Experimental Interharmonic Sensitivity Evaluation of LED Lamps Based on the Luminous Flux Flicker Model
Abstract
:1. Introduction
- The lamp-eye-brain module in the IEC flicker model was deconstructed, and the luminous flux flicker model, free from the constraints of incandescent lamps, was obtained, providing a general model for the flicker effect measurement of any light source.
- Through simulations and measurements of a specific incandescent lamp, the test system and corresponding analysis method of the interharmonic-luminous flux transfer coefficient composed of a programmable power supply, an illuminance sensor, a shading box, a multi-channel data acquisition device, and a data analysis system were verified. The luminous flux flicker model accuracy provided a test platform for its application.
- Using the incandescent lamp given by IEC as a reference, and by applying the transfer coefficient of interharmonic voltage and luminous flux fluctuation of different light sources to calculate the corresponding interharmonic-flicker limit curve of the light source, the proposed method simplified the test operation steps while overcoming the programmable power limitations.
- By comparing the magnitude of the interharmonic-flicker limit curves of different light sources at different frequencies, the sensitivity to interharmonics was measured.
2. Luminous Flux Flicker Model
3. Construction and Verification of the Test System
3.1. Interharmonics-Luminous Flux Test System
- Programmable power supply: Used to output “fundamental + interharmonic set frequency” voltage, which could be realized via Chroma 61860. At the same time, considering factors such as data processing volume and observation error, the minimum interharmonic frequency interval was set to not exceed 1 Hz (1 Hz is recommended).
- Illuminance sensor: Used to test the lamp light brightness change caused by interharmonic voltage and simulate the response to light changes as seen by human eyes. Konica Minolta T-10A with an analogue output function (0–3 V) was selected because its measurement accuracy and reliability meet DIN 5032 Class B requirements and its spectral luminous efficiency deviation does not exceed 6%.
- Shading box: Used as the confined space where the lamp was tested and the illuminance sensor was placed. It has the ability to isolate external light changes and eliminate internal irregular reflection interference. In this study, the shading box was a 0.7 × 0.7 × 1.0 m (L× W × H) box the inner wall of which was evenly covered with black flannelette.
- Multi-channel data acquisition device: Used for multi-channel data synchronous acquisition and recording, it recorded the illuminance data of the programmable power supply output interharmonic voltage and illuminance sensor test. The device sampling frequency was not lower than 12.8 kHz.
- Data analysis system: Based on MATLAB coding, it could realize DFT data analysis in different time windows.
3.2. Verification of the Test System Based on an Incandescent Lamp
4. Interharmonic Sensitivity Evaluation of LED Lamps
5. Results and Discussion
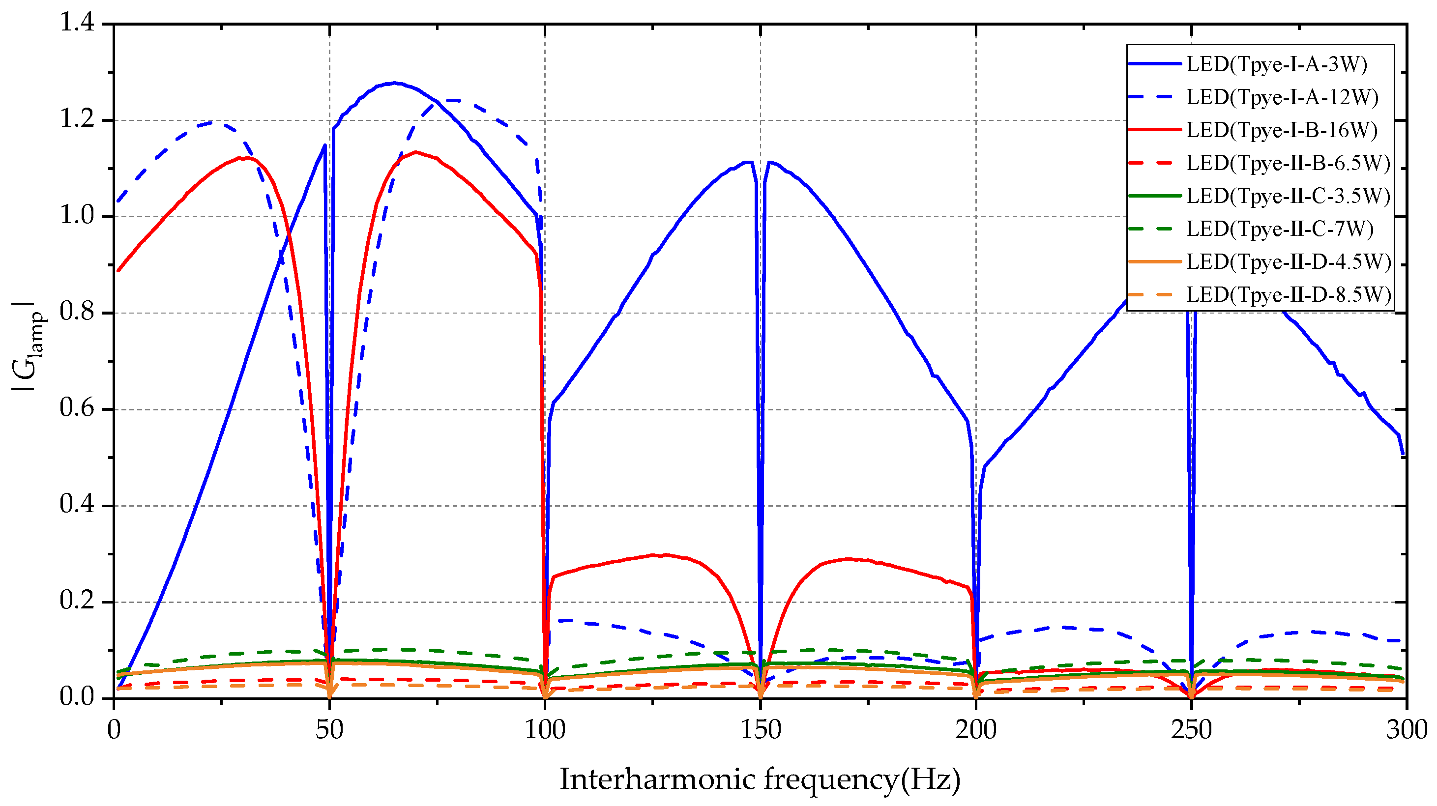
- In contrast with incandescent lamps, high-frequency interharmonics (more than 100 Hz) can cause flicker of LED lamps. Taking the odd harmonic frequency as the center, it follows that the higher the frequency is, the higher the interharmonic-flicker limit curve is, indicating that the LED is less sensitive to interharmonics with higher frequency.
- The interharmonic-flicker limit curve of the RC-buck-driven LED lamp is significantly lower than that of the constant-current-driven LED lamp, which shows that the former lacks a control circuit and is more vulnerable to external voltage fluctuation; thus, the RC-buck-driven LED lamp is more sensitive to interharmonics. For LED lamps with different drives, the minimum interharmonic ratio causing flicker out-of-limit is shown in Figure 9. The minimum interharmonic ratio of RC-buck-driven LEDs is below 1%, while the minimum interharmonic ratio of constant-current-driven LEDs is more than 4%, and can even reach approximately 15%. In the current power grid environment, constant-current-driven LEDs have low probability of light intensity changes that can be detected by the naked eye. Therefore, in scenes with high lighting quality, it is recommended to use constant-current-driven LED lights.
- The higher the power of LED lamps of the same brand and driving type, the higher the overall level of the interharmonic-flicker limit curve, which indicates that higher-power LEDs are less sensitive to interharmonics.
6. Conclusions
- The interharmonic luminous flux test system composed of a programmable power supply, shading box, illuminance sensor, data acquisition device, and data analysis system could accurately eliminate the part that depends on incandescent lamp parameters in the visual sensitivity weighting filter of the IEC flicker model and realize a luminous flux flicker model suitable for any light source.
- Taking a 230 V/50 Hz 60 W incandescent lamp as the reference, using the interharmonic-luminous flux test system, superimposing the non-specific constant interharmonic amplitude, and sweeping the frequency to obtain the transfer coefficient of the interharmonic voltage and luminous flux fluctuation of any light source, the interharmonic-flicker limit curves could be quickly drawn, improving the efficiency of existing methods and eliminating the limitations of programmable power hardware.
- The interharmonic-flicker limit curve could describe the interharmonic sensitivity of LED lamps. The lower the curve level, the more sensitive the LED lamps were to interharmonics, and vice versa.
- The test results showed that the driving power supply is an important factor affecting the sensitivity of interharmonics. The RC-buck-driven LED lamp was more sensitive to interharmonics than the constant-current-driven LED lamp. In a scene with high lighting quality, the constant-current-driven LED lamp is recommended. In addition, high-frequency interharmonics (more than 100 Hz) also caused flicker of LED lamps. The higher the frequency centered on odd harmonics, the lower the interharmonic sensitivity, while the higher the power, the lower the interharmonic sensitivity of LED lamps.
Author Contributions
Funding
Institutional Review Board Statement
Informed Consent Statement
Data Availability Statement
Conflicts of Interest
References
- Kar, A. New Generation Illumination Engineering-An Overview of Recent Trends in Science & Technology. In Proceedings of the 2014 First International Conference on Automation, Control, Energy and Systems (ACES), Adisaptagram, India, 1–2 February 2014; pp. 1–6. [Google Scholar]
- Lokesh, J.; Kini, S.G.; Mahesha, M.G.; Padmasali, A.N. A study on the performance characteristics of light emitting diodes from reliability prospective. In Proceedings of the 2021 IEEE 2nd International Conference on Smart Technologies for Power, Energy and Control (STPEC), Bilaspur, India, 19–22 December 2021; pp. 1–6. [Google Scholar]
- Tayjasanant, T.; Wang, W.; Li, C.; Xu, W. Interharmonic-flicker curves. IEEE Trans. Power Deliv. 2005, 20, 1017–1024. [Google Scholar] [CrossRef]
- Jing, Y.; Sun, C.; Xu, W. Voltage flicker caused by two interharmonics. In Proceedings of the 2006 Canadian Conference on Electrical and Computer Engineering, Ottawa, ON, Canada, 7–10 May 2006; pp. 239–242. [Google Scholar]
- Yong, J.; Sun, C.X.; Jian-Bo, L.I.; Zhou, H.B.; Chen, L. Light flicker characteristics caused by interharmonics and flicker limit curve. Proc. CSEE 2008, 28, 88–93. [Google Scholar]
- Standard 61000-4-15; Electromagnetic Compatibility (EMC)-Part 4: Testing and Measurement Techniques Section 15: Flicker Meter-Functional and Design Specifications. International Electrotechnical Commission (IEC): Geneva, Switzerland, 2010.
- Peretto, L.; Emanuel, A.E. A theoretical study of the incandescent filament lamp performance under voltage flicker. IEEE Trans. Power Deliv. 1997, 12, 279–288. [Google Scholar] [CrossRef]
- Cho, S.H.; Jung, J.A.; Jang, G.; Kwon, S.H.; Kang, M.H. Experimental verification of 220V incandescent lamp characteristics for the IEC flickermeter. In Proceedings of the 2008 13th International Conference on Harmonics & Quality of Power, Wollongong, NSW, Australia, 28 September–1 October 2008; pp. 1–4. [Google Scholar]
- Hooshyar, A.; El-Saadany, E.F. Development of a flickermeter to measure non-incandescent lamps flicker. IEEE Trans. Power Deliv. 2013, 28, 2103–2115. [Google Scholar] [CrossRef]
- Gallo, D.; Landi, C.; Langella, R.; Testa, A. IEC flickermeter response to interharmonic pollution. In Proceedings of the 2004 11th International Conference on Harmonics and Quality of Power, Lake Placid, NY, USA, 12–15 September 2004; pp. 489–494. [Google Scholar]
- Jiao, P.; Ma, C. Study on IEC flickermeter applicability based on flux parameters. Power Syst. Prot. Control. 2015, 43, 85–90. [Google Scholar]
- Hui, S.Y.; Qin, Y.X. A General photo-electro-thermal theory for light emitting diode (LED) systems. IEEE Trans. Power Electron. 2009, 24, 1967–1976. [Google Scholar] [CrossRef]
- Lin, Y.; Yang, Y.; Lan, C. Formulation of flicker curve for inter-harmonic of fluorescent lamps. Northeast. Electr. Power Technol. 2021, 42, 56–59. [Google Scholar]
- Chen, S.; Heah, M.Y.; Then, A.B.; Foo, M.K. Automatic evaluation of flickering sensitivity of fluorescent lamps caused by interharmonic voltages. In Proceedings of the 2008 13th International Conference on Harmonics & Quality of Power, Wollongong, NSW, Australia, 28 September–1 October 2008; pp. 1–6. [Google Scholar]
- Drapela, J.; Langella, R.; Testa, A.; Grappe, J.E. A real life light flicker case-study with LED lamps. In Proceedings of the 2018 18th International Conference on Harmonics and Quality of Power, Ljubljana, Slovenia, 13–16 May 2018; pp. 1–6. [Google Scholar]
- Chmielowiec, K. Flicker effect of different types of light sources. In Proceedings of the 2011 11th International Conference on Electrical Power Quality and Utilisation, Lisbon, Portugal, 17–19 October 2011; pp. 1–6. [Google Scholar]
- Kumar, K.J.; Sudhir Kumar, R. Voltage flicker from warm and cool white LED bulbs. In Proceedings of the 2020 IEEE PES Innovative Smart Grid Technologies Europe (ISGT-Europe), The Hague, The Netherlands, 26–28 October 2020; pp. 934–938. [Google Scholar]
- Petrinska, I.; Ivanov, D. Estimation of flicker of contemporary LED lamps and luminaires. In Proceedings of the 2019 11th Electrical Engineering Faculty Conference (BulEF), Varna, Bulgaria, 11–14 September 2019; pp. 1–4. [Google Scholar]
- Lehman, B.; Wilkins, A.; Berman, S.; Poplawski, M.; Miller, N.J. Proposing measures of flicker in the low frequencies for lighting applications. In Proceedings of the 2011 IEEE Energy Conversion Congress and Exposition, Phoenix, AZ, USA, 17–22 September 2011; pp. 2865–2872. [Google Scholar]
- Chaki, R.; Anand, V.; Ghosh, S.; Ghosh, M. A Comparative Analysis of Flicker Index and Modulation Depth on Few Existing Dimmable LED Drivers. In Proceedings of the 2018 2nd International Conference on Power, Energy and Environment: Towards Smart Technology (ICEPE), Shillong, India, 1–2 June 2018; pp. 1–5. [Google Scholar]
- In, C.; Kim, J.; Oh, Y.; Cho, K. Flicker Characteristics of a Multi-Channel Current-Controlled PWM Dimming Method of LED Lightings. In Proceedings of the 2019 IEEE 60th International Scientific Conference on Power and Electrical Engineering of Riga Technical University (RTUCON), Riga, Latvia, 7–9 October 2019; pp. 1–7. [Google Scholar]
- Drapela, J.; Langella, R.; Slezingr, J.; Testa, A. A tunable flickermeter to account for different lamp technologies. IEEE Trans. Power Deliv. 2016, 32, 872–880. [Google Scholar] [CrossRef]
- Wang, J.; Liu, H. A calculation method for interharmonics-caused flicker and flicker source identification. Autom. Electr. Power Syst. 2011, 35, 57–63, 80. [Google Scholar]
- Cai, R.; Cobben, J.; Myrzik, J.; Blom, J.H.; Kling, W.L. Flicker responses of different lamp types. IET Gener. Transm. Distrib. 2009, 3, 816–824. [Google Scholar] [CrossRef] [Green Version]
- Wang, C.S.; Devaney, M.J.; Yang, S.W. Decomposition of the IEC flickermeter weighting curves [light flicker due to fluctuating current]. In Proceedings of the 21st IEEE Instrumentation and Measurement Technology Conference, Como, Italy, 18–20 May 2004; pp. 1378–1382. [Google Scholar]
- Zeng, Q.; Yang, H.; Wang, Z.; Hongping, L.I. Application of all-phase spectrum method to flicker detection. Proc. CSU-EPSA 2017, 29, 66–71. [Google Scholar]
- Abdalaal, R.M.; Man Ho, C.N. Characterization of commercial LED lamps for power quality studies. IEEE Can. J. Electr. Comput. Eng. 2021, 44, 94–104. [Google Scholar] [CrossRef]
- Padmavathi, P.; Natarajan, S. A survey on efficient converter driver techniques for LED lighting applications. In Proceedings of the 2019 Innovations in Power and Advanced Computing Technologies (i-PACT), Vellore, India, 22–23 March 2019; pp. 1–7. [Google Scholar]
- Gupta, N.; Verma, D. A review and analysis of topologies of light emitting diode (LED) drivers. In Proceedings of the 2021 IEEE 2nd International Conference on Electrical Power and Energy Systems (ICEPES), Bhopal, India, 10–11 December 2021; pp. 1–6. [Google Scholar]
- Luo, Q.; Huang, J.; He, Q.; Ma, K.; Zhou, L. Analysis and design of a single-stage isolated AC–DC LED driver with a voltage doubler rectifier. IEEE Trans. Ind. Electron. 2017, 64, 5807–5817. [Google Scholar] [CrossRef]
- Petrinska, I.; Ivanov, D.; Pavlov, D.; Kassev, K. Photometric flicker of LED luminaires according to driver type. In Proceedings of the 2020 21st International Symposium on Electrical Apparatus & Technologies (SIELA), Bourgas, Bulgaria, 3–6 June 2020; pp. 1–4. [Google Scholar]









| Variable | 60 W Incandescent Lamp (230 V/50 Hz) | 60 W Incandescent Lamp (120 V/60 Hz) |
|---|---|---|
| k | 1.74802 | 1.6357 |
| λ | 2π × 4.05981 | 2π × 4.167375 |
| ω1 | 2π × 9.15494 | 2π × 9.077169 |
| ω2 | 2π × 2.27979 | 2π × 2.939902 |
| ω3 | 2π × 1.22535 | 2π × 1.394468 |
| ω4 | 2π × 21.9 | 2π × 17.31512 |
| Drive Type | Brand Code | Power (W) | Luminous Flux (lm) | Color Temperature (K) |
|---|---|---|---|---|
| Type I | A | 3 | 170 | 3000 |
| A | 12 | 1000 | 5000 | |
| B | 16 | 1800 | 6500 | |
| Type II | B | 6.5 | 600 | 6500 |
| C | 3.5 | 249 | 6500 | |
| C | 7 | 550 | 5000 | |
| D | 4.5 | 380 | 6500 | |
| D | 8.5 | 860 | 6500 |
Publisher’s Note: MDPI stays neutral with regard to jurisdictional claims in published maps and institutional affiliations. |
© 2022 by the authors. Licensee MDPI, Basel, Switzerland. This article is an open access article distributed under the terms and conditions of the Creative Commons Attribution (CC BY) license (https://creativecommons.org/licenses/by/4.0/).
Share and Cite
Li, H.; Song, Y.; Zhu, M.; Jiao, Y. Experimental Interharmonic Sensitivity Evaluation of LED Lamps Based on the Luminous Flux Flicker Model. Energies 2022, 15, 2990. https://doi.org/10.3390/en15092990
Li H, Song Y, Zhu M, Jiao Y. Experimental Interharmonic Sensitivity Evaluation of LED Lamps Based on the Luminous Flux Flicker Model. Energies. 2022; 15(9):2990. https://doi.org/10.3390/en15092990
Chicago/Turabian StyleLi, Hongtao, Yifan Song, Mingxing Zhu, and Yadong Jiao. 2022. "Experimental Interharmonic Sensitivity Evaluation of LED Lamps Based on the Luminous Flux Flicker Model" Energies 15, no. 9: 2990. https://doi.org/10.3390/en15092990
APA StyleLi, H., Song, Y., Zhu, M., & Jiao, Y. (2022). Experimental Interharmonic Sensitivity Evaluation of LED Lamps Based on the Luminous Flux Flicker Model. Energies, 15(9), 2990. https://doi.org/10.3390/en15092990
