Tightness Analysis of Anhydrite Mine-Out Used for Underground Crude Oil Storage Considering Seepage–Stress Coupling: A Case Study
Abstract
:1. Introduction
2. Study Area
2.1. Engineering Overview
2.2. Geology and Hydrogeology
3. Experimental Study
3.1. Sample Type
3.2. Triaxial Compressive Strength of Anhydrite Samples
3.3. Experimental Instrument and Schemes
3.4. Experimental Results
3.4.1. Evolution Characteristics of the Strength, Deformation; and Permeability
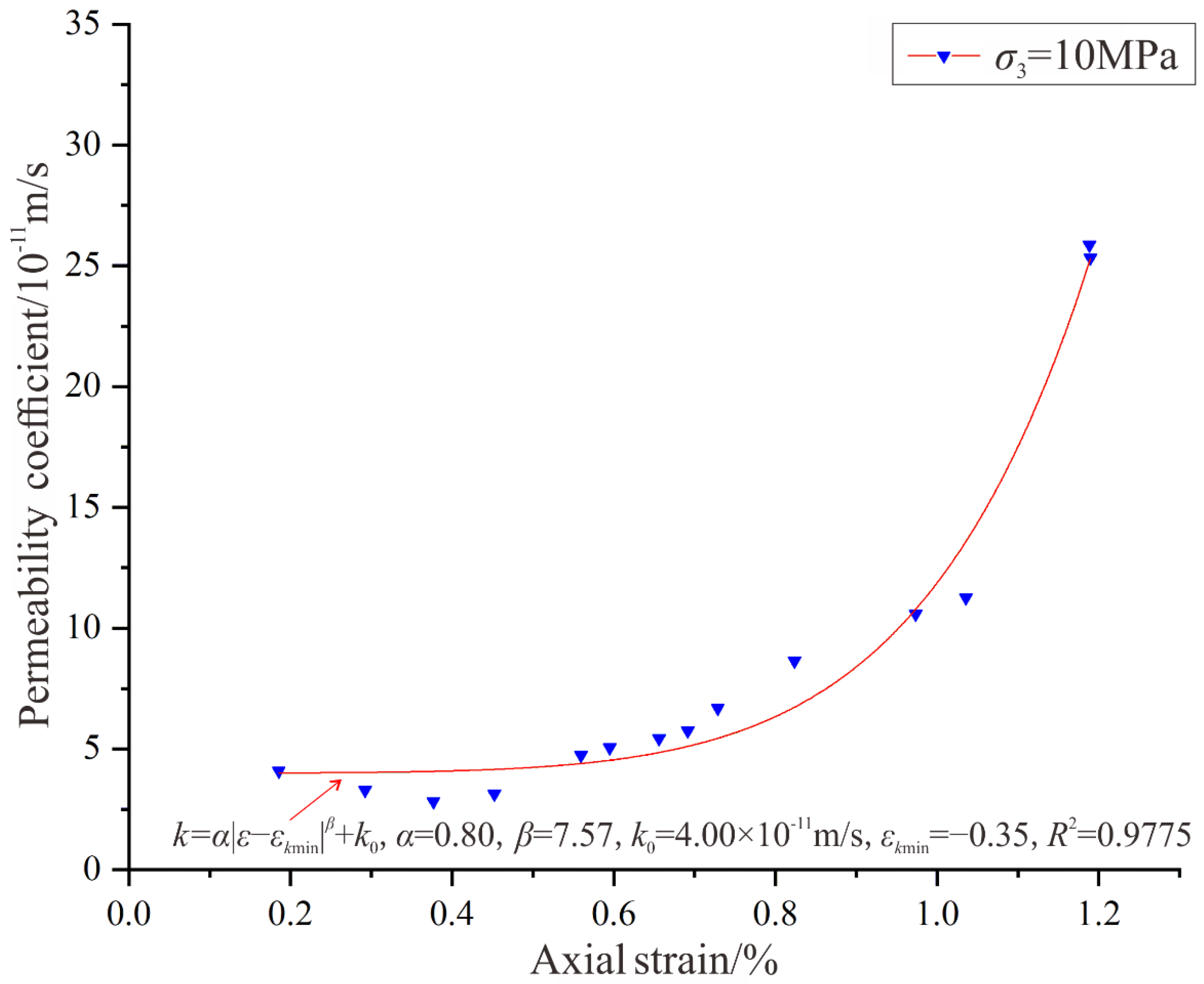
3.4.2. Empirical Formula of the Permeability Coefficient–Strain
4. Numerical Analysis of Tightness
4.1. Numerical Model
4.2. Numerical Simulation Scheme
4.3. Tightness Analysis of the Anhydrite Mine-Out
4.3.1. Permeability Coefficient of the Surrounding Rock after Excavation
4.3.2. Permeability Coefficient of the Surrounding Rock during Oil Storage
5. Discussion
6. Conclusions
- With an increasing axial load, the permeability coefficients of the anhydrite samples generally decreased first and then increased, and the variation amplitude decreased with increasing confining pressure. When the confining pressure was greater than 15MPa, the permeability coefficient of the anhydrite rock was 0.
- After excavation, the maximum permeability coefficient of the anhydrite mine-out appeared at the intersection of the bottom of the mining caverns and the transportation roadways. The permeability coefficients of the upper surface of the anhydrite layer and the corresponding part of the mine-out increased regionally, but its range was small, and the mine-out had good tightness.
- During oil storage, although the maximum permeability coefficient of the anhydrite mine-out increased with increasing storage pressure, the overall value was still small. After the storage pressure reached a certain value, the growth rate of the maximum permeability coefficient gradually slowed, and the mine-out had good tightness.
Author Contributions
Funding
Institutional Review Board Statement
Informed Consent Statement
Data Availability Statement
Acknowledgments
Conflicts of Interest
References
- Bergman, S.M. Underground storage of oil and gas. J. Energy Eng.-ASCE 1984, 110, 181–190. [Google Scholar] [CrossRef]
- Kiyoyama, S. The present state of underground crude oil storage technology in Japan. Tunn. Undergr. Space Technol. 1990, 5, 343–349. [Google Scholar] [CrossRef]
- Zhao, J.; Choa, V.; Broms, B.B. Construction and utilization of rock caverns in Singapore Part B: Development costs and utilization. Tunn. Undergr. Space Technol. 1996, 11, 73–79. [Google Scholar] [CrossRef]
- Wang, H.X.; Zhang, B.; Fu, D.; Ndeunjema, A. Stability and airtightness of a deep anhydrite cavern group used as an underground storage space: A case study. Comput. Geotech. 2018, 96, 12–24. [Google Scholar] [CrossRef]
- Davis, R.M. National strategic petroleum reserve. Science 1981, 213, 618–622. [Google Scholar] [CrossRef]
- Zhang, N.; Shi, X.L.; Zhang, Y.; Shan, P.F. Tightness analysis of underground natural gas and oil storage caverns with limit pillar widths in bedded rock salt. IEEE Access 2020, 8, 12130–12145. [Google Scholar] [CrossRef]
- Zhang, B.; Wang, H.X.; Wang, L.; Mei, G.; Shi, L.; Xu, N.X.; Li, J.Y. Large-scale field test on abandoned deep anhydrite mine-out for reuse as crude oil storage-A case study. Eng. Geol. 2020, 267, 105477. [Google Scholar] [CrossRef]
- Peng, Z.H.; Li, J.Y.; Yang, S.; Wang, J.C. Feasibility analysis of utilization of waste gypsum mine for crude oil storage. J. Eng. Geol. 2013, 21, 470–475. (In Chinese) [Google Scholar]
- Feng, J. Study on Surrounding Rock Stability and Optimized Layout of Underground Energy Storage in Anhydrite. Master’s Thesis, China University of Geosciences (Beijing), Beijing, China, 2015. (In Chinese). [Google Scholar]
- Zhang, B.; Wang, H.X.; Wang, L.; Xu, N.X. Stability analysis of a group of underground anhydrite caverns used for crude oil storage considering rock tensile properties. Bull. Eng. Geol. Environ. 2019, 78, 6249–6265. [Google Scholar] [CrossRef]
- Wang, H.X.; Zhang, B.; Yu, X.; Xu, N.X.; Ye, J.H. Long-term stability and deformation behaviour of anhydrite mine-out for crude oil storage. Rock Mech. Rock Eng. 2020, 53, 1719–1735. [Google Scholar] [CrossRef]
- Fu, D. Research on strength timeliness of anhydrite rocks immersed in distilled water and crude oil. Master’s Thesis, China University of Geosciences (Beijing), Beijing, China, 2017. (In Chinese). [Google Scholar]
- Wang, H.X.; Zhang, B.; Wang, L.; Yu, X.; Shi, L.; Fu, D. Experimental investigation on the long-term interactions of anhydrite rock, crude oil, and water in a mine-out space for crude-oil storage. Eng. Geol. 2020, 265, 105414. [Google Scholar] [CrossRef]
- Hangx, S.J.T.; Spiers, C.J.; Peach, C.J. Mechanical behavior of anhydrite caprock and implications for CO2 sealing capacity. J. Geophys. Res.-Solid Earth 2010, 115, B07402. [Google Scholar] [CrossRef]
- Hangx, S.J.T.; Spiers, C.J.; Peach, C.J. The effect of deformation on permeability development in anhydrite and implications for caprock integrity during geological storage of CO2. Geofluids 2010, 10, 369–387. [Google Scholar] [CrossRef]
- Kelsall, P.C.; Case, J.B.; Chabannes, C.R. Evaluation of excavation-induced changes in rock permeability. Int. J. Rock Mech. Min. Sci. 1984, 21, 123–135. [Google Scholar] [CrossRef]
- Souley, M.; Homand, F.; Pepa, S.; Hoxha, D. Damage-induced permeability changes in granite: A case example at the URL in Canada. Int. J. Rock Mech. Min. Sci. 2001, 38, 297–310. [Google Scholar] [CrossRef]
- Fisher, Q.J.; Haneef, J.; Grattoni, C.A.; Allshorn, S.; Lorinczi, P. Permeability of fault rocks in siliciclastic reservoirs: Recent advances. Mar. Pet. Geol. 2018, 91, 29–42. [Google Scholar] [CrossRef] [Green Version]
- Meng, T.; Liu, R.C.; Meng, X.X.; Zhang, D.H.; Hu, Y.Q. Evolution of the permeability and pore structure of transversely isotropic calcareous sediments subjected to triaxial pressure and high temperature. Eng. Geol. 2019, 253, 27–35. [Google Scholar] [CrossRef]
- Heiland, J. Permeability of triaxially compressed sandstone: Influence of deformation and strain-rate on permeability. Pure Appl. Geophys. 2003, 160, 889–908. [Google Scholar] [CrossRef]
- Wang, H.L.; Xu, W.Y.; Shao, J.F. Experimental researches on hydro-mechanical properties of altered rock under confining pressures. Rock Mech. Rock Eng. 2013, 47, 485–493. [Google Scholar] [CrossRef]
- Chen, Y.F.; Hu, S.H.; Wei, K.; Hu, R.; Zhou, C.B.; Jing, L.R. Experimental characterization and micromechanical modeling of damage-induced permeability variation in Beishan granite. Int. J. Rock Mech. Min. Sci. 2014, 71, 64–76. [Google Scholar] [CrossRef]
- Wang, L.; Liu, J.F.; Pei, J.L.; Xu, H.N.; Bian, Y. Mechanical and permeability characteristics of rock under hydro-mechanical coupling conditions. Environ. Earth Sci. 2015, 73, 5987–5996. [Google Scholar] [CrossRef]
- Chen, X.; Tang, C.A.; Yu, J.; Zhou, J.F.; Cai, Y.Y. Experimental investigation on deformation characteristics and permeability evolution of rock under confining pressure unloading conditions. J. Cent. South Univ. 2018, 25, 1987–2001. [Google Scholar] [CrossRef]
- Xiao, W.J.; Zhang, D.M.; Wang, X.J. Experimental study on progressive failure process and permeability characteristics of red sandstone under seepage pressure. Eng. Geol. 2020, 265, 105406. [Google Scholar] [CrossRef]
- Brace, W.F.; Walsh, J.B.; Frangos, W.T. Permeability of granite under high pressure. J. Geophys. Res.-Atmos. 1968, 73, 2225–2236. [Google Scholar] [CrossRef]
- Chen, Z.Q.; Yang, Z.M.; Wang, M.R. Hydro-mechanical coupled mechanisms of hydraulic fracture propagation in rocks with cemented natural fractures. J. Pet. Sci. Eng. 2018, 163, 421–434. [Google Scholar] [CrossRef]
- Chen, Y.L.; Zhang, Y.N.; Li, X.L. Experimental study on influence of bedding angle on gas permeability in coal. J. Pet. Sci. Eng. 2019, 179, 173–179. [Google Scholar] [CrossRef]
- Mitchell, T.M.; Faulkner, D.R. Experimental measurements of permeability evolution during triaxial compression of initially intact crystalline rocks and implications for fluid flow in fault zones. J. Geophys. Res. 2008, 113, B11412. [Google Scholar] [CrossRef]
- Oda, M.; Takemura, T.; Aoki, T. Damage growth and permeability change in triaxial compression tests of Inada granite. Mech. Mater. 2002, 34, 313–331. [Google Scholar] [CrossRef]
- Patsoules, M.G.; Cripps, J.C. An investigation of the permeability of yorkshire chalk under differing pore water and confining pressure conditions. Energy Sources 2007, 6, 321–334. [Google Scholar] [CrossRef]
- Schulze, O.; Popp, T.; Kern, H. Development of damage and permeability in deforming rock salt. Eng. Geol. 2001, 61, 163–180. [Google Scholar] [CrossRef]
- Wang, S.G.; Elsworth, D.; Liu, J.S. Permeability evolution during progressive deformation of intact coal and implications for instability in underground coal seams. Int. J. Rock Mech. Min. Sci. 2013, 58, 34–45. [Google Scholar] [CrossRef]
- Usmani, A.; Kannan, G.; Nanda, A.; Jain, S.K. Seepage behavior and grouting effects for large rock caverns. Int. J. Geomech. 2015, 15, 06014023. [Google Scholar] [CrossRef]
- Tang, D.; Jiang, Z.M.; Huang, S.C. Optimization of grouting measures at the bottom of a water-sealed oil storage cavern. J. Eng. Geol. 2020, 28, 142–148. [Google Scholar]
- Qiao, L.P.; Wang, Z.C.; Li, S.C.; Bi, L.P.; Xu, Z.H. Assessing containment properties of underground oil storage caverns: Methods and a case study. Geosci. J. 2017, 21, 579–593. [Google Scholar] [CrossRef]
- GB 50455-2020; Code for Design of Underground Oil Storage in Rock Caverns. China Planning Press: Beijing, China, 2020.
- He, G.F. Estimation and analysis of water inflow of a underground water sealed cavern in Zhanjiang. West-China Explor. Eng. 2011, 23, 7. [Google Scholar]
- Zhang, Q.H.; Li, Y.J.; Yuan, D.; Zhao, X.; Zhang, W.H. Water injection test about water curtain borehole for underground water-sealed cavern and analysis of rock equivalent permeability parameter. Rock Soil Mech. 2015, 36, 2648–2658. [Google Scholar]
- GB/T 50266-2013; Standard for Test Methods of Engineering Rock Mass. China Planning Press: Beijing, China, 2013.
- Martin, C.D.; Chandler, N.A. The progressive fracture of Lac du Bonnet granite. Int. J. Rock Mech. Min. Sci. 1994, 31, 643–659. [Google Scholar] [CrossRef]
- Eberhardt, E.D. Brittle Rock Fracture and Progressive Damage in Uniaxial Compression. Ph.D. Thesis, University of Saskatchewan, Saskatoon, Sask, 1998. [Google Scholar]
- Yu, J.; Chen, S.J.; Chen, X.; Zhang, Y.Z.; Cai, Y.Y. Experimental investigation on mechanical properties and permeability evolution of red sandstone after heat treatments. J. Zhejiang Univ.-SCI A 2015, 16, 749–759. [Google Scholar] [CrossRef] [Green Version]
- Chen, S.W.; Yang, C.H.; Wang, G.B. Evolution of thermal damage and permeability of Beishan granite. Appl. Therm. Eng. 2017, 110, 1533–1542. [Google Scholar] [CrossRef]
- Pepe, G.; Mineo, S.; Pappalardo, G.; Cevasco, A. Relation between crack initiation-damage stress thresholds and failure strength of intact rock. Bull. Eng. Geol. Environ. 2018, 77, 709–724. [Google Scholar] [CrossRef]
- Bouchaala, F.; Ali, M.Y.; Bouzidi, Y.; Takougang, T.; Mohamed, A.A. Azimuthal investigation of compressional seismic-wave attenuation in a fractured reservoir. Geophysics 2019, 84, 437–446. [Google Scholar] [CrossRef]
- Bouchaala, F.; Ali, M.Y.; Bouzidi, Y.; Takougang, T.; Mohamed, A.A. Scattering and intrinsic attenuation as a potential tool for studying of a fractured reservoir. J. Pet. Sci. Eng. 2019, 174, 533–543. [Google Scholar] [CrossRef]
- Takougang, T.; Ali, M.Y.; Bouzidi, Y.; Bouchaala, F.; Mohamed, A.A. Extraction and characterization of faults and fractures from 3D VSP data in a carbonate reservoir: A workflow. J. Pet. Sci. Eng. 2019, 182, 106328. [Google Scholar] [CrossRef]










| 10 MPa | 15 MPa | 20 MPa | ||||||
|---|---|---|---|---|---|---|---|---|
| Axial Strain/% | (P1f-P2f)/MPa | Permeability Coefficient/(10−11 m/s) | Axial Strain/% | (P1f-P2f)/MPa | Permeability Coefficient/(10−11 m/s) | Axial Strain/% | (P1f-P2f)/MPa | Permeability Coefficient/(10−11 m/s) |
| 0.185 | 0.922 | 4.082 | 0.071 | 0.723 | 12.073 | 0.158 | 0.976 | 3.469 |
| 0.292 | 0.932 | 3.287 | 0.176 | 0.720 | 11.249 | 0.311 | 0.982 | 1.796 |
| 0.377 | 0.927 | 2.823 | 0.275 | 0.718 | 9.664 | 0.433 | 0.967 | 2.608 |
| 0.452 | 0.923 | 3.136 | 0.374 | 0.718 | 7.797 | 0.533 | 0.973 | 1.928 |
| 0.560 | 0.865 | 4.745 | 0.478 | 0.755 | 5.789 | 0.625 | 0.978 | 1.723 |
| 0.595 | 0.863 | 5.066 | 0.534 | 0.784 | 4.394 | 0.672 | 0.971 | 1.399 |
| 0.656 | 0.838 | 5.425 | 0.596 | 0.875 | 2.576 | 0.719 | 0.979 | 1.796 |
| 0.692 | 0.846 | 5.746 | 0.630 | 0.873 | 3.320 | 0.756 | 0.971 | 2.141 |
| 0.729 | 0.818 | 6.677 | 0.692 | 0.876 | 6.384 | 0.804 | 0.967 | 2.383 |
| 0.824 | 0.789 | 8.652 | 0.842 | 0.850 | 6.772 | 0.854 | 0.968 | 2.218 |
| 0.974 | 0.744 | 10.585 | 0.845 | 0.897 | 6.912 | 0.909 | 0.969 | 1.826 |
| 1.036 | 0.713 | 11.250 | 0.919 | 0.906 | 6.940 | 1.107 | 0.970 | 1.540 |
| 1.189 | 0.640 | 25.869 | 1.040 | 0.932 | 6.350 | 1.558 | 0.962 | 1.876 |
| 1.190 | 0.584 | 25.533 | 3.960 | 0.958 | 28.619 | 1.802 | 0.931 | 0 |
| Stratum | (MPa) | (°) | (MPa) | (kg/m3) | |
|---|---|---|---|---|---|
| Alluvium and diluvium soil | 19 | 0.31 | 30 | 0.01 | 2000 |
| Glutenite | 50,000 | 0.25 | 40 | 26.00 | 2450 |
| Limestone | 60,000 | 0.24 | 42 | 30.00 | 2500 |
| Parameters | (kg/m3) | (GPa) | (MPa) | |||||||
|---|---|---|---|---|---|---|---|---|---|---|
| Value | 2940 | 32.61 | 0.15 | 68.48 | 85 | 0.15 | 18.35 | 10.28 | 0.173 | 0.500 |
| Scheme | 1 | 2 | 3 | 4 |
|---|---|---|---|---|
| Storage pressure (MPa) | 0 | 0.2 | 0.6 | 1.0 |
Publisher’s Note: MDPI stays neutral with regard to jurisdictional claims in published maps and institutional affiliations. |
© 2022 by the authors. Licensee MDPI, Basel, Switzerland. This article is an open access article distributed under the terms and conditions of the Creative Commons Attribution (CC BY) license (https://creativecommons.org/licenses/by/4.0/).
Share and Cite
Liu, S.; Wang, H.; Du, A.; Zhang, B. Tightness Analysis of Anhydrite Mine-Out Used for Underground Crude Oil Storage Considering Seepage–Stress Coupling: A Case Study. Energies 2022, 15, 2929. https://doi.org/10.3390/en15082929
Liu S, Wang H, Du A, Zhang B. Tightness Analysis of Anhydrite Mine-Out Used for Underground Crude Oil Storage Considering Seepage–Stress Coupling: A Case Study. Energies. 2022; 15(8):2929. https://doi.org/10.3390/en15082929
Chicago/Turabian StyleLiu, Shuo, Hanxun Wang, Aoran Du, and Bin Zhang. 2022. "Tightness Analysis of Anhydrite Mine-Out Used for Underground Crude Oil Storage Considering Seepage–Stress Coupling: A Case Study" Energies 15, no. 8: 2929. https://doi.org/10.3390/en15082929
APA StyleLiu, S., Wang, H., Du, A., & Zhang, B. (2022). Tightness Analysis of Anhydrite Mine-Out Used for Underground Crude Oil Storage Considering Seepage–Stress Coupling: A Case Study. Energies, 15(8), 2929. https://doi.org/10.3390/en15082929

