A Novel Compensation Circuit for Capacitive Power Transfer System to Realize Desired Constant Current and Constant Voltage Output
Abstract
:1. Introduction
- (1)
- A high operating frequency is needed: Equivalent capacitances of the capacitive coupler are always in pF range in most applications due to the small dielectric constant of air [16,21,22,23]. To eliminate reactive power, the small equivalent capacitances must resonate with a relatively large inductor, which is not expected due to bulky size and corresponding losses, so that CPT converters always work at a high operating frequency.
- (2)
- The output characteristics of the CPT circuit should be independent of the capacitive coupler parameters: The structure of a capacitive coupler is always constrained by the volume of a CPT system. Thus, the parameters of a capacitive coupler are determined and they cannot be designed to satisfy the charging demands of loads [27].
- (3)
- External capacitors are needed to elevate the equivalent capacitances of the capacitive couplers in some situations: With the pF-range equivalent capacitances of the capacitive coupler, it is very difficult to compensate for the reactive power induced by the capacitive coupler. Thus, external capacitors are always added to parallel with the capacitive coupler to elevate the small equivalent capacitances [16,28].
2. Characteristics of the Proposed CPT Circuit
2.1. The Analysis of the Lx-PS CPT Circuit
2.2. The Analysis of the Lx-PP CPT Circuit
3. Parameter Design Procedure of the Lx-PS CPT Circuit
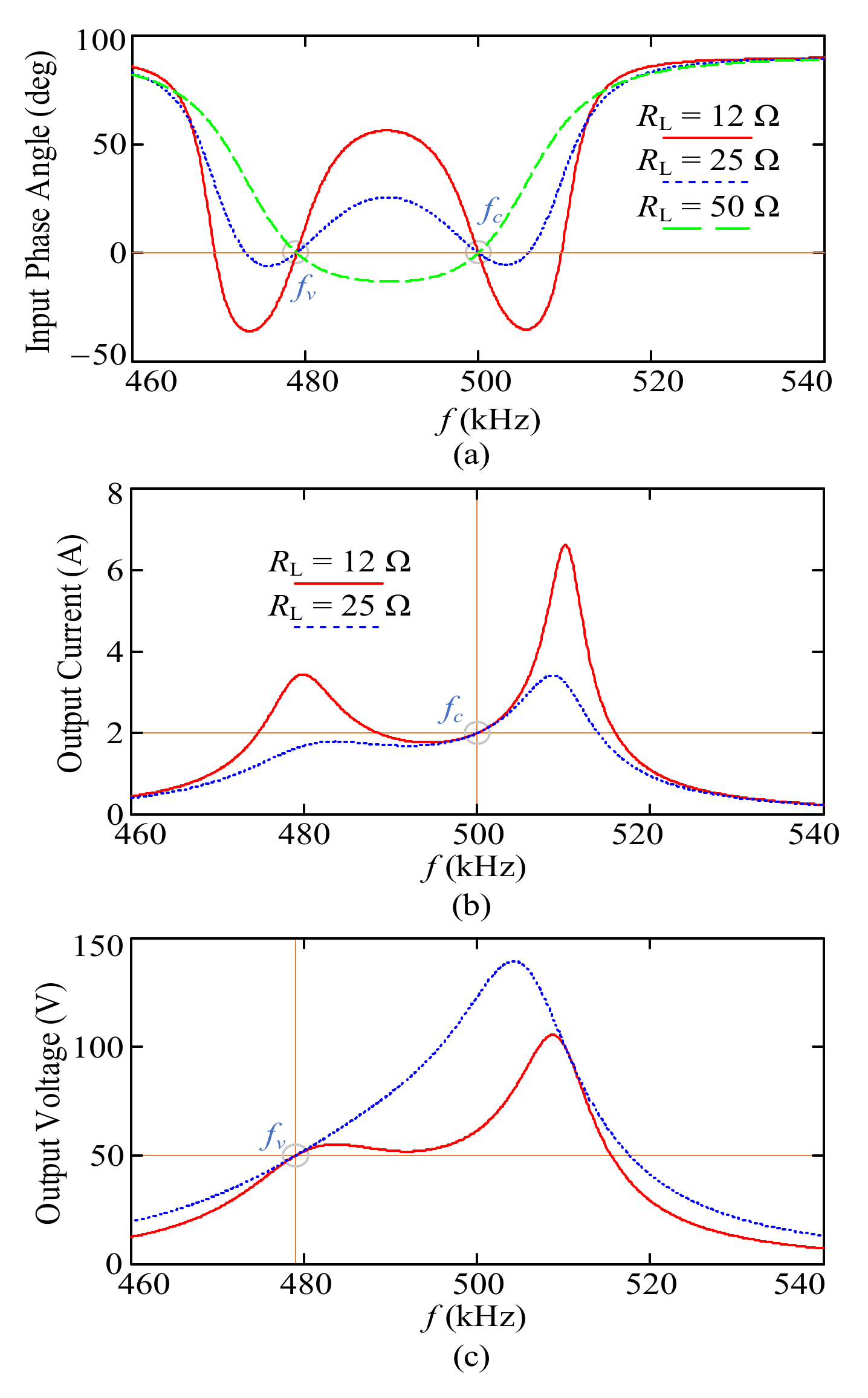
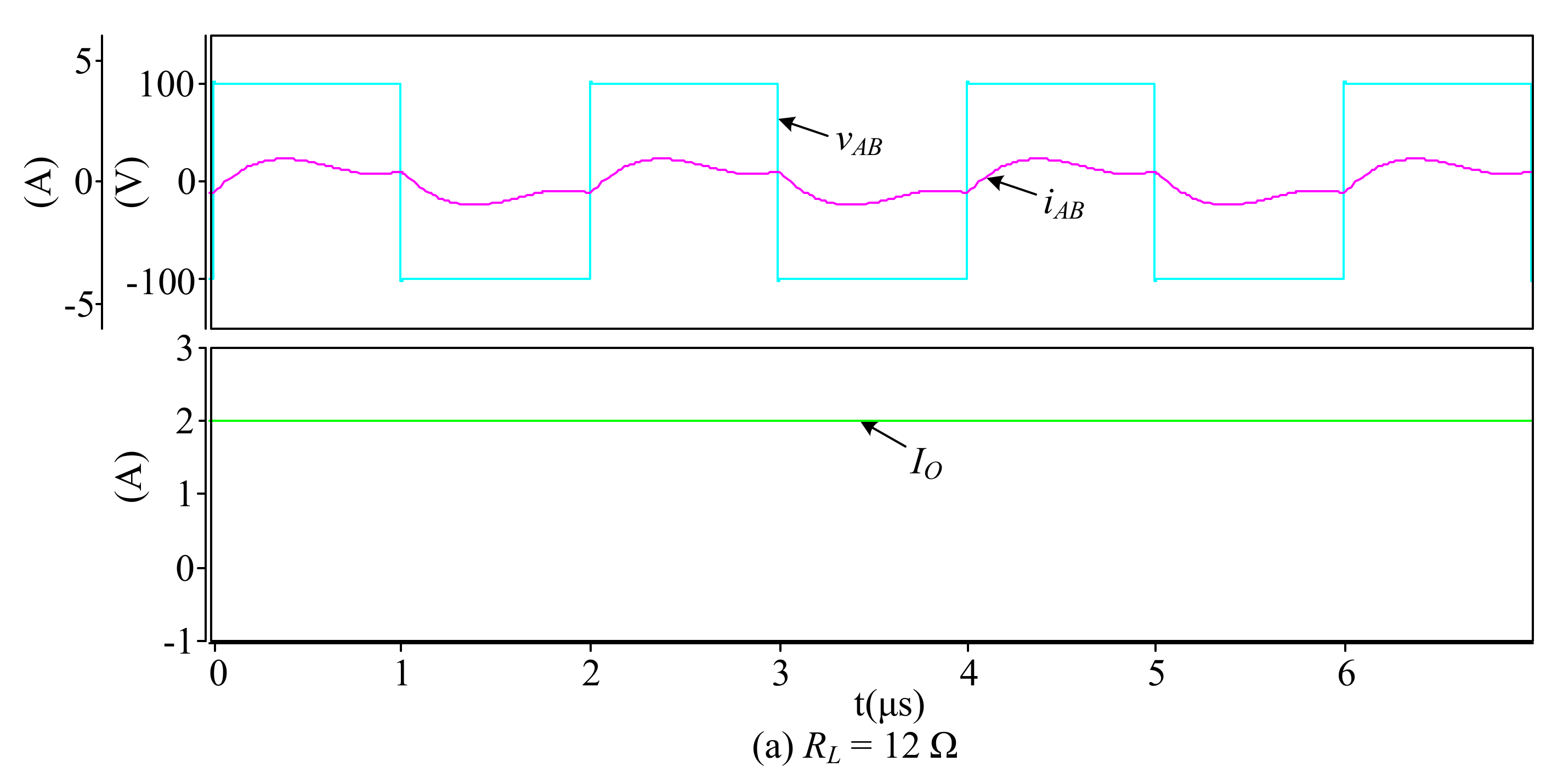
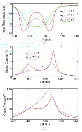
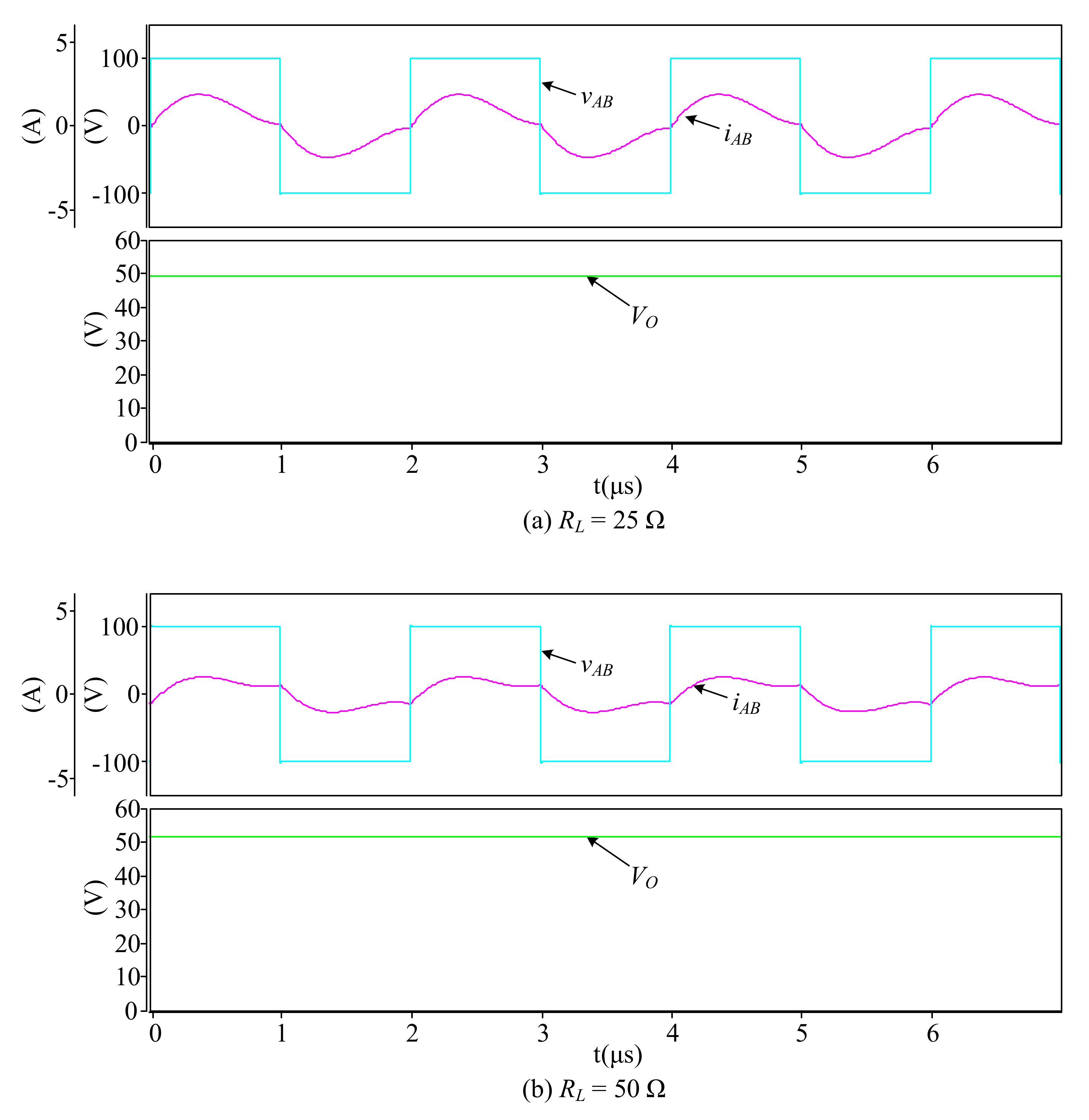
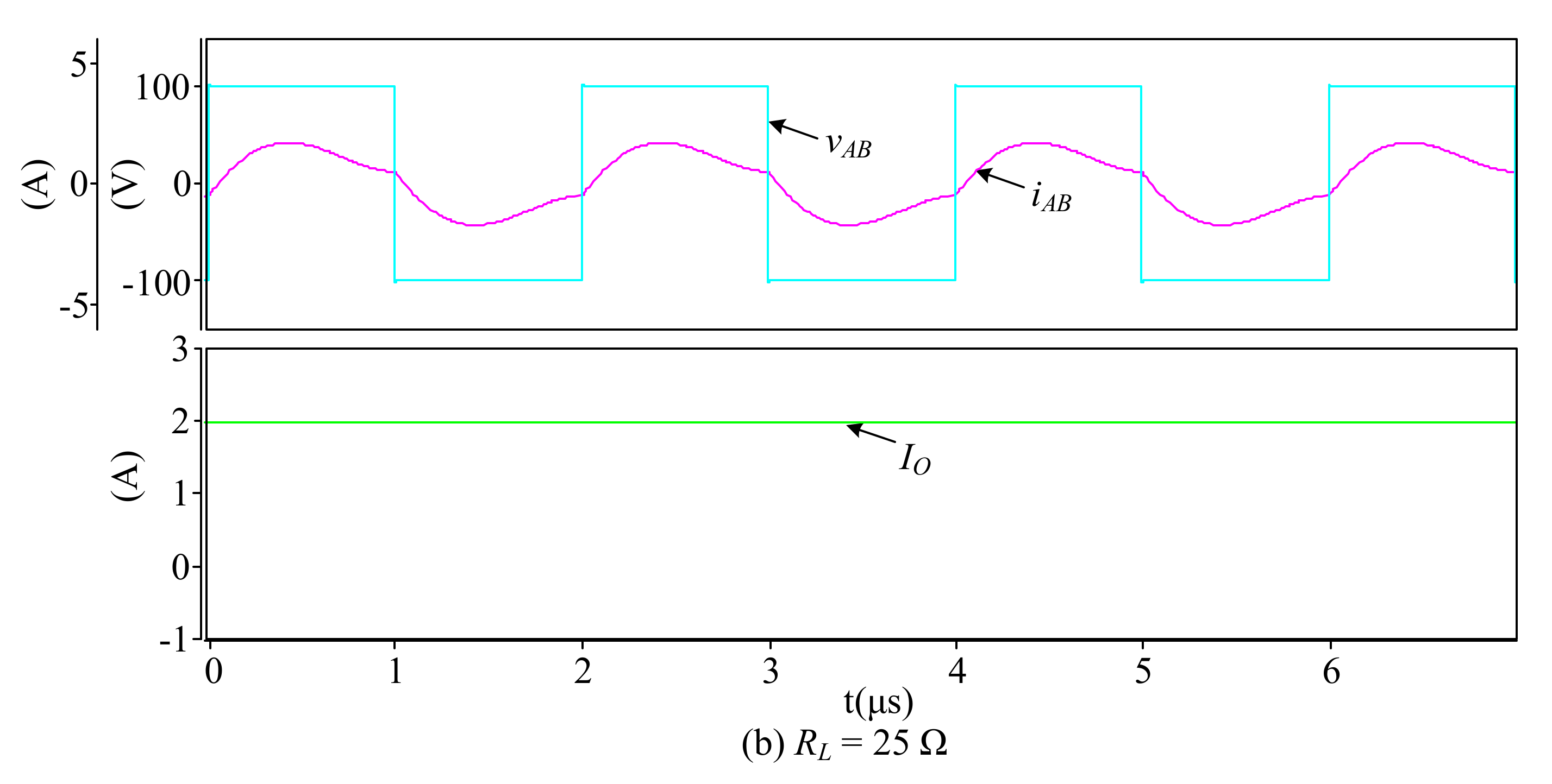
4. Certification of the Proposed Lx-PS CPT Circuit
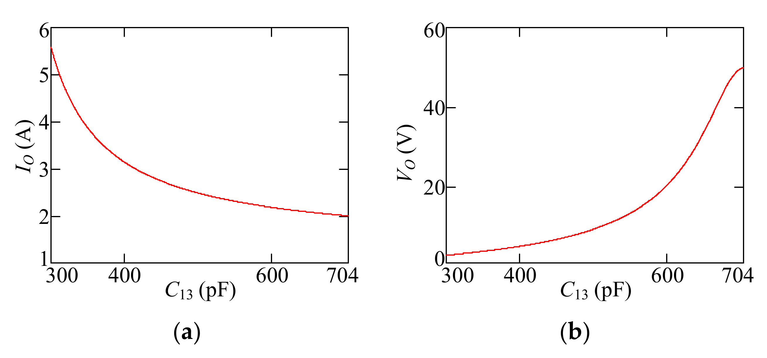
5. Discussion
6. Conclusions
Author Contributions
Funding
Institutional Review Board Statement
Informed Consent Statement
Data Availability Statement
Conflicts of Interest
References
- Hou, J.; Chen, Q.; Zhang, Z.; Wong, S.C.; Tse, C.K. Analysis of output current characteristics for higher order primary compensation in inductive power transfer systems. IEEE Trans. Power Electron. 2018, 33, 6807–6821. [Google Scholar] [CrossRef]
- Chen, C.; Kou, Z.; Zhang, Y.; He, Z.; Mai, R.; Cao, G. Hybrid topology with configurable charge current and charge voltage output-based WPT charger for massive electric bicycles. IEEE J. Emer. Sel. Topics Power Electron. 2018, 6, 1581–1594. [Google Scholar] [CrossRef]
- Samanta, S.; Rathore, A.K. A new inductive power transfer topology using direct AC–AC converter with active source current wave shaping. IEEE Trans. Power Electron. 2018, 33, 5565–5577. [Google Scholar] [CrossRef]
- Lu, M.; Ngo, K.D.T. Systematic design of coil in series-series inductive power transfer for power transferability and efficiency. IEEE Trans. Power Electron. 2018, 33, 3333–3345. [Google Scholar] [CrossRef]
- Yao, Y.; Gao, S.; Wang, Y.; Liu, X.; Zhang, X.; Xu, D. Design and optimization of an electric vehicle wireless charging system using interleaved boost converter and flat solenoid coupler. IEEE Trans. Power Electron. 2021, 36, 3894–3908. [Google Scholar] [CrossRef]
- Ahmad, S.; Hattori, R.; Muharam, A. Generalized circuit model of shielded capacitive power transfer. Energies 2021, 14, 2826. [Google Scholar] [CrossRef]
- Minnaert, B.; Mastri, F.; Stevens, N.; Costanzo, A.; Mongiardo, M. Coupling-independent capacitive power transfer using frequency bifurcation. Energies 2018, 11, 1912. [Google Scholar] [CrossRef] [Green Version]
- Minnaert, B.; Costanzo, A.; Monti, G.; Mongiardo, M. Capacitive wireless power transfer with multiple transmitters: Efficiency optimization. Energies 2020, 13, 3482. [Google Scholar] [CrossRef]
- Zhang, Z.; Pang, H.; Georgiadis, A.; CeCati, C. Wireless power transfer-an overview. IEEE Trans. Ind. Electron. 2019, 66, 1044–1058. [Google Scholar] [CrossRef]
- Qu, X.; Han, H.; Wong, S.C.; Tse, C.K.; Chen, W. Hybrid IPT topologies with constant current or constant voltage output for battery charging applications. IEEE Trans. Power Electron. 2015, 30, 6329–6337. [Google Scholar] [CrossRef]
- Tran, D.H.; Vu, V.B.; Choi, W. Design of a high-efficiency wireless power transfer system with intermediate coils for the on-board chargers of electric vehicles. IEEE Trans. Power Electron. 2018, 33, 175–187. [Google Scholar] [CrossRef]
- Kim, M.; Joo, D.M.; Lee, B.K. Design and control of inductive power transfer system for electric vehicles considering wide variation of output voltage and coupling coefficient. IEEE Trans. Power Electron. 2019, 34, 1197–1208. [Google Scholar] [CrossRef]
- Qu, X.; Chu, H.; Wong, S.C.; Tse, C.K. An IPT battery charger with near unity power factor and load-independent constant output combating design constraints of input voltage and transformer parameters. IEEE Trans. Power Electron. 2019, 34, 7719–7727. [Google Scholar] [CrossRef]
- Lecluyse, C.; Minnaert, B.; Kleemann, M. A review of the current state of technology of capacitive power transfer. Energies 2021, 14, 5862. [Google Scholar] [CrossRef]
- Luo, B.; Long, T.; Guo, L.; Dai, R.; Mai, R.; He, Z. Analysis and design of inductive and capacitive hybrid wireless power transfer system for railway application. IEEE Trans. Ind. Appl. 2020, 56, 3034–3042. [Google Scholar] [CrossRef]
- Lu, F.; Zhang, H.; Mi, C.C. A review on the recent development of capacitive wireless power transfer technology. Energies 2017, 10, 1752. [Google Scholar] [CrossRef] [Green Version]
- Lin, C.-H.; Amir, M.; Tariq, M.; Shahvez, M.; Alamri, B.; Alahmadi, A.; Siddiqui, M.; Beig, A.R. Comprehensive analysis of IPT v/s CPT for Wireless EV Charging and Effect of Capacitor Plate Shape and Foreign Particle on CPT. Processes 2021, 9, 1619. [Google Scholar] [CrossRef]
- Luo, B.; Hu, A.P.; Munir, H.; Zhu, Q.; Mai, R.; He, Z. Compensation network design of CPT systems for achieving maximum power transfer under coupling voltage constraints. IEEE J. Emer. Sel. Topics Power Electron. 2022, 10, 138–148. [Google Scholar] [CrossRef]
- Zhang, H.; Lu, F. An improved design methodology of the double-sided LC-compensated CPT system considering the inductance detuning. IEEE Trans. Power Electron. 2019, 34, 11396–11406. [Google Scholar] [CrossRef]
- Wang, Y.; Zhang, H.; Lu, F. Review, analysis, and design of four basic CPT topologies and the application of high-order compensation networks. IEEE Trans. Power Electron. 2022, 37, 6181–6193. [Google Scholar] [CrossRef]
- Li, S.; Liu, Z.; Zhao, H.; Zhu, L.; Shuai, C.; Chen, Z. Wireless power transfer by electric field resonance and its application in dynamic charging. IEEE Trans. Ind. Electron. 2016, 63, 6602–6612. [Google Scholar] [CrossRef]
- Lu, F.; Zhang, H.; Hofmann, H.; Mi, C.C. A double-sided LC compensation circuit for loosely-coupled capacitive power transfer. IEEE Trans. Power Electron. 2018, 33, 1633–1643. [Google Scholar] [CrossRef]
- Mai, R.; Luo, B.; Chen, Y.; He, Z. Double-sided CL compensation topology based component voltage stress optimisation method for capacitive power transfer charging system. IET Power Electron. 2018, 11, 1153–1160. [Google Scholar] [CrossRef]
- Qing, X.; Wang, Z.; Su, Y.; Zhao, Y.; Wu, X. Parameter design method with constant output voltage characteristic for bilateral LC-compensated CPT system. IEEE J. Emer. Sel. Topics Power Electron. 2020, 8, 2707–2715. [Google Scholar] [CrossRef]
- Lu, J.; Zhu, G.; Lin, D.; Zhang, Y.; Jiang, J.; Mi, C.C. Unified load-independent ZPA analysis and design in CC and CV modes of higher order resonant circuits for WPT systems. IEEE Trans. Transport. Electrific. 2019, 5, 977–987. [Google Scholar] [CrossRef]
- Lu, J.; Zhu, G.; Lin, D.; Zhang, Y.; Wang, H.; Mi, C.C. Realizing constant current and constant voltage outputs and input zero phase angle of wireless power transfer systems with minimum component counts. IEEE Trans. Intell. Transp. Syst. 2021, 22, 600–610. [Google Scholar] [CrossRef]
- Zhang, H.; Lu, F.; Hofmann, H.; Liu, W.; Mi, C.C. Six-plate capacitive coupler to reduce electric field emission in large air-gap capacitive power transfer. IEEE Trans. Power Electron. 2018, 33, 665–675. [Google Scholar] [CrossRef]
- Corti, F.; Reatti, A.; Wu, Y.; Czarkowski, D.; Musumeci, S. Zero voltage switching condition in class-E inverter for capacitive power transfer applications. Energies 2021, 14, 911. [Google Scholar] [CrossRef]
- Lian, J.; Qu, X. Design of a double-sided LC compensated capacitive power transfer system with capacitor voltage stress optimization. IEEE Trans. Circuits Syst. II Exp. Briefs. 2020, 67, 715–719. [Google Scholar] [CrossRef]
- Lian, J.; Qu, X. An LCLC-LC compensated capacitive power transferred battery charger with near unity power factor and configurable charging profile. IEEE Trans. Ind. Appl. 2022, 58, 1053–1060. [Google Scholar] [CrossRef]






















| Parameter | CV Frequency | Lx | L1 | L2 | C1 | C2 |
|---|---|---|---|---|---|---|
| Value | 479 kHz | 25.8 μH | 2.31 μH | 150.5 μH | 47.9 nF | 704 pF |
Publisher’s Note: MDPI stays neutral with regard to jurisdictional claims in published maps and institutional affiliations. |
© 2022 by the authors. Licensee MDPI, Basel, Switzerland. This article is an open access article distributed under the terms and conditions of the Creative Commons Attribution (CC BY) license (https://creativecommons.org/licenses/by/4.0/).
Share and Cite
Dong, B.; Chen, Y.; Lian, J.; Qu, X. A Novel Compensation Circuit for Capacitive Power Transfer System to Realize Desired Constant Current and Constant Voltage Output. Energies 2022, 15, 1523. https://doi.org/10.3390/en15041523
Dong B, Chen Y, Lian J, Qu X. A Novel Compensation Circuit for Capacitive Power Transfer System to Realize Desired Constant Current and Constant Voltage Output. Energies. 2022; 15(4):1523. https://doi.org/10.3390/en15041523
Chicago/Turabian StyleDong, Bo, Yang Chen, Jing Lian, and Xiaohui Qu. 2022. "A Novel Compensation Circuit for Capacitive Power Transfer System to Realize Desired Constant Current and Constant Voltage Output" Energies 15, no. 4: 1523. https://doi.org/10.3390/en15041523
APA StyleDong, B., Chen, Y., Lian, J., & Qu, X. (2022). A Novel Compensation Circuit for Capacitive Power Transfer System to Realize Desired Constant Current and Constant Voltage Output. Energies, 15(4), 1523. https://doi.org/10.3390/en15041523
