Constant Phase Element in the Time Domain: The Problem of Initialization
Abstract
:1. Introduction
2. Fractional Derivatives
3. Initialization of the CPE
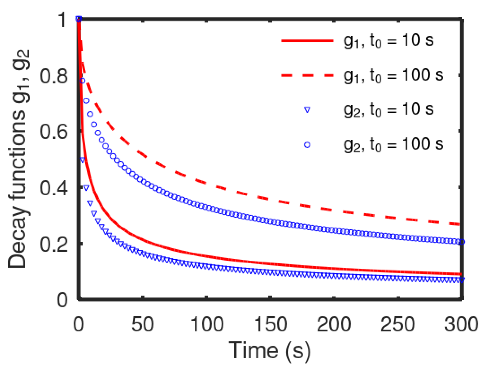
4. The Decay Function
5. Initialization of ZARC
6. Approximation of the CPR by an RC Network
7. Discussion
8. Conclusions and Future Research
Author Contributions
Funding
Institutional Review Board Statement
Informed Consent Statement
Data Availability Statement
Conflicts of Interest
References
- Andre, D.; Meiler, M.; Steiner, K.; Walz, H.; Soczka-Guth, T.; Sauer, D.U. A retrospective on lithium-ion batteries. J. Power Sources 2011, 196, 5349–5356. [Google Scholar] [CrossRef]
- Wang, B.; Li, S.E.; Peng, H.; Liu, Z. Fractional-order modeling and parameter identification for lithium-ion batteries. J. Power Sources 2015, 293, 151–161. [Google Scholar] [CrossRef]
- Bertrand, N.; Sabatier, J.; Briat, O.; Vinassa, J.M. Embedded Fractional Nonlinear Supercapacitor Model and Its Parametric Estimation Method. IEEE Trans. Ind. Electron. 2010, 57, 3991–4000. [Google Scholar] [CrossRef]
- Allagui, A.; Freeborn, T.J.; Elwakil, A.S.; Maundy, B.J. Reevaluation of Performance of Electric Double-layer Capacitors from Constant-current Charge/Discharge and Cyclic Voltammetry. Sci. Rep. 2016, 6, 38568. [Google Scholar] [CrossRef] [PubMed]
- Hu, X.; Yuan, H.; Zou, C.; Li, Z.; Zhang, L. Co-Estimation of State of Charge and State of Health for Lithium-Ion Batteries Based on Fractional-Order Calculus. IEEE Trans. Veh. Technol. 2018, 67, 10319–10329. [Google Scholar] [CrossRef]
- Gagneur, L.; Driemeyer-Franco, A.; Forgez, C.; Friedrich, G. Modeling of the diffusion phenomenon in a lithium-ion cell using frequency or time domain identification. Microelectron. Reliab. 2013, 53, 784–796. [Google Scholar] [CrossRef]
- Fouda, M.E.; Allagui, A.; Elwakil, A.S.; Das, S.; Psychalinos, C.; Radwan, A.G. Nonlinear charge-voltage relationship in constant phase element. AEU Int. J. Electron. Commun. 2020, 117, 153104. [Google Scholar] [CrossRef]
- Alavi, S.M.M.; Birkl, C.R.; Howey, D.A. Time-domain fitting of battery electrochemical impedance models. J. Power Sources 2015, 288, 345–352. [Google Scholar] [CrossRef]
- Allagui, A.; Freeborn, T.J.; Elwakil, A.S.; Fouda, M.E.; Maundy, B.J.; Radwan, A.G.; Said, Z.; Abdelkareem, M.A. Review of fractional-order electrical characterization of supercapacitors. J. Power Sources 2018, 400, 457–467. [Google Scholar] [CrossRef]
- Nasser-Eddine, A.; Huard, B.; Gabano, J.D.; Poinot, T. A two steps method for electrochemical impedance modeling using fractional order system in time and frequency domains. Control Eng. Pract. 2019, 86, 96–104. [Google Scholar] [CrossRef]
- Hartley, T.T.; Lorenzo, C. Dynamics and Control of Initialized Fractional-Order Systems. Nonlinear Dyn. 2002, 29, 201–233. [Google Scholar] [CrossRef]
- Fukunaga, M.; Shimizu, N. Role of prehistories in the initial value problems of fractional viscoelastic equations. Nonlinear Dyn. 2004, 38, 207–220. [Google Scholar] [CrossRef]
- Du, M.L.; Wang, Z.H. Initialized fractional differential equations with Riemann–Liouville fractional-order derivative. Eur. Phys. J. Spec. Top. 2011, 193, 49–60. [Google Scholar] [CrossRef]
- Du, B.; Wei, Y.; Liang, S.; Wang, Y. Estimation of exact initial states of fractional order systems. Nonlinear Dyn. 2016, 86, 2061–2070. [Google Scholar] [CrossRef]
- Du, M.; Wang, Z. Correcting the initialization of models with fractional derivatives via history-dependent conditions. Acta Mech. Sin. 2016, 32, 320–325. [Google Scholar] [CrossRef]
- Zhao, Y.; Wei, Y.; Chen, Y.; Wang, Y. A new look at the fractional initial value problem: The aberration phenomenon. J. Comput. Nonlinear Dyn. 2018, 13, 121004. [Google Scholar] [CrossRef]
- Lorenzo, C.F.; Hartley, T. Initialization of fractional-order operators and fractional differential equations. J. Comput. Nonlinear Dyn. 2008, 3, 021101. [Google Scholar] [CrossRef]
- Hartley, T.T.; Lorenzo, C.F.; Trigeassou, J.C.; Maamri, N. Equivalence of history-function based and infinite-dimensional-state initializations for fractional-order operators. J. Comput. Nonlinear Dyn. 2013, 8, 041014. [Google Scholar] [CrossRef]
- Sabatier, J.; Merveillaut, M.; Malti, R.; Oustaloup, A. How to impose physically coherent initial conditions to a fractional system? Commun. Nonlinear Sci. Numer. Simul. 2010, 15, 1318–1326. [Google Scholar] [CrossRef]
- Trigeassou, J.C.; Maamri, N. Initial conditions and initialization of linear fractional differential equations. Signal Process. 2011, 91, 427–436. [Google Scholar] [CrossRef]
- Trigeassou, J.C.; Maamri, N.; Sabatier, J.; Oustaloup, A. State variables and transients of fractional order differential systems. Comput. Math. Appl. 2012, 64, 3117–3140. [Google Scholar] [CrossRef] [Green Version]
- Trigeassou, J.; Maamri, N.; Oustaloup, A. Lyapunov stability of noncommensurate fractional order systems: An energy balance approach. J. Comput. Nonlinear Dyn. 2016, 11, 041007. [Google Scholar] [CrossRef]
- Yuan, J.; Zhang, Y.; Liu, J.; Shi, B. Equivalence of initialized fractional integrals and the diffusive model. J. Comput. Nonlinear Dyn. 2018, 13, 034501. [Google Scholar] [CrossRef]
- Plett, G.L. Battery Management Systems, Volume I: Battery Modeling; Artech House: Noewood, MA, USA, 2015. [Google Scholar]
- Agudelo, B.O.; Zamboni, W.; Monmasson, E. A Comparison of Time-Domain Implementation Methods for Fractional-Order Battery Impedance Models. Energies 2021, 14, 4415. [Google Scholar] [CrossRef]
- Zhao, Y.; Wei, Y.; Shuai, J.; Wang, Y. Fitting of the initialization function of fractional order systems. Nonlinear Dyn. 2018, 93, 1589–1598. [Google Scholar] [CrossRef]
- Petras, I. Fractional-Order Nonlinear Systems. Modeling, Analysis and Simulation; Springer: Berlin/Heidelberg, Germany, 2011. [Google Scholar]
- Allagui, A.; Zhang, D.; Khakpour, I.; Elwakil, A.S.; Wang, C. Quantification of memory in fractional-order capacitors. J. Phys. D Appl. Phys. 2020, 53, 02LT03. [Google Scholar] [CrossRef]
- Cheng, C.S.; Chung, H.S.H.; Lau, R.W.H. Time-domain modeling of constant phase element for simulation of lithium batteries under arbitrary charging and discharging current profiles. In Proceedings of the 2017 IEEE Applied Power Electronics Conference and Exposition (APEC), Tampa, FL, USA, 26–30 March 2017; pp. 985–992. [Google Scholar] [CrossRef]
- Cheng, C.S.; Chung, H.S.H.; Lau, R.W.H.; Hong, K.Y.W. Time-Domain Modeling of Constant Phase Elements for Simulation of Lithium Battery Behavior. IEEE Trans. Power Electron. 2019, 34, 7573–7587. [Google Scholar] [CrossRef]
- Yuan, J.; Gao, S.; Xiu, G.; Shi, B. Equivalence of initialized Riemann–Liouville and Caputo derivatives. J. Appl. Anal. Comput. 2020, 10, 2008–2023. [Google Scholar] [CrossRef]
- Macdonald, J.R. New aspects of some small-signal ac frequency response functions. Solid State Ion. 1985, 15, 159–161. [Google Scholar] [CrossRef]
- Oustaloup, A.; Levron, F.; Mathieu, B.; Nanot, F. Frequency-band complex noninteger differentiator: Characterization and synthesis. IEEE Trans. Circuits Syst. I Fundam. Theory Appl. 2000, 47, 25–30. [Google Scholar] [CrossRef]
- Ren, H.; Zhao, Y.; Chen, S.; Yang, L.A. A comparative study of lumped equivalent circuit models of a lithium battery for state of charge prediction. Int. J. Energy Res. 2019, 43, 7306–7315. [Google Scholar] [CrossRef]
- Heil, T.; Hossen, A. Continuous approximation of the ZARC element with passive components. Meas. Sci. Technol. 2021, 32, 104011. [Google Scholar] [CrossRef]
- Krishnan, G.; Das, S.; Agarwal, V. An Online Identification Algorithm to Determine the Parameters of the Fractional-Order Model of a Supercapacitor. IEEE Trans. Ind. Appl. 2020, 56, 763–770. [Google Scholar] [CrossRef]
- Nasser-Eddine, A.; Huard, B.; Gabano, J.D.; Poinot, T.; Martemianov, S.; Thomas, A. Fast time domain identification of electrochemical systems at low frequencies using fractional modeling. J. Electroanal. Chem. 2020, 862, 113957. [Google Scholar] [CrossRef]
- Lopez-Villanueva, J.A.; Rodriguez-Bolivar, S.; Parrilla, L.; Finana, C. Simple Single Particle Model for Interpreting Fast Charge Results in Intercalation Batteries. In Proceedings of the XXXV Conference on Design of Circuits and Integrated Systems (DCIS), Segovia, Spain, 18–20 November 2020; pp. 1–5. [Google Scholar] [CrossRef]







| n | 1 | 2 | 3 | 4 | 5 |
|---|---|---|---|---|---|
| (m) | 1.0407 | 1.9991 | 4.5240 | 10.5239 | 71.3679 |
| (s) | 0.1352 | 1.8012 | 12.3951 | 70.7794 | 686.9286 |
Publisher’s Note: MDPI stays neutral with regard to jurisdictional claims in published maps and institutional affiliations. |
© 2022 by the authors. Licensee MDPI, Basel, Switzerland. This article is an open access article distributed under the terms and conditions of the Creative Commons Attribution (CC BY) license (https://creativecommons.org/licenses/by/4.0/).
Share and Cite
López-Villanueva, J.A.; Rodríguez Bolívar, S. Constant Phase Element in the Time Domain: The Problem of Initialization. Energies 2022, 15, 792. https://doi.org/10.3390/en15030792
López-Villanueva JA, Rodríguez Bolívar S. Constant Phase Element in the Time Domain: The Problem of Initialization. Energies. 2022; 15(3):792. https://doi.org/10.3390/en15030792
Chicago/Turabian StyleLópez-Villanueva, Juan Antonio, and Salvador Rodríguez Bolívar. 2022. "Constant Phase Element in the Time Domain: The Problem of Initialization" Energies 15, no. 3: 792. https://doi.org/10.3390/en15030792
APA StyleLópez-Villanueva, J. A., & Rodríguez Bolívar, S. (2022). Constant Phase Element in the Time Domain: The Problem of Initialization. Energies, 15(3), 792. https://doi.org/10.3390/en15030792

