for maintaining the concentration of indoor air pollutants below the standard range, and, accordingly, that air supply and exhaust must be performed through mechanical ventilation.
5. Step 2: CO2 Concentration Prediction Tool for Office Spaces
This study provided a tool for predicting the indoor air quality prior to the creation of an office space by a tenant, based on the CO2 concentration in the office space. The CO2 concentration was found to be a problem in the quantitative analysis, and the previous indoor air quality experiment and reference data.
In the case of the prediction tool, 1000 ppm of CO2 was set as the reference concentration, which is the indoor air quality maintenance standard prescribed by the Indoor Air Quality Control Act. As listed in Figure 9, five input parameters (i.e., factors affecting the change in CO2 concentrations in office spaces) were selected.
Figure 9.
Input parameters for the office indoor CO2 concentration prediction calculator.
5.1. Regional and Spatial Factors
The user can directly input the CO2 concentration in the region and indoor space; if it is difficult for the user to directly input the CO2 concentration, the default value of 420 ppm is provided based on the CO2 concentrations in South Korea. The domestic CO2 concentrations are shown in Figure 10a, and the data indicate 420 ppm as the average value in 2020 in reference to the “Comprehensive Climate Change Detection System” website operated by the Korea Meteorological Administration [].
Figure 10.
Annual average outdoor CO2 concentration: (a) domestic [] and (b) foreign countries [].
5.2. Architectural Elements
CO2 concentration depends on the volume, which is the product of the floor area and ceiling height. The user can directly input floor area and ceiling height values [,]. Furthermore, although the frequency of ventilation is a factor that greatly affects CO2 concentration, it is difficult for non-experts to present its value. Thus, the requisite values were obtained by converting the airtight rating of ACH50 provided for each section by the “Air Leakage Performance for Detached Single Family Residential Buildings” [] of the ASHRAE Standard into ACHn (=ACH50/N). The ACH50 airtight rating provided by the ASHRAE Standard consists of nine sections, from A (the most airtight) to I, and the frequency of ventilation exceeding the I section is classified as J. Here, ACH50 refers to a value indicating the frequency of ventilation when the pressure difference between indoors and outdoors is ±50 Pa. This value is different from the frequency in a natural state because it is calculated by utilizing the Blower door test. Thus, to apply different permeation rates (N) by region to ACH50, the main permeation rate, N = 20, in South Korea, presented in Estimation of Infiltration Rate (ACH Natural) using Blower Door Test and Simulation, was applied. Dividing the frequency of ventilation according to the ACH 50 airtight rating by N = 20, derived an ACHn value in the range from 0.05 1/h in (A section) to 1.35 1/h (I section). Thus, the nine sections of ACHn were regrouped into three divisions, assumed to be new, general, and old buildings, respectively. These were utilized to present the frequencies of ventilation as 0.1, 0.37, and 1.0 1/h, respectively [,,,].
The effective area of the window was also set with the effective area standard for natural smoke ventilators, which are domestically stipulated [], allowing non-experts to check the corresponding area, and the user to directly input the input parameters.
5.3. Equipment Elements
Regarding inputs related to mechanical ventilation facilities, air volume and number of units were set as input parameters; the user can input them after checking the product manual.
5.4. Occupant Information
Regarding the input condition of occupant information, the user is allowed to directly input the number of occupants, which directly affects the indoor concentration of CO2. Regarding the concentration of CO2 emitted per person during activities, six types of activities were set as optional parameters in reference to the Sixth Korean Human Body Size Direct Measurement Survey Report [] of Size Korea, a domestic statistics agency specializing in the human body size; the “Met Units per Activity” [] of the ASHRAE Standard 55–2020 of ASHRAE; and the “Emissions Calculation Formula” [] of the State-of-the-Art Review of CO2 Demand Controlled Ventilation Technology and Application [].
The amount of CO2 generated per person per hour considering the size of the human body is given by Equation (1) [,,].
The variables in Equation (1) are defined as follows:
- : The amount of CO2 per person per hour for each activity (ℓ/s)
- : Respiratory quotient (Adult: 0.83)
- AD: Occupant’s surface area (m2)
- : Met level (Typical Met levels for various activities, ASHRE Standard 55-2020 [])
Using the CO2 emission calculation Formula (1), six types of activities were classified, from Seated (the minimum activity) to Walking (the maximum activity, 3.2 km/h), and the range of CO2 emission was set from 14.71 ℓ∙Person/h to 29.42 ℓ∙Person/h.
5.5. Correlation by Factor
Input parameter items were selected based on a total of five factors, and the “indoor CO2 prediction formula” was derived as shown in the final Equation (4), using the Equations (1)–(3) for correlation for each input parameter.
The wind speed of the air flowing in through the window was calculated in reference to the wind speed formula presented in the “equation of wind speed through the opening” [] as shown in Equation (2).
The wind speed of the air flowing in through the window in the indoor work space is given by Equation (2) [].
The variables in Equation (2) are defined as follows:
- : Wind speed through window (m/s)
- : Indoor and outdoor pressure difference (Pa)
- : Air density (kg/m3)
The volume of air flowing in through the window is calculated by utilizing the “effective area of opening windows” [] and Equation (2).
The volume of air flowing in through the window of the indoor work space is given by Equation (3).
The variables in Equation (3) are defined as follows:
- : Wind speed through window (m/s)
- : Volumetric flow rate through window (m3/h)
- : Window area (m2)
A formula for the predicted CO2 concentration was calculated depending on activity and time elapse in reference to the “mass balance equation” [] using the “CO2 emission” and “volume of air flowing in through the window” derived from Equations (1)–(3) [].
The predicted indoor CO2 concentration depending on activity and time elapse is given by Equation (4) [].
The variables in Equation (4) are defined as follows:
- V: Volume of the room (m3)
- : Time (h)
- : Indoor CO2 concentration (ppm)
- : Outdoor CO2 concentration (ppm)
- : CO2 emission of activity level (ℓ/h)
- : Number of adults
- : Air change rate per hour (1/h)
- : ERV supply flow rate (m3/h)
- : ERV exhaust flow rate (m3/h)
- : Volumetric flow rate through window (m3/h)
Figure 11 presents the display of the CO2 concentration prediction tool finally proposed in this study, utilizing the final Equation (4) and input parameters.

Figure 11.
Variation in CO2 concentration: (a) input conditions and (b) prediction graph; * CO2 standard-maintenance standard of the indoor air quality management act in Korea.
In consideration of the ERV installation proposal to be performed afterwards, this prediction tool graphically displays the prediction results on CO2 concentration, depending on the applications of 1. No ventilation, 2. Window (Before), and 3. ERV + Window (After change), marking the domestic maintenance standard concentration of 1000 ppm with a red dotted line [].
6. Step 3: Development and Verification of a Prediction Tool Considering Economic Feasibility
To minimize the economic burden occurring during installation, and to correct insufficient installation of mechanical ventilation facilities derived from the characteristic analysis of office spaces, this study analyzed the effects and economic feasibility of the operation of mechanical ventilation facilities, as the third step. Moreover, to enhance the reliability of the prediction tool, measurements were obtained from currently used office spaces, and the CO2 concentration derived from the prediction data was compared and analyzed based on the root mean square error (RMSE) and the mean absolute percent error (MAPE).
6.1. Analysis of Effect and Economic Feasibility Regarding Mechanical Ventilation Facilities
6.1.1. Identification of Air Volume for Mechanical Ventilation Facilities
This study proposed the use of the ERV, a representative mechanical ventilation system, as an improvement plan to resolve the issue of rising CO2 concentration, among indoor air quality improvements that are necessary for creating office spaces for rental and occupancy. The ERV is a ventilation system that achieves improved energy efficiency by introducing fresh air from the outside into the room, exhausting the indoor polluted air, and recovering heat by exchanging heat and substances between the inside and outside air using heat exchange materials [,].
However, the ERV incurs cost during installation and operation. Figure 12 presents the results of the previously conducted questionnaire survey “e. Considerations in installing mechanical ventilation facilities”. Considering the economic feasibility of the initial construction cost and the maintenance cost, which were parts of the problems derived from the survey results, it is necessary to avoid the application of an ERV with excessive capacity, and thus to select an appropriate capacity.
Figure 12.
Survey result of office spaces without mechanical ventilation system: concerns when installing mechanical ventilation system regarding (a) installation and construction problems and (b) economic problems.
The recommended ventilation volume for the ERV proposed in this study is presented as in Equation (5), utilizing “Ventilation for Acceptable Indoor Air Quality” [] of ASHRAE 62.1 and “Air volume required for mechanical ventilation facilities for domestic buildings” [].
The variables in Equation (5) are defined as follows:
- : ERV flow rate (m3/h)
- A: Floor area of the room (m3)
- H: Height of the room (m)
- : Number of people
- : Air change rate through the Outdoor (1/h)
ASHRAE 62.1, Standard for outdoor air change per hour for office, 2/h
Regulation on facility standards for buildings ventilation requirements (office space standards, 29 m3/person·h)
6.1.2. Economic Feasibility Analysis on ERV
As a measure to reduce the economic burden of installation and maintenance of the ERV in relation to the previous appropriate air volume for the ERV, life cycle cost (LCC) analysis was conducted to determine the damage and benefits that may accrue to tenants from the application of the corresponding mechanical ventilation facilities, in addition to recommending the appropriate air volume.
The LCC analysis was conducted under the two categories of “1. Initial design plan (without ERV installation)” and “2. Improvement plan (ERV installation)”; the latter incurs costs according to the ERV construction. To analyze the construction costs, first, the unit price and construction cost according to the air volume of the ERV were calculated, as shown in Table 2, with reference to the contract document and a statement of calculation for the construction cost of companies A and B.
Table 2.
Product and installation of ERV with respect to capacity (currency: USD 1 ≒ KRW 1200, as of 7 January 2022).
The cost-effectiveness of the improvement was evaluated based on the rate of reduction in the concentration caused by the effect of high-concentration CO2. The concentration loss ratio due to the effects of high-concentration CO2 in the “Initial design plan (without ERV installation)” was determined by calculating the loss of concentration according to the increase in CO2 concentration as the amount of loss, with reference to the raw score comparison based on the multivariate analysis of variance (MANOVA) [] regarding nine outcome variables of 22 participants. According to the MANOVA raw score comparison results, the decision performance score was compared with the average raw scores of 600 ppm CO2 1000 ppm CO2, to select the damage ratio as 12.97% at 1000 ppm of CO2 [].
Table 3, Table 4 and Table 5 show the results obtained from the LCC analysis tool by applying the previously calculated loss ratio of 12.97% to “Assumption (1)”. This refers to a value that represents the case where ten occupants in an office space are employed for 10 years when they are exposed to a space exceeding 1000 ppm of CO2 for 6 h during the regular 8 h work session []. Table 3-A shows the 2.7% discount rate as the present value coefficient by year. The 2.7% discount rate was determined in reference to the average annual growth rate of domestic engineering labor cost from 2015 to 2020 [,,,,]. Table 3-B presents the average daily labor cost that was calculated by utilizing the engineer salary average labor cost for beginner, intermediate, and advanced technicians in 2021. Table 3-C provides the “labor cost at annual interest rate” by multiplying Table 3-A,B. Table 3-D presents the annual labor loss due to a reduction in work efficiency by multiplying Table 3-C with the total number of occupants, in addition to a 1000 ppm overtime ratio and reduction rate in work efficiency.
Table 3.
Decrease in work efficiency by applying the present value coefficient to 10 people (currency: USD 1 ≒ KRW 1200, as of 7 January 2022).
Table 4.
Decrease in work efficiency by applying the present value coefficient to 10 people (currency: USD 1 ≒ KRW 1200, as of 7 January 2022).
Table 5.
Calculation of maintenance and energy cost applying the annuity present value factor (currency: USD 1 ≒ KRW1200, as of 7 January 2022).
Therefore, when 10 occupants are finally active and the CO2 concentration exceeds 1000 ppm, the amount of loss due to the reduction in work efficiency for 10 years is shown in Table 4 [,,,,,].
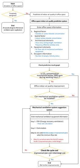
Figure 13 shows the indoor air quality prediction and LCC analysis process for the “tool for office space CO2 prediction and indoor air quality improvement recommendation” depending on the final work efficiency reduction calculated in this manner.
Figure 13.
Office space indoor air quality prediction and mechanical ventilation system suggestion process diagram.
Despite the implementation of “2. Improvement plan (ERV installation)”, annual maintenance and energy costs due to ERV installation are incurred. Table 5-A shows the annual maintenance and energy costs calculated by applying the annuity present value factor.
The annuity present value factor was determined by applying 1.6% of the average increase in household gas and electricity rates from 2010 to 2020 among the domestic consumer price inflation rates []. On this basis, the maintenance and energy costs of the ERV incurred during the improvement were analyzed, as shown in Table 5.
The energy and maintenance costs were determined as USD 6 in reference to the power consumption of company A’s 250 cmh ERV, and the monthly electricity rates of the Korea Electric Power Corporation. Moreover, the replacement costs for filters and ERV elements, in addition to regular inspection service costs, were determined in reference to the statements of calculation regarding the inspection and replacement services of company A.
Thus, regarding “Assumption (1)”, an ERV with a capacity of 250 cmh was applied to improve indoor air quality as shown in “2. Improvement plan (ERV installation)”. In this case, the profit based on the final LCC was determined to be USD 373,561, excluding the ten-year work efficiency reduction of USD 380,861 from the “1. Initial design plan (without ERV installation)”, in addition to the product price and construction cost of USD 4529, and the maintenance cost of USD 2771 from “2. Improvement plan (ERV installation)”.
6.2. ERV Proposal and CO2 Prediction Tool Validation
To verify the prediction results for the indoor CO2 concentration according to the ERV proposal, the second indoor air quality experiment was conducted in Office Space B (floor area of 60.43 m2), which can accommodate up to 15 occupants. Subsequently, the measured and predicted CO2 concentrations were compared and analyzed. The indoor air quality factors, such as temperature, humidity, CO2, PM10, and PM2.5 were measured from 9 August to 15 August 2021. Due to the factors regarding the characteristics of occupants’ movements in the office space, the number of occupants was checked every five min to avoid interference with the occupants’ work by the experiment facilitator. In addition, considering the seasonal characteristics, in which the outdoor temperature is maintained at 30 °C or higher during measurement, the indoor temperature was lowered and maintained by the operation of the EHP in the range of 23 to 25 °C.
The same measuring devices as in the indoor air quality experiment previously conducted in the one-person office space were utilized (Sensirion SPS30, Testo 400, and IAQ16). Furthermore, a SCD40, a CO2 concentration sensor, was additionally placed. To ensure the accuracy and uniformity of measurements regarding the indoor air quality experiments in the one-person office space and Office Space B, the CO2 sensor was calibrated based on the Testo 400. The locations of the measuring device were decided for each point, as shown in Figure 14, to obtain measurements.
Figure 14.
Indoor air quality measurement of Office Space B: (a) Office Space B plane view and measurement locations and (b) Photos of indoor air quality measurement experiment on 10 August 2021.
According to the results of the analysis of the comfort level in Office Space B, similar to the previous one-person office space, the comfort range was PMV = −0.32, as shown in Figure 15 [,].
Figure 15.
Indoor air quality measurement of Office Space B: Office Space B comfort level analysis result as of 10 August 2021.
Verification of Prediction Tool Results and Experimental Results
The analysis of the prediction tool results was divided into the operation and non-operation of the ERV, and was conducted from 10 August to 12 August, when there was no long-term door opening. The cases were selected for the analysis of experimental results, as follows.
As shown in Figure 16, the case for the experiment was presented as the actual measurement, and the value calculated by the prediction tool was set as Case 1. Furthermore, the ventilation rate (ACH) due to door opening was calculated according to the nominal time constant in reference to A Study on the Effect of Open and Closed Room Doors on Apartment Ventilation Characteristics [], and set as Case 2.
Figure 16.
CO2 comparison of the measurement and prediction tool: (a) with ERV off on 11 August and (b) with ERV in operation on 12 August.
The results from the non-operation of the ERV on 11 August are presented in Figure 16a, and those from its operation at 150 cmh on 12 August are shown in Figure 16b. Both Figure 16a,b were ventilated using windows. As shown in Figure 16b, when the ERV was operated at 150 cmh, the CO2 concentration decreased from 916 to 721 ppm for 1 h 30 min, indicating that the reduction rate was determined to be 2.17 ppm per min. On 11 August, the door was opened 0.13 times per min on average, and the average number of occupants was 5.7. On 12 August, the door was opened 0.28 times per min on average, and the average number of occupants was 6.99.
The RMSE refers to the square of the difference, and indicates that the accuracy increases as the RMSE becomes smaller [,,]. According to the experimental results, based on the graph shown in Figure 16, the actual measurement and Case 1 had a large error range, whereas the accuracy of Case 2 considering ventilation by opening the door was higher. Additionally, for the reliability and accuracy of the verification, RMSE and MAPE statistical analyses were utilized to determine the error rates. The MAPE refers to a value expressed as a percentage of the absolute error for the accuracy of the prediction tool result [,,]. In the case of error analysis, additional analysis was conducted with RMSE-percent, as shown in Table 6 [].
Table 6.
CO2 concentration test result and prediction tool result RMSE and MAPE results.
Table 6 summarizes the analysis of the experimental results, comparing the experimental and predicted results with two sessions of operation, and two sessions of non-operation, of the four sessions of the experiments. The improvement in indoor air quality due to the operation of the ERV was confirmed. Compared with the actual measurement results, the MAPE average error rates of Case 1 and 2 were 11.01% and 3.83%, respectively, indicating that the error rate of Case 2 was lower than that of Case 1. Therefore, the average error rate of Case 2, which applied ventilation through door opening and closing, was less than 4%, and the final “tool for office space CO2 prediction and indoor air quality improvement recommendation” was applied in consideration of door opening.
7. Step 4: Proposal of ERV and Prediction of Indoor CO2
This study presents the results of the tool as an example based on Office Space B, an activity space for up to 15 people, where verification experiments were performed to demonstrate the convenience of using the tool.
As shown in Figure 17, each element was entered into the input items, to perform the prediction. The prediction results on indoor CO2 for space B are shown in Figure 18a, and the predicted value of the indoor CO2 concentration before improvement belongs to “1. No ventilation” values. According to the graph of the prediction results, the outcome exceeded the domestic CO2 standard concentration of 1000 ppm [] after 30 min of occupancy; in the case of “2. Window (Before)”, including ventilation by opening the window, the outcome exceeded the domestic CO2 standard concentration of 1000 ppm [] after 50 min of occupancy.
Figure 17.
CO2 concentration prediction system input example of Office Space B.
Figure 18.
(a) Example of inputs for Office Space B improvement, and (b) Office Space B LCC analysis result.
To minimize the excessive CO2 concentration during the occupancy in the office spaces, according to the process shown in Figure 13, 200 cmh was applied, which corresponds to 195.2 cmh presented in Figure 18a. The results are the same as those for 3. ERV + Window (After change) shown in Figure 19a, and the concentration was maintained at 890 ppm or less during an eight-hour occupancy. For economic feasibility analysis according to the application of the ERV, the analysis results presented in Figure 18b indicate that the final savings in the LCC due to the improvement in the concentration of occupants’ work would amount to USD 564,861 if an ERV of 200 cmh was operated for 10 years.
Figure 19.
(a) Indoor CO2 concentration results of Office Space B; * CO2 standard-maintenance standard of the indoor air quality management act in Korea, and (b) results of economic analysis for 150 cmh ERV application of Office Space B.
8. Conclusions
This study proposed a tool to predict the indoor air quality in office spaces, which are occupied for long periods, among multi-use facilities with an increasing need for ventilation system application, and to estimate the appropriate capacity of the proposed ERV as an improvement. In particular, considering the economic burden of the tenants creating a rental office space, the benefits and loss of work efficiency in the case of improvement with an ERV are presented based on the LCC analysis. In addition, to increase the accuracy and reliability of the “tool for office space CO2 prediction and indoor air quality improvement recommendation”, indoor air quality experiments and a questionnaire survey regarding the office space were conducted to select pollutants and verify the results. The results of this study can be summarized as below.
- (1)
- According to the questionnaire survey targeting 48 office space users, 69% of office spaces were not equipped with mechanical ventilation.
- (2)
- On 22 April, when ventilation was performed using a window for 1 h 15 min in a one-person office space, the reduction in CO2 concentration was determined to be 212 ppm, and the concentration of fine dust was maintained at 35 μg/m3 or less after 1 h of occupancy.
- (3)
- If 10 people in the office space work for 8 h, assuming that the CO2 concentration exceeds 1000 ppm after 2 h of occupancy, the total loss due to the reduction in work efficiency for ten years was determined to be USD 373,561 based on the LCC analysis presented in this study.
- (4)
- If the volume of the office space was 224 m3, and 15 people in the office space were engaged in “typing” activities, among the analysis results utilizing the diagnostic tool, the results without ventilation indicate that the CO2 concentration would exceed 1000 ppm after 30 min of occupancy.
- (5)
- The appropriate capacity of the ERV recommended by the diagnostic tool to improve prediction results (i.e., result 4 above) in terms of office space indoor air quality was 195.2 cmh, and if an ERV of 200 cmh was applied, the concentration was maintained at 890 ppm or less.
This study utilized CO2 concentration, which was measured to be higher than the domestic maintenance standards at the time of the experimental measurement and analysis. However, future studies will apply the “tool for office space CO2 prediction and indoor air quality improvement recommendation” by adding ultrafine dust, VOC, and formaldehyde to extend this tool in predicting/considering a variety of indoor air pollutants.
In future research, improvement plans for various mechanical ventilation facilities other than the ERV will be considered, and the appropriate capacity and number of these facilities will be proposed. Additionally, economic feasibility analysis will be performed using the Economic Sentiment Index (ESI). In addition, we plan to study the characteristics of deposition and resuspension of fine dust, which are important when predicting indoor air quality behavior. After completion of the indoor air quality prediction tool by including various air pollutants, activities, and spaces, we plan to make this software available in a web network, so that it can be easily accessed and used by any experts or non-experts who are interested in diagnosing and improving indoor air quality of various spaces.
Author Contributions
Conceptualization, Y.-K.L.; Methodology, Y.-K.L.; Experiment, Y.-K.L. and W.-S.L.; Software, Y.-K.L. and W.-S.L.; Verification, Y.I.K.; Formal analysis, Y.-K.L.; Investigation, Y.-K.L.; Resources, Y.-K.L.; Data Curation, Y.-K.L. and W.-S.L.; Writing—Prepare the original draft, Y.-K.L., W.-S.L.; Writing—Review and Edit, Y.I.K.; Visualization, Y.-K.L.; Director, Y.I.K.; Project Management, Y.I.K.; Funding, Y.I.K. All authors have read and agreed to the published version of the manuscript.
Funding
This work was supported by the Korea Foundation for Women in Science, Engineering, and Technology (WISET), funded by the Korean Government (WISET, No. 2021-128).
Institutional Review Board Statement
Informed consent was obtained from all subjects involved in the study. The study neither interfered with nor controlled physical activity.
Informed Consent Statement
Informed consent was obtained from all subjects involved in the study. The study neither interfered with nor controlled physical activity.
Conflicts of Interest
The authors declare no conflict of interest.
References
- Kim, N.S.; Song, E.; Park, E.J.; Jun, J.; Byun, J.H.; Moon, J. A Comparison and Analysis of the Impact of European National Health Care Systems on the Response to COVID-19; Korea Institute of Health and Social Affairs: Sejong, Korea, 2020. [Google Scholar]
- Jo, J.K. Clean technology to respond to COVID-19—Cases suspected of air transmission of COVID-19 and methods of air conditioning and ventilation in buildings. Air Clean. Technol. 2020, 33, 9–16. [Google Scholar]
- Correct Ventilation Method for Me and Us in Summer (3 Principles for Basic Ventilation, 3 Principles for Air Conditioner Operation). Available online: https://www.kdca.go.kr/gallery.es?mid=a20503010000&bid=0002&list_no=145194&act=view (accessed on 6 July 2021).
- Social Distancing Step 4 (Pandemic/No Going Out). Available online: http://ncov.mohw.go.kr/shBoardView.do?brdId=6&brdGubun=64&ncvContSeq=5619 (accessed on 6 July 2021).
- Current Status of COVID-19 Confirmed Cases. Korea Centers for Disease Control and Prevention. November 2021. Available online: http://ncov.mohw.go.kr/bdBoardList_Real.do (accessed on 6 July 2021).
- COVID-19 Vaccination Response Promotion Group. Guidelines for the COVID-19 Vaccination Program, 3rd ed.; COVID-19 Vaccination Response Promotion Group: Cheongju, Korea, 2021. [Google Scholar]
- Ordinance No. 882 of the Ministry of Land, Infrastructure, and Transport, Regulations on Equipment Standards, etc. for Buildings; Korea Ministry of Land, Infrastructure, and Transport, Ministry of Land: Sejong, Korea, March 2021.
- Seong, M.G. COVID-19 management in medical facilities—Ventilation standards and tasks for medical facilities. Air Clean. Technol. 2021, 34, 14–24. [Google Scholar]
- COVID-19 Infection Prevention, Ventilation Standards for Multi-Use Facilities ‘Urgent Priority’. Available online: http://www.kharn.kr/news/article.html?no=13666 (accessed on 6 July 2021).
- Korea Ministry of Land, Infrastructure, and Transport. The 2nd Green Building Basic Plan; Korea Ministry of Land, Infrastructure, and Transport: Sejong, Korea, 2019.
- COVID-19 Cluster Infection in Seoul’s Multi-Use. Available online: https://www.news1.kr/articles/?4127130 (accessed on 6 July 2021).
- Kim, M.H.; So, B.S. Problems and improvement plans in the infectious disease prevention act. Study Am. Const. 2021, 32, 67–95. [Google Scholar]
- Kim, T.Y. Analysis of contribution ratio of pollutant sources to indoor air quality. Archit. Inst. Korea 2004, 20, 209–216. [Google Scholar]
- Kim, W.H.; Kim, J.H.; Lee, S.K. Comparison of the Ceiling Jet Temperature Prediction Model of the Atrium. The Korean Society for Safety and Health Spring Conference. 2000, pp. 144–149. Available online: https://www.koreascience.or.kr/article/CFKO200011922476313.page (accessed on 6 July 2021).
- Szczepanik-Scislo, N.; Scislo, L. Comparison of CFD and multizone modeling from contaminant migration from a household gas furnace. Atmosphere 2021, 12, 79. [Google Scholar] [CrossRef]
- Persily, A.K. Evaluating building IAQ and ventilation with indoor carbon dioxide. Trans.-Am. Soc. Heat. Refrig. Air Cond. Eng. 1997, 103, 193–204. [Google Scholar]
- Coley, D.A.; Beisteiner, A. Carbon dioxide levels and ventilation rates in schools. Int. J. Vent. 2002, 1, 45–52. [Google Scholar] [CrossRef]
- Enforcement Rules of the Domestic Indoor Air Quality Management Act; Ministry of Environment Ordinance No. 918, Annex 2 Maintenance Standards; Korea Ministry of Environment: Sejong City, Korea, 2021.
- Lee, C.M.; Kim, Y.S. A study on research trend analysis and health risk assessment of indoor air pollutants in multiple facilities. J. Korean Soc. Indoor Environ. 2004, 1, 39–60. [Google Scholar]
- Park, S.K.; Kim, K.W.; Kwon, H.Y. Experimental Study on the Air Quality of Vehicle’s Cabin by Evaluating CO2 Concentration and Fine Dust on the Actual Road (No. 2009-01-0536); SAE Technical Paper; SAE: Warrendale, PA, USA, 2009. [Google Scholar]
- Yun, S.J.; Kong, D.S.; Park, J.M.; Kim, D.H.; Huh, J.H. A study on the application of thermal comfort control based on a simple PMV regression model in an office building. In Proceedings of the 2013 SAREK Summer Annual Conference, Yongpyong, Korea, 26–28 June 2013; Volume 6, pp. 255–258. [Google Scholar]
- Lee, J.A.; Jung, D.Y.; Chon, J.H.; Lee, S.M.; Song, Y.B. An evaluation of human thermal comfort and improvement of thermal environment by spatial structure. J. Korean Inst. Landsc. Archit. 2010, 38, 12–20. [Google Scholar]
- Building Energy Efficiency Rating Certification Building List. Available online: https://beec.energy.or.kr/BC/BC04/BC04_04_001.do (accessed on 22 December 2021).
- Green Building Certification Building List. Available online: http://www.gseed.or.kr (accessed on 22 December 2021).
- Park, J.W. Law and policy on the indoor air quality management. Law Policy Stud. 2011, 11, 1491–1529. [Google Scholar]
- Jung, Y.S.; Jeong, H.K.; Jang, H.K.; Yoo, K.H. A study on the establishment of standard non-residential buildings in Korea through the analysis of building design status. J. Korean Sol. Energy Soc. 2014, 34, 1–11. [Google Scholar] [CrossRef]
- Lee, Y.G. Ventilation system installation standards for new apartment houses and multi-use facilities. Mag. Soc. Air-Cond. Refrig. Eng. Korea 2006, 35, 55–63. [Google Scholar]
- Yun, H.J.; Hwang, E.K.; Kim, J.S.; Kim, J.H. The current analysis for development occupancy density of buildings. In Proceedings of the 2011 Korea Institute of Fire Science and Engineering Conference, Kyungmin University Korea, Gyeonggi-do, Korea, 23 April 2011; pp. 227–232. [Google Scholar]
- Seo, D.G.; Hwang, E.K. A study on the adequacy evaluation of criteria of occupant load factor in residential buildings. J. Korean Hous. Assoc. 2016, 27, 145–153. [Google Scholar] [CrossRef] [Green Version]
- CBE Thermal Comfort Tool. Available online: https://comfort.cbe.berkeley.edu/ (accessed on 22 December 2021).
- Jang, H.I.; Suh, S.J. Analysis of indoor thermal environment and energy consumption in office building controlled by PMV. J. Korean Sol. Energy Soc. 2013, 33, 15–22. [Google Scholar] [CrossRef]
- Kang, K.N.; Lee, K.H. Evaluation of thermal comfort on applying double-skin facade system in office space by PMV index. In Proceedings of the 2010 SAREK Summer Annual Conference, Bokwang Phoenix Park, Gangwon-do, Korea, 23–25 June 2010; Volume 6, pp. 1288–1293. [Google Scholar]
- Licina, D.; Pantelic, J.; Melikov, A.; Sekhar, C.; Tham, K.W. Experimental investigation of the human convective boundary layer in a quiescent indoor environment. Build. Environ. 2014, 75, 79–91. [Google Scholar] [CrossRef]
- Höppe, P. Different aspects of assessing indoor and outdoor thermal comfort. Energy Build. 2002, 34, 661–665. [Google Scholar] [CrossRef]
- Kim, H.G.; Na, H.S.; Park, D.J.; Kim, T.Y. The dispersion of indoor droplets according to the reduction of wind velocity of air conditioner—Analysis of particle concentration through laboratory particle generation experiments. Proc. Korea Inst. Ecol. Archit. Environ. 2021, 21, 47–53. [Google Scholar]
- Jang, E.M.; Seo, E.K. A study on the influence of improving the service quality of fine dust statistics on the quality of citizen’s life. In Proceedings of the KMIS International Conference, Valletta, Malta, 25–27 October 2021; pp. 508–514. [Google Scholar]
- Comprehensive Climate Change Monitoring Information. Available online: http://www.climate.go.kr (accessed on 27 December 2021).
- Ansanay-Alex, G. Estimating occupancy using indoor carbon dioxide concentrations only in an office building: A method and qualitative assessment. In Proceedings of the REHVA World Congress on Energy Efficient, Smart and Healthy Buildings (CLIMA), Prague, Czech Republic, 16–19 June 2013. [Google Scholar]
- Persily, A.; de Jonge, L. Carbon dioxide generation rates for building occupants. Indoor Air 2017, 27, 868–879. [Google Scholar] [CrossRef]
- Standard 119-1988; Air Leakage Performance for Detached Single Family Residential Buildings. ASHRAE: Atlanta, GA, USA, 2014.
- Yoon, J.H.; Park, J.W.; Lee, K.S.; Baek, N.C.; Shin, U. A study on the measurement of airtightness performance of detached houses in Chung-cheong area. J. Korean Sol. Energy Soc. 2008, 28, 65–71. [Google Scholar]
- Mun, H.J. Indoor environment improvement technology in green home—High airtightness. Ventilation of highly insulated residential buildings. Air Clean. Technol. 2010, 23, 37–46. [Google Scholar]
- Mun, J.H.; Lee, J.G.; Kim, M.S. Estimation of infiltration rate (ACH natural) using blower door test and simulation. Energies 2021, 14, 912. [Google Scholar] [CrossRef]
- Korean Institute of Architectural Sustainable Environment and Building Systems. Building Airtightness Criteria; KIAEBS C-1; KIAEBS: Seoul, Korea, 2013. [Google Scholar]
- Size Korea; 6th Body Size Survey. Available online: https://sizekorea.kr (accessed on 27 December 2021).
- ASHRAE. Thermal Environmental Conditions for Human Occupancy; ANSI/ASHRAE Standard 55-2010; ASHRAE: Atlanta, GA, USA, 2020. [Google Scholar]
- Steven, J.E.; Andrew, K.P. State-of-the-Art Review of CO2 Demand Controlled Ventilation Technology and Application, NISTIR 6729; NIST: Gaithersburg, MD, USA, 2015. [Google Scholar]
- Yang, C.; Shi, H.; Yang, X.; Zhao, B. Research on flow resistance characteristics with different window/door opening angles. HVACR Res. 2010, 16, 813–824. [Google Scholar] [CrossRef]
- Tran, D.T.; Alleman, L.Y.; Coddeville, P.; Galloo, J.C. Indoor particle dynamics in schools: Determination of air exchange rate, size-resolved particle deposition rate and penetration factor in real-life conditions. Indoor Built Environ. 2015, 26, 1335–1350. [Google Scholar] [CrossRef]
- Catalina, T.; Istrate, M.A.; Damian, A.; Vartires, A.; Dicu, T.; Cucoş, A. Indoor air quality assessment in a classroom using a heat recovery ventilation unit. Rom. J. Phys. 2019, 64, 819. [Google Scholar]
- Jahanbin, A. Efficacy of coupling heat recovery ventilation and fan coil systems in improving the indoor air quality and thermal comfort condition. Energy Built Environ. 2021. [Google Scholar] [CrossRef]
- Standard 62.1-2013; Ventilation for Acceptable Indoor Air Quality. ASHRAE: Atlanta, GA, USA, 2013.
- Satish, U.; Mendell, M.J.; Shekhar, K.; Hotchi, T.; Sullivan, D.; Streufert, S.; Fisk, W.J. Is CO2 an indoor pollutant? Direct effects of low-to-moderate CO2 concentrations on human decision-making performance. Environ. Health Perspect. 2012, 120, 1671–1677. [Google Scholar] [CrossRef] [Green Version]
- Ministry of Land, Infrastructure, and Transport, Construction Technology Research Institute, Korea Land and Housing Corporation. A Ventilation System Maintenance Manual for Buildings to Solve the Problem of Fine Dust; Ministry of Land, Infrastructure, and Transport, Construction Technology Research Institute, Korea Land and Housing Corporation: Sejong, Korea, 2019; pp. 1–25.
- Engineering Labor Unit Price by Year. Available online: https://www.etis.or.kr/webs/main.jsp (accessed on 29 December 2021).
- Jeong, S.S. A study on the cost breakdown structure for life cycle cost of individual air conditioning system and central air conditioning system. J. Archit. Inst. Korea Plan. Des. 2004, 20, 277–284. [Google Scholar]
- Jeong, S.S. A study on the development of life cycle cost analysis methodology in HVAC system for decision maker. J. Korean Sol. Energy Soc. 2004, 24, 55–63. [Google Scholar]
- Kim, Y.D.; Cha, H.S.; Kim, K.R.; Shin, D.W. Evaluation method of green construction technologies using integrated LCC and LCA analysis. Korean J. Constr. Eng. Manag. 2011, 12, 91–100. [Google Scholar] [CrossRef]
- Choi, M.S.; Kim, M.H. The variation characteristics of life cycle cost in an office building according to the discount rates and inflation rates. J. Archit. Inst. Korea Struct. Constr. 2006, 22, 131–137. [Google Scholar]
- Consumer Inflation Rate by Year in Korea. Available online: https://www.index.go.kr (accessed on 4 January 2022).
- Choi, I.K.; Kim, Y.I.; Chung, K.S. A study on the effect of open and closed room doors on apartment ventilation characteristics. In Proceedings of the 2008 SAREK Winter Annual Conference, Gangnam-gu, Seoul, Korea, 21 November 2008; pp. 469–474. [Google Scholar]
- Lee, Y.K.; Kim, Y.I. Analysis of indoor air pollutants and guidelines for space and physical activities in multi-purpose activity space of elementary schools. Energies 2022, 15, 220. [Google Scholar] [CrossRef]
- Kim, S.H.; Han, G.T. A study of indoor air pollution prediction based on LSTM model using fine dust sensor data in kitchen environment. In Proceedings of the Symposium of the Korean Institute of Communications and Information Sciences, Yongpyong, Korea, 5–7 February 2020; pp. 1127–1128. [Google Scholar]
- Hong, T.H.; Kim, H.P.; Kim, J.M.; An, J.B.; Kang, H.A.; Hong, J.W.; Yeom, S.K. Development of the indoor fine dust density forecast model using long short term memory. In Proceedings of the 2018 Korea Society of Energy and Climate Change Conference, Yeosu Expo Korea, Yeosu, Korea, 7–9 November 2018; Volume 11, p. 185. [Google Scholar]
Publisher’s Note: MDPI stays neutral with regard to jurisdictional claims in published maps and institutional affiliations. |
© 2022 by the authors. Licensee MDPI, Basel, Switzerland. This article is an open access article distributed under the terms and conditions of the Creative Commons Attribution (CC BY) license (https://creativecommons.org/licenses/by/4.0/).