The Hydrodynamics of Translational−Rotational Motion of Incompressible Gas Flow within the Working Space of a Vortex Heat Generator
Abstract
:1. Introduction
- −
- are environmentally-friendly energy sources;
- −
- operate in autonomous automatic mode;
- −
- are fully fireproof and flameproof;
- −
- are capital saving systems (depending on different estimates, the operational efficiency of certain vortex heat generators may be 0.9 or more);
- −
- do not need any extra preliminary treatment because water does not deposit in the system;
- −
- can be applied both for heating and hot water supply; and
- −
- are characterized by minor metal intensity fitting easily in any heating system [19].
2. Materials and Methods
Analytical Studies of a Heat-Transfer Process and Its Computer Representation
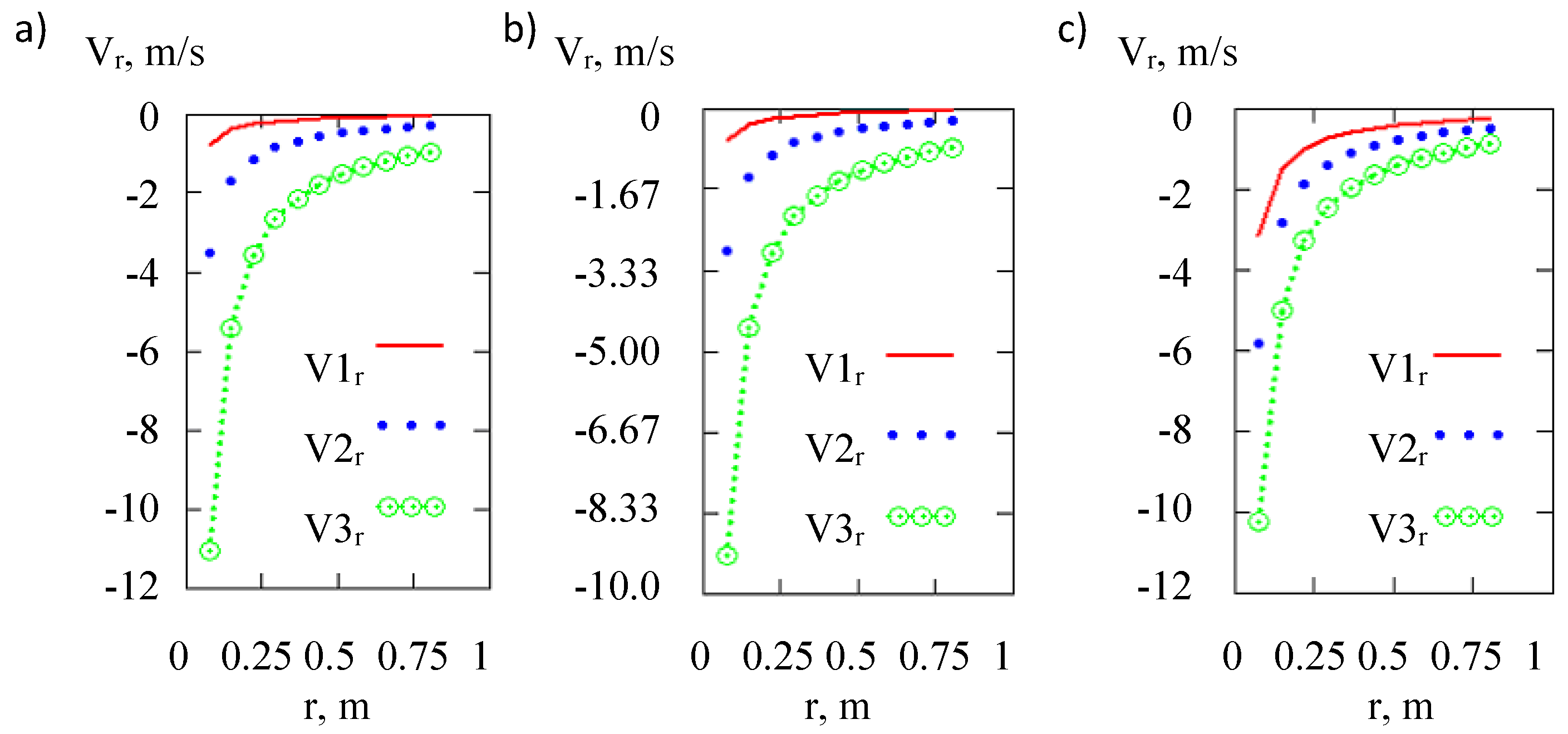
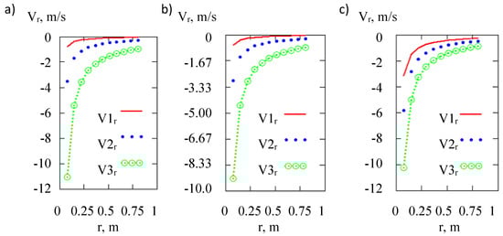
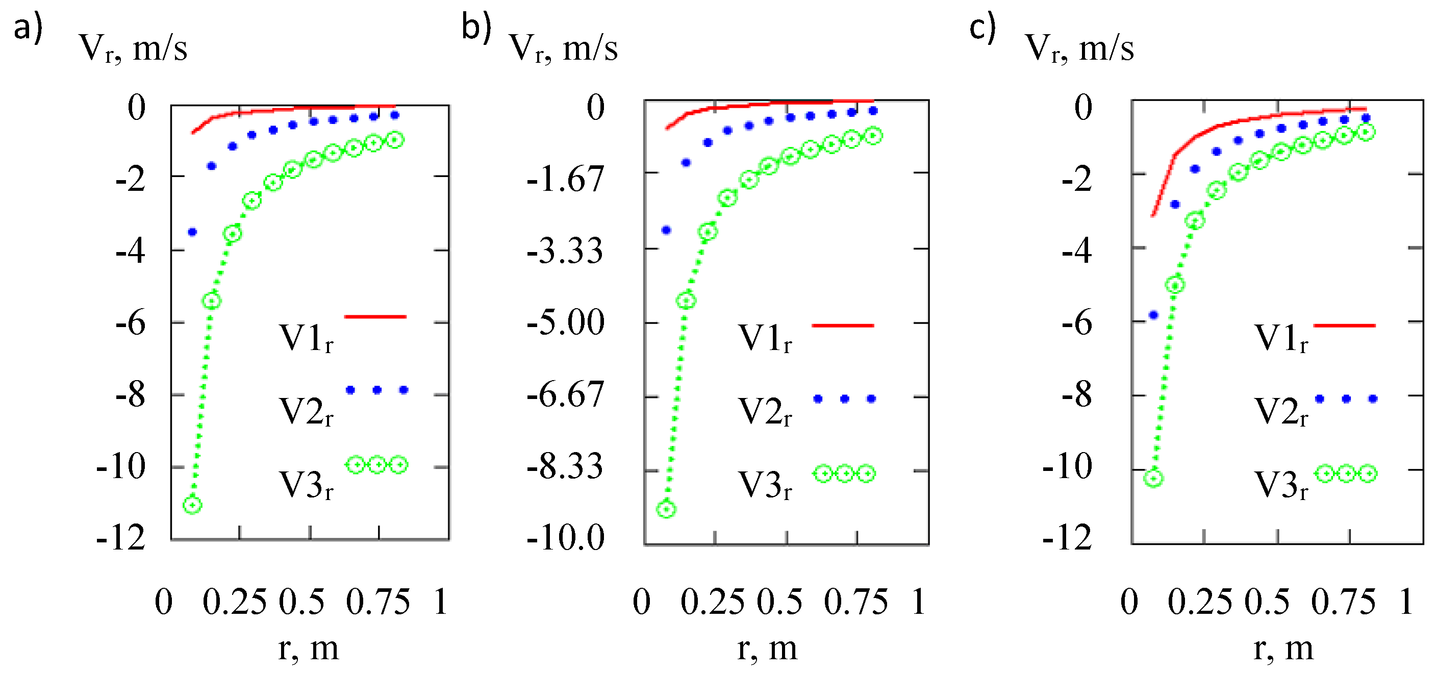
3. Results and Discussion
Structural Characteristics of the Experimental Vortex Heat Generator
4. Conclusions
- −
- in proportion to the vortex formation, static temperature aligns to the vortex radius;
- −
- radial temperature gradient increases along with the vortex approaching the confuser outlet; and
- −
- the motion of the free vortex of incompressible gas results in the intensive turbulent heat exchange characterized by the availability of high-gradient static pressure being normal towards the averaged motion velocity. In this context, the incompressible gas temperature varies.
Author Contributions
Funding
Institutional Review Board Statement
Informed Consent Statement
Conflicts of Interest
References
- Kolb, A.; Pazynich, Y.; Mirek, A.; Petinova, O. Influence of voltage reserve on the parameters of parallel power active compensators in mining. In E3S Web of Conferences; EDP Sciences: Les Ulis, France, 2020; Volume 201, p. 01024. [Google Scholar] [CrossRef]
- Nikolsky, V.; Kuzyayev, I.; Alieksandrov, O.; Ved, V.; Pugach, A.; Yaris, V.; Lopatin, V. Analytical and experimental studies into the processes of hydrodynamics and heat exchange in the channels of disk pulse devices. East.-Eur. J. Enterp. Technol. 2019, 4, 15–23. [Google Scholar] [CrossRef]
- Nikolsky, V.; Kuzyayev, I.; Dychkovskyi, R.; Alieksandrov, O.; Yaris, V.; Ptitsyn, S.; Tikhaya, L.; Howaniec, N.; Bak, A.; Siudyga, T.; et al. A Study of Heat Exchange Processes within the Channels of Disk Pulse Devices. Energies 2020, 13, 3492. [Google Scholar] [CrossRef]
- Nikolsky, V.; Oliynyk, O.; Ved, V.; Svietkina, O.; Pugach, A.; Shvachka, A. Design and study of the energy efficient unified apparatuses for energy technological manufacturing. East.-Eur. J. Enterp. Technol. 2018, 3, 59–65. [Google Scholar] [CrossRef] [Green Version]
- Girin, O.; Kuzyayev, I.; Nikolsky, V.; Yaris, V. Discovering and Modelling the Wave-Like Shapes on the Surface of Metal Deposits, being Electrodeposited under the Force Impact. Key Eng. Mater. 2020, 844, 135–145. [Google Scholar] [CrossRef]
- Promtov, M.A.; Akulin, V.V. Mechanisms for generating heat in a rotary-impulse apparatus. Vestn. TGTU 2015, 11, 103–106. (In Russian) [Google Scholar]
- Hirschi, R. Prediction par Modelisation Numerique Tridimensionnelle des Effets de la Cavitation a Poche dans les Turbomachines Hydrauliques. Ph.D. Thesis, Ecole Polytechnique Federale de Lausanne, Lausanne, Switzerland, 1998. [Google Scholar]
- Ja, V.; Hosangadi, A.; Arunajatesan, S. Simulations of Cavitating Flows Using Hybrid Unstructured Meshes. J. Fluids Eng. 2001, 123, 331–340. [Google Scholar]
- Hirschi, R.; Dupont, P.; Avellan, F. Centrifugal pump performance drop due to leading edge cavitation: Numerical predictions compared with model tests. J. Fluids Eng. 1997, 120, 705–711. [Google Scholar] [CrossRef]
- Singhal, N.H.; Athavale, A.K.; Li, M.; Jiang, Y. Mathematical basis and validation of the full cavitation model//Tr. ASME. J. Fluids Eng. 2002, 124, 17–624. [Google Scholar] [CrossRef]
- Senocak, I.; Shyy, W. Evaluation of cavitation models for Navier-Stokes computations. In Proceedings of the 2002 ASME Fluids Engineering Division Summer Meeting, Montreal, QC, Canada, 14–18 July 2002. [Google Scholar]
- Krzemień, A.; Więckol-Ryk, A.; Smoliński, A.; Koteras, A.; Więcław-Solny, L. Assessing the risk of corrosion in amine-based CO2 Capture Process. J. Loss Prev. Process Ind. 2016, 43, 189–197. [Google Scholar]
- Wojtacha-Rychter, K.; Smoliński, A. Multi-component gas mixture transport through porous structure of coal. Fuel 2018, 233, 37–44. [Google Scholar] [CrossRef]
- Smoliński, A.; Howaniec, N.; Gasior, R.; Polański, J.; Magdziarczyk, M. Thermal conversion of low rank coal, flotation concentrate and refuse derived fuel in the process of steam co-gasification to hydrogen-rich gas. Energy 2021, 235, 121348. [Google Scholar] [CrossRef]
- Nikolsky, V. Development and study of contactmodular heating system using immersion combustion units. East.-Eur. J. Enterp. Technol. 2015, 4, 31–35. [Google Scholar]
- Nalavade, S. Pioneering highly insulating materials for the heat transfer enhancement using the flow divider type inserts. Mater. Today Proc. 2021, 46, 2647–2652. [Google Scholar] [CrossRef]
- Goh, L.H.K.; Hung, Y.M.; Chen, G.M.; Tso, C.P. Entropy generation analysis of turbulent convection in a heat exchanger with self-rotating turbulator inserts. Int. J. Therm. Sci. 2021, 160, 106652. [Google Scholar] [CrossRef]
- Ved, V.; Nikolsky, V.; Oliynyk, O.; Lipeev, A. Examining a cavitation heat generator and the control method over the efficiency of its operation. East.-Eur. J. Enterp. Technol. 2017, 4, 22–28. [Google Scholar] [CrossRef]
- Dychkovskyi, R.O. Forming the bilayer artificially created shell of georeactor in underground coal well gasification. Nauk. Visnyk Natsionalnoho Hirnychoho Univ. 2015, 5, 37–42. [Google Scholar]
- Promvonge, P.; Promthaisong, P.; Skullong, S. Experimental and numerical heat transfer study of turbulent tube flow through discrete V-winglets. Int. J. Heat Mass Tran. 2020, 151, 119351. [Google Scholar] [CrossRef]
- Biriuk, V.V.; Serebriakov, R.A. Vortex hydraulic heat generator//Scientific Messenger of National University of Life and Environmental Sciences of Ukraine. Ser. Equip. Energetics AIC 2015, 209, 157–160. [Google Scholar]
- Uhl, B.; Brotz, F.; Fauser, J.; Krüger, U. Development of Engine Cooling Systems by Coupling CFD Simulation and Heat Exchanger Analysis Programs. SAE Tech. Pap. Ser. 2001, 111, 13–22. [Google Scholar] [CrossRef]
- Kyzyayev, I.M.; Svidersky, V.A.; Petukhov, A.D. Simulation of extrusion and extrudes in the process of polymer processing: Monograph, in two parts, Part 2—Kyiv: NTUU ‘KPI’ Publishing House. Politekhnika 2016, 217, 141–145. [Google Scholar]










Publisher’s Note: MDPI stays neutral with regard to jurisdictional claims in published maps and institutional affiliations. |
© 2022 by the authors. Licensee MDPI, Basel, Switzerland. This article is an open access article distributed under the terms and conditions of the Creative Commons Attribution (CC BY) license (https://creativecommons.org/licenses/by/4.0/).
Share and Cite
Nikolsky, V.; Dychkovskyi, R.; Cabana, E.C.; Howaniec, N.; Jura, B.; Widera, K.; Smoliński, A. The Hydrodynamics of Translational−Rotational Motion of Incompressible Gas Flow within the Working Space of a Vortex Heat Generator. Energies 2022, 15, 1431. https://doi.org/10.3390/en15041431
Nikolsky V, Dychkovskyi R, Cabana EC, Howaniec N, Jura B, Widera K, Smoliński A. The Hydrodynamics of Translational−Rotational Motion of Incompressible Gas Flow within the Working Space of a Vortex Heat Generator. Energies. 2022; 15(4):1431. https://doi.org/10.3390/en15041431
Chicago/Turabian StyleNikolsky, Valeriy, Roman Dychkovskyi, Edgar Cáceres Cabana, Natalia Howaniec, Bartłomiej Jura, Katarzyna Widera, and Adam Smoliński. 2022. "The Hydrodynamics of Translational−Rotational Motion of Incompressible Gas Flow within the Working Space of a Vortex Heat Generator" Energies 15, no. 4: 1431. https://doi.org/10.3390/en15041431
APA StyleNikolsky, V., Dychkovskyi, R., Cabana, E. C., Howaniec, N., Jura, B., Widera, K., & Smoliński, A. (2022). The Hydrodynamics of Translational−Rotational Motion of Incompressible Gas Flow within the Working Space of a Vortex Heat Generator. Energies, 15(4), 1431. https://doi.org/10.3390/en15041431

