Thermal Parameters Calibration and Energy-Saving Evaluation of Spectral Selective Absorption Film Coated Glazing System Based on Heat Transfer Simulation
Abstract
:1. Introduction
2. Heat Transfer Simulation of SSAF-Coated Glazing Systems
2.1. Description of Physical Model
2.2. Heat Transfer Simulation Modeling
2.3. Validation of Simulation Model
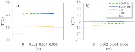
2.4. Heat Transfer Characteristics of SSAF Coated Glazing System in Typical Conditions
3. Applicability Verification of Classical Algorithm for Thermal Parameters of SSAF-Coated Glazing System
3.1. Calculation Method of Theoretical Heat Transfer
3.2. Calculation Method of Calculated Heat Transfer
3.3. Error Analysis of Calculated Heat Transfer
4. Calibration of Thermal Parameters of SSAF Coated Glazing Systems
4.1. Mechanism of Thermal Parameters Calibration
4.2. Solution and Verification of Calibration Coefficients
5. Energy Performance of the SSAF Coated Glazing System
5.1. Building Model and Parameter Setting
5.2. The Energy Performance of SSAF Coated Glazing System
6. Conclusions
Author Contributions
Funding
Data Availability Statement
Conflicts of Interest
References
- Research Report on Building Energy Consumption and Carbon Emission in China. 2021. Available online: https://mp.weixin.qq.com/s/tnzXNdft6Tk2Ca3QYtJT1Q (accessed on 28 December 2021).
- Gustavsen, A.; Grynning, S.; Arasteh, D.; Jelle, B.P.; Goudey, H. Key elements of and material performance targets for highly insulating window frames. Energy Build. 2011, 43, 2583–2594. [Google Scholar] [CrossRef]
- Huang, Y.; Niu, J.; Chung, T. Study on performance of energy-efficient retrofitting measures on commercial building external walls in cooling-dominant cities. Appl. Energy 2013, 103, 97–108. [Google Scholar] [CrossRef]
- Curcija, C.; Goudey, H.; Mitchell, R.; Manes, L.; Selkowitz, S. Liquid-Applied Absorbing Solar Control Window Film Retrofit; Lawrence Berkeley National Laboratory—Windows and Envelope Materials Group: San Francisco, CA, USA, 2014. [Google Scholar]
- Berardi, U. Light transmittance characterization and energy-saving analysis of a new selective coating for in situ window retrofit. Sci. Technol. Built Environ. 2019, 25, 1152–1163. [Google Scholar] [CrossRef]
- Calama-González, C.M.; León-Rodríguez, Á.L.; Suárez, R. Daylighting Performance of Solar Control Films for Hospital Buildings in a Mediterranean Climate. Energies 2019, 12, 489. [Google Scholar] [CrossRef] [Green Version]
- Khaled, K.; Berardi, U. Current and future coating technologies for architectural glazing applications. Energy Build. 2021, 244, 111022. [Google Scholar] [CrossRef]
- Yin, X.; Zhang, Z.; Wu, M.; Zhang, J.; Xu, G. Toward transparent composite films with selective solar spectral, flame retardant and thermal insulation functions. Mater. Chem. Phys. 2018, 216, 365–371. [Google Scholar] [CrossRef]
- Dalapati, G.K.; Kushwaha, A.K.; Sharma, M.; Suresh, V.; Shannigrahi, S.; Zhuk, S.; Masudy-Panah, S. Transparent heat regulating (THR) materials and coatings for energy saving window applications: Impact of materials design, micro-structural, and interface quality on the THR performance. Prog. Mater. Sci. 2018, 95, 42–131. [Google Scholar] [CrossRef]
- Zhu, S.; Chen, X.; Chen, T. Evaluation of thermal and energy performance of spectral selective absorbing film using outdoor measurements in cold climate. Arab. J. Geosci. 2021, 14, 1672. [Google Scholar] [CrossRef]
- Moretti, E.; Belloni, E. Evaluation of energy, thermal, and daylighting performance of solar control films for a case study in moderate climate. Build. Environ. 2015, 94, 183–195. [Google Scholar] [CrossRef]
- Alvarez, G.; Estrada, C.A. Transient heat conduction in a glass with chemically deposited SnS–CuxS solar control coating. Renew. Energy 1995, 6, 1023–1027. [Google Scholar] [CrossRef]
- Xamán, J.; Jiménez-Xamán, C.; Álvarez, G.; Zavala-Guillén, I.; Hernández-Pérez, I.; Aguilar, J.O. Thermal performance of a double pane window with a solar control coating for warm climate of Mexico. Appl. Therm. Eng. 2016, 106, 257–265. [Google Scholar] [CrossRef]
- Xamán, J.; Olazo-Gómez, Y.; Zavala-Guillén, I.; Hernández-Pérez, I.; Aguilar, J.O.; Hinojosa, J.F. Thermal evaluation of a Room coupled with a Double Glazing Window with/without a solar control film for Mexico. Appl. Therm. Eng. 2017, 110, 805–820. [Google Scholar] [CrossRef]
- Gijón-Rivera, M.; Álvarez, G.; Beausoleil-Morrison, I.; Xamán, J. Appraisal of thermal performance of a glazed office with a solar control coating: Cases in Mexico and Canada. Build. Environ. 2011, 46, 1223–1233. [Google Scholar] [CrossRef]
- Teixeira, H.; Gomes, M.G.; Moret Rodrigues, A.; Pereira, J. Thermal and visual comfort, energy use and environmental performance of glazing systems with solar control films. Build. Environ. 2020, 168, 106474. [Google Scholar] [CrossRef]
- Pereira, J.; Glória Gomes, M.; Moret Rodrigues, A.; Almeida, M. Thermal, luminous and energy performance of solar control films in single-glazed windows: Use of energy performance criteria to support decision making. Energy Build. 2019, 198, 431–443. [Google Scholar] [CrossRef]
- Li, C.; Tan, J.; Chow, T.; Qiu, Z. Experimental and theoretical study on the effect of window films on building energy consumption. Energy Build. 2015, 102, 129–138. [Google Scholar] [CrossRef]
- Moretti, E.; Belloni, E.; Lascaro, E. The Influence of Solar Control Films on Energy and Daylighting Performance by Means of Experimental Data and Preliminary Unsteady Simulations. Energy Procedia 2015, 78, 340–345. [Google Scholar] [CrossRef] [Green Version]
- Pereira, J.; Rivero, C.C.; Gomes, M.G.; Rodrigues, A.M.; Marrero, M. Energy, environmental and economic analysis of windows’ retrofit with solar control films: A case study in Mediterranean climate. Energy 2021, 233, 121083. [Google Scholar] [CrossRef]
- Chen, X.; Zhu, S.; Chen, T. Performance of a Solar Spectrum-Selective Absorption Film as a Building Energy-Saving Retrofit in China. ACS Omega 2021, 6, 31457–31468. [Google Scholar] [CrossRef]
- Singh, M.C.; Garg, S.N. Energy rating of different glazings for Indian climates. Energy 2009, 34, 1986–1992. [Google Scholar] [CrossRef]
- Cornaro, C.; Bucci, F.; Pierro, M.; Bonadonna, M.E.; Siniscalco, G. A new method for the thermal characterization of transparent and semi-transparent materials using outdoor measurements and dynamic simulation. Energy Build. 2015, 104, 57–64. [Google Scholar] [CrossRef]
- Merlin, S.; Macmanus, C.; Yann, R. Modelling and numerical simulation of hygrothermal transfer through a building wall for locations subjected to outdoor conditions in Sub-Saharan Africa. J. Build. Eng. 2019, 26, 100901. [Google Scholar]
- Merlin, S.; Romain, R.; Razika, K.; Lyes, B.; Macmanus, N.; Yann, R. Modeling, numerical simulation and validation of the hygrothermal transfer through a wooden building wall in Nancy, France. Therm. Sci. Eng. Prog. 2022, 22, 100808. [Google Scholar]
- Modest, M.F. Radiative Heat Transfer; Elsevier: Amsterdam, The Netherlands, 2013. [Google Scholar]
- Alvarez, G.; Jiménez, D.N.; Estrada, C.A. Thermal performance of solar control coatings: A mathematical model and its experimental verification. J. Phys. D Appl. Phys. 1998, 31, 2249. [Google Scholar] [CrossRef]
- Tan, C.; Li, M.; Qin, X. Random Subspace Regression Ensemble for Near-Infrared Spectroscopic Calibration of Tobacco Samples. Anal. Sci. Int. J. Jpn. Soc. Anal. Chem. 2008, 24, 647. [Google Scholar] [CrossRef] [Green Version]









| Parameters | Lg (mm) | αg | τg | αf |
|---|---|---|---|---|
| Values | 6 | 0.14 | 0.78 | 0.64 |
| The Type of Glazing Systems | U(W/(m2·K) | SHGC | U’ (W/(m2·K) | SHGC’ |
|---|---|---|---|---|
| SG | 5.70 | 0.81 | ||
| DG | 2.80 | 0.75 | ||
| SG+F-in | 4.40 | 0.58 | ||
| SG+F-out | 5.26 | 0.60 | ||
| DG+F-in | 2.44 | 0.72 | ||
| DG+F-out | 2.65 | 0.47 |
Publisher’s Note: MDPI stays neutral with regard to jurisdictional claims in published maps and institutional affiliations. |
© 2022 by the authors. Licensee MDPI, Basel, Switzerland. This article is an open access article distributed under the terms and conditions of the Creative Commons Attribution (CC BY) license (https://creativecommons.org/licenses/by/4.0/).
Share and Cite
Chen, X.; Zhu, S.; Chen, T. Thermal Parameters Calibration and Energy-Saving Evaluation of Spectral Selective Absorption Film Coated Glazing System Based on Heat Transfer Simulation. Energies 2022, 15, 2780. https://doi.org/10.3390/en15082780
Chen X, Zhu S, Chen T. Thermal Parameters Calibration and Energy-Saving Evaluation of Spectral Selective Absorption Film Coated Glazing System Based on Heat Transfer Simulation. Energies. 2022; 15(8):2780. https://doi.org/10.3390/en15082780
Chicago/Turabian StyleChen, Xu, Saihong Zhu, and Tianyi Chen. 2022. "Thermal Parameters Calibration and Energy-Saving Evaluation of Spectral Selective Absorption Film Coated Glazing System Based on Heat Transfer Simulation" Energies 15, no. 8: 2780. https://doi.org/10.3390/en15082780
APA StyleChen, X., Zhu, S., & Chen, T. (2022). Thermal Parameters Calibration and Energy-Saving Evaluation of Spectral Selective Absorption Film Coated Glazing System Based on Heat Transfer Simulation. Energies, 15(8), 2780. https://doi.org/10.3390/en15082780
