Migration Behaviors of As, Se and Pb in Ultra-Low-Emission Coal-Fired Units and Effect of Co-Firing Sewage Sludge in CFB Boilers
Abstract
:1. Introduction
2. Materials and Methods
2.1. Sample Collection
2.2. Determination of As, Se and Pb Concentrations in Solid Samples
2.3. Determination of As, Se and Pb Speciation in Solid Samples
2.4. Environmental Risk Assessment Methods of As, Se and Pb in Combustion By-Products
3. Results and Discussion
3.1. Migration of As, Se and Pb in Coal-Fired Power Units
3.1.1. Migration of As, Se and Pb in Furnace
3.1.2. Migration of As, Se and Pb in WFGD Units
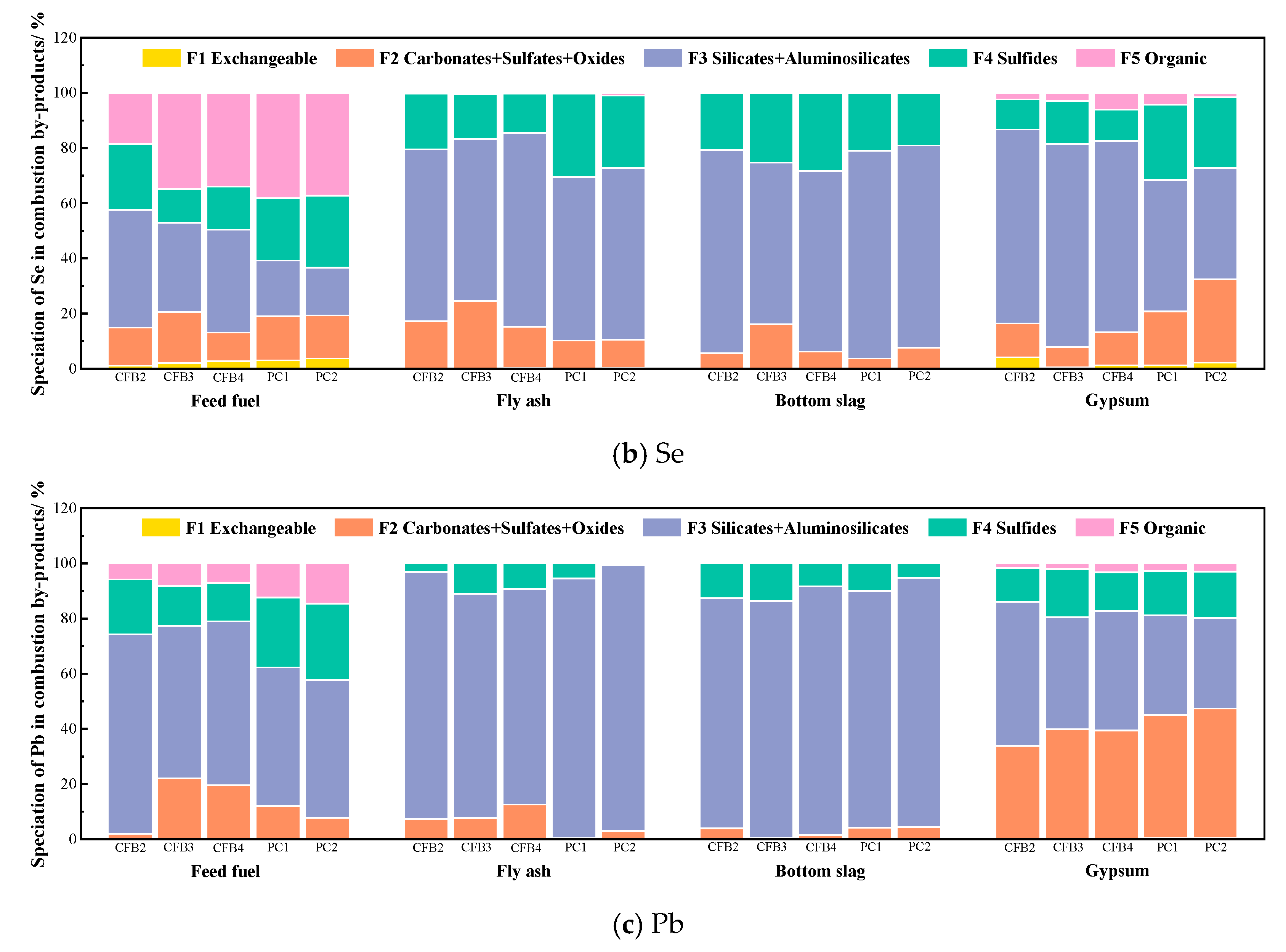
3.2. Speciation Transformation of As, Se and Pb in Coal-Fired Power Units
3.3. Effect of Co-Firing of Coal with Sewage Sludge
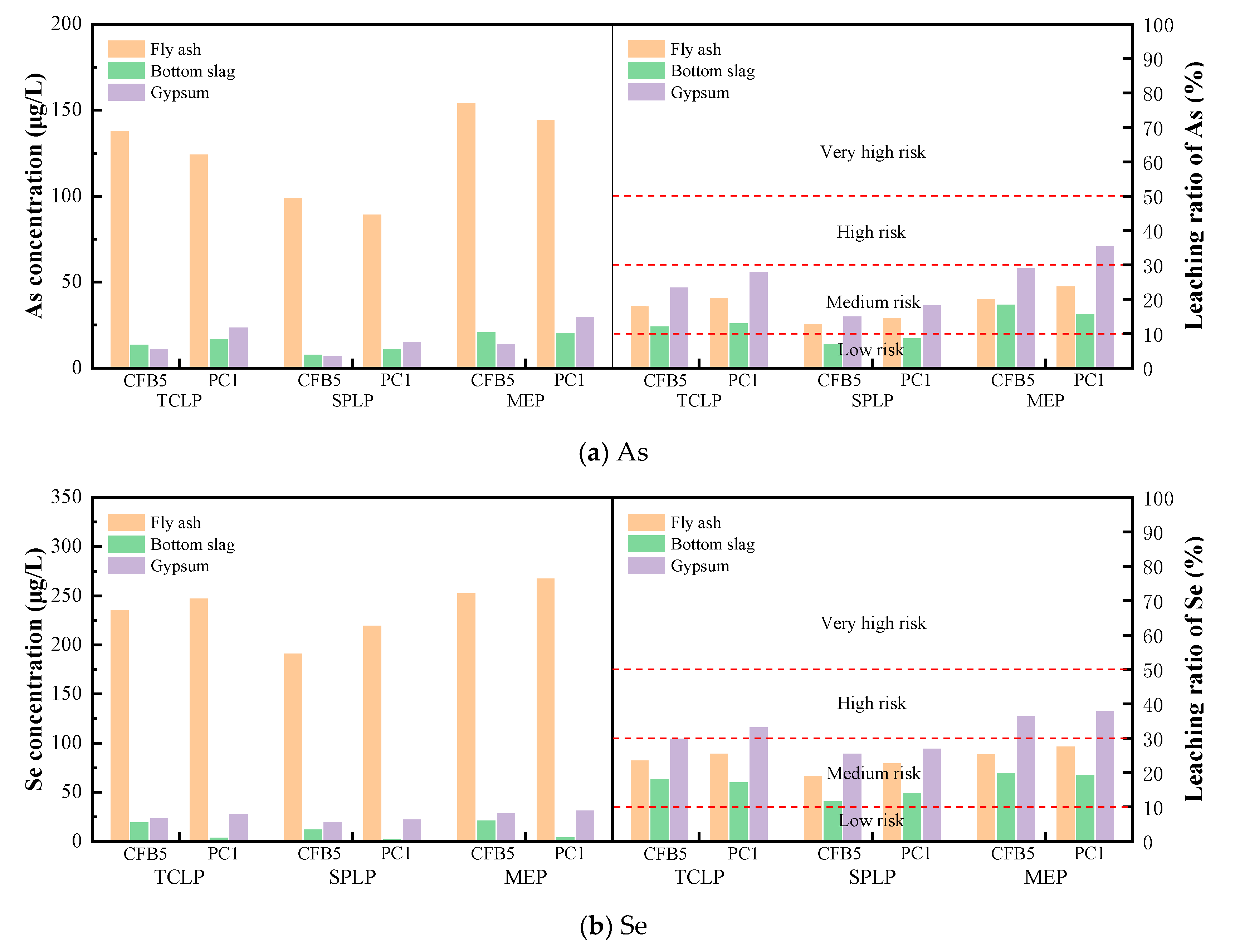
3.4. Environmental Risk Assessment of As, Se and Pb in Combustion By-Products
4. Conclusions
- (1)
- The concentrations of As, Se and Pb in feed coal are 2.33–6.73 μg/g, 3.93–7.98 μg/g and 8.01–21.54 μg/g, respectively. Almost all Se is released to the gas phase after combustion and the residue concentration in the bottom slag is less than 2.56 μg/g. However, the concentrations of As and Pb are relatively higher in the bottom slag because of their less volatile nature, with residue concentrations of 1.96–4.33 μg/g and 9.36–46.99 μg/g. Generally, As, Se and Pb are mainly enriched in fly ash, with concentrations of 7.34–17.63 μg/g, 17.52–24.35 μg/g and 35.11–86.93 μg/g, respectively. Therefore, coal-fired power units should try to reduce the temperature of the flue gas in the particulate control devices to promote the condensation of gaseous As, Se and Pb, which could cause most of the As, Se, and Pb to be enriched in the fly ash for centralized treatment and reduce the emission of As, Se, and Pb. WFGD mainly collects As, Se and Pb in the fly ash particles that escape from the particulate control device, resulting in a small amount of As and Se in the gas phase. More than 70% of As, 50% of Se and 90% of Pb migrate to the solid phase of WFGD and the concentrations of As, Se and Pb in fine solid particles are much higher than those in coarse solid particles and the liquid fraction.
- (2)
- The proportion of As or Se associated with organic matter (F5) in feed fuel ranges from 20% to 40%, while that of Pb is less than 10%. As, Se and Pb in both fly ash and bottom slag exist in the inorganic bound state, of which As, Se or Pb associated with silicates and aluminosilicates (F3) account for more than 60%. The proportions of As, Se and Pb existing in the exchangeable state (F1) or associated with organic matter (F5) in desulfurized gypsum are higher than those of fly ash and bottom slag.
- (3)
- Compared with traditional coal-fired power units, when the sewage sludge blending ratio in co-firing sewage sludge CFB units is less than 10%, it has little effect on the migration and transformation behaviors of As, Se and Pb in fly ash, bottom slag and desulphurized gypsum.
- (4)
- Under a long-term acidic leaching environment, Pb in combustion by-products is in the range of low risk, while As and Se are in the range of medium risk. The leaching ratios of As, Se and Pb in gypsum are the highest among the three types of combustion by-products.
Author Contributions
Funding
Institutional Review Board Statement
Informed Consent Statement
Data Availability Statement
Conflicts of Interest
References
- Yang, Z.; Zhang, Y.; Liu, L.; Wang, X.; Zhang, Z. Environmental investigation on co-combustion of sewage sludge and coal gangue: SO2, NOx and trace elements emissions. Waste Manag. 2016, 50, 213–221. [Google Scholar] [CrossRef] [PubMed]
- Van de Velden, M.; Dewil, R.; Baeyens, J.; Josson, L.; Lanssens, P. The distribution of heavy metals during fluidized bed combustion of sludge (FBSC). J. Hazard. Mater. 2008, 151, 96–102. [Google Scholar] [CrossRef] [PubMed]
- Zhang, G.; Hai, J.; Ren, M.; Zhang, S.; Cheng, J.; Yang, Z. Emission, mass Balance, and distribution characteristics of PCDD/Fs and heavy metals during cocombustion of sewage sludge and coal in power plants. Environ. Sci. Technol 2013, 47, 2123–2130. [Google Scholar] [CrossRef] [PubMed]
- United States Environmental Protection Agency. National Emission Standards for Hazardous Air Pollutants from Coal- and Oil-Fired Electric Utility Steam Generating Units and Standards of Performance for Fossil-Fuel-Fired Electric Utility, Industrial-Commercial-Institutional, and Small Industrial-Commercial-Institutional Steam Generating Units; Federal Register; Proposed Rule, United States Environmental Protection Agency: Washington, DC, USA, 2011; Volume 76. [Google Scholar]
- GB 13223-2011; Emission Standard of Air Pollutants for Thermal Power Plants. MEP, Ministry of Environmental Protection of China: Beijing, China, 2011. (In Chinese)
- GB 3095-2012; Ambient Air Quality Standards. MEP, Ministry of Environmental Protection of China: Beijing, China, 2012. (In Chinese)
- Oladego, J.; Shi, K.; Luo, X.; Yang, G.; Wu, T. A Review of Sludge-to-Energy Recovery Methods. Energies 2019, 12, 60. [Google Scholar] [CrossRef] [Green Version]
- Chen, G.; Chatelier, S.; Lin, H.; Wu, F.; Lin, T. A study of sewage sludge co-combustion with Australian black coal and shiitake substrate. Energies 2018, 11, 3436. [Google Scholar] [CrossRef] [Green Version]
- Wei, X.; Manovic, V.; Hanak, D.P. Techno-economic assessment of coal- or biomass-fired oxy-combustion power plants with supercritical carbon dioxide cycle. Energy Convers. Manag. 2020, 221, 113143. [Google Scholar] [CrossRef]
- Demirel, S.; Tuzen, M.; Saracoglu, S.; Soylak, M. Evaluation of various digestion procedures for trace element contents of some food materials. J. Hazard. Mater. 2008, 152, 1020–1026. [Google Scholar] [CrossRef]
- Zhang, N.; Sun, G.; Ma, H. Determination of ultra-trace selenium in mineral samples by hydride generation atomic fluorescence spectrometry with pressurized-PTFE-vessel acid digestion. Miner. Eng. 2007, 20, 1397–1400. [Google Scholar] [CrossRef]
- Wang, J.; Nakazato, T.; Sakanishi, K.; Yamada, O.; Tao, H.; Saito, I. Microwave digestion with HNO3/H2O2 mixture at high temperatures for determination of trace elements in coal by ICP-OES and ICP-MS. Anal. Chim. Acta 2004, 514, 115–124. [Google Scholar] [CrossRef]
- Iwashita, A.; Nakajima, T.; Takanashi, H.; Ohki, A.; Fujita, Y.; Yamashita, T. Effect of pretreatment conditions on the determination of major and trace elements in coal fly ash using ICP-AES. Fuel 2006, 85, 257–263. [Google Scholar] [CrossRef]
- Low, F.; Zhang, L. Microwave digestion for the quantification of inorganic elements in coal and coal ash using ICP-OES. Talanta 2012, 101, 346–352. [Google Scholar] [CrossRef]
- Das, A.K.; Chakraborty, R.; Guardia, M.L.; Cervera, M.L.; Goswami, D. ICP-MS multielement determination in fly ash after microwave-assisted digestion of samples. Talanta 2001, 54, 975–981. [Google Scholar] [CrossRef]
- Zou, Z.; Deng, Y.; Hu, J.; Jiang, X.; Hou, X. Recent trends in atomic fluorescence spectrometry towards miniaturized instrumentation—A review. Anal. Chim. Acta 2018, 1019, 25–37. [Google Scholar] [CrossRef] [PubMed]
- Zhou, H.; Bhattarai, R.; Li, Y.; Si, B.; Dong, X.; Wang, T.; Yao, Z. Towards sustainable coal industry: Turning coal bottom ash into wealth. Sci. Total Environ. 2022, 804, 149985. [Google Scholar] [CrossRef] [PubMed]
- Zhao, S.; Duan, Y.; Lu, J.; Gupta, R.; Pudasainee, D.; Liu, S.; Liu, M.; Lu, J. Chemical speciation and leaching characteristics of hazardous trace elements in coal and fly ash from coal-fired power plants. Fuel 2018, 232, 463–469. [Google Scholar] [CrossRef]
- Wang, N.; Sun, X.; Zhao, Q.; Yang, Y.; Wang, P. Leachability and adverse effects of coal fly ash: A review. J. Hazard. Mater. 2020, 396, 122725. [Google Scholar] [CrossRef]
- Wang, X.; Zhu, Y.; Hu, Z.; Zhang, L.; Yang, S.; Ruan, R.; Bai, S.; Tan, H. Characteristics of ash and slag from four biomass-fired power plants: Ash/slag ratio, unburned carbon, leaching of major and trace elements. Energy Convers. Manag. 2020, 214, 112897. [Google Scholar] [CrossRef]
- Fu, B.; Lai, F.; Mian, M.M.; Sun, M.; Wu, D. Characteristics and speciation of heavy metals in fly ash and FGD gypsum from Chinese coal-fired power plants. Fuel 2019, 251, 593–602. [Google Scholar] [CrossRef]
- Su, Y.; Liu, X.; Teng, Y.; Zhang, K. Mercury speciation in various coals based on sequential chemical extraction and thermal analysis methods. Energies 2021, 14, 2361. [Google Scholar] [CrossRef]
- Tessier, A.; Campbell, P.G.C.; Bisson, M. Sequential extraction procedure for the speciation of particulate trace metals. Anal. Chem. 1979, 51, 844–851. [Google Scholar] [CrossRef]
- Žemberyová, M.; Barteková, J.; Hagarová, I. The utilization of modified BCR three-step sequential extraction procedure for the fractionation of Cd, Cr, Cu, Ni, Pb and Zn in soil reference materials of different origins. Talanta 2006, 70, 973–978. [Google Scholar] [CrossRef] [PubMed]
- Arain, M.B.; Kazi, T.G.; Jamali, M.K.; Afridi, H.I.; Jalbani, N.; Sarfraz, R.A.; Baig, J.A.; Kandhro, G.A.; Memon, M.A. Time saving modified BCR sequential extraction procedure for the fraction of Cd, Cr, Cu, Ni, Pb and Zn in sediment samples of polluted lake. J. Hazard. Mater. 2008, 160, 235–239. [Google Scholar] [CrossRef] [PubMed]
- Wang, L.; Zheng, C.; Zhang, Y.; Yue, T.; Weng, W.; Zhao, H.; Zhou, J.; Gao, X. Speciation Characteristics and Mobility of Trace Elements Across Ultralow Emission Air Pollution Control Devices. Energy Fuel 2017, 31, 13963–13971. [Google Scholar] [CrossRef]
- Cheng, L.; Ji, J.; Wei, Y.; Wang, Q.; Fang, M.; Luo, Z.; Ni, M.; Cen, K. A note on large-size supercritical CFB technology development. Powder Technol. 2020, 363, 398–407. [Google Scholar] [CrossRef]
- Li, L.; Yu, C.; Bai, J.; Wang, Q.; Luo, Z. Heavy metal characterization of circulating fluidized bed derived biomass ash. J. Hazard. Mater. 2012, 233–234, 41–47. [Google Scholar] [CrossRef]
- Chen, C.; Shen, A.; Duan, Y.; Meng, J.; Hu, B.; Tan, H.; Ruan, R.; Liu, X.; Liu, M. Removal characteristics of particulate matters and hazardous trace elements in a 660 MW ultra-low emission coal-fired power plant. Fuel 2021, 311, 122535. [Google Scholar] [CrossRef]
- Sui, Z.; Zhang, Y.; Peng, Y.; Norris, P.; Cao, Y.; Pan, W. Fine particulate matter emission and size distribution characteristics in an ultra-low emission power plant. Fuel 2016, 185, 863–871. [Google Scholar] [CrossRef]
- Yang, H.; Zhang, Y.; Zheng, C.; Wu, X.; Chen, L.; Fu, J.S.; Gao, X. Cost estimate of the multi-pollutant abatement in coal-fired power sector in China. Energy 2018, 161, 523–535. [Google Scholar] [CrossRef]
- Zheng, C.; Wang, L.; Zhang, Y.; Zhang, J.; Zhao, H.; Zhou, J.; Gao, X.; Cen, K. Partitioning of hazardous trace elements among air pollution control devices in ultra-low-emission coal-fired power plants. Energy Fuel 2017, 31, 6334–6344. [Google Scholar] [CrossRef]
- Chang, L.; Yang, J.; Zhao, Y.; Liu, H.; Zhang, J.; Zheng, C. Behavior and fate of As, Se, and Cd in an ultra-low emission coal-fired power plant. J. Clean. Prod. 2019, 209, 722–730. [Google Scholar] [CrossRef]
- Cordoba, P.; Staicu, L.C. Flue gas desulfurization effluents: An unexploited selenium resource. Fuel 2018, 223, 268–276. [Google Scholar] [CrossRef]
- Wang, T.; Lou, Y.; Jiang, S.; Wang, J.; Zhang, Y.; Pan, W. Distribution characteristics and environmental risk assessment of trace elements in desulfurization sludge from coal-fired power plants. Fuel 2021, 314, 122771. [Google Scholar] [CrossRef]
- Liu, Z.; Hao, Y.; Zhang, J.; Wu, S.; Pan, Y.; Zhou, J.; Qian, G. The characteristics of arsenic in Chinese coal-fired power plant flue gas desulphurisation gypsum. Fuel 2020, 271, 117515. [Google Scholar] [CrossRef]
- Zhang, K.; Liu, X.; Su, Y.; Zhao, Y.; Teng, Y.; Qi, N. Method for Determining Arsenic, Selenium and Lead in Coal-Fired Power Plant Coals and Combustion Byproducts Thereof. China Patent Beijing: CN110487758B, 14 May 2021. (In Chinese). [Google Scholar]
- Air Emission Measurement Center. Method 29-Determination of Metals Emissions from Stationary Sources; United States Environmental Protection Agency: Washington, DC, USA, 2009. [Google Scholar]
- Akar, G.; Polat, M.; Galecki, G.; Ipekoglu, U. Leaching behavior of selected trace elements in coal fly ash samples from Yenikoy coal-fired power plants. Fuel Process. Technol. 2012, 104, 50–56. [Google Scholar] [CrossRef] [Green Version]
- Bhattacharyya, S.; Donahoe, R.J.; Patel, D. Experimental study of chemical treatment of coal fly ash to reduce the mobility of priority trace elements. Fuel 2009, 88, 1173–1184. [Google Scholar] [CrossRef]
- Wang, P.; Sun, Z.; Hu, Y.; Cheng, H. Leaching of heavy metals from abandoned mine tailings brought by precipitation and the associated environmental impact. Sci. Total Environ. 2019, 695, 133893. [Google Scholar] [CrossRef]
- Distribution Characteristics of Sulfur and the Main Harmful Trace Elements in China’s Coal. Acta Geol. Sin.-Engl. 2008, 82, 722–730.
- Liu, H.; Wang, C.; Zou, C.; Zhang, Y.; Wang, J. Simultaneous volatilization characteristics of arsenic and sulfur during isothermal coal combustion. Fuel 2017, 203, 152–161. [Google Scholar] [CrossRef]
- Liu, H.; Wang, C.; Huang, X.; Guo, Y. Experimental and modeling study on the volatilization of arsenic during co-combustion of high arsenic lignite blends. Appl. Therm. Eng. 2016, 108, 1336–1343. [Google Scholar] [CrossRef]
- Contreras, M.L.; García-Frutos, F.J.; Bahillo, A. Oxy-fuel combustion effects on trace metals behaviour by equilibrium calculations. Fuel 2013, 108, 474–483. [Google Scholar] [CrossRef]
- Zhang, S.; Jiang, X.; Lv, G.; Nixiang, A.; Jin, Y.; Yan, J.; Lin, X.; Song, H.; Cao, J. Effect of chlorine, sulfur, moisture and ash content on the partitioning of As, Cr, Cu, Mn, Ni and Pb during bituminous coal and pickling sludge co-combustion. Fuel 2019, 239, 601–610. [Google Scholar] [CrossRef]
- Querol, X.; Fernández-Turiel, J.; López-Soler, A. Trace elements in coal and their behaviour during combustion in a large power station. Fuel 1995, 74, 331–343. [Google Scholar] [CrossRef]
- Kong, M.; Liu, Q.; Wang, X.; Ren, S.; Yang, J.; Zhao, D.; Xi, W.; Yao, L. Performance impact and poisoning mechanism of arsenic over commercial V2O5-WO3/TiO2 SCR catalyst. Catal. Commun. 2015, 72, 121–126. [Google Scholar] [CrossRef]
- Liu, Z.; Han, J.; Zhao, L.; Wu, Y.; Wang, H.; Pei, X.; Xu, M.; Lu, Q.; Yang, Y. Effects of Se and SeO2 on the denitrification performance of V2O5-WO3/TiO2 SCR catalyst. Appl. Catal. A Gen. 2019, 587, 117263. [Google Scholar] [CrossRef]
- Meij, R.; Vredenbregt, L.H.J.; Winkel, H.T. The Fate and Behavior of Mercury in Coal-Fired Power Plants. J. Air Waste Manag. Assoc. 2002, 52, 912–917. [Google Scholar] [CrossRef] [PubMed] [Green Version]
- Rodella, N.; Bosio, A.; Zacco, A.; Borgese, L.; Pasquali, M.; Dalipi, R.; Depero, L.E.; Patel, V.; Bingham, P.A.; Bontempi, E. Arsenic stabilization in coal fly ash through the employment of waste materials. J. Environ. Chem. Eng. 2014, 2, 1352–1357. [Google Scholar] [CrossRef]
- Marczak-Grzesik, M.; Piersa, P.; Karczewski, M.; Szufa, S.; Ünyay, H.; Kedzierska-Sar, A.; Bochenek, P. Modified Fly Ash-Based Adsorbents (MFA) for Mercury and Carbon Dioxide Removal from Coal-Fired Flue Gases. Energies 2021, 14, 7101. [Google Scholar] [CrossRef]
- Bartoňová, L.; Čech, B.; Ruppenthalová, L.; Majvelderova, V.; Juchelková, D.; Klika, Z. Effect of unburned carbon content in fly ash on the retention of 12 elements out of coal-combustion flue gas. J. Environ. Sci. 2012, 24, 1624–1629. [Google Scholar] [CrossRef]
- Shah, P.; Strezov, V.; Prince, K.; Nelson, P.F. Speciation of As, Cr, Se and Hg under coal fired power station conditions. Fuel 2008, 87, 1859–1869. [Google Scholar] [CrossRef]
- Wayne, S.; Jost, O. Partitioning of arsenic, selenium, and cadmium during the combustion of Pittsburgh and Illinois #6 coals in a self-sustained combustor. Fuel Process. Technol. 2000, 63, 179–196. [Google Scholar]
- Shah, P.; Strezov, V.; Nelson, P.F. X-ray Absorption near Edge Structure Spectrometry Study of Nickel and Lead Speciation in Coals and Coal Combustion Products. Energy Fuel 2009, 23, 1518–1525. [Google Scholar] [CrossRef]
- Świetlik, R.; Trojanowska, M.; Jóźwiak, M.A. Evaluation of the distribution of heavy metals and their chemical forms in ESP-fractions of fly ash. Fuel Process. Technol. 2012, 95, 109–118. [Google Scholar] [CrossRef]
- Nowak, B.; Frías Rocha, S.; Aschenbrenner, P.; Rechberger, H.; Winter, F. Heavy metal removal from MSW fly ash by means of chlorination and thermal treatment: Influence of the chloride type. Chem. Eng. J. 2012, 179, 178–185. [Google Scholar] [CrossRef]
- Folgueras, M.B.; Diaz, R.M.; Xiberta, J.; Prieto, I. Volatilisation of trace elements for coal–sewage sludge blends during their combustion. Fuel 2003, 82, 1939–1948. [Google Scholar] [CrossRef]
- Su, T.; Wang, J. Modeling batch leaching behavior of arsenic and selenium from bituminous coal fly ashes. Chemosphere 2011, 85, 1368–1374. [Google Scholar] [CrossRef]
- Hao, Y.; Liu, Q.; Pan, Y.; Liu, Z.; Wu, S.; Xu, Y.; Qian, G. Heavy metals distribution characteristics of FGD gypsum samples from Shanxi province 12 coal-fired power plants and its potential environmental impacts. Fuel 2017, 209, 238–245. [Google Scholar] [CrossRef]
- Pan, Y.; Wu, Z.; Zhou, J.; Zhao, J.; Ruan, X.; Liu, J.; Qian, G. Chemical characteristics and risk assessment of typical municipal solid waste incineration (MSWI) fly ash in China. J. Hazard. Mater. 2013, 261, 269–276. [Google Scholar] [CrossRef]
- Zhou, C.; Liu, G.; Dun, W.; Fang, T.; Wang, R.; Fan, X. Mobility behavior and environmental implications of trace elements associated with coal gangue: A case study at the Huainan Coalfield in China. Chemosphere 2014, 95, 193–199. [Google Scholar]












| Units | Unit Capacity | Air Pollution Control Devices | Samples |
|---|---|---|---|
| CFB1 | 150 MW | SCR 1 + FF 2 + WFGD 3 | Feed fuel + Fly ash + Bottom slag + Gypsum |
| CFB2 | 200 MW | SCR + FF + WFGD | Feed fuel + Fly ash + Bottom slag + Gypsum |
| CFB3 | 300 MW | SNCR 4/SCR + FF + WFGD | Feed fuel + Fly ash + Bottom slag + Slurry |
| CFB4 | 300 MW | SCR + FF + WFGD | Feed fuel + Fly ash + Bottom slag + Slurry |
| CFB5 | 350 MW | SCR + FF + WFGD + WESP 5 | Feed fuel + Fly ash + Bottom slag + Slurry |
| PC1 | 350 MW | SCR + ESP 6 + WFGD + WESP | Feed fuel + Fly ash + Bottom slag + Slurry |
| PC2 | 600 MW | SCR + ESP + WFGD + WESP | Feed fuel + Fly ash + Bottom slag + Slurry |
| Power Units | Fuel Type | Proximate Analysis/wt% | |||
|---|---|---|---|---|---|
| Mad 1 | Aad 2 | Vad 3 | FCad 4 | ||
| CFB1 | Coal | 1.86 | 13.29 | 33.52 | 51.33 |
| Sewage sludge | 3.65 | 61.51 | 18.16 | 16.68 | |
| CFB2 | Coal | 1.24 | 61.20 | 18.62 | 18.94 |
| CFB3 | Coal | 2.36 | 33.96 | 24.94 | 38.74 |
| CFB4 | Coal | 2.38 | 39.76 | 24.74 | 33.12 |
| CFB5 | Coal | 1.04 | 54.19 | 14.44 | 30.33 |
| Sewage sludge | 3.53 | 59.21 | 25.79 | 11.47 | |
| PC1 | Coal | 2.67 | 15.05 | 29.95 | 52.33 |
| PC2 | Coal | 3.98 | 16.42 | 25.57 | 54.03 |
Publisher’s Note: MDPI stays neutral with regard to jurisdictional claims in published maps and institutional affiliations. |
© 2022 by the authors. Licensee MDPI, Basel, Switzerland. This article is an open access article distributed under the terms and conditions of the Creative Commons Attribution (CC BY) license (https://creativecommons.org/licenses/by/4.0/).
Share and Cite
Liu, X.; Teng, Y.; Zhang, K. Migration Behaviors of As, Se and Pb in Ultra-Low-Emission Coal-Fired Units and Effect of Co-Firing Sewage Sludge in CFB Boilers. Energies 2022, 15, 1544. https://doi.org/10.3390/en15041544
Liu X, Teng Y, Zhang K. Migration Behaviors of As, Se and Pb in Ultra-Low-Emission Coal-Fired Units and Effect of Co-Firing Sewage Sludge in CFB Boilers. Energies. 2022; 15(4):1544. https://doi.org/10.3390/en15041544
Chicago/Turabian StyleLiu, Xuan, Yang Teng, and Kai Zhang. 2022. "Migration Behaviors of As, Se and Pb in Ultra-Low-Emission Coal-Fired Units and Effect of Co-Firing Sewage Sludge in CFB Boilers" Energies 15, no. 4: 1544. https://doi.org/10.3390/en15041544
APA StyleLiu, X., Teng, Y., & Zhang, K. (2022). Migration Behaviors of As, Se and Pb in Ultra-Low-Emission Coal-Fired Units and Effect of Co-Firing Sewage Sludge in CFB Boilers. Energies, 15(4), 1544. https://doi.org/10.3390/en15041544

