Aligned Ti3C2TX Aerogel with High Rate Performance, Power Density and Sub-Zero-Temperature Stability
Abstract
:1. Introduction
2. Experimental Section
2.1. Materials Fabrication
2.2. Material Characterizations
2.3. Electrochemical Measurements
3. Results and Discussion
3.1. Fabrication and Characterization
3.2. High Rate Performance of Aligned Ti3C2TX Aerogel
3.3. High Power Density Pseudocapacitor
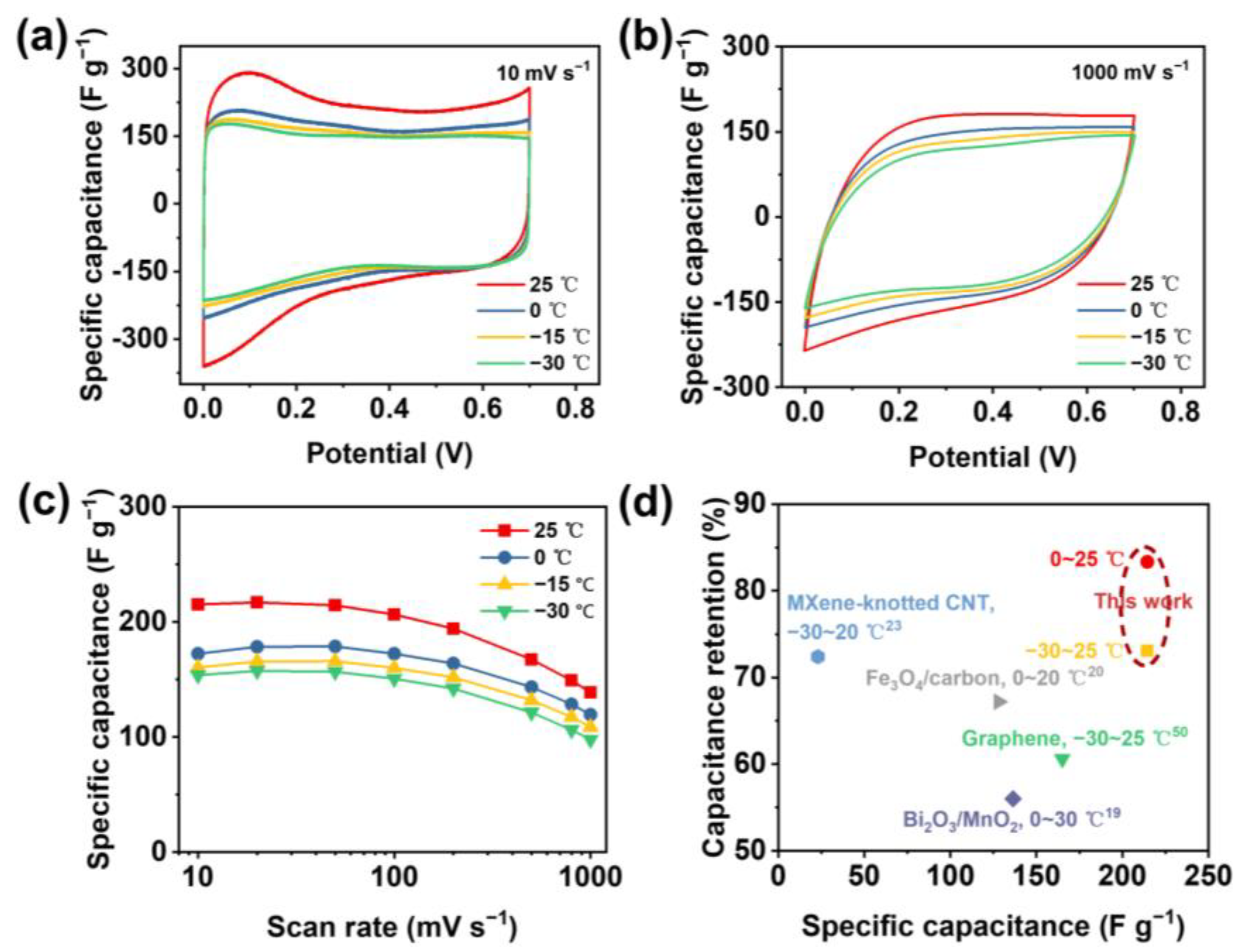
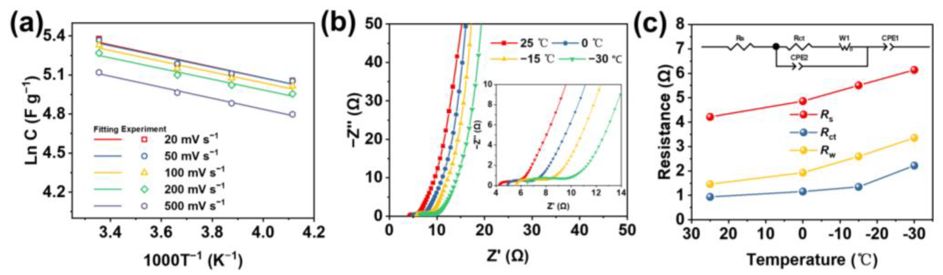
3.4. Sub-Zero-Temperature Stability
4. Conclusions
Supplementary Materials
Author Contributions
Funding
Institutional Review Board Statement
Informed Consent Statement
Data Availability Statement
Conflicts of Interest
References
- Li, J.; Yuan, X.; Lin, C.; Yang, Y.; Xu, L.; Du, X.; Xie, J.; Lin, J.; Sun, J. Achieving High Pseudocapacitance of 2D Titanium Carbide (MXene) by Cation Intercalation and Surface Modification. Adv. Energy Mater. 2017, 7, 1602725. [Google Scholar] [CrossRef]
- Koltunowicz, T.N.; Galaszkiewicz, P.; Kierczynski, K.; Rogalski, P.; Okal, P.; Pogrebnjak, A.D.; Buranich, V.; Pogorielov, M.; Diedkova, K.; Zahorodna, V.; et al. Investigation of AC electrical properties of MXene-PCL nanocomposites for application in small and medium power generation. Energies 2021, 14, 7123. [Google Scholar] [CrossRef]
- Wang, X.; Mathis, T.S.; Li, K.; Lin, Z.; Vlcek, L.; Torita, T.; Osti, N.C.; Hatter, C.; Urbankowski, P.; Sarycheva, A.; et al. Influences from solvents on charge storage in titanium carbide MXenes. Nat. Energy 2019, 4, 241–248. [Google Scholar] [CrossRef]
- Akuzum, B.; Maleski, K.; Anasori, B.; Lelyukh, P.; Alvarez, N.J.; Kumbur, E.C.; Gogotsi, Y. Rheological characteristics of 2D titanium carbide (MXene) dispersions: A guide for processing MXenes. ACS Nano 2018, 12, 2685–2694. [Google Scholar] [CrossRef]
- Levitt, A.; Zhang, J.Z.; Dion, G.; Gogotsi, Y.; Razal, J.M. MXene-based fibers, yarns, and fabrics for wearable energy storage devices. Adv. Funct. Mater. 2020, 30, 2000739. [Google Scholar] [CrossRef]
- Usman, K.A.S.; Qin, S.; Henderson, L.C.; Zhang, J.Z.; Hegh, D.Y.; Razal, J.M. Ti3C2Tx MXene: From dispersions to multifunctional architectures for diverse applications. Mater. Horiz. 2021, 8, 2886–2912. [Google Scholar] [CrossRef]
- Orangi, J.; Beidaghi, M. A review of the effects of electrode fabrication and assembly processes on the structure and electrochemical performance of 2D MXenes. Adv. Funct. Mater. 2020, 30, 2005305. [Google Scholar] [CrossRef]
- Yan, Q.Y.; Cheng, Y.; Wang, R.R.; Sun, J. Recent advances in 3D porous MXenes: Structures, properties and applications. J. Phys. D Appl. Phys. 2022, 55, 093001. [Google Scholar] [CrossRef]
- Liu, Y.Y.; Yu, J.X.; Guo, D.F.; Li, Z.J.; Su, Y.J. Ti3C2Tx MXene/graphene nanocomposites: Synthesis and application in electrochemical energy storage. J. Alloy. Compd. 2020, 815, 152403. [Google Scholar] [CrossRef]
- Bo, Z.; Yi, K.X.; Yang, H.C.; Guo, X.Z.; Huang, Z.S.; Zheng, Z.W.; Yan, J.H.; Cen, K.F.; Ostrikov, K. More from less but precise: Industry-relevant pseudocapacitance by atomically-precise mass-loading MnO2 within multifunctional MXene aerogel. J. Power Sources 2021, 492, 229639. [Google Scholar] [CrossRef]
- He, S.Y.; Zhu, Q.Z.; Soomro, R.A.; Xu, B. MXene derivatives for energy storage applications. Sustain. Energ. Fuels 2020, 4, 4988–5004. [Google Scholar] [CrossRef]
- Zhang, C.F.J.; Pinilla, S.; McEyoy, N.; Cullen, C.P.; Anasori, B.; Long, E.; Park, S.H.; Seral-Ascaso, A.; Shmeliov, A.; Krishnan, D.; et al. Oxidation stability of colloidal two-dimensional titanium carbides (MXenes). Chem. Mat. 2017, 29, 4848–4856. [Google Scholar] [CrossRef]
- Wu, X.H.; Wang, Z.Y.; Yu, M.Z.; Xiu, L.Y.; Qiu, J.S. Stabilizing the MXenes by carbon nanoplating for developing hierarchical nanohybrids with efficient lithium storage and hydrogen evolution capability. Adv. Mater. 2017, 29, 1607017. [Google Scholar] [CrossRef] [PubMed]
- Sambyal, P.; Iqbal, A.; Hong, J.; Kim, H.; Kim, M.K.; Hong, S.M.; Han, M.K.; Gogotsi, Y.; Koo, C.M. Ultralight and mechanically robust Ti3C2Tx hybrid aerogel reinforced by carbon nanotubes for electromagnetic interference shielding. ACS Appl. Mater. Interfaces 2019, 11, 38046–38054. [Google Scholar] [CrossRef] [PubMed]
- Ma, H.Y.; Geng, H.Y.; Yao, B.W.; Wu, M.M.; Li, C.; Zhang, M.; Chi, F.Y.; Qu, L.T. Highly ordered graphene solid: An efficient platform for capacitive sodium-ion storage with ultrahigh volumetric capacity and superior rate capability. ACS Nano 2019, 13, 9161–9170. [Google Scholar] [CrossRef] [PubMed]
- Roberts, A.J.; de Namor, A.F.D.; Slade, R.C.T. Low temperature water based electrolytes for MnO2/carbon supercapacitors. Phys. Chem. Chem. Phys. 2013, 15, 3518–3526. [Google Scholar] [CrossRef]
- Xu, J.; Hu, X.H.; Wang, X.H.; Wang, X.; Ju, Y.F.; Ge, S.H.; Lu, X.L.; Ding, J.N.; Yuan, N.Y.; Gogotsi, Y. Low-temperature pseudocapacitive energy storage in Ti3C2Tx MXene. Energy Storage Mater. 2020, 33, 382–389. [Google Scholar] [CrossRef]
- Li, W.Y.; Xu, K.B.; An, L.; Jiang, F.R.; Zhou, X.Y.; Yang, J.M.; Chen, Z.G.; Zou, R.J.; Hu, J.Q. Effect of temperature on the performance of ultrafine MnO2 nanobelt supercapacitors. J. Mater. Chem. A 2014, 2, 1443–1447. [Google Scholar] [CrossRef]
- Ng, C.H.; Lim, H.N.; Hayase, S.; Zainal, Z.; Shafie, S.; Huang, N.M. Effects of temperature on electrochemical properties of bismuth oxide/manganese oxide pseudocapacitor. Ind. Eng. Chem. Res. 2018, 57, 2146–2154. [Google Scholar] [CrossRef]
- Meng, W.J.; Chen, W.; Zhao, L.; Huang, Y.; Zhu, M.S.; Huang, Y.; Fu, Y.Q.; Geng, F.X.; Yu, J.; Chen, X.F.; et al. Porous Fe3O4/carbon composite electrode material prepared from metal-organic framework template and effect of temperature on its capacitance. Nano Energy 2014, 8, 133–140. [Google Scholar] [CrossRef]
- Zhang, Y.Q.; Li, L.; Shi, S.J.; Xiong, Q.Q.; Zhao, X.Y.; Wang, X.L.; Gu, C.D.; Tu, J.P. Synthesis of porous Co3O4 nanoflake array and its temperature behavior as pseudo-capacitor electrode. J. Power Sources 2014, 256, 200–205. [Google Scholar] [CrossRef]
- Kong, J.; Xiong, G.P.; Bo, Z.; Lu, X.C.; Yi, K.X.; Kuang, W.H.; Yang, S.L.; Yang, H.C.; Tian, S.Y.; Yan, J.H.; et al. Well-aligned hierarchical graphene-based electrodes for pseudocapacitors with outstanding low-temperature stability. Chemelectrochem 2019, 6, 2788–2795. [Google Scholar] [CrossRef]
- Gao, X.; Du, X.; Mathis, T.S.; Zhang, M.M.; Wang, X.H.; Shui, J.L.; Gogotsi, Y.; Xu, M. Maximizing ion accessibility in MXene-knotted carbon nanotube composite electrodes for high-rate electrochemical energy storage. Nat. Commun. 2020, 11, 6160. [Google Scholar] [CrossRef] [PubMed]
- Alhabeb, M.; Maleski, K.; Anasori, B.; Lelyukh, P.; Clark, L.; Sin, S.; Gogotsi, Y. Guidelines for synthesis and processing of two-dimensional titanium carbide (Ti3C2Tx MXene). Chem. Mat. 2017, 29, 7633–7644. [Google Scholar] [CrossRef]
- Bo, Z.; Lu, X.C.; Yang, H.C.; Wu, S.H.; Cheng, X.N.; Gong, B.Y.; Huang, Z.S.; Yan, J.H.; Cen, K.F.; Ostrikov, K. Surface-dominant pseudocapacitive supercapacitors with high specific energy and power for energy storage. J. Energy Storage 2021, 42, 103084. [Google Scholar] [CrossRef]
- Fan, Z.M.; Wang, J.F.; Kang, H.; Wang, Y.S.; Xie, Z.M.; Cheng, Z.J.; Liu, Y.Y. A compact MXene film with folded structure for advanced supercapacitor electrode material. ACS Appl. Energ. Mater. 2020, 3, 1811–1820. [Google Scholar] [CrossRef]
- Jiang, Q.; Kurra, N.; Alhabeb, M.; Gogotsi, Y.; Alshareef, H.N. All pseudocapacitive MXene-RuO2 asymmetric supercapacitors. Adv. Energy Mater. 2018, 8, 1703043. [Google Scholar] [CrossRef]
- Zhang, S.L.; Pan, N. Supercapacitors performance evaluation. Adv. Energy Mater. 2015, 5, 1401401. [Google Scholar] [CrossRef] [Green Version]
- Wang, Y.M.; Wang, X.; Li, X.L.; Bai, Y.; Xiao, H.H.; Liu, Y.; Liu, R.; Yuan, G.H. Engineering 3D ion transport channels for flexible MXene films with superior capacitive performance. Adv. Funct. Mater. 2019, 29, 1900326. [Google Scholar] [CrossRef]
- Kong, J.; Yang, H.C.; Guo, X.Z.; Yang, S.L.; Huang, Z.S.; Lu, X.C.; Bo, Z.; Yan, J.H.; Cen, K.F.; Ostrikov, K.K. High-mass-loading porous Ti3C2Tx films for ultrahigh-rate pseudocapacitors. ACS Energy Lett. 2020, 5, 2266–2274. [Google Scholar] [CrossRef]
- Begum, B.; Bilal, S.; Shah, A.U.A.; Rose, P. Physical, chemical, and electrochemical properties of redox-responsive polybenzopyrrole as electrode material for faradaic energy storage. Polymers 2021, 13, 2883. [Google Scholar] [CrossRef]
- Orangi, J.; Tetik, H.; Parandoush, P.; Kayali, E.; Lin, D.; Beidaghi, M. Conductive and highly compressible MXene aerogels with ordered microstructures as high-capacity electrodes for Li-ion capacitors. Mater. Today Adv. 2021, 9, 100135. [Google Scholar] [CrossRef]
- Mu, X.P.; Wang, D.S.; Du, F.; Chen, G.; Wang, C.Z.; Wei, Y.J.; Gogotsi, Y.; Gao, Y.; Dall’Agnese, Y. Revealing the pseudo-intercalation charge storage mechanism of MXenes in acidic electrolyte. Adv. Funct. Mater. 2019, 29, 1902953. [Google Scholar] [CrossRef]
- Xia, Y.; Mathis, T.S.; Zhao, M.Q.; Anasori, B.; Dang, A.; Zhou, Z.H.; Cho, H.; Gogotsi, Y.; Yang, S. Thickness-independent capacitance of vertically aligned liquid-crystalline MXenes. Nature 2018, 557, 409–412. [Google Scholar] [CrossRef]
- Ghidiu, M.; Lukatskaya, M.R.; Zhao, M.Q.; Gogotsi, Y.; Barsoum, M.W. Conductive two-dimensional titanium carbide ‘clay’ with high volumetric capacitance. Nature 2014, 516, 78–81. [Google Scholar] [CrossRef]
- Tian, R.Y.; Park, S.N.; King, P.J.; Cunningham, G.; Coelho, J.; Nicolosi, V.; Coleman, J.N. Quantifying the factors limiting rate performance in battery electrodes. Nat. Commun. 2019, 10, 1933. [Google Scholar] [CrossRef] [Green Version]
- Yue, Y.; Liu, N.; Ma, Y.; Wang, S.; Liu, W.; Luo, C.; Zhang, H.; Cheng, F.; Rao, J.; Hu, X.; et al. Highly self-healable 3D microsupercapacitor with MXene-graphene composite aerogel. ACS Nano 2018, 12, 4224–4232. [Google Scholar] [CrossRef]
- Deng, Y.Q.; Shang, T.X.; Wu, Z.T.; Tao, Y.; Luo, C.; Liang, J.C.; Han, D.L.; Lyu, R.Y.; Qi, C.S.; Lv, W.; et al. Fast gelation of Ti3C2Tx MXene initiated by metal ions. Adv. Mater. 2019, 31, 1902432. [Google Scholar] [CrossRef]
- Lukatskaya, M.R.; Kota, S.; Lin, Z.F.; Zhao, M.Q.; Shpigel, N.; Levi, M.D.; Halim, J.; Taberna, P.L.; Barsoum, M.; Simon, P.; et al. Ultra-high-rate pseudocapacitive energy storage in two-dimensional transition metal carbides. Nat. Energy 2017, 2, 17105. [Google Scholar] [CrossRef]
- Fan, Z.M.; Wang, Y.S.; Xie, Z.M.; Wang, D.L.; Yuan, Y.; Kang, H.J.; Su, B.L.; Cheng, Z.J.; Liu, Y.Y. Modified MXene/holey graphene films for advanced supercapacitor electrodes with superior energy storage. Adv. Sci. 2018, 5, 1800750. [Google Scholar] [CrossRef]
- Wang, K.L.; Zheng, B.C.; Mackinder, M.; Baule, N.; Garratt, E.; Jin, H.; Schuelke, T.; Fan, Q.H. Efficient electrophoretic deposition of MXene/reduced graphene oxide flexible electrodes for all-solid-state supercapacitors. J. Energy Storage 2021, 33, 102070. [Google Scholar] [CrossRef]
- Sun, H.T.; Mei, L.; Liang, J.F.; Zhao, Z.P.; Lee, C.; Fei, H.L.; Ding, M.N.; Lau, J.; Li, M.F.; Wang, C.; et al. Three-dimensional holey-graphene/niobia composite architectures for ultrahigh-rate energy storage. Science 2017, 356, 599–604. [Google Scholar] [CrossRef] [Green Version]
- Li, L.; Zhang, M.Y.; Zhang, X.T.; Zhang, Z.G. New Ti3C2 aerogel as promising negative electrode materials for asymmetric supercapacitors. J. Power Sources 2017, 364, 234–241. [Google Scholar] [CrossRef]
- Li, L.; Zhang, N.; Zhang, M.Y.; Wu, L.; Zhang, X.T.; Zhang, Z.G. Ag-nanoparticle-decorated 2D titanium carbide (MXene) with superior electrochemical performance for supercapacitors. ACS Sustain. Chem. Eng. 2018, 6, 7442–7450. [Google Scholar] [CrossRef]
- Saha, S.; Arole, K.; Radovic, M.; Lutkenhaus, J.L.; Green, M.J. One-step hydrothermal synthesis of porous Ti3C2Tz MXene/rGO gels for supercapacitor applications. Nanoscale 2021, 13, 16543–16553. [Google Scholar] [CrossRef]
- Wang, X.; Li, H.; Li, H.; Lin, S.; Ding, W.; Zhu, X.G.; Sheng, Z.G.; Wang, H.; Zhu, X.B.; Sun, Y.P. 2D/2D 1T-MoS2/Ti3C2 MXene heterostructure with excellent supercapacitor performance. Adv. Funct. Mater. 2020, 30, 0190302. [Google Scholar] [CrossRef]
- Bai, Y.; Liu, C.L.; Chen, T.T.; Li, W.T.; Zheng, S.S.; Pi, Y.C.; Luo, Y.S.; Pang, H. MXene-copper/cobalt hybrids via lewis acidic molten salts etching for high performance symmetric supercapacitors. Angew. Chem.-Int. Edit. 2021, 60, 25318–25322. [Google Scholar] [CrossRef]
- Hu, M.M.; Li, Z.J.; Li, G.X.; Hu, T.; Zhang, C.; Wang, X.H. All-solid-state flexible fiber-based MXene supercapacitors. Adv. Mater. Technol. 2017, 2, 1700143. [Google Scholar] [CrossRef]
- Kang, J.; Atashin, S.; Jayaram, S.H.; Wen, J.Z. Frequency and temperature dependent electrochemical characteristics of carbon-based electrodes made of commercialized activated carbon, graphene and single-walled carbon nanotube. Carbon 2017, 111, 338–349. [Google Scholar] [CrossRef]
- Lin, Z.F.; Taberna, P.L.; Simon, P. Graphene-based supercapacitors using eutectic ionic liquid mixture electrolyte. Electrochim. Acta 2016, 206, 446–451. [Google Scholar] [CrossRef] [Green Version]
- Liu, C.G.; Yu, Z.N.; Neff, D.; Zhamu, A.; Jang, B.Z. Graphene-based supercapacitor with an ultrahigh energy density. Nano Lett. 2010, 10, 4863–4868. [Google Scholar] [CrossRef]
- Xiong, G.P.; He, P.G.; Huang, B.Y.; Chen, T.F.; Bo, Z.; Fisher, T.S. Graphene nanopetal wire supercapacitors with high energy density and thermal durability. Nano Energy 2017, 38, 127–136. [Google Scholar] [CrossRef]
- Vellacheri, R.; Al-Haddad, A.; Zhao, H.P.; Wang, W.X.; Wang, C.L.; Lei, Y. High performance supercapacitor for efficient energy storage under extreme environmental temperatures. Nano Energy 2014, 8, 231–237. [Google Scholar] [CrossRef]






Publisher’s Note: MDPI stays neutral with regard to jurisdictional claims in published maps and institutional affiliations. |
© 2022 by the authors. Licensee MDPI, Basel, Switzerland. This article is an open access article distributed under the terms and conditions of the Creative Commons Attribution (CC BY) license (https://creativecommons.org/licenses/by/4.0/).
Share and Cite
Lu, X.; Yang, H.; Bo, Z.; Gong, B.; Cao, M.; Chen, X.; Wu, E.; Yan, J.; Cen, K.; Ostrikov, K. Aligned Ti3C2TX Aerogel with High Rate Performance, Power Density and Sub-Zero-Temperature Stability. Energies 2022, 15, 1191. https://doi.org/10.3390/en15031191
Lu X, Yang H, Bo Z, Gong B, Cao M, Chen X, Wu E, Yan J, Cen K, Ostrikov K. Aligned Ti3C2TX Aerogel with High Rate Performance, Power Density and Sub-Zero-Temperature Stability. Energies. 2022; 15(3):1191. https://doi.org/10.3390/en15031191
Chicago/Turabian StyleLu, Xinchao, Huachao Yang, Zheng Bo, Biyao Gong, Mengyu Cao, Xia Chen, Erka Wu, Jianhua Yan, Kefa Cen, and Kostya (Ken) Ostrikov. 2022. "Aligned Ti3C2TX Aerogel with High Rate Performance, Power Density and Sub-Zero-Temperature Stability" Energies 15, no. 3: 1191. https://doi.org/10.3390/en15031191
APA StyleLu, X., Yang, H., Bo, Z., Gong, B., Cao, M., Chen, X., Wu, E., Yan, J., Cen, K., & Ostrikov, K. (2022). Aligned Ti3C2TX Aerogel with High Rate Performance, Power Density and Sub-Zero-Temperature Stability. Energies, 15(3), 1191. https://doi.org/10.3390/en15031191
