Smart Grid Energy Optimization and Scheduling Appliances Priority for Residential Buildings through Meta-Heuristic Hybrid Approaches
Abstract
1. Introduction
1.1. Authors’ Contributions
- Applied the existing and proposed hybrid approach to optimize the energy consumption for multiple (10, 30, 50) and single homes on eight appliances each;
- Evaluated the approach over three different time intervals of 60, 30, 5 min OTI;
- Reduced the maximum cost of electricity consumption;
- Reduced the PAR to accommodate the comfort of the users;
- Real-Time Pricing from dynamic pricing rates was used;
- Evaluated proposed approach in terms of PAR, cost, wait time, and load parameters;
- Proposed an efficient home appliance scheduling technique: EHSA.
1.2. Paper Organization
2. Background
3. Related Work
4. Problem Statement
5. System Model
6. Optimization Techniques
6.1. Earth Worm Optimization
| Algorithm 1. EWA for SG Scheduling |
| 1: Step 1: Start initialization. First set t = 1 which is the generation counter |
| 2: Set to generate t = 1 counter |
| 3: Set the population to NP earthworm’s P |
| 4: randomly select individuals in the search space |
| 5: Set the number of earthworms nKEW, the maximum generation MaxGn, α is the similarity factor, the ratio is β, and the constant γ = 0.9. |
| 6: Step 2: Evaluate fitness. Set every aspect of the earthworm to its place |
| 7: Step 3: |
| 8: while Until the best solution is not reached or t < MaxGen |
| do |
| 9: Sort all earthworms according to fitness value |
| 10: for i = 1 to NP (all earthworms) do |
| 11: Generate offspring xi1 by breeding 1 |
| 12: produces offspring by breeding 2 |
| 13: end for |
| 14: do crossover |
| 15: if i > nKEW then |
| 16: Set the number of specific parents (N) and the offspring produced (M) |
| 17: uses roulette to select N parents; |
| 18: generates M off springs; |
| 19: Calculate xi2 based on the generated offspring M |
| 20: else |
| 21: A random single earthworm is xi2 |
| 22: Update the position of the earthworm |
| 23: end if |
| 24: for j = nKEW + 1 to NP (earthworm individuals are not reserved) do |
| 25: Do Cauchy mutation |
| 26: end for |
| 27: Calculate population-based on newly reorganized positions; |
| 28: t = t + 1. |
| 29: end while |
| 30: Step 4: Display the output of the best solution. |
| 31: End |
6.2. Harmony Search Algorithm
| Algorithm 2. HSA for SG Scheduling |
| 1: Step 1: Parameters and problem initialization |
| 2: Harmony memory size (HMS) |
| 3: Harmony Memory Consideration Rate (HMCR) |
| 4: Pitch adjustment rate |
| 5: stop condition |
| 6: Step 2: HM initialization |
| 7: randomly initialize the population |
| 8: Step 3: Create a new harmony |
| 9: memory considerations |
| 10: select any value from HM |
| 11: The value of HMCR specifies the probability of selecting a value from the previous value stored in HM |
| 12: Pitch adjustment |
| 13: Each component of New Harmony selected from HM may be adjusted in pitch |
| 14: is similar to the mutation process in genetic algorithm |
| 15: random selection |
| 16: Take a possible range and choose a random value |
| 17: Increase the diversity of solutions |
| 18: Step 4: Update Harmony memory |
| 19: if The new HM value is better than the previous worst harmony, then replace the previous worst harmony with the new HM then |
| 20: if xnew < xworst then |
| 21: Update HM to xworst = xnew |
| 22: end if |
| 23: end if |
| 24: Step 5: Termination |
| 25: If the given conditions are met, the selection and calculation are terminated. |
| 26: Otherwise, repeat steps 3 to 4 |
| 27: End |
6.3. Hybrid HSA and EWA
7. Simulations and Results
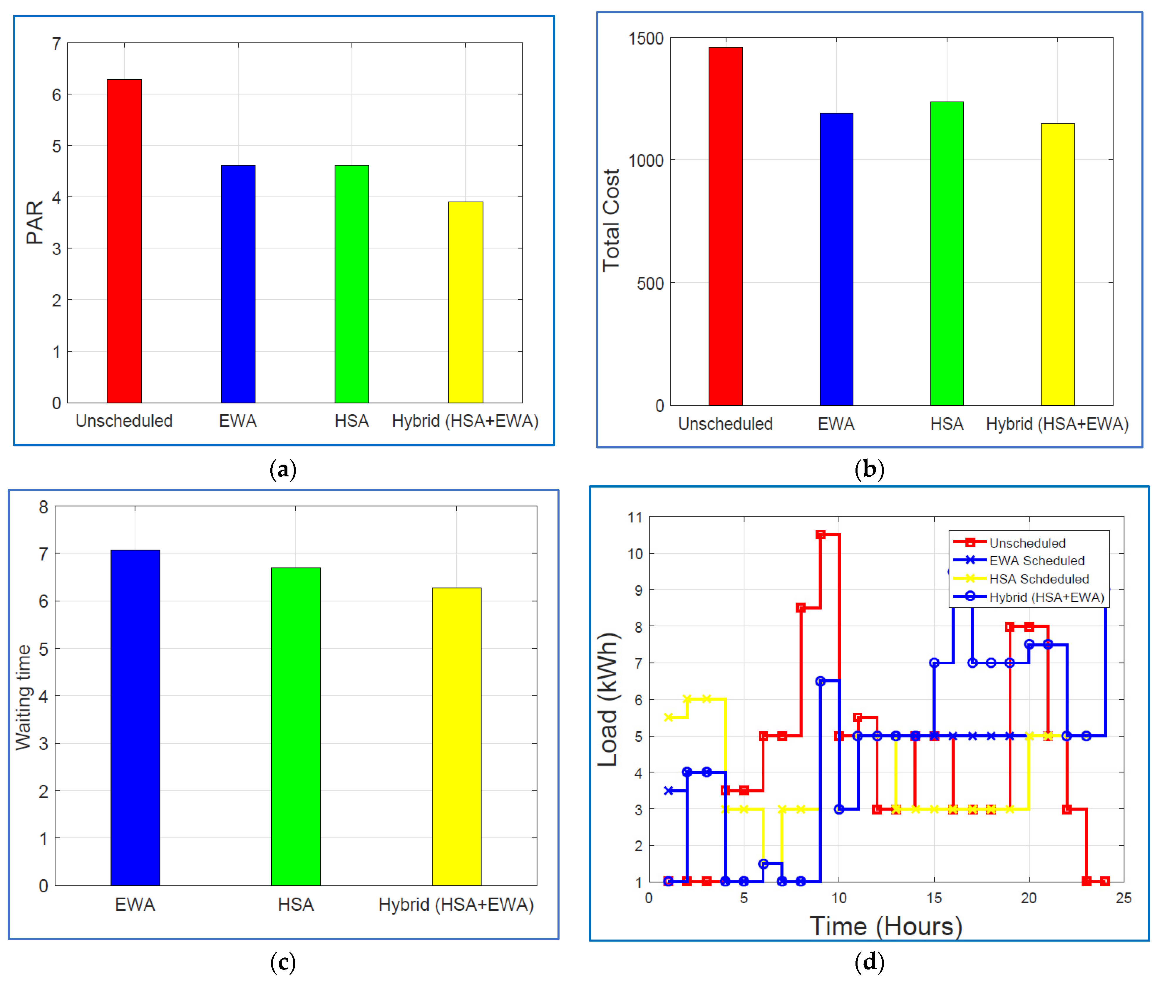
7.1. Simulations for Sixty Minutes OTI
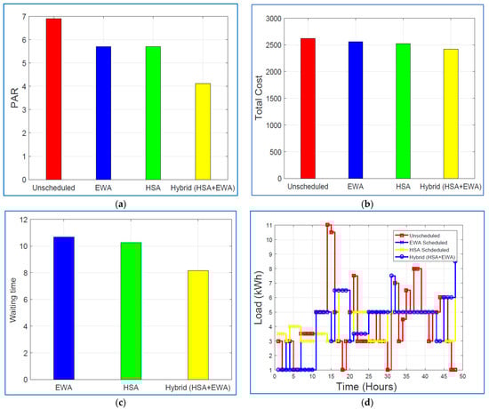
7.2. Simulations for Thirty Minutes OTI
7.3. Simulations for Five Minutes OTI
7.4. Simulations for Multiple Homes
7.5. Feasible Region
8. Discussion and Implications
8.1. PAR
8.2. User Comfort
8.3. Cost
9. Conclusions
Author Contributions
Funding
Institutional Review Board Statement
Informed Consent Statement
Data Availability Statement
Conflicts of Interest
References
- Hashmi, M.; Hanninen, S.; Maki, K. Survey of smart grid concepts, architectures, and technological demonstrations worldwide. In Proceedings of the 2011 IEEE Pes Conference on Innovative Smart Grid Technologies Latin America (ISGT LA), Medellin, Colombia, 19–21 October 2011; IEEE: Piscataway, NJ, USA; pp. 1–7. [Google Scholar] [CrossRef]
- Suraj, S.; Senthil, K. Demand Side Management: Demand Response, Intelligent Energy Systems and Smart Loads. Int. J. Electr. Eng. Technol. 2019, 10, 17–23. [Google Scholar]
- Al Balas, F.A.; Mardini, W.; Khamayseh, Y.; Bani-Salameh, D.A.A.K. Improved Appliance Coordination Scheme with Waiting Time in Smart Grids. Int. J. Adv. Comput. Sci. Appl. 2016, 7, 16–30. [Google Scholar] [CrossRef][Green Version]
- Rahim, S.; Javaid, N.; Ahmad, A.; Khan, S.A.; Khan, Z.; Alrajeh, N.; Qasim, U. Exploiting heuristic algorithms to efficiently utilize energy management controllers with renewable energy sources. Energy Build. 2016, 129, 452–470. [Google Scholar] [CrossRef]
- Rabiee, A.; Sadeghi, M.; Aghaeic, J.; Heidari, A. Optimal operation of microgrids through simultaneous scheduling of electrical vehicles and responsive loads considering wind and PV units uncertainties. Renew. Sustain. Energy Rev. 2016, 57, 721–739. [Google Scholar] [CrossRef]
- Samadi, P.; Wong, V.W.S.; Schober, R. Load Scheduling and Power Trading in Systems with High Penetration of Renewable Energy Resources. IEEE Trans. Smart Grid 2016, 7, 1802–1812. [Google Scholar] [CrossRef]
- Khan, M.A.; Javaid, N.; Mahmood, A.; Khan, Z.A.; Alrajeh, N. A generic demand-side management model for smart grid. Int. J. Energy Res. 2015, 39, 954–964. [Google Scholar] [CrossRef]
- Rasheed, M.B.; Javaid, N.; Awais, M.; Khan, Z.A.; Qasim, U.; Alrajeh, N.; Iqbal, Z.; Javaid, Q. Real Time Information Based Energy Management Using Customer Preferences and Dynamic Pricing in Smart Homes. Energies 2016, 9, 542. [Google Scholar] [CrossRef]
- Zhang, J.; Wu, Y.; Guo, Y.; Wang, B.; Wang, H.; Liu, H. A hybrid harmony search algorithm with differential evolution for day-ahead scheduling problem of a microgrid with consideration of power flow constraints. Appl. Energy 2016, 183, 791–804. [Google Scholar] [CrossRef]
- Derakhshan, G.; Shayanfar, H.A.; Kazemi, A. The optimization of demand response programs in smart grids. Energy Policy 2016, 94, 295–306. [Google Scholar] [CrossRef]
- Ranjini, A.; Zoraida, B. Intelligent Residential Energy Management in Smart Grid. Indian J. Sci. Technol. 2016, 9, 1–8. [Google Scholar] [CrossRef][Green Version]
- Mary, G.A.; Rajarajeswari, R. Smart grid cost optimization using genetic algorithm. Int. J. Res. Eng. Technol. 2014, 3, 282–287. [Google Scholar]
- Hassan, C.H.A.U.; Khan, M.S.; Ghafar, A.; Aimal, S.; Asif, S.; Javaid, N. Energy Optimization in Smart Grid Using Grey Wolf Optimization Algorithm and Bacterial Foraging Algorithm. In Lecture Notes on Data Engineering and Communications Technologies, Proceedings of the International Conference on Intelligent Networking and Collaborative Systems, Toronto, ON, Canada, 24–26 August 2017; Springer: Cham, Germany, 2017; pp. 166–177. [Google Scholar] [CrossRef]
- Rasheed, M.B.; Javaid, N.; Ahmad, A.; Khan, Z.A.; Qasim, U.; Alrajeh, N. An Efficient Power Scheduling Scheme for Residential Load Management in Smart Homes. Appl. Sci. 2015, 5, 1134–1163. [Google Scholar] [CrossRef]
- Jovanovic, R.; Bousselham, A.; Bayram, I.S. Residential Demand Response Scheduling with Consideration of Consumer Preferences. Appl. Sci. 2016, 6, 16. [Google Scholar] [CrossRef]
- Wang, G.G.; Deb, S.; Coelho, L.D.S. Earthworm optimisation algorithm: A bio-inspired metaheuristic algorithm for global optimisation problems. Int. J. Bio-Inspired Comput. 2018, 12, 1–22. [Google Scholar] [CrossRef]
- Ali, M.; Abid, S.; Ghafar, A.; Ayub, N.; Arshad, H.; Khan, S.; Javaid, N. Earth Worm Optimization for Home Energy Management System in Smart Grid. In Lecture Notes on Data Engineering and Communications Technologies, Proceedings of the International Conference on Broadband and Wireless Computing, Communication and Applications Barcelona, Barcelona, Spain, 8–10 November 2017; Springer: Cham, Germany, 2018; pp. 583–596. [Google Scholar]
- Lin, Y.-H.; Tsai, M.-S. An Advanced Home Energy Management System Facilitated by Nonintrusive Load Monitoring with Automated Multiobjective Power Scheduling. IEEE Trans. Smart Grid 2015, 6, 1839–1851. [Google Scholar] [CrossRef]
- Dong, M.; Meira, P.C.M.; Xu, W.; Freitas, W. An Event Window Based Load Monitoring Technique for Smart Meters. IEEE Trans. Smart Grid 2012, 3, 787–796. [Google Scholar] [CrossRef]
- Salinas, S.; Li, M.; Li, P. Multi-Objective Optimal Energy Consumption Scheduling in Smart Grids. IEEE Trans. Smart Grid 2012, 4, 341–348. [Google Scholar] [CrossRef]
- Ghiasi, M.; Niknam, T.; Dehghani, M.; Siano, P.; Alhelou, H.H.; Al-Hinai, A. Optimal Multi-Operation Energy Management in Smart Microgrids in the Presence of RESs Based on Multi-Objective Improved DE Algorithm: Cost-Emission Based Optimization. Appl. Sci. 2021, 11, 3661. [Google Scholar] [CrossRef]
- Ghiasi, M. Detailed study, multi-objective optimization, and design of an AC-DC smart microgrid with hybrid renewable energy resources. Energy 2019, 169, 496–507. [Google Scholar] [CrossRef]








| Notations | Description |
|---|---|
| HEM | Home energy management |
| EWA | Earth Worm Algorithm |
| HSA | Harmony Search Algorithms |
| EHSA | Earth worm Harmony Search Algorithms |
| PAR | Peak-to-Average Ratio |
| SG | Smart Grid |
| DSM | Demand-Side Management |
| DR | Demand Response |
| LR | Load Response |
| RTP | Real Time Pricing |
| EMS | Energy Management System |
| SM | Smart Meters |
| RES | Renewable Energy Sources |
| SA | Smart Appliances |
| EMC | Energy Management Controller |
| GA | Genetic Algorithm |
| BPSA | Binary Particle Swarm Optimization |
| ACO | Ant Colony Optimization |
| IBR | Inclined Block Rate |
| ToU | Time of Use |
| CHEMS | Comprehensive Home Energy Management System |
| UCI | User Comfort Index |
| SFL | Shuffled Frog Leaping |
| TLBO | Teaching and Learning based Optimization |
| LOT | Length of Operation Time |
| OTI | Operational Time Interval |
| UC | User Comfort |
| BFOA | Bacterial Foraging Optimization Algorithm |
| WDO | Wind Driven Optimization |
| HMS | Harmony Memory Size |
| HMCR | Harmony Memory Consideration Rate |
| PSO | Particle Swarm Optimization |
| GWD | Genetic Wind Driven |
| References | Price Schemes | Techniques | Target Area | Objectives |
|---|---|---|---|---|
| [3] Load scheduling and renewable energy resources | IBR, TOU | GA, ACO, BPSO | Evolutionary algorithms | Residential energy cost and PAR reduction |
| [4] Smart grid model using DSM | Managed by load response | BPSO heuristic algorithm | Microgrid operations | Operational costs |
| [5] Comprehensive home energy management system (CHEMA) | ToU | CHEMA 6-layered process | Home energy management system (HEMS) | Appliance interface, cost minimization, electricity theft, and fault |
| [6] Energy management system is presented with real-time reporting of the load | Real-time pricing (RTP) | GA heuristic algorithm | Residential area | PAR reduction |
| [7] Demand response optimization in smart grids | RTP, CPP, ToU, and no tariff (changeable according to demand response) | Shuffled Frog Leaping (SFL) and Teaching and Learning based Optimization (TLBO) | Residential area | Optimized energy consumption |
| [8] A hybrid HSA with differential evolution | Day-ahead pricing scheme | HSA + HDE | HEMS | Minimize total startup and generation cost |
| [9] Intelligent residential energy management in smart grid | IBR pricing scheme | DNMPSO + MNMGA evolutionary algorithms | Smart homes | Optimized pattern for shiftable appliances |
| [10] Smart grid cost optimization | RTP | GA heuristic algorithm | Residential area | Cost minimization in SG |
| [11] Wind-driven heuristic optimization and RTP environment | RTP environment | BPSO, GA, WDO | Residential area | Load management, maximum UC |
| [12] Residential load management | BFA and GA dynamic RTP for smart homes | NILM | Residential appliances scheduling | Manage DR, cost, load |
| [13] Residential demand response | Hourly pricing scheme | Mixed Integer Programming (MIP) | Residential area | Load management, DR |
| [16] EWA global optimization problem | Real pricing scheme | EWA | Industrial/residential area | Energy optimization |
| [17] EWA for HEMS | CPP | EWA optimization technique and BFA | Home energy management | Cost, PAR, load management |
| [18] Advance HEMS using (NILM) technique | Day-ahead RTP and IBR signals | NILM with Non-dominated sorting genetic algorithm-II (NSGA-II)-based | Residential area | Control power consumption by monitoring household appliances |
| [19] Smart meter monitoring | TOU | NILM | Residential area | Users’ load tracking/load management |
| [20] Constraint multi-objective load scheduling | Two price function, Unity function model | Constrained multi-objective optimization problem (CMOP) | Smart grids | Price management |
| Appliance | Power (kWh) | LOT (Hours) | Category |
|---|---|---|---|
| Dishwasher | 3.5 | 2 | Interruptible/Shiftable |
| Television | 1 | 2 | Interruptible/Shiftable |
| Computer | 2 | 12 | Interruptible/Shiftable |
| Washing machine | 2 | 2 | Noninterruptible |
| Laundry dryer | 2.5 | 1 | Noninterruptible |
| Electric vehicle | 3 | 2 | Noninterruptible |
| Lighting | 1 | 16 | Based |
| Refrigerator | 2 | 24 | Based |
Publisher’s Note: MDPI stays neutral with regard to jurisdictional claims in published maps and institutional affiliations. |
© 2022 by the authors. Licensee MDPI, Basel, Switzerland. This article is an open access article distributed under the terms and conditions of the Creative Commons Attribution (CC BY) license (https://creativecommons.org/licenses/by/4.0/).
Share and Cite
Hassan, C.A.u.; Iqbal, J.; Ayub, N.; Hussain, S.; Alroobaea, R.; Ullah, S.S. Smart Grid Energy Optimization and Scheduling Appliances Priority for Residential Buildings through Meta-Heuristic Hybrid Approaches. Energies 2022, 15, 1752. https://doi.org/10.3390/en15051752
Hassan CAu, Iqbal J, Ayub N, Hussain S, Alroobaea R, Ullah SS. Smart Grid Energy Optimization and Scheduling Appliances Priority for Residential Buildings through Meta-Heuristic Hybrid Approaches. Energies. 2022; 15(5):1752. https://doi.org/10.3390/en15051752
Chicago/Turabian StyleHassan, Ch Anwar ul, Jawaid Iqbal, Nasir Ayub, Saddam Hussain, Roobaea Alroobaea, and Syed Sajid Ullah. 2022. "Smart Grid Energy Optimization and Scheduling Appliances Priority for Residential Buildings through Meta-Heuristic Hybrid Approaches" Energies 15, no. 5: 1752. https://doi.org/10.3390/en15051752
APA StyleHassan, C. A. u., Iqbal, J., Ayub, N., Hussain, S., Alroobaea, R., & Ullah, S. S. (2022). Smart Grid Energy Optimization and Scheduling Appliances Priority for Residential Buildings through Meta-Heuristic Hybrid Approaches. Energies, 15(5), 1752. https://doi.org/10.3390/en15051752

