Study on the Effect of Fracturing Pump Start and Stop on Tubing Fluid-Structure Interaction Vibration in HPHT Wells via MOC
Abstract
1. Introduction
2. Method
- Motion equations of medium:
- Motion equations of tubing:
3. Results
3.1. Calculation Results of Cycle Injection
3.1.1. Calculation Results of Periodic Injection Flow Field Parameters
3.1.2. Calculation Results of Periodic Injection Tubing Parameters
3.2. Calculation Results of Pump Shutdown Operating Parameters
3.2.1. Calculation Results of Flow Field Parameters in Pump Shutdown Condition
3.2.2. Calculation Results of Tubing Parameters in Pump Shutdown Condition
4. Discussion
5. Conclusions
- (1)
- The tubing diameter and pump start pressure are the main factors for the vibration damage under the periodic injection condition. When the diameter increases, the flow field pressure and flow velocity will decrease, and the axial stress will also increase. When the pump begins to operate at a higher pressure, the impact on the flow field increases, as does the axial stress in the tubing.
- (2)
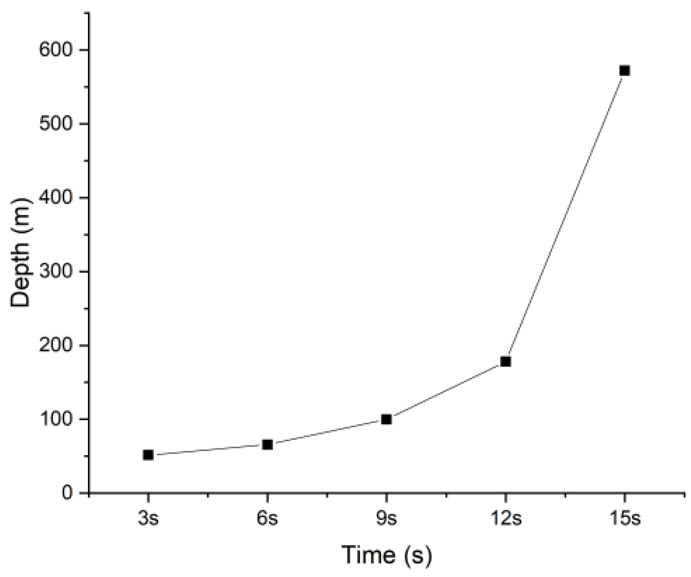
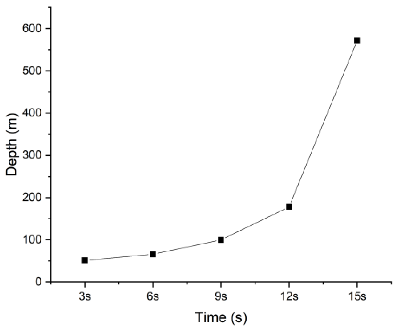
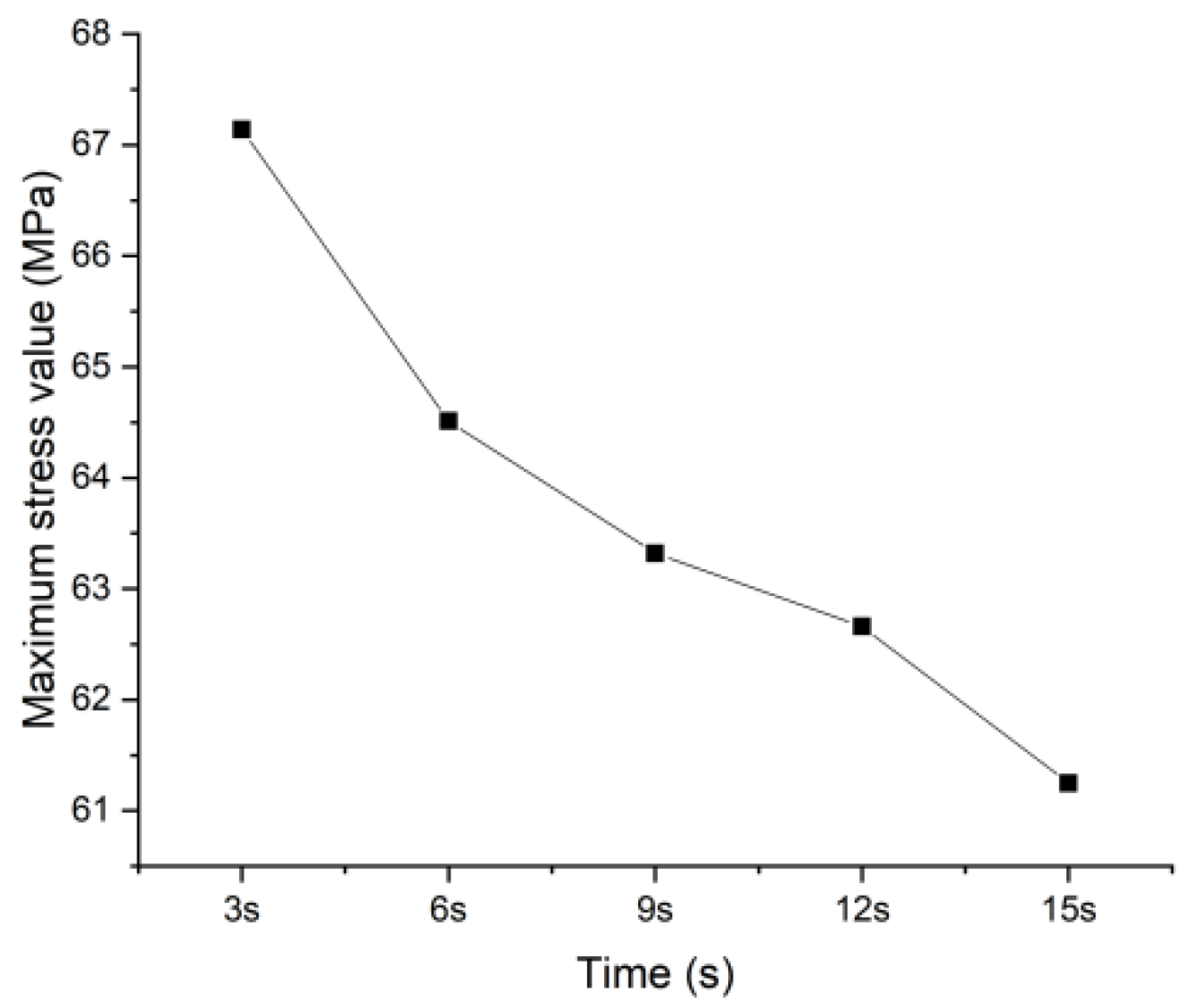
- In addition to resonance, the tubing damage under the pump shutdown condition comes more from the surge of transient load. The pump shutdown time and inside pressure are the main influencing factors. The shorter the shutdown time, the greater the pressure of the flow field in the tubing, and the more rapid the flow velocity fluctuation trend. The axial additional stress caused by it would increase. The higher the inside pressure at operation of shutdown, the more pressure inside the tubing when it is interacted with. As this flow field variation acts on the tubing, the additional axial stress would rise sharply.
- (3)
- The resonance damage of tubing originates from its vibration frequency being close to its inherent one, so combined with the calculation results of tubing vibration parameters, the maximum safe pipeline length under different tubing diameters was obtained by analyzing its inherent frequency distribution regulation. It has excellent practical engineering value and provides a theoretical basis and reference range for the safety selection of tubing groups in actual operation.
Author Contributions
Funding
Data Availability Statement
Conflicts of Interest
References
- Yang, Y.; Fan, J.; Liu, D.; Ma, F. Monitoring and Diagnosis System of Downhole Tubing Leakage. In Modern Management based on Big Data II and Machine Learning and Intelligent Systems III: Proceedings of the MMBD 2021 and MLIS 2021, Online, 8–11 November 2021. Ed.; IOS Press: Amsterdam, The Netherlands, 2021; pp. 676–687. [Google Scholar]
- Wu, S.; Zhang, L.; Fan, J.; Zheng, W.; Zhou, Y. Real-time risk analysis method for diagnosis and warning of offshore downhole drilling incident. J. Loss Prev. Process Ind. 2019, 62, 103933. [Google Scholar] [CrossRef]
- Qian-Bei, Y.; Xiao-Xiao, W.; Yue-Qiu, L.; Wen, C.; Qiang, Z. Failure evaluations for packers in multistage fracturing technology with immobile strings. J. Pet. Sci. Eng. 2021, 206, 109039. [Google Scholar] [CrossRef]
- Zhang, Z.; Wang, J.; Li, Y.; Liu, H.; Meng, W.; Li, L. Research on the influence of production fluctuation of high-production gas well on service security of tubing string. Oil Gas Sci. Technol. 2021, 76, 54. [Google Scholar] [CrossRef]
- Keramat, A.; Fathi-Moghadam, M.; Zanganeh, R.; Rahmanshahi, M.; Tijsseling, A.S.; Jabbari, E. Experimental investigation of transients-induced fluid structure interaction in a pipeline with multiple-axial supports. J. Fluids Struct. 2020, 93, 102848. [Google Scholar] [CrossRef]
- Zeng, Q.; Wang, D.; Zang, F.; Zhang, Y. Vibration attenuation of periodic composite pipeline considering Fluid-structure interaction, Virtual, Online, 2021. Am. Soc. Mech. Eng. 2021, 4, 9. [Google Scholar]
- Sang, Y.; Liu, P.; Wang, X.; Sun, W. Fluid-structure interaction analysis of the return pipeline in the high-pressure and large-flow-rate hydraulic power system. Prog. Comput. Fluid Dyn. 2021, 21, 38–51. [Google Scholar] [CrossRef]
- Sunil Kumar, H.S.; Anand, R.B.; Prabhakara, D.L. Numerical Investigation on Vibration and Stability of Cutting Fluid Delivery Viscoelastic Conduits. Arab. J. Sci. Eng. 2019, 44, 5765–5778. [Google Scholar] [CrossRef]
- Seghir, A. Coupled free vibrations of Fluid-structure interaction system. UPB Scientific Bulletin. Ser. D Mech. Eng. 2020, 83, 45–60. [Google Scholar]
- Lu, H.; Wu, X.; Huang, K. Study on the effect of reciprocating pump pipeline system vibration on oil transportation stations. Energies 2018, 11, 132. [Google Scholar] [CrossRef]
- Guo, X.; Liu, J.; Dai, L.; He, Y.; Huang, L.; Wang, G.; Yu, L. Fatigue investigation of tubing string in high-yield curved wells. J. Nat. Gas Sci. Eng. 2021, 85, 103688. [Google Scholar] [CrossRef]
- Simandjuntak, S.; Lin, B.; Affendy, B.; Akther, F. Combined residual stresses and Fluid-structure interaction finite element analysis on bent pipes. Mater. High Temp. 2021, 38, 351–357. [Google Scholar] [CrossRef]
- Thari, A.; Pasquariello, V.; Aage, N.; Hickel, S. Adaptive reduced-order modeling for non-linear fluidstructure interaction. Comput. Fluids 2021, 229, 105099. [Google Scholar] [CrossRef]
- Moradi, H.; Ranji, A.R.; Haddadpour, H.; Moghadas, H. A hybrid model for simulation of Fluid-structure interaction in water entry problems. Phys. Fluids 2021, 33, 017102. [Google Scholar] [CrossRef]
- Gao, P.; Zhang, Y.; Liu, X.; Yu, T.; Wang, J. Vibration analysis of aero parallel-pipeline systems based on a novel reduced order modeling method. J. Mech. Sci. Technol. 2020, 34, 3137–3146. [Google Scholar] [CrossRef]
- Cho, H. Efficient semi-implicit coupling Fluid-structure interaction analysis via model-order reduction of dynamic grids. Aerosp. Sci. Technol. 2022, 121, 107356. [Google Scholar] [CrossRef]
- Schussnig, R.; Pacheco DR, Q.; Fries, T. Efficient split-step schemes for fluidstructure interaction involving incompressible generalised Newtonian flows. Comput. Struct. 2022, 260, 106718. [Google Scholar] [CrossRef]
- Nikpour, M.R.; Nazemi, A.H.; Dalir, A.H.; Shoja, F.; Varjavand, P. Experimental and Numerical Simulation of Water Hammer. Arab. J. Sci. Eng. 2014, 39, 2669–2675. [Google Scholar] [CrossRef]
- Liu, J.; Guo, X.; Wang, G.; Liu, Q.; Fang, D.; Huang, L.; Mao, L. Bi-nonlinear vibration model of tubing string in oil&gas well and its experimental verification. Appl. Math. Model. 2020, 81, 50–69. [Google Scholar]
- Wu, B.; Zhang, Q.; Li, J.; Ding, L.; Wang, J.; Lian, Z. Study on nonlinear buckling behavior of tubing string in HPHT gas wells. Arab. J. Sci. Eng. 2021, 47, 11439–11451. [Google Scholar] [CrossRef]
- Zhang, Q.; Kong, X.; Huang, Z.; Yu, B.; Meng, G. Fluid-structure-interaction analysis of an aero hydraulic pipe considering friction coupling (october 2018). IEEE Access 2019, 99, 1–13. [Google Scholar] [CrossRef]
- Mao, J.; Lin, M.; Huang, Y.; Hu, X. Double stochastic energetic resonance of underdamped two-scale bistable system. Phys. Scr. 2022, 97, 405208. [Google Scholar] [CrossRef]
- Xu, J.; Mou, Y.; Xue, C.; Ding, L.; Wang, R.; Ma, D. The study on erosion of buckling tubing string in HTHP ultra-deep wells considering fluid–solid coupling. Energy Rep. 2021, 7, 3011–3022. [Google Scholar] [CrossRef]
- Liu, E.; Wang, X.; Zhao, W.; Su, Z.; Chen, Q. Analysis and research on pipeline vibration of a natural gas compressor station and vibration reduction measures. Energy Fuels 2020, 35, 479–492. [Google Scholar] [CrossRef]
- Kandil, M.; Kamal, A.M.; El-Sayed, T.A. Effect of pipematerials on water hammer. Int. J. Press. Vessel. Pip. 2020, 179, 103996. [Google Scholar] [CrossRef]
- Reda, A.; Sultan, I.A.; Shahin, M.A.; McKee, K.K.; Lagat, C. Fitness-for-service analysis for corrosion resistant alloy clad pipeline damaged due to lodged intelligent pig. Int. J. Press. Vessel. Pip. 2022, 198, 104683. [Google Scholar] [CrossRef]
- Li, M.; Liu, J.; He, H.; Su, K.; Guo, X.; Chen, W. Safety and reliability evaluation of casing in ultra-deep well based on uncertainty analysis of extrusion load. Process Saf. Environ. Prot. 2021, 148, 1146–1163. [Google Scholar] [CrossRef]
- Sedmak, A.; Arsić, M.; Šarkoćević, Ž.; Medjo, B.; Rakin, M.; Arsić, D.; Lazić, V. Remaining strength of API J55 steel casing pipes damaged by corrosion. Int. J. Press. Vessel. Pip. 2020, 188, 104230. [Google Scholar] [CrossRef]
- Tang, Y.; Ouyang, L. A Dynamic Simulation Study of Water Hammer for Offshore Injection Wells To Provide Operation Guidelines. SPE Prod. Oper. 2010, 25, 509–523. [Google Scholar]
- Li, Z.; Zhang, C.; Song, G. Research advances and debates on tubular mechanics in oil and gas wells. J. Pet. Sci. Eng. 2017, 151, 194–212. [Google Scholar] [CrossRef]














| Construction Parameters | Value | Model Solving Parameters | Value |
|---|---|---|---|
| Length | 6500 m | Initial pressure | 8 MPa, 8.5 MPa, 9 MPa, 9.5 MPa, 10 MPa |
| Bulk modulus | 2.2 × 109 Pa | Stop the pump time | 3 s, 6 s, 9 s, 12 s, 15 s |
| Initial flow | 0~4 m3/min | Coefficient of friction resistance | 0.0159 |
| Viscosity of liquid motion | 5 × 10−6 Pa·s | Vortex frequency | 0.25 Hz |
| Elasticity modulus | 210 GPa | Space interval | 50 m |
| The tubing density | 7850 kg/m3 | Time step | 0.5 s |
| Poisson ratio | 0.29 | Total steps of time | 500 |
| The liquid density | 1.142 × 103 kg/m3 | Diameter | 2-3/8″ × 4.83 mm 2-7/8″ × 5.51 mm 3-1/2″ × 6.45 mm 4″ × 6.65 mm 4-1/2″ × 6.88 mm |
| 2-3/8″ | 2-7/8″ | 3-1/2″ | 4″ | 4-1/2″ | |
|---|---|---|---|---|---|
| Maximum frequency of flow field (Hz) | 11.67 | 10.54 | 9.587 | 9.129 | 8.721 |
| Critical safety tubing length (m) | 443.204 | 490.721 | 539.501 | 566.567 | 593.074 |
| Different Diameter | 2-3/8″ | 2-7/8″ | 3-1/2″ | 4″ | 4-1/2″ |
| Safety factor | 5.72 | 5.38 | 5.16 | 4.65 | 4.28 |
| Different Finish Time (s) | 3 | 6 | 9 | 12 | 15 |
| Safety factor | 4.91 | 5.08 | 5.16 | 5.21 | 5.24 |
| Different Stress (MPa) | 8 | 9 | 10 | 11 | 12 |
| Safety factor | 6.28 | 5.62 | 5.08 | 4.64 | 4.24 |
Publisher’s Note: MDPI stays neutral with regard to jurisdictional claims in published maps and institutional affiliations. |
© 2022 by the authors. Licensee MDPI, Basel, Switzerland. This article is an open access article distributed under the terms and conditions of the Creative Commons Attribution (CC BY) license (https://creativecommons.org/licenses/by/4.0/).
Share and Cite
Cui, L.; Qiao, F.; Li, M.; Xiao, Y.; Cheng, J. Study on the Effect of Fracturing Pump Start and Stop on Tubing Fluid-Structure Interaction Vibration in HPHT Wells via MOC. Energies 2022, 15, 9291. https://doi.org/10.3390/en15249291
Cui L, Qiao F, Li M, Xiao Y, Cheng J. Study on the Effect of Fracturing Pump Start and Stop on Tubing Fluid-Structure Interaction Vibration in HPHT Wells via MOC. Energies. 2022; 15(24):9291. https://doi.org/10.3390/en15249291
Chicago/Turabian StyleCui, Lu, Fanfan Qiao, Meng Li, Yiming Xiao, and Jiarui Cheng. 2022. "Study on the Effect of Fracturing Pump Start and Stop on Tubing Fluid-Structure Interaction Vibration in HPHT Wells via MOC" Energies 15, no. 24: 9291. https://doi.org/10.3390/en15249291
APA StyleCui, L., Qiao, F., Li, M., Xiao, Y., & Cheng, J. (2022). Study on the Effect of Fracturing Pump Start and Stop on Tubing Fluid-Structure Interaction Vibration in HPHT Wells via MOC. Energies, 15(24), 9291. https://doi.org/10.3390/en15249291

