Next Article in Journal
Forecast of Community Total Electric Load and HVAC Component Disaggregation through a New LSTM-Based Method
Previous Article in Journal
Multi-Mode Damping Control Approach for the Optimal Resilience of Renewable-Rich Power Systems
Previous Article in Special Issue
Nonlinear Vibration Analysis of Curved Piezoelectric-Layered Nanotube Resonator
 
 
Font Type:
Arial Georgia Verdana
Font Size:
Aa Aa Aa
Line Spacing:
Column Width:
Background:
Article

Free Vibrations of Flexoelectric FGM Conical Nanoshells with Piezoelectric Layers: Modeling and Analysis

1
Department of Mechanical Engineering, Amirkabir University of Technology, Hafez Ave, Tehran 15875-4413, Iran
2
Department of Mechanical Engineering, University of Guilan, Rasht 41335-1914, Iran
3
Department of Mechanical and Mechatronics Engineering, University of Waterloo, Waterloo, ON N2L3G1, Canada
4
Doctoral School of Safety and Security Sciences, Obuda University, Nepszinhaz u. 8, H-1081 Budapest, Hungary
5
Faculty of Technical Sciences, University of Novi Sad, Trg D. Obradovica 6, 21000 Novi Sad, Serbia
*
Author to whom correspondence should be addressed.
Energies 2022, 15(9), 2973; https://doi.org/10.3390/en15092973
Submission received: 18 December 2021 / Revised: 7 April 2022 / Accepted: 13 April 2022 / Published: 19 April 2022

Abstract

Flexoelectric and piezoelectric effects have attracted the attention of researchers, owing to their applications in sensing systems and actuators. In this paper, the vibration of functionally graded material (FGM) conical nanoshell is studied, taking into account both piezoelectricity and flexoelectricity. The nanoshell has a sandwich-type structure with a FGM core and two layers of piezoelectric materials on its top and bottom. With the combination of the first order shear deformation and Eringen’s nonlocal theories, the vibration equation of the nanoshell is developed. In order to study the governing equations and the frequency of vibrations of nanoshell, the generalized differential quadrature method is implemented. Based on the developed numerical solution procedure, the effect of different parameters, such as flexoelectricity, piezoelectricity, nonlocal term and Pasternak foundation, are shown on the vibrations of conical nanoshell. The presented analysis provides a better insight into the behavior of conical nanoshells, which are highly applicable in bio-sensing and optical devices.

1. Introduction

Vibration modeling and analysis of shell-type structures have attracted the attention of researchers for more than a century, owing to its significant applications in many mechanical systems [1,2,3]. One of the earliest attempts for the vibration modeling of shell-type structure was done by Lord Rayleigh, which instigated mathematicians to develop novel models for different types of shells. One year later, Horace Lamb [4] developed one of the earliest models on the vibrations of spherical shells. The free and forced vibrations analysis of the shell, presented by A.E.H. Love [5], is considered as one of the earliest works on the subject of shell’s vibrations with external excitation. These works are the cornerstone of the shell theory, which are currently exploited in the modeling of different types of shells, taking into account a variety of configurations, sizes, multi-physics effects and material properties. As the main focus of this paper is on the miniature-scale conical functionally graded materials (FGM) shells with piezoelectric and flexoelectric effects, the published works concerning these types of shells are briefly reviewed in the present article. Specific focus will be given to the vibration of conical nanoshell with functionally graded materials. This structure has recently garnered the attention of researchers in the area of nanotechnology, drug delivery, cancer treatment, water purification, desalination and imperfection measurement systems [6,7,8,9]. Furthermore, the implementation of conical nanoshells has opened a new exploration avenue in the areas of plasmonic Fano-like resonances [10] and optics [11,12].
In order to have a comprehensive literature review on the subject of FGM shells vibrations modeling, we first describe the pivotal and primary research in this area. Then, the crucial efforts done by researchers in the incorporation of piezoelectric and FGM materials for the vibration modeling of shells are briefly discussed. Recent works on the vibration modeling of nanoshells taking into account piezoelectric effects are also presented. Moreover, we describe the state-of-the-art in the area of vibration modeling of the conical shells. The last section of the introduction presents the outline, novelty and the main contributions of the current research.
In 1984, functionally graded materials (FGMs) were introduced by a Japanese team of researchers for serving as a thermal barrier to last in high temperature. Since then, FGMs have been deployed for developing novel materials because of their excellent heat-resistance properties. The utilization FGMs in shell-type structure, from macro- to nanoscales, is a hot topic of research in the area of vibrations and smart materials. Several mathematical models, numerical and analytical solutions, have been developed during the last two decades to better infer the static, dynamics, buckling, post-buckling, free and forced vibrations of FGM shells [13].
For the vibration analysis of FGM shells in macro-scale, Loy et al. [14] proposed one of the principal models for the cylindrical shells in which they exploited Love’s shell theory in combination with Rayleigh–Ritz method to obtain their fundamental frequencies. It was shown that the frequency characteristics of FGM shells are analogous to homogeneous isotropic cylindrical shells. In another research presented by Pradhan et al. [15], the effect of various boundary conditions and volume fraction were studied on the frequency behavior of FGM cylindrical shell. Their results reveal that the natural frequency of FGM shell depends on both volume fraction and boundary conditions. A.H. Sofiyev developed several models for the vibrations of FGM shells with different geometrical and material properties. In one of their early studies on FGM shells [16], the vibration and stability behavior of freely supported FGM shell under external pressure were studied. The large amplitude vibrations of FGM orthotropic cylindrical shell resting on nonlinear viscoelastic foundations using Donnell’s shell theory along with von-Karman geometric nonlinearity were investigated in another work by A.H. Sofiyev [17]. The mathematical model for the parametric vibrations of shear deformable functionally graded (FG) truncated conical shells under both static and dynamic uniform lateral pressures were developed employing Donnell’s shell theory and Bolotin’s method in another research by Sofiyev [18]. As another research on the vibration modeling of FGM shell, the free vibration analysis of FGM circular cylindrical shell resting on the Pasternak foundation can be highlighted. In that paper, Shahbaztabar et al. [19] postulated partial interaction with fluid based on the first-order shear deformation theory. Recently, Ghamkhar et al. [20] analyzed the vibration frequency of three-layered functionally graded material (FGM) cylinder-shaped shell using Sander’s shell theory in conjunction with the Rayleigh–Ritz method. It was presented that the thickness to radius ratio has a significant effect on the natural frequencies of FGM cylindrical-shaped shells.
Researchers not only developed vibration models for FGM shells, they also published several works concerning the piezoelectric effect in the vibration modeling of FGM shells. This effect was originally incorporated in the modeling of a FGM hollow cylinder shell filled with compressible fluid by Chen et al. [21]. Their results show that for an accurate prediction of a cylinder vibration, when the structure is in the direct contact with ambient media, the coupling should be taken into account. Dynamic stability of piezoelectric FGM cylindrical shell was studied by Zhu et al. [22]. They showed that converse piezoelectric effect slightly changes the unstable region in the dynamic behavior of the FGM shell; however, direct piezoelectric effect has a significant impact on the stability behavior of this structure. In an interesting work, Sheng and Wang [23] investigated the response of FGM piezoelectric shell considering thermal shock and moving loads. Active control of the vibration of FGM piezoelectric shell was achieved by implementing the constant-gain negative velocity feedback (CGNVF) approach. Based on their analysis, two schemes were proposed for controlling the vibration of FGM shells using either CGNVF approach or keeping the moving velocity and the critical speed apart from each other. In addition, active nonlinear control was developed for the vibration of the piezoelectric FGM cylindrical shell [24]. In a comprehensive study, Rafiee et al. [25] analyzed the nonlinear vibrations of FGM shell assuming thermal, electrical and aerodynamic effects plus external excitation based on Donnell shell theory ignoring the shallowness of cylindrical shell. It was shown that the effect of applied voltage is relatively small on the dynamic behavior of the FGM shell. Zheng et al. [26] developed a two-dimensional theoretical model for the piezoelectric shell considering surface effects. This is one of the earliest studies incorporating surface effect in the modeling of nanoscale piezoelectric shell. Jafari et al. [27] analyzed the nonlinear vibrations of FGM cylindrical shells with piezoelectric layers. Duc et al. [28] probed nonlinear vibration of shear deformable piezoelectric FGM double-curved shallow shells, implementing Reddy’s higher order shear deformation theory in which they showed the effect of different parameters, such as geometrical and material properties, imperfection, elastic foundation and thermal loads, on the nonlinear dynamics of FGM shells.
Recently, researchers considered the piezoelectric effects in the modeling of nanoshells. For example, Razavi et al. [29] analyzed the vibration of cylindrical FGM nanoshell with piezoelectric materials based on consistent couple stress theory. It was demonstrated that the length-to-radius ratio and the radius-to-thickness ratio substantially affect the behavior of an FGM nanoshell. Shojaeefard et al. [30] analyzed the free vibration of an ultra-fast-rotating nanoshell taking into account thermal, electrical and magnetic effects. Using the first-order shear deformation theory in conjunction with the generalized differential quadrature method, they obtained a numerical solution for the vibration behavior of the considered nanostruture, discussing its potential applications in water purification and desalination. Recently, Karami et al. [31] analyzed the vibration behavior of a double-curved nanoshell with temperature- and porosity-dependent materials implementing the nonlocal strain gradient theory. Wang et al. [32] developed a mathematical model for the vibrations of piezoelectric cylindrical nanoshells rested on a viscoelastic foundation taking into account thermal and electrical loading, small-scale effect and simply supported boundary conditions using nonlocal elasticity and Donnell’s nonlinear shell theories.
Modeling of FGM shells’ vibrations with different geometries and configuration is another important route of research in this area. Among different types of FGM shell geometries, the vibrations of conical shells have been meticulously analyzed in the last decade by several researchers [33]. One of the most recent works in this area, A.H. Sofiyev focused on the linear parametric instability of laminated inhomogeneous orthotropic conical shells with transforming the governing equation into the Mathieu form using the Galerkin approach plus Bolotin method [34]. The thermoelastic buckling of FGM conical shells, due to a nonlinear temperature rise, was studied in accordance with the shear deformation theory. The vibration of a rotating conical shell in a thermal environment with FG materials was modeled and analyzed in the framework of Donnel’s shell theory by M. Shakouri [35]. The developed model for the vibrations of rotating conical shell includes the centrifugal forces, Coriolis forces and initial hoop tensions, owing to the rotation. In this work, the aim is to develop a novel model for the vibration of FGM conical nanoshells in the framework of shear deformation theory in conjunction with Eringen’s nonlocal theory of elasticity. Accordingly, this paper is focused on the effect of flexoelectricity [36], a spontaneous electrical polarization induced by a strain gradient, on the frequency behavior of conical nanoshell. The considered nanoshell consists of a sandwich structure with a FGM core and two layers of piezoelectric materials on its top and bottom. Using the first-order shear deformation theory, the governing equation of motion is obtained considering Eringen’s nonlocal theory of elasticity. A closed electrical circuit is assumed for the piezoelectric layers. Considering the clamped-clamped and clamped-simply supported boundary conditions, the generalized differential quadrature method is used to obtain the natural frequency of the nanoshell. A parametric sensitivity analysis is presented to study the effects of piezoelectricty, flexoelectricty and nonlocality on the vibration of conical nanoshells.

2. Mathematical Modeling

In accordance with the shell model and postulating moderately thick shell theory, the first-order shear deformation theory is used to formulate the displacement components of an arbitrary point in the truncated conical FGM shell. Accordingly, the displacements and rotation terms of the middle surface are presented as below:
U ( x , θ , z , t ) = u ( x , θ , t ) + z ϕ x ( x , θ , t ) ,
V ( x , θ , z , t ) = v ( x , θ , t ) + z ϕ θ ( x , θ , t ) ,
W ( x , θ , z , t ) = w ( x , θ , t ) ,
in which U, V and W represent the displacement terms in x, θ and z, respectively. The displacement components of the middle surface of the shell in the axial, circumferential and radial direction are shown by u, v and w, respectively. ϕ x and ϕ θ are used to show the transverse normal rotation of the reference surface with respect to θ - and x-axis. Figure 1 schematically shows the considered nanoshell of the present study. Considering a moderately thick truncated shell, the following relations are considered for strains in the middle surface and curvature changes during deformation.
ε x x = u x ,
ε θ θ = 1 R v θ + u cos ϕ R + w sin ϕ R ,
γ x θ = v x + 1 R u θ v cos ϕ R ,
χ x x = ϕ x x ,
χ θ θ = 1 R ϕ θ θ + ϕ x cos ϕ R ,
χ x θ = 1 R ϕ x θ + ϕ θ x ϕ θ cos ϕ R ,
γ x z = w x + ϕ x ,
γ θ z = 1 R w θ v sin ϕ R + ϕ θ ,
where ε x x , ε θ θ , γ x θ , χ x x , χ θ θ and χ x θ show the in-plane axial, circumferential, shearing and the curvature changes of the shell, respectively. In addition, γ x z and γ θ z show the transverse shearing stresses.
In order to correlate the force and moment resultants to strains and curvature of the reference surface, the following matrix is used to define constitutive equations:
N x x N θ θ N x θ M x M θ M x θ = A 11 A 12 0 B 11 B 12 0 A 12 A 11 0 B 12 B 11 0 0 0 A 66 0 0 B 66 B 11 B 12 0 D 11 D 12 0 B 12 B 11 0 D 12 D 11 0 0 0 B 66 0 0 D 66 ε x x ε θ θ γ x θ χ x x χ θ θ χ x θ ,
Q θ Q x = 5 6 A 66 0 0 A 66 γ θ z γ x z ,
where N x x , N θ θ , N x θ , M x , M θ , M x θ , Q θ and Q x represent the in-plane force per unit length, bending and twisting moment resultants and the transverse shear force resultants, respectively. The functionally graded materials are used in our modeling taking into account both piezoelectric and flexoelectric effects. Furthermore, nanoscale sizes are assumed for the truncated conical shell. For the extensional stiffness A i j , the extensional-bending coupling stiffness B i j and the bending stiffness D i j , the following equation are written:
A i j = h 2 h p h 2 + h p Q i j ( z ) d z ,
B i j = h 2 h p h 2 + h p z Q i j ( z ) d z ,
D i j = h 2 h p h 2 + h p z 2 Q i j ( z ) d z ,
where i , j = 1 , 2 , 6 and Q i j is the elastic constant, which depends on thickness coordinate. It should be noted that the core material is FGM, e.g., ( h 2 < z < h 2 ), and its elastic coefficients are formulated by the following equation:
Q 11 ( z ) = E ( z ) 1 μ 2 ( z ) ,
Q 12 ( z ) = μ ( z ) E ( z ) 1 μ 2 ( z ) ,
Q 66 ( z ) = E ( z ) 2 [ 1 + μ ( z ) ] .
For the top and bottom layers, e.g., ( h 2 < z < h 2 + h p and h 2 h p < z < h 2 ), the elastic constants are defined as below:
Q 11 = E 1 μ 2 ,
Q 12 = μ E 1 μ 2 ,
Q 66 = E 2 ( 1 + ν ) .
The conical shell consists of three layers in z direction. The top and bottom layers are homogeneous and the core material is FGM. As the core material is FGM, the Young’s modulus E ( z ) , Poisson’s ratio μ ( z ) and mass density ρ ( z )  are calculated by the following equations:
E ( z ) = ( E c E M ) V c + E M ,
μ ( z ) = ( μ c μ M ) V c + μ M ,
ρ ( z ) = ( ρ c ρ M ) V c + ρ M ,
where E c , ρ c , μ c and E M , ρ M , μ M represent the Young’s modulus, Poisson’s ratio and mass density of layers. V c shows the volume fraction of the FGM material, and it is defined by the following equation:
V c = ( 1 2 z h ) n ,
where n represents the power fraction.

2.1. Flexoelectric Effect in the Modeling of Conical Nanoshells

The flexoelectric effect of dielectric materials into the vibration modeling of nanostructures is an important topic, owing to its substantial effect in nanoscale [37,38,39,40]. Flexoelectric effect is an important property of dielectric materials, which can be induced by electric polarization and mechanical strain gradient coupling, and also the electric polarization gradient and mechanical gradient coupling. The amount of electricity induced by flexoelectric effect in dielectric materials is considerable, and therefore, in this work, this effect is taken into account in the piezoelectric layers of conical nanoshell.
In order to consider flexoelectric effects in the modeling of the considered conical nanoshell, the following relation is written for the internal energy density function as [38,41]:
U e = 1 2 a k L P k P L + 1 2 C i j k L ε i j ε k L + d i j k ε i j P K + f i j k L u i , j k P L = 1 2 σ i j ε i j + 1 2 E K P K + 1 2 σ i j m u i , j m ,
in which P i , a k l , C i j k l , d i j k , u i , j , ε i j and f i j k l show the components for the polarization vector, the elements for the reciprocal dielectric susceptibility, elastic coefficient and piezoelectric coefficient tensors, components for the displacement vector, strain components and the fourth-order flexoelectric coefficient tensor, respectively. Accordingly, the general form of the constitutive equation can be written in the following form:
σ i j = U e ε i j = C i j k l ε k l + d i j k P k ,
σ i j m = U e u i , j m = f i j m l P L ,
E i = U e P i = a i j P j + d j k l ε j k + f j k L i u j , k L ,
where σ i j and E i represent the conventional stress tensor and the electric field, respectively. The higher order stress tensor induced by the flexoelectric effect is shown by σ i j m . It is supposed that the electric fields only vary in z direction; therefore, the following formulation can be written:
E z + ϕ z = 0 ,
Based on the Guess’s law, one could have:
k 2 ϕ z 2 + P z z = 0 ,
where:
k = k 0 k b ,
and K 0 is defined as the permittivity of air, which equals to 8.85 × 10 12 CV 1 m 1 and k b = 6.62 , which is the permittivity of the ferroelectric. Substituting the strain components into Equation (30) results in:
E z = a 33 P z + d 31 [ u x + 1 R V θ + u cos ϕ R + w sin ϕ R ] + ( z d 31 + f 31 ) [ ϕ x x + 1 R ϕ θ θ + ϕ x cos ϕ R ] ,
The general solution for Equations (31) and (32), taking into account Equation (34), is as follows:
ϕ = d 31 z 2 2 ( 1 + k a 33 ) ( ϕ x x + 1 R ϕ θ x + ϕ x cos ϕ R ) + c 2 z + c 1 ,
Assuming the following boundary conditions for the electric potential:
ϕ ( h 2 + h p ) = ϕ ( h 2 ) = V ,
ϕ ( h 2 ) = ϕ ( h 2 h p ) = 0 ,
Thus, the constants c 1 and c 2 are obtained as:
For h 2 < z < h 2 + h p
c 1 = V h 2 h p d 31 h 4 ( 1 + k a 33 ) ( h 2 + h p ) ϕ x x + 1 R ϕ θ θ + ϕ x cos ϕ R ,
c 2 = V h p + d 31 2 ( 1 + k a 33 ) ( h + h p ) [ ϕ x x + 1 R ϕ θ θ + cos ϕ ϕ x R ] ,
For h 2 h p < z < h 2
c 1 = V h p ( h 2 + h p ) d 31 h 4 ( 1 + k a 33 ) ( h 2 + h p ) ϕ x x + 1 R ϕ θ θ + ϕ x ϕ x cos ϕ R ,
c 2 = V h p d 31 2 ( 1 + k a 33 ) ( h + h p ) ϕ x x + 1 R ϕ θ θ + ϕ x cos ϕ R ,
Therefore, the polarization equation can be obtained as below:
P z = d 31 a 33 u x + 1 R V θ + u cos ϕ R + w sin ϕ R + k d 31 z 1 + k a 33 f 31 a 33 ϕ x x + 1 R ϕ θ θ + ϕ x cos ϕ R c 2 a 33 .
Taking into account the flexoelectric effect, the total electric enthalpy density takes the following form:
H = U 1 2 k ( ϕ z ) 2 + P z ϕ z ,
Applying the variational form, the variation of electric enthalpy and internal energy density are obtained as:
δ H = δ u + ( P z 1 + k a 33 a 33 ϕ z ) δ ϕ z ,
δ U = [ N x x δ ε x x + N θ δ ε θ θ + N x θ δ γ x θ + M x x δ χ x x + M θ θ δ χ θ θ + M x θ δ χ x θ Q x δ γ x z + Q θ δ γ θ z + E z δ P z ] R d x d θ .
The kinetic and potential energy terms can be written in the following forms:
K = 1 2 I 0 ( u ˙ 2 + v ˙ 2 + w ˙ 2 ) + 2 I 1 ( u ˙ ϕ ˙ x x + v ˙ ϕ ˙ x x ) + 2 I 2 ( ϕ x ˙ 2 + ϕ θ ˙ 2 ) R d x d θ ,
V = 1 2 k w w 2 + k p ( ( w x ) 2 + ( w R θ ) 2 ) R d x d θ .
Based on the Hamiltonian principle and combining Equations (44)–(47), one could obtain:
0 t ( δ H δ K + δ V ) d t = 0 .
The related governing equation is formulated in Appendix A.

2.2. Nonlocal Modeling

As the considered shell is in the nanoscale, based on the Eringen’s nonlocal theory, the nonlocal theory is combined with the obtained governing equation in the local form. The following is the obtained equations using the nonlocal theory for the vibrations of conical nanoshells:
N x x ( e a ) 2 2 N x x = A 11 ε x x + A 12 ε θ θ + B 11 χ x x + B 12 χ θ θ ,
N θ θ ( e a ) 2 2 N θ θ = A 12 ε x x + A 11 ε θ θ + B 12 χ x x + B 11 χ θ θ ,
N x θ ( e a ) 2 2 N x θ = A 44 γ x θ + B 44 χ x θ ,
M x x ( e a ) 2 2 M x x = B 11 ε x x + B 12 ε θ θ + D 11 χ x x + D 12 χ θ θ ,
M θ θ ( e a ) 2 2 M θ θ = B 12 ε x x + B 22 ε θ θ + D 12 χ x x + D 11 χ θ θ ,
M x θ ( e a ) 2 2 M x θ = B 44 γ x θ + B 22 χ x θ ,
Q x z ( e a ) 2 2 Q x z = 5 6 A 66 γ x z ,
Q θ z ( e a ) 2 2 Q θ z = 5 6 A 66 γ θ z .
By substituting Equations (A6)–(A9) into Equations (A1)–(A5), and Equations (4)–(11) into Equations (49)–(56), two new sets of equations are mathematically formulated. In order to obtain the governing equations of motion, based on displacements, two new sets of equations are combined together.
L 11 u + L 12 v + L 13 w + L 14 ϕ x + L 15 ϕ θ = ( 1 ( e a ) 2 2 ) ( I 0 v ¨ + I 1 ϕ x ¨ ) ,
L 21 u + L 22 v + L 23 w + L 24 ϕ x + L 25 ϕ θ = ( 1 ( e a ) 2 2 ) ( I 0 v ¨ + I 1 ϕ θ ¨ ) ,
L 31 u + L 32 v + L 33 w + L 34 ϕ x + L 35 ϕ θ = ( 1 ( e a ) 2 2 ) ( I 0 w ¨ ) ,
L 41 u + L 42 v + L 43 w + L 44 ϕ x + L 45 ϕ θ = ( 1 ( e a ) 2 2 ) ( I 1 u ¨ + I 2 ϕ ¨ x ) ,
L 51 u + L 52 v + L 53 w + L 54 ϕ x + L 55 ϕ θ = ( 1 ( e a ) 2 2 ) ( I 1 v ¨ + I 2 ϕ ¨ θ ) .
The differential operators L i j are described in the Appendix A, Appendix B and Appendix C. Several numerical and analytical techniques have been developed for analyzing the mathematical modelling of linear and nonlinear differential equations [1,42]. In order to numerically solve the above set of equations, the GDQ method is used as described in the Appendix A.

3. Discussion and Results

In this section, the effect of different parameters on the frequency behavior of nanoshells are studied based on the numerical solution presented in Appendix C. The effect of the flexoelectric effect, h / R 2 ratio and volume fraction function on the frequency behavior of conical nanoshells are first studied. In our numerical simulation, the properties of S U S 3 4 and S i 3 N 4 are used as the core materials of the considered conical nanoshells. For the top and bottom layers, the properties of PZT5H have been considered in the numerical analysis. Accordingly, we have considered the following material properties: E = 201.04 × 10 9 Pa, ν = 0.3262 and ρ = 8166 kg/m 3 for S U S 3 4 ; E = 348.43 × 10 9 Pa, ν = 0.24 and ρ = 2370 kg/m 3 for S i 3 N 4 ; and E = 348.43 × 10 9 Pa, ν = 0.33 , ρ = 3680 kg/m 3 , d 31 = 1.87 × 10 9 and a 33 = 0.79 × 10 9 [37,43].
As Figure 2 (left) shows, for a given h / R 2 ratio in the case of clamped-clamped boundary condition (C-C), the frequency of nanoshell oscillations decreases when considering the flexoelectric effect. Furthermore, using the volume fraction function ( V 1 ) in the analysis, the conical nanoshells shows a higher frequency of oscillations in comparison with the conical nanoshell with volume fraction function ( V 2 ) . Another important result that can be concluded from this figure is related to the h / R 2 ratio. As the figure represents, increasing this ratio results in enhancing the frequency of nanoshells.
Figure 2 (right) shows a similar trend of the frequency of conical nanoshells with respect to the variation of flexoelectric effect and volume fraction function. Based on this figure, for a given h / R 2 , a conical nanoshell with a clamped-clamped boundary condition has a higher natural frequency compared with the case of simply supported boundary conditions. Figure 3 (left) represents how the variation of nonlocal term changes the frequency of FGM conical nanoshells. Based on this figure, for a given ratio of h / R 2 , increasing the value of nonlocal term reduces the frequency of conical nanoshells. Figure 3 (left) is plotted based on clamped-clamped boundary conditions.
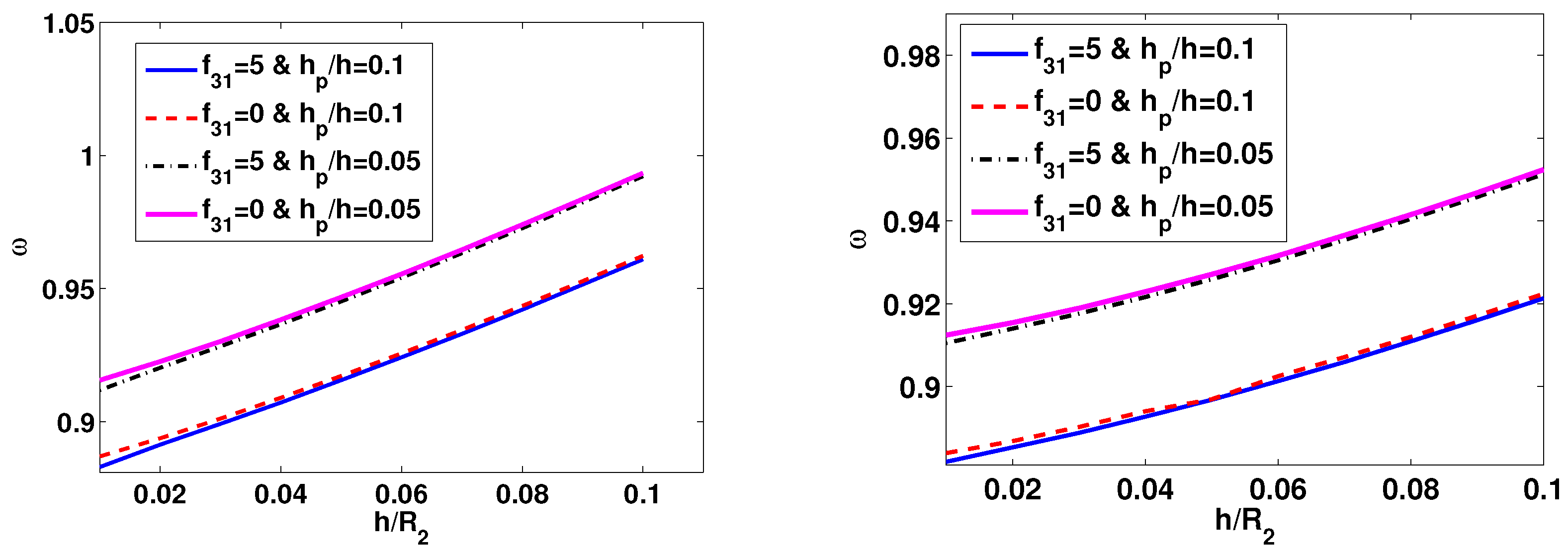
Figure 3 (right) reveals the effect of a nonlocal parameter and flexoelectric term on the frequency behavior of considered nanoshell. It is shown that a nanoshell with a lower nonlocal parameter and flexoelectric term has the highest natural frequency, for a given value of h / R 2 . Figure 4 (left) and (right) illustrate the effect of piezoelectric layer thickness on the frequency of considered nanoshell for the case of clamped-clamped and simply supported boundary conditions. Based on these figures, with increasing the h p / h ratio from 0.05 to 0.1 , the frequency of nanoshell reduces about 10% for the clamped-clamped boundary condition, and approximately 15% for the clamped-simply supported boundary condition.
The effect of volume fraction coefficient is shown in Figure 5 (left) and (right), taking into account clamped-clamped and clamped-simply supported boundary conditions, respectively. For a given value of h / R 2 , based on these two figures, with a higher number of volume fraction coefficient and flexoelectric term, the considered nanoshell shows the lowest frequency of oscillations in comparison with other cases, presented in the figures.
In order to show the effect of the Pasternak foundation on the frequency behavior of the FGM conical nanoshells, Figure 6 (left) and (right) are plotted, taking into account clamped-clamped and clamped-simply supported boundary conditions, respectively. As these two figures show, variation of Pasternak foundation coefficient has a slight effect on the frequency behavior of FGM conical nanoshell. An increase in the Pasternak foundation coefficient results in a slight increase in the frequency of the FGM conical nanoshell.

4. Conclusions

In this paper, the vibraton model of FGM conical nanoshell was developed based on the shear deformation theory in combination with Eringen’s nonlocal theory of elasticity considering both piezoelectricity and flexoelectricity. It was assumed that the conical nanoshell has a sandwich form with three layers in which the middle one consists of functionally graded materials and the top and bottom parts of piezoelectric materials. The GDQ method was used to obtain the frequency of oscillations in the cases of clamped-clamped and simply-clamped boundary conditions. The numerically obtained frequency of oscillations were studied with the variation of different parameters including flexoelectricity, the thickness of piezoelectric layers and Pasternak coefficient. The parametric sensitivity results based on oscillations frequency of conical nanoshell show that, for a given h / R 2 ratio, the frequency of nanoshell oscillations decreases, considering flexoelectric effect for both clamped-clamped and simply-clamped boundary conditions. Furthermore, it was represented that as the volume fraction coefficient and flexoelectric term are increased, the FGM conical nanoshell shows a lower frequency of oscillations. In addition, it was concluded that increasing the piezoelectric layer thickness reduces the oscillations frequency of a conical nanoshell for a given h / R 2 ratio.

Author Contributions

Conceptualization, H.A. and L.C.; methodology, S.K. and S.C.; software, S.K. and H.A.; formal analysis, S.K., S.C. and H.A.; investigation, S.K. and S.C.; writing—original draft preparation, S.K. and S.C.; writing—review and editing, H.A., S.K. and L.C.; visualization, S.K. and S.C. All authors have read and agreed to the published version of the manuscript.

Funding

This research received no external funding.

Institutional Review Board Statement

Not Applicable.

Informed Consent Statement

Not Applicable.

Data Availability Statement

The data presented in this study are available on request from the corresponding author.

Conflicts of Interest

The authors declare no conflict of interest.

Appendix A. Governing Equation

The equation of motion of the conical nanoshell, taking into account piezoelectric and flexoelectric effects, are obtained as below:
N ¯ x x x + 1 R N ¯ θ θ θ + ( N ¯ x x N ¯ θ θ ) cos ϕ R = I 0 u ¨ + I 1 v ¨ ,
N ¯ x θ x + 1 R N ¯ θ θ θ + Q θ θ sin ϕ R = I 0 u ¨ + I 1 ϕ ¨ θ θ ,
Q x x x + 1 R Q θ θ θ + Q x cos ϕ R N θ θ sin ϕ R = I 0 w ¨ ,
M ¯ x x x + 1 R M x θ θ + M ¯ x x M ¯ θ θ cos ϕ R Q θ θ = I 1 u ¨ + I 2 v ¨ ,
M x θ x + 1 R M θ θ ¯ θ + 2 M x θ cos ϕ R Q θ θ = I 1 v ¨ + I 2 ϕ θ θ ¨ ,
where:
N ¯ x x = N x x + d 31 P z d 31 d 33 E z d z ,
N ¯ θ θ = N θ θ + d 31 P z d 31 a 33 E z d z ,
M ¯ x x = M x x + z d 31 P z + f 31 P z E z k d 31 z 1 + k a 33 + f 31 a 33 d z h 2 h 2 + h p E z d 31 ( h + h p ) 2 a 33 ( 1 + k a 33 ) d z + h 2 h p h 2 E z d 31 ( h + h p ) 2 a 33 ( 1 + k a 33 ) d z ,
M ¯ θ θ = M θ θ + z d 31 P z + f 31 P z E z k d 31 z 1 + k a 33 + f 31 a 33 d z h 2 h 2 + h p E z d 31 ( h + h p ) 2 a 33 ( 1 + k a 33 ) d z + h 2 h p h 2 E z d 31 ( h + h p ) 2 a 33 ( 1 + k a 33 ) d z .

Appendix B

L 11 = d 31 2 a 33 2 x 2 d 31 2 a 33 cos ϕ R x + A 11 2 x 2 + A 11 c o s ϕ R x + A 66 R 2 2 θ 2 A 11 cos 2 ϕ R 2 I 0 2 t 2
L 12 = d 31 2 a 33 1 R x θ + A 12 + A 66 R 2 x θ A 11 + A 66 R 2 cos ϕ θ
L 13 = d 31 2 a 33 sin ϕ R x + A 12 R sin ϕ x + A 12 R sin ϕ x A 11 R 2 sin ϕ cos ϕ
L 14 = z d 31 2 a 33 f 31 d 31 a 33 d z 2 x 2 + cos ϕ R x + B 11 2 x 2 + B 11 R cos ϕ x + B 66 R 2 2 θ 2 B 11 cos 2 ϕ R 2 I 1 2 t 2
L 15 = z d 31 2 a 33 f 31 d 31 a 33 d z 1 R 2 x θ B 12 + B 66 R 2 x θ B 11 + B 66 R 2 cos ϕ θ
L 21 = d 31 2 a 33 d z 1 R 2 x θ + cos ϕ R 2 θ + A 12 + A 66 R 2 x θ + A 11 + A 66 R 2 cos ϕ θ
L 22 = d 31 2 a 33 d z 1 R 2 θ θ + A 66 2 x 2 + A 66 2 x 2 + A 66 R cos ϕ x + A 11 R 2 2 θ 2 k c A 66 R 2 sin 2 ϕ A 66 R 2 cos ϕ I 0 2 t 2
L 23 = d 31 2 a 33 d z sin ϕ R 2 θ + A 11 + k c A 66 R 2 sin ϕ θ
L 24 = z d 31 2 a 33 f 31 d 31 a 33 d z 1 R 2 x θ + cos ϕ R 2 θ + B 12 + B 66 R 2 x θ + B 11 + B 66 R 2 cos ϕ θ
L 25 = z d 31 2 a 33 f 31 d 31 a 33 d z 1 R 2 2 θ 2 + B 66 2 x 2 + B 66 R cos ϕ x + B 11 R 2 2 θ 2 + k c A 66 R sin ϕ B 66 R 2 cos 2 ϕ I 1 2 t 2
L 31 = d 31 2 a 33 d z sin ϕ R x sin 2 ϕ 2 R 2 A 12 R sin ϕ x A 11 R 2 sin ϕ cos ϕ
L 32 = d 31 2 a 33 d z sin ϕ R 2 θ A 11 + k c A 66 R 2 sin ϕ θ
L 33 = d 31 2 a 33 d z sin 2 ϕ R 2 + k c A 66 2 x 2 + k c A 66 R cos ϕ x k c A 66 R 2 2 θ 2 A 11 R 2 sin 2 ϕ I 0 2 t 2 k w ( 1 ( e a ) 2 2 ) w + k p ( 1 ( e a ) 2 2 ) ( 2 w x 2 + 1 R 2 2 w θ 2 )
L 34 = z d 31 2 a 33 f 31 d 31 a 33 d z sin ϕ R x sin 2 ϕ 2 R 2 + k c A 66 B 12 sin ϕ R x + k c A 66 cos ϕ R B 11 sin ϕ cos ϕ R 2
L 35 = z d 31 2 a 33 f 31 d 31 a 33 d z sin ϕ R 2 θ + k c A 66 R B 11 sin ϕ R 2 θ
L 41 = G P 3 d z 2 x 2 + cos ϕ R x + B 11 2 x 2 + B 11 R cos ϕ x + B 66 R 2 2 θ 2 B 11 cos 2 ϕ R I 1 2 t 2
L 42 = G P 3 d z 1 R x θ + B 12 + B 66 R 2 x θ B 11 + B 66 R 2 cos ϕ θ
L 43 = G P 3 d z sin ϕ R x B 12 sin ϕ R k c A 66 x B 11 sin ϕ cos ϕ R 2
L 44 = G P 4 d z 2 x 2 + cos ϕ R x + D 11 2 x 2 + D 11 R cos ϕ x + D 66 R 2 2 θ 2 k c A 66 D 11 R 2 cos 2 ϕ I 2 2 t 2
L 45 = G P 4 d z 1 R 2 θ x + D 12 + D 66 R 2 x θ D 11 + D 66 R 2 cos ϕ θ
L 51 = G P 3 d z 1 R 2 x θ + c o s ϕ R 2 θ + B 12 + B 66 R 2 x θ + B 11 + B 66 R 2 cos ϕ θ
L 52 = G P 3 d z 1 R 2 2 θ 2 + B 66 2 x 2 + B 66 R cos ϕ x + B 11 R 2 2 θ 2 + k c A 66 R sin ϕ B 66 R 2 cos 2 ϕ I 1 2 t 2
L 53 = G P 3 d z sin ϕ R 2 θ + B 11 sin ϕ R 2 k c A 66 R θ
L 54 = G P 4 d z 1 R 2 θ x + cos ϕ R 2 θ + D 12 + D 66 R 2 x θ + D 11 + D 66 R 2 cos ϕ θ
L 55 = G P 4 d z 1 R 2 2 θ 2 + D 66 2 x 2 + D 66 R cos ϕ x + D 11 R 2 2 θ 2 k c A 66 D 66 R 2 cos 2 ϕ I 2 2 t 2
G P 3 = h 2 h p h 2 + h p ( z d 31 + f 31 ) ( d 31 a 33 ) d z
G P 4 = h 2 h p h 2 [ k d 31 z 1 + k a 33 f 31 a 33 d 31 ( h + h p ) 2 a 33 ( 1 + k a 33 ) h 2 h p h 2 k d 31 z 1 + k a 33 + f 31 a 33 k d 31 z a 33 1 + k a 33 + z d 31 d 31 ( h + h p ) 2 ( 1 + k a 33 ) + d 31 ( h + h p ) 2 a 33 ( 1 + k a 33 ) + h 2 h 2 k d 31 z 1 + k a 33 f 31 a 33 k d 31 z 1 + k a 33 + f 31 a 33 k d 31 z a 33 1 + k a 33 + z d 31 + h 2 h 2 + h p k d 31 z 1 + k a 33 f 31 a 33 + d 31 ( h + h p ) 2 ( 1 + k a 33 k 31 z 1 + k a 33 + f 31 a 33 [ k d 31 z a 31 1 + k a 33 + z d 31 + d 31 ( h + h p ) 2 ( 1 + k a 33 ) d 31 ( h + h p ) 2 a 33 ( 1 + k a 33 ) ] ] d z

Appendix C. Numerical Analysis

In this section, the GDQ method is used to analyze the governing equation of motion of the nanoshell. Initially, it is supposed that they are constant in a circumferential direction.
The following equations are implemented to alter the 2D equations to a 1D form:
u ( α , β , t ) = u ( α , t ) cos ( n β )
w ( α , β , t ) = w ( α , t ) cos ( n β )
ψ β ( α , β , t ) = ψ β ( α , t ) sin ( n β )
ϕ β ( α , β , t ) = ϕ β ( α , t ) sin ( n β )
v ( α , β , t ) = v ( α , t ) sin ( n β )
ψ α ( α , β , t ) = ψ α ( α , t ) cos ( n β )
ϕ α ( α , β , t ) = ϕ α ( α , t ) cos ( n β )
Based on the GDQ method, along the surface reference, the following formulation can be written for the grid points:
α i = ( 1 cos ( i 1 N 1 π ) ) ( α 1 α 0 ) 2 + α 0
Finally, the 1D GDQ method is exploited to find the approximate solution for the governing equation of the vibration of nanoshell. The details of the solution procedure are as follows:
n f α n = k = 1 N c i k n f k
M ( 1 ) ( α k ) = j = 1 , j k N ( α k α j )
c i j 1 = M 1 ( α i ) ( α α j ) M ( 1 ) ( α j ) i , j = 1 , 2 , , N , j i
c i j n = n ( c i j n × ( c i i ( n 1 ) c i j ( n 1 ) ) α i α j ) , i , j = 1 , 2 , , j i n = 2 , 3 , , N 1
c i i n = j = 1 , j i N i , j = 1 , 2 , , N n = 1 , 2 , 3 , , N 1
In accordance with the GDQ method, we can write the matrix form of the governing equations as follows:
[ K d b ] { m b } + [ K d d ] { m d } = [ M ] { m d ¨ }
[ K b b ] { m b } + [ K b d ] { m d } = 0
Eliminating { m b } in the above equation results in:
[ K d d ] [ K d b ] [ K b b ] 1 [ K b d ] m d = M m d ¨
where b and d indices represent the boundary and inside domain, respectively. Furthermore, we have the following definition for m b and m d :
m b = u 1 , u N , v 1 , v N , w 1 , w N , ψ α 1 , ψ α N , ψ β 1 , ψ β N
m d = u 2 , u 3 , , u N 1 , v 2 , v 3 , , v N 1 , w 2 , w 3 , , w N 1 , ψ α 2 , ψ α 3 , , ψ α N 1 , ψ β 2 , , ψ β N 1
Taking into account the free vibration case, we define m d = m d e i ω t ; therefore, the following form is formulated to find the frequency of vibration:
[ K d d ] [ K d b ] [ K b b ] 1 [ K b d ] + [ M ] ω 2 m d = 0

References

  1. Amabili, M. Nonlinear Vibrations and Stability of Shells and Plates; Cambridge University Press: Cambridge, UK, 2008. [Google Scholar]
  2. Alijani, F.; Amabili, M. Non-linear vibrations of shells: A literature review from 2003 to 2013. Int. J.-Non-Linear Mech. 2014, 58, 233–257. [Google Scholar] [CrossRef]
  3. Lamb, H. On the deformation of an elastic shell. Proc. Lond. Math. Soc. 1889, 1, 119–146. [Google Scholar] [CrossRef]
  4. Lamb, H. On the vibrations of a spherical shell. Proc. Lond. Math. Soc. 1882, 1, 50–56. [Google Scholar] [CrossRef]
  5. Love, A. The free and forced vibrations of an elastic spherical shell containing a given mass of liquid. Proc. Lond. Math. Soc. 1887, 1, 170–207. [Google Scholar] [CrossRef]
  6. Ahmadi, A.; Arami, S. Potential applications of nanoshells in biomedical sciences. J. Drug Target. 2014, 22, 175–190. [Google Scholar] [CrossRef] [PubMed]
  7. Shanbhag, P.; Iyer, V.; Shetty, T. Gold nanoshells: A ray of hope in cancer diagnosis and treatment. Nucl. Med. Biol. Imag. 2017, 2, 1–5. [Google Scholar]
  8. Ahn, C.; Park, J.; Kim, D.; Jeon, S. Monolithic 3D titania with ultrathin nanoshell structures for enhanced photocatalytic activity and recyclability. Nanoscale 2013, 5, 10384–10389. [Google Scholar] [CrossRef] [PubMed]
  9. Lyssakow, P.; Friedrich, L.; Krause, M.; Dafnis, A.; Schröder, K. Contactless geometric and thickness imperfection measurement system for thin-walled structures. Measurement 2020, 150, 107038. [Google Scholar] [CrossRef]
  10. Khan, A.D.; Miano, G. Plasmonic Fano resonances in single-layer gold conical nanoshells. Plasmonics 2013, 8, 1429–1437. [Google Scholar] [CrossRef]
  11. Knight, M.W.; Halas, N.J. Nanoshells to nanoeggs to nanocups: Optical properties of reduced symmetry core–shell nanoparticles beyond the quasistatic limit. New J. Phys. 2008, 10, 105006. [Google Scholar] [CrossRef]
  12. Zhang, Y.; Sun, Y.; Cai, L.; Gao, Y.; Cai, Y. Optical fiber sensors for measurement of heavy metal ion concentration: A review. Measurement 2020, 158, 107742. [Google Scholar] [CrossRef]
  13. Shen, H.S. Functionally Graded Materials: Nonlinear Analysis of Plates and Shells; CRC Press: Boca Raton, FL, USA, 2016. [Google Scholar]
  14. Loy, C.; Lam, K.; Reddy, J. Vibration of functionally graded cylindrical shells. Int. J. Mech. Sci. 1999, 41, 309–324. [Google Scholar] [CrossRef]
  15. Pradhan, S.; Loy, C.; Lam, K.; Reddy, J. Vibration characteristics of functionally graded cylindrical shells under various boundary conditions. Appl. Acoust. 2000, 61, 111–129. [Google Scholar] [CrossRef]
  16. Sofiyev, A. The vibration and stability behavior of freely supported FGM conical shells subjected to external pressure. Compos. Struct. 2009, 89, 356–366. [Google Scholar] [CrossRef]
  17. Sofiyev, A. Large amplitude vibration of FGM orthotropic cylindrical shells interacting with the nonlinear Winkler elastic foundation. Compos. Part B Eng. 2016, 98, 141–150. [Google Scholar] [CrossRef]
  18. Sofiyev, A. Parametric vibration of FGM conical shells under periodic lateral pressure within the shear deformation theory. Compos. Part B Eng. 2016, 89, 282–294. [Google Scholar] [CrossRef]
  19. Shahbaztabar, A.; Izadi, A.; Sadeghian, M.; Kazemi, M. Free vibration analysis of FGM circular cylindrical shells resting on the Pasternak foundation and partially in contact with stationary fluid. Appl. Acoust. 2019, 153, 87–101. [Google Scholar] [CrossRef]
  20. Ghamkhar, M.; Naeem, M.N.; Imran, M.; Kamran, M.; Soutis, C. Vibration frequency analysis of three-layered cylinder shaped shell with effect of FGM central layer thickness. Sci. Rep. 2019, 9, 1566. [Google Scholar] [CrossRef]
  21. Chen, W.; Bian, Z.; Lv, C.; Ding, H. 3D free vibration analysis of a functionally graded piezoelectric hollow cylinder filled with compressible fluid. Int. J. Solids Struct. 2004, 41, 947–964. [Google Scholar] [CrossRef]
  22. Zhu, J.q.; Chen, C.; Shen, Y.; Wang, S. Dynamic stability of functionally graded piezoelectric circular cylindrical shells. Mater. Lett. 2005, 59, 477–485. [Google Scholar] [CrossRef]
  23. Sheng, G.; Wang, X. Response and control of functionally graded laminated piezoelectric shells under thermal shock and moving loadings. Compos. Struct. 2010, 93, 132–141. [Google Scholar] [CrossRef]
  24. Sheng, G.; Wang, X. Nonlinear vibration control of functionally graded laminated cylindrical shells. Compos. Part B Eng. 2013, 52, 1–10. [Google Scholar] [CrossRef]
  25. Rafiee, M.; Mohammadi, M.; Aragh, B.S.; Yaghoobi, H. Nonlinear free and forced thermo-electro-aero-elastic vibration and dynamic response of piezoelectric functionally graded laminated composite shells, Part I: Theory and analytical solutions. Compos. Struct. 2013, 103, 179–187. [Google Scholar] [CrossRef]
  26. Zhang, C.; Zhu, J.; Chen, W.; Zhang, C. Two-dimensional theory of piezoelectric shells considering surface effect. Eur. J. Mech.-A/Solids 2014, 43, 109–117. [Google Scholar] [CrossRef]
  27. Jafari, A.; Khalili, S.; Tavakolian, M. Nonlinear vibration of functionally graded cylindrical shells embedded with a piezoelectric layer. Thin-Walled Struct. 2014, 79, 8–15. [Google Scholar] [CrossRef]
  28. Duc, N.D.; Quan, T.Q.; Luat, V.D. Nonlinear dynamic analysis and vibration of shear deformable piezoelectric FGM double curved shallow shells under damping-thermo-electro-mechanical loads. Compos. Struct. 2015, 125, 29–40. [Google Scholar] [CrossRef]
  29. Razavi, H.; Babadi, A.F.; Beni, Y.T. Free vibration analysis of functionally graded piezoelectric cylindrical nanoshell based on consistent couple stress theory. Compos. Struct. 2017, 160, 1299–1309. [Google Scholar] [CrossRef]
  30. Shojaeefard, M.; Mahinzare, M.; Safarpour, H.; Googarchin, H.S.; Ghadiri, M. Free vibration of an ultra-fast-rotating-induced cylindrical nano-shell resting on a Winkler foundation under thermo-electro-magneto-elastic condition. Appl. Math. Model. 2018, 61, 255–279. [Google Scholar] [CrossRef]
  31. Karami, B.; Shahsavari, D.; Janghorban, M. On the dynamics of porous doubly-curved nanoshells. Int. J. Eng. Sci. 2019, 143, 39–55. [Google Scholar] [CrossRef]
  32. Wang, Y.; Liu, Y.; Zu, J. Nonlinear free vibration of piezoelectric cylindrical nanoshells. Appl. Math. Mech. 2019, 40, 601–620. [Google Scholar] [CrossRef]
  33. Sofiyev, A. Review of research on the vibration and buckling of the FGM conical shells. Compos. Struct. 2019, 211, 301–317. [Google Scholar] [CrossRef]
  34. Sofiyev, A. Influences of shear deformations and material gradient on the linear parametric instability of laminated orthotropic conical shells. Compos. Struct. 2019, 225, 111156. [Google Scholar] [CrossRef]
  35. Shakouri, M. Free vibration analysis of functionally graded rotating conical shells in thermal environment. Compos. Part B Eng. 2019, 163, 574–584. [Google Scholar] [CrossRef]
  36. Dehkordi, S.F.; Beni, Y.T. Electro-mechanical free vibration of single-walled piezoelectric/flexoelectric nano cones using consistent couple stress theory. Int. J. Mech. Sci. 2017, 128, 125–139. [Google Scholar] [CrossRef]
  37. Zeng, S.; Wang, B.; Wang, K. Nonlinear vibration of piezoelectric sandwich nanoplates with functionally graded porous core with consideration of flexoelectric effect. Compos. Struct. 2019, 207, 340–351. [Google Scholar] [CrossRef]
  38. Yan, Z.; Jiang, L. Flexoelectric effect on the electroelastic responses of bending piezoelectric nanobeams. J. Appl. Phys. 2013, 113, 194102. [Google Scholar] [CrossRef]
  39. Zhou, Z.; Yang, C.; Su, Y.; Huang, R.; Lin, X. Electromechanical coupling in piezoelectric nanobeams due to the flexoelectric effect. Smart Mater. Struct. 2017, 26, 095025. [Google Scholar] [CrossRef]
  40. Fallahpour, R.; Melnik, R. Nonlinear vibration analysis of nanowire resonators for ultra-high resolution mass sensing. Measurement 2021, 175, 109136. [Google Scholar] [CrossRef]
  41. Hu, S.; Shen, S. Variational principles and governing equations in nano-dielectrics with the flexoelectric effect. Sci. China Phys. Mech. Astron. 2010, 53, 1497–1504. [Google Scholar] [CrossRef]
  42. Valipour, S.; Fallahpour, R.; Moridani, M.M.; Chakouvari, S. Nonlinear dynamic analysis of a punctual charge in the electric field of a charged ring via modified frequency–amplitude formulation. Propuls. Power Res. 2016, 5, 81–86. [Google Scholar] [CrossRef][Green Version]
  43. Javani, M.; Kiani, Y.; Eslami, M.R. Large amplitude thermally induced vibrations of temperature dependent annular FGM plates. Compos. Part B Eng. 2019, 163, 371–383. [Google Scholar] [CrossRef]
Figure 1. Schematic representation of conical nanoshells.
Figure 1. Schematic representation of conical nanoshells.
Energies 15 02973 g001
Figure 2. The effect of the flexoelectric term and volume fraction function on the frequency of FGM conical nanoshells ( α = 30 , e 0 a = 1 × e 9 , p = 1 , k p = 1 × e 3 , k w = 10 × e 12 , h p / h = 0.1 , R 2 = R , (left) clamped-clamped boundary conditions (right) clamped-simply boundary conditions).
Figure 2. The effect of the flexoelectric term and volume fraction function on the frequency of FGM conical nanoshells ( α = 30 , e 0 a = 1 × e 9 , p = 1 , k p = 1 × e 3 , k w = 10 × e 12 , h p / h = 0.1 , R 2 = R , (left) clamped-clamped boundary conditions (right) clamped-simply boundary conditions).
Energies 15 02973 g002
Figure 3. The effect of the flexoelectric term and nonlocal parameter on the frequency of FGM conical nanoshells ( α = 30 , p = 1 , k p = 1 × e 3 , k w = 10 × e 12 , h p / h = 0.1 , (left) clamped-clamped boundary conditions, (right) clamped-simply boundary conditions).
Figure 3. The effect of the flexoelectric term and nonlocal parameter on the frequency of FGM conical nanoshells ( α = 30 , p = 1 , k p = 1 × e 3 , k w = 10 × e 12 , h p / h = 0.1 , (left) clamped-clamped boundary conditions, (right) clamped-simply boundary conditions).
Energies 15 02973 g003
Figure 4. The effect of piezoelectric layer thickness and the flexoelectric effect on the frequency of FGM conical nanoshells ( α = 30 , p = 1 , k p = 1 × e 3 , k w = 10 × e 12 , (left) clamped-clamped boundary conditions, (right) clamped-simply boundary conditions).
Figure 4. The effect of piezoelectric layer thickness and the flexoelectric effect on the frequency of FGM conical nanoshells ( α = 30 , p = 1 , k p = 1 × e 3 , k w = 10 × e 12 , (left) clamped-clamped boundary conditions, (right) clamped-simply boundary conditions).
Energies 15 02973 g004
Figure 5. The effect of volume fraction coefficient and flexoelectric term on the frequency of FGM conical nanoshells ( α = 30 , k p = 1 × e 3 , k w = 10 × e 12 , h p / h = 0.1 , (left) clamped-clamped boundary conditions, (right) clamped-simply boundary conditions).
Figure 5. The effect of volume fraction coefficient and flexoelectric term on the frequency of FGM conical nanoshells ( α = 30 , k p = 1 × e 3 , k w = 10 × e 12 , h p / h = 0.1 , (left) clamped-clamped boundary conditions, (right) clamped-simply boundary conditions).
Energies 15 02973 g005
Figure 6. The effect of flexoelectric term and Pasternak coefficient on the frequency of FGM conical nanoshells ( α = 30 , p = 1 , k w = 10 × e 12 , h p / h = 0.1 , (left) clamped-clamped boundary conditions, (right) clamped-simply boundary conditions).
Figure 6. The effect of flexoelectric term and Pasternak coefficient on the frequency of FGM conical nanoshells ( α = 30 , p = 1 , k w = 10 × e 12 , h p / h = 0.1 , (left) clamped-clamped boundary conditions, (right) clamped-simply boundary conditions).
Energies 15 02973 g006
Publisher’s Note: MDPI stays neutral with regard to jurisdictional claims in published maps and institutional affiliations.

Share and Cite

MDPI and ACS Style

Khorshidi, S.; Chakouvari, S.; Askari, H.; Cveticanin, L. Free Vibrations of Flexoelectric FGM Conical Nanoshells with Piezoelectric Layers: Modeling and Analysis. Energies 2022, 15, 2973. https://doi.org/10.3390/en15092973

AMA Style

Khorshidi S, Chakouvari S, Askari H, Cveticanin L. Free Vibrations of Flexoelectric FGM Conical Nanoshells with Piezoelectric Layers: Modeling and Analysis. Energies. 2022; 15(9):2973. https://doi.org/10.3390/en15092973

Chicago/Turabian Style

Khorshidi, Siros, Samad Chakouvari, Hassan Askari, and Livija Cveticanin. 2022. "Free Vibrations of Flexoelectric FGM Conical Nanoshells with Piezoelectric Layers: Modeling and Analysis" Energies 15, no. 9: 2973. https://doi.org/10.3390/en15092973

APA Style

Khorshidi, S., Chakouvari, S., Askari, H., & Cveticanin, L. (2022). Free Vibrations of Flexoelectric FGM Conical Nanoshells with Piezoelectric Layers: Modeling and Analysis. Energies, 15(9), 2973. https://doi.org/10.3390/en15092973

Note that from the first issue of 2016, this journal uses article numbers instead of page numbers. See further details here.

Article Metrics

Back to TopTop