Heat Transfer Characteristics of Fractionalized Hydromagnetic Fluid with Chemical Reaction in Permeable Media
Abstract
:1. Introduction
2. Mathematical Model for Free Convection Problem of Brinkman Fluid
3. Integral Transforms Approach for the Solution of Problem
3.1. Solution of Temperature
3.2. Solution of Concentration
3.3. Solution of Velocity
3.4. Particular Solutions of Concentration and Velocity without Chemical Reaction
3.5. Expressions of Nusselt and Sherwood Numbers and Skin Friction
4. Parametric Results
5. Conclusions
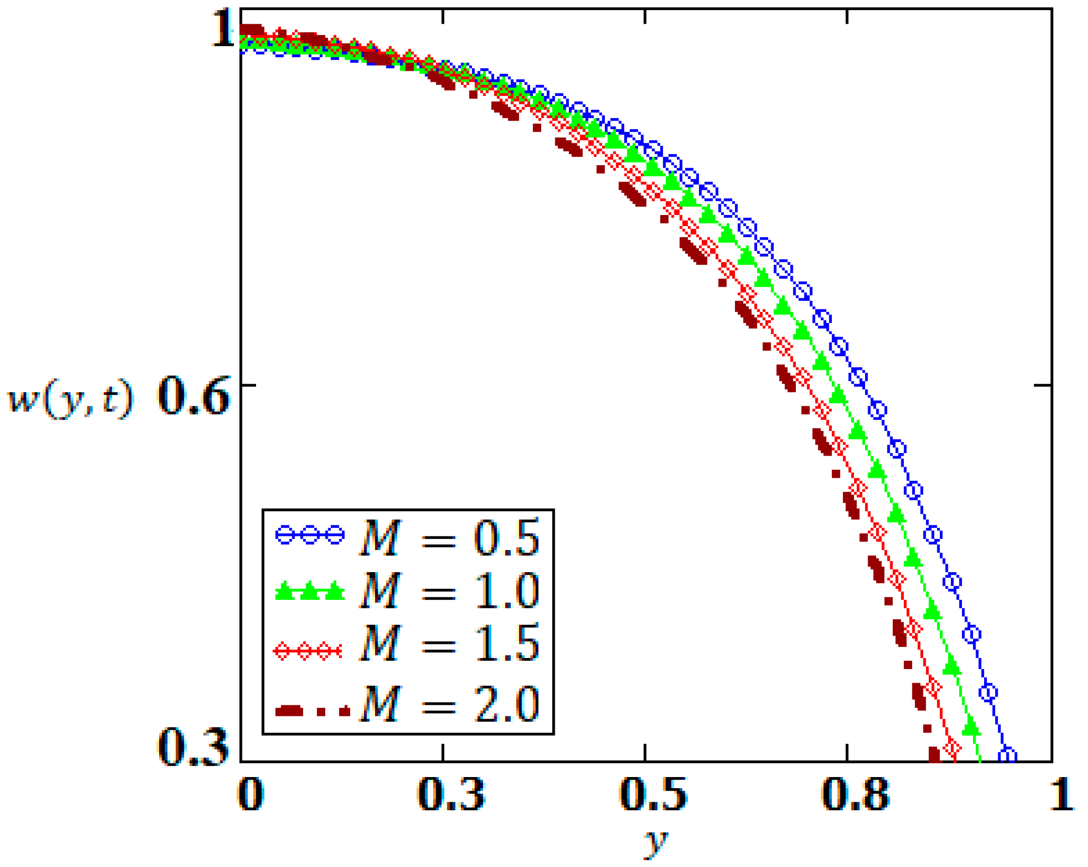
- The temperature distribution for a smaller and larger Prandtl number has disclosed quick and thicker heat diffusivity;
- Mass concentration has a decreasing behavior as the Schmidt number increases; this is because of the relative thickness of the hydrodynamic layer;
- The repelled magnetic effects have been observed in the velocity field due to the intrinsic properties of the magnetic field causing a reduction in the fluid flow;
- Increasing values of porosity that enhances the velocity field;
- The velocity via the CF approach with magnet is faster than velocity via the CF approach without magnet;
- Temperature via the CF approach with chemical reaction has slower distribution. Physically, chemically reacting temperatures comprise with Arrhenius activation energy at different rates.
6. Future Directions
- A comparative study of magnetized Cassion fluid can be investigated through fractal differential operator with fractional differential operator;
- The similar problem can be traced out for optimal heat transfer via Keller-Box method and Lie group theory;
- The magnetized Cassion fluid model can be modified for newly developed boundary conditions namely Mittag–Leffler function.
Author Contributions
Funding
Data Availability Statement
Acknowledgments
Conflicts of Interest
Nomenclature
| Velocity field | |
| Temperature distribution | |
| Mass concentration | |
| Brinkman type fluid parameter | |
| ν | Kinematic viscosity |
| g | Gravitational acceleration |
| μ | Dynamic viscosity |
| Coefficient of thermal expansion | |
| Coefficient of mass expansion | |
| ρ | Density of the fluid |
| Specific heat at constant pressure | |
| D | Mass diffusivity |
| θ | Chemical reaction |
| k | Coefficient of mass diffusion |
| ϕ | Permeability of the porous medium |
| K | Porosity |
| Magnitude applied magnetic field, | |
| σ | Electrical conductivity of the fluid. |
| Non-integer order derivative of Caputo–Fabrizio. | |
| Fractional differential parameter | |
| Mass Grashof number | |
| Thermal Grashof number | |
| Prandtl number | |
| SC | Schmidt number |
| θ | Coefficient of mass diffusion |
| Non-zero parameter | |
| Spatial variable | |
| Time variable | |
| Fourier Sine transformed variable | |
| Letting parameters | |
| Magnetic field | |
| Preamble media |
References
- Hdhiri, N.; Ben-Beya, B.; Lili, T. Effects of internal heat generation or absorption on heat transfer and fluid flow within partially heated square enclosure: Homogeneous fluids and porous media. J. Porous Media 2015, 18, 415–435. [Google Scholar] [CrossRef]
- Hdhiri, N.; Ben-Beya, B. Numerical study of laminar mixed convection flow in a lid-driven square cavity filled with porous media: Darcy -Brinkman-Forchheimer and Darcy-Brinkman models. Int. J. Numer. Methods Heat Fluid Flow 2018, 28, 857–877. [Google Scholar] [CrossRef]
- Hu, X.Q.; Chen, W.F. Thermal characteristics analysis and experiment for angular contact ball bearing. J Xi’an Jiaotong Univ. 2015, 49, 106–110. [Google Scholar]
- Kashif, A.A.; Ilyas, K. Analysis of Heat and Mass Transfer in MHD Flow of Generalized Casson Fluid in a Porous Space Via Non-Integer Order Derivative without Singular Kernel. Chin. J. Phys. 2017, 55, 1583–1595. [Google Scholar]
- Arshad, K.; Kashif, A.A.; Asifa, T.; Ilyas, K. Atangana-Baleanu and Caputo Fabrizio Analysis of Fractional Derivatives for Heat and Mass Transfer of Second Grade Fluids over a Vertical Plate: A Comparative study. Entropy 2017, 19, 279. [Google Scholar]
- Abro, K.A.; Mukarrum, H.; Mirza, M.B. An Analytic Study of Molybdenum Disulfide Nanofluids Using Modern Approach of Atangana-Baleanu Fractional Derivatives. Eur. Phys. J. Plus 2017, 132, 439. [Google Scholar] [CrossRef]
- Jiang, W.; Ding, G.; Pang, H. Measurement and model on thermal conductivities of carbon nanotube nanorefrigerants. Int. J. Therm. Sci. 2009, 48, 1108–1115. [Google Scholar] [CrossRef]
- Chang, T.B.; Mehmood, A.; Beg, O.A.; MNarahari, M.N.; Ameen, F. Numerical study of transient free convective mass transfer in a Walters-B viscoelastic flow with wall suction, Commun. Nonlinear Sci. Numer. Simul. 2011, 16, 216–225. [Google Scholar] [CrossRef]
- Rashid, M.M.; Hayat, T.; Keimanesh, M.; Yousefian, H. A study on heat transfer in a second grade fluid through a porous medium with the modified differential transform method. Heat Transf. Asian Res. 2013, 42, 31–45. [Google Scholar] [CrossRef]
- Qasim, M.; Khan, Z.H.; Khan, W.A.; Shah, I.A. MHD boundary layer slip flow and heat transfer of ferrofluid along a stretching cylinder with prescribed heat flux. PLoS ONE 2014, 9, e83930. [Google Scholar] [CrossRef] [PubMed]
- Gul, A.; Khan, I.; Shafie, S.; Khalid, A.; Khan, A. Heat transfer in MHD mixed convection flow of a ferrofluid along a vertical channel. PLoS ONE 2015, 10, e0141213. [Google Scholar] [CrossRef] [PubMed]
- Ellahi, R.; Hassan, M.; Zeeshan, A. Study of natural convection MHD nanofluid by means of single and multi walled carbon nanotubes suspended in a salt water solutions. IEEE Trans. Nanotechnol. 2015, 14, 726–734. [Google Scholar] [CrossRef]
- Ambreen, S.; Kashif, A.A.; Muhammad, A.S. Thermodynamics of magnetohydrodynamic Brinkman fluid in porous medium: Applications to thermal science. J. Therm. Anal. Calorim. 2018, 45, 50. [Google Scholar] [CrossRef]
- Kashif, A.A.; Ilyas, K.; José, F.G.A. Thermal effects of magnetohydrodynamic micropolar fluid embedded in porous medium with Fourier sine transform technique. J. Braz. Soc. Mech. Sci. Eng. 2019, 41, 174–181. [Google Scholar] [CrossRef]
- Ahmed, N.; Khan, U.; Mohyud-din, S.T. Influence of nonlinear thermal radiation on the viscous flow through a deformable asymmetric porous channel: A numerical study. J. Mol. Liq. 2017, 225, 167–173. [Google Scholar] [CrossRef]
- Abro, K.A.; Souayeh, B.; Malik, K.; Atangana, A. Chaotic characteristics of thermal convection at smaller verse larger Prandtl number through fractal and fractional differential operators from nanofluid. Int. J. Model. Simul. 2022. [Google Scholar] [CrossRef]
- Souayeh, B.; Hdhiri, N.; Alam, M.-W.; Hammami, F.; Alfannakh, H. Convective Heat Transfer and Entropy Generation Around a Sphere Within Cuboidal Enclosure. J. Thermophys. Heat Transf. 2020, 34, 3. [Google Scholar] [CrossRef]
- Abro, K.A.; Atangana, A.; Gómez-Aguilar, J.F. Ferromagnetic chaos in thermal convection of fluid through fractal–fractional differentiations. J. Therm. Anal. Calorim. 2021. [Google Scholar] [CrossRef]
- Souayeh, B.; Hammami, F.; Hdhiri, N.; Alam, M.W.; Yasin, E.; Abuzir, A. Simulation of natural convective heat transfer and entropy generation of nanoparticles around two spheres in horizontal arrangement. Alex. Eng. J. 2021, 60, 2583–2605. [Google Scholar] [CrossRef]
- Basma, S.; Abro, K.A. Thermal characteristics of longitudinal fin with Fourier and non-Fourier heat transfer by Fourier sine transforms. Sci. Rep. 2021, 11, 20993. [Google Scholar] [CrossRef]
- Pantokratoras, A.; Fang, T. Sakiadis flow with nonlinear Rosseland thermal radiation. Phys. Scr. 2013, 87, 015703. [Google Scholar] [CrossRef]
- Abro, K.A.; Atangana, A. Synchronization via fractal-fractional differential operators on two-mass torsional vibration system consisting of motor and roller. J. Comput. Nonlinear Dyn. 2021, 16, 121002. [Google Scholar] [CrossRef]
- Wen, D.; Ding, Y. Effective thermal conductivity of aqueous Suspens. of carbon nanotubes. J. Thermophys. Heat Transf. 2004, 18, 481–485. [Google Scholar] [CrossRef]
- Abro, K.A.; Abdon, A. A computational technique for thermal analysis in coaxial cylinder of one-dimensional flow of fractional Oldroyd-B nanofluid. Int. J. Ambient. Energy 2021. [Google Scholar] [CrossRef]
- Awan, A.U.; Aziz, M.; Ullah, N.; Nadeem, S.; Abro, K.A. Thermal analysis of oblique stagnation point low with slippage on second-order fluid. J. Therm. Anal. Calorim. 2021. [Google Scholar] [CrossRef]
- Caputo, M.; Fabrizio, M.A. New definition of fractional derivative without singular kernel. Prog. Fract. Diff. Appl. 2015, 1, 73–85. [Google Scholar]
- Abro, K.A.; Atangana, A. Strange Attractors and Optimal Analysis of Chaotic Systems based on Fractal-Fractional Differential Operators. Int. J. Model. Simul. 2021. [Google Scholar] [CrossRef]
- Abro, K.A.; Muhammad, N.M.; Gomez-Aguilar, J.F. Functional application of Fourier sine transform in radiating gas flow with non-singular and non-local kernel. J. Braz. Soc. Mech. Sci. Eng. 2019, 41, 400. [Google Scholar] [CrossRef]
- Kashif, A.A. Numerical study and chaotic oscillations for aerodynamic model of wind turbine via fractal and fractional differential operators. Numer. Methods Partial. Differ. Equ. 2020, 1–15. [Google Scholar] [CrossRef]
- Abro, K.A.; Gomez-Aguilar, J.F. A comparison of heat and mass transfer on a Walter’s-B fluid via Caputo-Fabrizio versus Atangana-Baleanu fractional derivatives using the Fox-H function. Eur. Phys. J. Plus 2019, 134, 101. [Google Scholar] [CrossRef]
- Memon, I.Q.; Abro, K.A.; Solangi, M.A.; Shaikh, A.A. Functional shape effects of nanoparticles on nanofluid suspended in ethylene glycol through Mittage-Leffler approach. Phys. Scr. 2020, 96, 025005. [Google Scholar] [CrossRef]
- Abro, K.A.; Anwar, A.M.; Muhammad, A.U. A comparative mathematical analysis of RL and RC electrical circuits via Atangana-Baleanu and Caputo-Fabrizio fractional derivatives. Eur. Phys. J. Plus 2018, 133, 113. [Google Scholar] [CrossRef]
- Akram, S.; Ghafoor, A.; Nadeem, S. Mixed convective heat and Mass transfer on a peristaltic flow of a non-Newtonian fluid in a vertical asymmetric channel. Heat Transf. Asian Res. 2012, 41, 613–633. [Google Scholar] [CrossRef]
- Akram, S.; Nadeem, S. Simulation of heat and mass transfer on peristaltic flow of hyperbolic tangent fluid in an asymmetric channel. Int. J. Numer. Methods Fluids 2012, 70, 1475–1493. [Google Scholar] [CrossRef]
- Akram, S.; Athar, M.; Saeed, K.; Razia, A.; Muhammad, T. Hybridized consequence of thermal and concentration convection on peristaltic transport of magneto Powell–Eyring nanofluids in inclined asymmetric channel. Math. Methods Appl. Sci. 2021. [Google Scholar] [CrossRef]
- Akram, S.; Athar, M.; Saeed, K.; Muhammad, T.; Umair, M.Y. Partial Slip Impact on Double Diffusive Convection Flow of Magneto-Carreau Nanofluid through Inclined Peristaltic Asymmetric Channel. Math. Probl. Eng. 2021, 2021, 2475846. [Google Scholar] [CrossRef]
- Akram, S.; Athar, M.; Saeed, K. Numerical simulation of effects of Soret and Dufour parameters on the peristaltic transport of a magneto six-constant Jeffreys nanofluid in a non-uniform channel: A bio-nanoengineering model. Eur. Phys. J. Spec. Top. 2021. [Google Scholar] [CrossRef]
- Aidaoui, L.; Lasbet, Y.; Selimefendigil, F. Effect of simultaneous application of chaotic laminar flow of nanofluid and non-uniform magnetic field on the entropy generation and energetic/exergetic efficiency. J. Therm. Anal. Calorim. 2021. [Google Scholar] [CrossRef]








Publisher’s Note: MDPI stays neutral with regard to jurisdictional claims in published maps and institutional affiliations. |
© 2022 by the authors. Licensee MDPI, Basel, Switzerland. This article is an open access article distributed under the terms and conditions of the Creative Commons Attribution (CC BY) license (https://creativecommons.org/licenses/by/4.0/).
Share and Cite
Souayeh, B.; Ali Abro, K.; Alnaim, N.; Al Nuwairan, M.; Hdhiri, N.; Yasin, E. Heat Transfer Characteristics of Fractionalized Hydromagnetic Fluid with Chemical Reaction in Permeable Media. Energies 2022, 15, 2196. https://doi.org/10.3390/en15062196
Souayeh B, Ali Abro K, Alnaim N, Al Nuwairan M, Hdhiri N, Yasin E. Heat Transfer Characteristics of Fractionalized Hydromagnetic Fluid with Chemical Reaction in Permeable Media. Energies. 2022; 15(6):2196. https://doi.org/10.3390/en15062196
Chicago/Turabian StyleSouayeh, Basma, Kashif Ali Abro, Nisrin Alnaim, Muneerah Al Nuwairan, Najib Hdhiri, and Essam Yasin. 2022. "Heat Transfer Characteristics of Fractionalized Hydromagnetic Fluid with Chemical Reaction in Permeable Media" Energies 15, no. 6: 2196. https://doi.org/10.3390/en15062196
APA StyleSouayeh, B., Ali Abro, K., Alnaim, N., Al Nuwairan, M., Hdhiri, N., & Yasin, E. (2022). Heat Transfer Characteristics of Fractionalized Hydromagnetic Fluid with Chemical Reaction in Permeable Media. Energies, 15(6), 2196. https://doi.org/10.3390/en15062196

