Displacement Estimation of Six-Pole Hybrid Magnetic Bearing Using Modified Particle Swarm Optimization Support Vector Machine
Abstract
:1. Introduction
2. Displacement Prediction Model
2.1. Least-Squares Support Vector Machine
2.2. Modified Particle Swarm Optimization
; , the optimal position experienced, is expressed as
, where 1 ≤ d ≤ D, and t is iterations. The parameters of the i-th particle at iterations are expressed as:
represents the velocity of the i particle;
represents the position of the i particle;
is the individual optimal position;
is the global optimal position. Then, the speed and position update formula of the PSO algorithm at t + 1 can be expressed as:2.3. Self-Sensing Modeling Based on MPSO LS-SVM
- (1)
- Determine the input and output variables of the rotor displacement prediction model for the six-pole radial HMB.
- (2)
- Acquire and preprocess sample data for input and output variables.
- (3)
- Use the MPSO LS-SVM to optimize the performance parameters σ2 and γ. The implementation methods are as follows:
- (a)
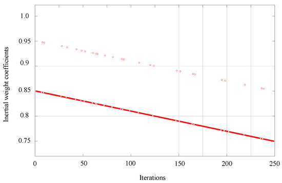
- Initialize the parameters. The parameters in the MPSO need to be initialized: population size NP = 20, maximum iteration of the algorithm Tmax = 80, learning factors c1 = c2 = 2, the initial maximum inertial weight = 0.75, and the declining slope of the inertial weight coefficient = 0.001. The initial values of the parameters (σ2, γ) are obtained by initializing the particle swarm at random. The initial displacement prediction model of the magnetic bearings is established by taking the current parameter values as the performance values of LS-SVM when the iteration is 0.
- (b)
- Determine whether the particles meet the requirements. The fitness function of the MPSO algorithm adopts the mean square error of the model prediction value and the actual value, and the expression is as follows:where Np is the total number of training samples, and yi and are the actual value and model predictive value of the rotor displacement.
- (c)
- Update the position and velocity of particles. According to Equation (8), the fitness of each particle is calculated, and the position and velocity of the particle are updated according to Equation (7) to obtain the next-generation particle.
- (d)
- Determine whether or not to terminate the iteration. If the calculated optimal value is less than the preset convergence precision or the current iteration times have reached the preset maximum times, the iteration is stopped, and the result is the output; otherwise, go to step (b) and let t = t + 1.
- (4)
- Obtain the displacement prediction model by training the LS-SVM according to the optimal performance parameters σ2 and γ obtained in step 3.
3. Simulation Test
3.1. Determine the Input and Output Variables of the Prediction Model
3.2. Data Acquisition and Preprocessing
3.3. Model Evaluation
3.4. Model Prediction Effect
4. Experiment Research
5. Conclusions
Author Contributions
Funding
Institutional Review Board Statement
Informed Consent Statement
Data Availability Statement
Conflicts of Interest
Nomenclature
| SHMB | Six-pole hybrid magnetic bearing |
| LS-SVM | Least-squares support vector machine |
| MPSO | Modified particle swarm optimization |
| PSO | Particle swarm optimization |
| ia, ib, ic | The input variable of the prediction model |
| xb, yb | The output variable of the prediction model |
| x, y | The rotor position coordinates |
| w | The weight of the LS-SVM |
| b | The bias of the LS-SVM |
| γ | The regularization parameter of the LS-SVM |
| ek | The fitting error of the loss function of the LS-SVM |
| αk | Lagrangian multiplier of the Lagrange function |
| σ | The kernel width of the radial basis kernel function |
| The velocity of the i-th particle of PSO | |
| The position of the i-th particle of PSO | |
| The individual optimal position of PSO | |
| The global optimal position of PSO | |
| c1, c2 | The acceleration constants of PSO |
| rand | The random real number of the interval (0, 1) |
| t | Iterations |
| The inertial weight | |
| The initial maximum inertial weight | |
| The declining slope of the inertial weight | |
| Tmax | The maximum iteration of the algorithm |
| At | The inertial weight perturbation constants |
| r | The fixed range coefficient |
References
- Huang, T.; Zheng, M.; Zhang, G. A Review of Active Magnetic Bearing Control Technology. In Proceedings of the Chinese Control and Decision Conference, CCDC, Nanchang, China, 3–5 June 2019; pp. 2888–2893. [Google Scholar] [CrossRef]
- Gu, H.; Zhu, H.; Hua, Y. Soft Sensing Modeling of Magnetic Suspension Rotor Displacements Based on Continuous Hidden Markov Model. IEEE Trans. Appl. Supercond. 2017, 28, 1–5. [Google Scholar] [CrossRef]
- Le, Y.; Wang, K. Design and Optimization Method of Magnetic Bearing for High-Speed Motor Considering Eddy Current Effects. IEEE/ASME Trans. Mechatron. 2016, 21, 2061–2072. [Google Scholar] [CrossRef]
- Usman, I.; Paone, M.; Smeds, K.; Lu, X. Radially Biased Axial Magnetic Bearings/Motors for Precision Rotary-Axial Spindles. IEEE/ASME Trans. Mechatron. 2011, 16, 411–420. [Google Scholar] [CrossRef]
- Abooee, A.; Arefi, M. Robust finite-time stabilizers for five-degree-of-freedom active magnetic bearing system. J. Frankl. Inst.-Eng. Appl. Math. 2019, 356, 80–102. [Google Scholar] [CrossRef]
- Zhang, W.; Zhu, H.; Yang, Z.; Sun, X.; Yuan, Y. Nonlinear model analysis and “switching model” of AC–DC three degree of freedom hybrid magnetic bearing. IEEE/ASME Trans. Mechatron. 2016, 21, 1102–1115. [Google Scholar] [CrossRef]
- Zhang, W.; Yang, H.; Cheng, L.; Zhu, H. Modeling Based on Exact Segmentation of Magnetic Field for a Centripetal Force Type-Magnetic Bearing. IEEE Trans. Ind. Electron. 2019, 67, 7691–7701. [Google Scholar] [CrossRef]
- Wang, S.; Zhu, H.; Wu, M.; Zhang, W. Active Disturbance Rejection Decoupling Control for Three-Degree-of-Freedom Six-Pole Active Magnetic Bearing Based on BP Neural Network. IEEE Trans. Appl. Supercond. 2020, 30, 1–5. [Google Scholar] [CrossRef]
- Liu, G.; Zhu, H.; Zhang, W. Principle and performance analysis for six-pole hybrid magnetic bearing with a secondary air gap. Electron. Lett. 2021, 57, 548–549. [Google Scholar] [CrossRef]
- Ernst, D.; Faghih, M.; Liebfried, R.; Melzer, M.; Karnaushenko, D.; Hofmann, W.; Schmidt, O.G.; Zerna, T. Packaging of Ultrathin Flexible Magnetic Field Sensors With Polyimide Interposer and Integration in an Active Magnetic Bearing. IEEE Trans. Components, Packag. Manuf. Technol. 2020, 10, 39–43. [Google Scholar] [CrossRef]
- Zhu, Z.; Dai, M.; Zeng, L.; Sun, J.; Zhang, Y. Research on testing principle of self-sensing magnetic bearing system. 2018 4th International Conference on Control, Automation and Robotics (ICCAR), Auckland, New Zealand, 20–23 April 2018; 2018; pp. 301–304. [Google Scholar] [CrossRef]
- Tera, T.; Yamauchi, Y.; Chiba, A.; Fukao, T.; Rahman, M. Performances of bearingless and sensorless induction motor drive based on mutual inductances and rotor displacements estimation. IEEE Trans. Ind. Electron. 2006, 53, 187–194. [Google Scholar] [CrossRef]
- Haarnoja, T.; Tammi, K.; Manninen, A.; Halmeaho, T. Position estimation method for self-sensing electric machines based on the direct measurement of the current slope. IET 2014. [Google Scholar] [CrossRef]
- Yim, J.-S.; Sul, S.-K.; Ahn, H.-J.; Han, D.-C. Sensorless position control of active magnetic bearings based on high frequency signal injection with digital signal processing. IEEE 2004, 2, 1351–1354. [Google Scholar] [CrossRef]
- Hofer, M.; Schmidt, E.; Schrodl, M. Design of a Three Phase Permanent Magnet Biased Radial Active Magnetic Bearing Regarding a Position Sensorless Control. In 2009 Twenty-Fourth Annual IEEE Applied Power Electronics Conference and Exposition; IEEE: Piscataway, NJ, USA, 2009; pp. 1716–1721. [Google Scholar] [CrossRef]
- García, P.; Guerrero, J.M.; Briz, F.; Reigosa, D.D. Sensorless Control of Three-Pole Active Magnetic Bearings Using Saliency-Tracking-Based Methods. IEEE Trans. Ind. Appl. 2010, 46, 1476–1484. [Google Scholar] [CrossRef]
- Sun, Z.; Zhao, J.; Shi, Z.; Yu, S. Soft sensing of magnetic bearing system based on support vector regression and extended Kalman filter. Mechatronics 2014, 24, 186–197. [Google Scholar] [CrossRef]
- Xu, B.; Zhang, L.; Ji, W. Improved Non-Singular Fast Terminal Sliding Mode Control With Disturbance Observer for PMSM Drives. IEEE Trans. Transp. Electrif. 2021, 7, 2753–2762. [Google Scholar] [CrossRef]
- Chen, S.; Hung, Y.; Hung, Y. Application of a recurrent wavelet fuzzy-neural network in the positioning control of a magnetic-bearing mechanism. Comput. Electric. Engineering 2015, 54, 147–158. [Google Scholar] [CrossRef]
- Suykens, J.; Vandewalle, J. Recurrent least squares support vector machines. IEEE Trans. Circuits Syst. I Regul. Pap. 2000, 47, 1109–1114. [Google Scholar] [CrossRef]
- Sun, Y.; Zhu, Z. Inverse-model identification and decoupling control based on least squares support vector machine for 3-degree-of-freedom hybrid magnetic bearing. Proc. CSEE 2010, 30, 112–117. [Google Scholar]
- Jin, J.; Zhu, H.Q. Technique for Magnetic Bearing Based on Mixed-Kernel Support Vector Machine Forecasting Model. Appl. Mech. Mater. 2014, 529, 349–353. [Google Scholar] [CrossRef]











| Parameters | Value |
|---|---|
| Air gap length δ0 | 0.5 mm |
| Saturation induction density Bs | 0.8 T |
| Radial magnetic pole area Sr | 288.0 mm2 |
| Maximum ampere-turns of a radial coil (Nrir)max | 160.0 At |
| Magnetomotive force of permanent magnet Θm | 320.0 At |
| Width of magnetic poles WHrP | 16.0 mm |
| Axial width of permanent magnet Wm | 3.0 mm |
| Outer diameter of rotor d1 | 144.0 mm |
| Inner diameter of rotor d2 | 118.0 mm |
| Axial length of rotor l1 | 23.0 mm |
| Outer diameter of stator yoke d3 | 82.0 mm |
| Inner diameter of stator yoke d4 | 58.0 mm |
| Thickness of stator l2 | 10.0 mm |
| Magnetic pole inner radius r1 | 58.5 mm |
| Outer diameter of PM d5 | 72.0 mm |
| Inner diameter of PM d6 | 58.0 mm |
Publisher’s Note: MDPI stays neutral with regard to jurisdictional claims in published maps and institutional affiliations. |
© 2022 by the authors. Licensee MDPI, Basel, Switzerland. This article is an open access article distributed under the terms and conditions of the Creative Commons Attribution (CC BY) license (https://creativecommons.org/licenses/by/4.0/).
Share and Cite
Liu, G.; Zhu, H. Displacement Estimation of Six-Pole Hybrid Magnetic Bearing Using Modified Particle Swarm Optimization Support Vector Machine. Energies 2022, 15, 1610. https://doi.org/10.3390/en15051610
Liu G, Zhu H. Displacement Estimation of Six-Pole Hybrid Magnetic Bearing Using Modified Particle Swarm Optimization Support Vector Machine. Energies. 2022; 15(5):1610. https://doi.org/10.3390/en15051610
Chicago/Turabian StyleLiu, Gai, and Huangqiu Zhu. 2022. "Displacement Estimation of Six-Pole Hybrid Magnetic Bearing Using Modified Particle Swarm Optimization Support Vector Machine" Energies 15, no. 5: 1610. https://doi.org/10.3390/en15051610
APA StyleLiu, G., & Zhu, H. (2022). Displacement Estimation of Six-Pole Hybrid Magnetic Bearing Using Modified Particle Swarm Optimization Support Vector Machine. Energies, 15(5), 1610. https://doi.org/10.3390/en15051610

