Aging Detection of 110 kV XLPE Cable for a CFETR Power Supply System Based on Deep Neural Network
Abstract
:1. Introduction
2. Theoretical Background
2.1. Analysis of Aging Mechanisms for Cables
2.2. Harmonic Analysis of Power Cable
3. Construction of Cable Aging Diagnosis Model Based on Deep Learning
3.1. Logistic Regression Model
3.2. Construction of Deep Neural Network Based on Logistic Regression
3.3. Training Methods
4. Experimental
4.1. Selection of Structural Parameters of Network Model
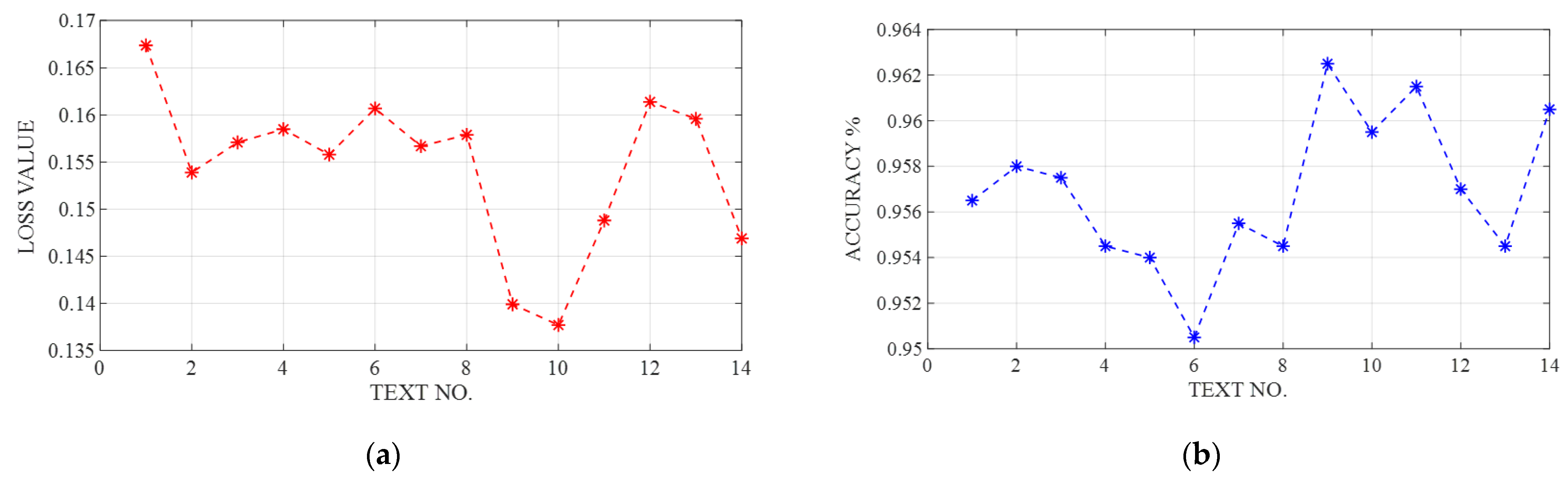
4.2. Test
4.3. Experimental Verification
5. Discussion
6. Conclusions
Author Contributions
Funding
Institutional Review Board Statement
Informed Consent Statement
Conflicts of Interest
Nomenclature
| CFETR | China Fusion Engineering Test Reactor |
| TOKAMAK | Its name Tokamak comes from toroidal, kamera, magnet, kotushka |
| DNN | Deep neural network |
| CNN | Convolutional neural network |
| RNN | Recurrent neural network |
| L-R-DNN | Logistic regression deep neural network |
References
- Song, Y.T.; Wu, S.T.; Li, J.G.; Wan, B.N.; Wan, Y.X.; Fu, P.; Ye, M.Y.; Zheng, J.; Lu, K.; Gao, X.; et al. Concept Design of CFETR Tokamak Machine. IEEE Trans. Plasma Sci. 2014, 42, 503–509. [Google Scholar] [CrossRef]
- Wang, J.; Huang, Y.; Chen, H.; Li, X. Stability Analysis of CFETR Distribution Network. J. Fusion Energy 2021, 40, 12. [Google Scholar] [CrossRef]
- Shaw, M.T.; Shaw, S.H. Water Treeing in Solid Dielectrics. IEEE Trans. Dielectr. Electr. Insul. 1984, 19, 419–452. [Google Scholar] [CrossRef]
- Nikolajevic, S.V.; Drca, R. Effect of water on aging of XLPE cable insulation. Electr. Power Syst. Res. 2002, 60, 9–15. [Google Scholar] [CrossRef]
- Tanaka, T.; Fukuda, T.; Suzuki, S. Water tree formation and lifetime estimation in 3.3 kV and 6.6 kV XLPE and PE power cables. IEEE Trans. Power Appar. Syst. 1976, 95, 1892–1900. [Google Scholar] [CrossRef]
- Chen, T.; Wei, N.; Chen, S.E. Mechanism, detection and prevention of water tree in XLPE power cable. Wire Cable 2009, 4, 6–10. [Google Scholar]
- Chen, S.J. Study on Growth Characteristics of XLPE Cable Electric Branches under Different Conditions. Master’s Thesis, Chongqing University, Chongqing, China, 2009. [Google Scholar]
- Zhou, K.; Li, S.; Yin, Y.; Lin, S.; Yu, H. Analysis of Aging Characteristics of Returned Medium Voltage XLPE and EPR Cables. Trans. China Electrotech. Eng. 2020, 35, 171–180. [Google Scholar]
- Yan, Q.; Li, H.; Zhai, S.; Hu, L.; Chen, J. Effect of Thermal Aging at Different Temperatures on the Surface Trap Parameters of XLPE Insulation of HV Distribution Network. Proc. CSEE 2020, 40, 692–701. [Google Scholar]
- Cao, L.; Grzybowski, S. Accelerated aging study on 15 kV XLPE and EPR cables insulation caused by switching impulses. IEEE Trans. Dielectr. Electr. Insul. 2015, 22, 2809–2817. [Google Scholar] [CrossRef]
- Nagao, M.; Tokoro, T.; Yokoyama, A.; Kosaki, M. New approach to diagnostic method of water trees. In Proceedings of the IEEE International Symposium on Electrical Insulation, Toronto, ON, Canada, 3–6 June 1990; pp. 296–299. [Google Scholar]
- Hvidsten, S.; Ildstad, E.; Sletbak, J.; Faremo, H. Understanding water treeing mechanisms in the development of diagnostic test methods. IEEE Trans. Dielectr. Electr. Insul. 1998, 5, 754–760. [Google Scholar] [CrossRef]
- Yagi, Y.; Tanaka, H.; Kimura, H. Study on diagnostic method for water treed XLPE cable by loss current measurement. In Proceedings of the 1998 Annual Report Conference on Electrical Insulation and Dielectric Phenomena, Atlanta, GA, USA, 25–28 October 1998; pp. 653–656. [Google Scholar]
- Bulinski, A.T.; So, E.; Bamji, S.S. Measurement of the harmonic distortion of the insulation loss current as a diagnostic tool for high voltage cable insulation. In Proceedings of the IEEE Power Engineering Society Winter Meeting, Singapore, 23–27 January 2000; pp. 1615–1620. [Google Scholar]
- Tsujimoto, T.; Nakade, M.; Yagi, Y.; Ishii, N. Approach for Wide Use of Diagnostic Method for XLPE Cables Using Harmonics in AC Loss Current. IEEJ Trans. Power Energy 2006, 126, 421–426. [Google Scholar] [CrossRef] [Green Version]
- Tsujimoto, T.; Nakade, M.; Yagi, Y.; Ishii, N. Development of Harmonic-Noise Reduction Technology in Diagnostic Method using AC Loss Current for Water Treed XLPE Cable. IEEJ Trans. Power Energy 2005, 125, 1237–1244. [Google Scholar] [CrossRef] [Green Version]
- Liu, Y.J. Research on XLPE Cable Water Tree Aging Diagnosis Based on Residual Charge Method. Master’s Thesis, Tianjin University, Tianjin, China, 2008. [Google Scholar]
- Zhao, Y.Y. Research on On-Line Monitoring System of Power Cable Based on Grating Fiber Sensing. Master’s Thesis, Wuhan University of Technology, Wuhan, China, 2011. [Google Scholar]
- Xu, Y.; Sun, Y.; Liu, X.; Zheng, Y. A Digital-Twin-Assisted Fault Diagnosis Using Deep Transfer Learning. IEEE Access 2019, 7, 19990–19999. [Google Scholar] [CrossRef]
- Amiruddin, A.A.A.M.; Zabiri, H.; Taqvi, S.A.A.; Tufa, L.D. Neural network applications in fault diagnosis and detection: An overview of implementations in engineering-related systems. Neural Comput. Appl. 2020, 32, 447–472. [Google Scholar] [CrossRef]
- Iannace, G.; Ciaburro, G.; Trematerra, A. Fault Diagnosis for UAV Blades Using Artificial Neural Network. Robotics 2019, 8, 59. [Google Scholar] [CrossRef] [Green Version]
- Lee, M.; Lee, J.; Kim, J.; Kim, B.; Kim, J. The Sparsity and Activation Analysis of Compressed CNN Networks in a HW CNN Accelerator Model. In Proceedings of the 2019 International SoC Design Conference (ISOCC), Jeju, Korea, 6–9 October 2019; pp. 255–256. [Google Scholar]
- Xiao, J.; Zhou, Z. Research Progress of RNN Language Model. In Proceedings of the 2020 IEEE International Conference on Artificial Intelligence and Computer Applications (ICAICA), Dalian, China, 27–29 June 2020; pp. 1285–1288. [Google Scholar]
- Wang, W.; Dong, W.; Yu, T.; Du, Y. Research on PRS/IRS Time Registration Based on Fully connected Neural Network. In Proceedings of the 2020 IEEE 9th Joint International Information Technology and Artificial Intelligence Conference (ITAIC), Chongqing, China, 11–13 December 2020; pp. 942–947. [Google Scholar]
- Ali, E.A.H.; Mohamed, A.Y.S. Modeling of human hand fingers states using electromyography and logistic regression. In Proceedings of the 2016 Conference of Basic Sciences and Engineering Studies (SGCAC), Khartoum, Sudan, 20–23 February 2016; pp. 38–42. [Google Scholar]
- Zhao, S.; Canling, B.; Anzhu, X.; Gao, B. The Relationship between Eddy Current and Harmonics in HDS Electrical Equipment On-Line Condition Diagnosis Technology and Application; Publishing House of Electronics Industry: Beijing, China, 2017; Volume 3, pp. 57–59. [Google Scholar]
- Ko, H. Method for Diagnosing Working Condition and Anomalous Degradation of Electric Equipment. Japan Patent No. 118928, 5 November 2006. [Google Scholar]
- Ko, H. Method for Diagnosing Abnormality in Electric Equipment. Japan Patent No. 189064, 5 July 2002. [Google Scholar]
- Zou, X.; Hu, Y.; Tian, Z.; Shen, K. Logistic Regression Model Optimization and Case Analysis. In Proceedings of the 2019 IEEE 7th International Conference on Computer Science and Network Technology (ICCSNT), Dalian, China, 19–20 October 2019; pp. 135–139. [Google Scholar]
- Tieleman, T.; Hnton, G. Lecture 6.5-Rmsprop: Divide the gradient by a running average of its recent magnitude. COURSERA Neural Netw. Mach. Learn. 2012, 4, 26–31. [Google Scholar]










| Deterioration Part of Cable | High Harmonic and Its Content (%) | Cumulative Contribution Rate | |||||||
|---|---|---|---|---|---|---|---|---|---|
| The First Major Ingredient | Other Main Ingredients | ||||||||
| Body parts | insulators | Early deterioration type | 3th | 5th | 4th | 2th | 94 | ||
| 41 | 41 | 6 | 6 | ||||||
| Environmental aging type (mechanical damage) | 2th | 4th | 3th | 5th | 86 | ||||
| 41 | 16 | 9 | 6 | ||||||
| Environmental aging type (electrical damage) | 5th | 3th | 4th | 2th | 93 | ||||
| 59 | 20 | 8 | 6 | ||||||
| Natural aging type | 5th | 3th | 4th | 2th | 93 | ||||
| 52 | 28 | 7 | 6 | ||||||
| shielding layer | 3th | 5th | 2th | 4th | 90 | ||||
| 25 | 24 | 23 | 18 | ||||||
| Protective layer | 2th | 4th | 3th | 5th | 85 | ||||
| 39 | 29 | 10 | 7 | ||||||
| junction | cable joint | heating | 7th | 10th | 9th | 8th | 6th | 91 | |
| 53 | 15 | 11 | 7 | 5 | |||||
| stained | 8th | 7th | 9th | 10th | 6th | 95 | |||
| 35 | 29 | 13 | 11 | 7 | |||||
| crack | 9th | 8th | 7th | 10th | 6th | 92 | |||
| 33 | 25 | 21 | 8 | 5 | |||||
| deformation | 10th | 7th | 8th | 9th | 6th | 91 | |||
| 30 | 23 | 17 | 15 | 6 | |||||
| Test No. | Number of Neurons | Test No. | Number of Neurons |
|---|---|---|---|
| 1 | 40 | 8 | (120, 60) |
| 2 | 80 | 9 | (40, 20, 10) |
| 3 | 120 | 10 | (60, 30, 15) |
| 4 | 160 | 11 | (80, 40, 20) |
| 5 | 200 | 12 | (40, 20, 10, 5) |
| 6 | (40, 20) | 13 | (80, 40, 20, 10) |
| 7 | (80, 40) | 14 | (120, 60, 30, 15) |
| The Sample No. | Theoretical Probability | Network Output | Error | Average Error |
|---|---|---|---|---|
| 1 | 0.9995 | 0.9924 | 0.0071 | 0.0235 |
| 2 | 0.9985 | 0.9841 | 0.0144 | |
| 3 | 0.9835 | 0.9532 | 0.0303 | |
| 4 | 0.0272 | 0.0695 | 0.0423 |
Publisher’s Note: MDPI stays neutral with regard to jurisdictional claims in published maps and institutional affiliations. |
© 2022 by the authors. Licensee MDPI, Basel, Switzerland. This article is an open access article distributed under the terms and conditions of the Creative Commons Attribution (CC BY) license (https://creativecommons.org/licenses/by/4.0/).
Share and Cite
Chen, H.; Wang, J.; Hu, H.; Li, X.; Huang, Y. Aging Detection of 110 kV XLPE Cable for a CFETR Power Supply System Based on Deep Neural Network. Energies 2022, 15, 3127. https://doi.org/10.3390/en15093127
Chen H, Wang J, Hu H, Li X, Huang Y. Aging Detection of 110 kV XLPE Cable for a CFETR Power Supply System Based on Deep Neural Network. Energies. 2022; 15(9):3127. https://doi.org/10.3390/en15093127
Chicago/Turabian StyleChen, Hui, Junjia Wang, Hejun Hu, Xiaofeng Li, and Yiyun Huang. 2022. "Aging Detection of 110 kV XLPE Cable for a CFETR Power Supply System Based on Deep Neural Network" Energies 15, no. 9: 3127. https://doi.org/10.3390/en15093127
APA StyleChen, H., Wang, J., Hu, H., Li, X., & Huang, Y. (2022). Aging Detection of 110 kV XLPE Cable for a CFETR Power Supply System Based on Deep Neural Network. Energies, 15(9), 3127. https://doi.org/10.3390/en15093127

