Abstract
Global warming is one of the major problems in the developing world, and one of the major causes of global warming is the generation of carbon dioxide (CO2) because of the burning of fossil fuels. Burning fossil fuels to meet the energy demand of households and industries is unavoidable. The current commercial and experimental techniques used for capturing and storing CO2 have serious operational and environmental constraints. The amine-based absorption technique for CO2 capture has a low absorption and desorption ratio, and the volatile and corrosive nature of the solvent further complicates the situation. To overcome all of these problems, researchers have used ionic liquids (ILs) and deep eutectic solvents (DESs) as a replacement for commercial amine-based solvents. ILs and deep eutectic solvents are tunable solvents that have a very low vapor pressure, thus making them an ideal medium for CO2 capture. Moreover, most ionic liquids and deep eutectic solvents have low toxicity and can be recycled without a significant loss in their CO2 capture capability. This paper first gives a brief overview of the ILs and DESs used for CO2 capture, followed by the functionalization of ILs to enhance CO2 capture. Moreover, it provides details on the conversion of CO2 into different valuable products using ILs and DESs, along with an economic perspective on using both of these solvents for CO2 capture. Furthermore, it provides insight into the difficulties and drawbacks that are faced by industries when using ILs and DESs.
1. Introduction
Long before the industrial revolution, the temperature of the Earth was controlled by greenhouse gases that naturally occurred, such as water vapor and clouds [1]. Greenhouse gases (GHGs) are transparent to sunlight, but they do not allow the heat radiated from the Earth to escape from the atmosphere and absorb a portion of it, thus keeping the temperature of the Earth uniform [2,3]. However, in the last few decades, the industrialization and burning of fossil fuels have generated anthropogenic GHGs, resulting in an imbalance in the temperature of the Earth, and researchers have coined the term climate change for this phenomenon [4]. The effect of climate change is different for different countries, and it is independent of the amounts of GHGs emitted by a particular country. The countries that are worst hit by climate change have qite small amounts of GHG emissions [5]. The major GHGs include carbon dioxide (75%), fluorinated gases (2%), methane (18%), and nitrous oxide (4%) [6]. Carbon dioxide (CO2) is the major contributor to greenhouse gases because of fossil fuel burning in the transportation, heating, manufacturing, and electricity sectors [7,8]. The Intergovernmental Panel on Climate Change (IPCC) has shown that 79% of CO2 produced from fossil fuels is used for power generation, and the main contributors are coal power plants, with a share of 60% [9,10]. Hence, it is highly necessary to devise an efficient strategy for CO2 removal from waste gases and its utilization for the production of different chemicals [11].
The methods of CO2 capture can be broadly classified into pre-combustion, oxy-combustion, and post-combustion processes [12]. In the process of pre-combustion, the fuel is liquified to generate syngas that contains H2 and CO [13]. In the water–gas shift reaction, syngas is utilized to convert CO into CO2 and to produce H2 gas [14]. CO2 can be captured, and H2 gas can be used for power generation. The fuel that reacts with pure oxygen in oxy-combustion produces a very high concentration of CO2 that is quite suitable for underground CO2 storage [15]. The process of post-combustion CO2 capture is the most widely used technique for CO2 capture because, as compared to the pre-combustion process and oxy-fuel combustion, this process can be easily adapted to existing power plants [16]. The current techniques that are being used for CO2 capture are shown in Figure 1.
Figure 1.
CO2 capture technologies. With permission from Ref. [17]. Copyright 2020, Elsevier.
These techniques include physical and chemical adsorption, absorption cryogenic, and membrane-based techniques [17]. Among the post-combustion techniques, chemical absorption using amines is widely used because amines have high thermal stability and reactivity, which facilitate their high absorption capacity for CO2 [18]. Amine-based adsorption is basically carried out in a tall absorption column, which results in high capital costs. The other disadvantages of the amine process include the corrosion of the absorption column, higher regeneration costs, and the degradation of amines as a result of different impurities in flue gases, such as sulfur dioxide, oxygen, and nitrogen dioxide [19]. The cryogenic process is limited because of the exceptionally high cooling duty needed to capture CO2 [20]. The adsorption process is used in the natural gas industry for CO2 capture based on the difference in affinity among different hydrocarbons. The major limitations of the adsorption process include the low resistance to pressure changes, low adsorption capacity, and higher operating costs, along with the fire hazard in the adsorption process [21]. Membrane-based technologies are also widely used for CO2 capture, but they have major issues related to selectivity, and higher costs are required for the pretreatment of the membrane [22].
From the above discussion, it can be concluded that absorption based on amines is one of the most effective approaches for capturing CO2. However, the major problem in the amine process seems to be the use of the amine-based organic solvent and the regeneration process as a result of the chemical reaction. Thus, based on these conclusions, we need to devise a physical absorption process with some other solvents that could be used for CO2 capture with a huge capacity. In a physical absorption process, we can easily regenerate the solvent. In the past few decades, researchers have used ionic liquids (ILs) and deep eutectic solvents (DESs) for different applications. In this review paper, we provide a detailed discussion regarding CO2 capture and its conversion into useful products using DESs and ILs. A comparison of ILs and DESs with other absorbents is summarized in Table 1.
Table 1.
Comparison of several generations of CO2 absorbents.
2. Ionic Liquids
ILs are molten salts with a melting point lower than 100 °C and behave as a liquid at room temperature [32]. IL properties can be altered by the careful selection of the anion and cation [33,34]. ILs have bulky organic cations with low molecular symmetry and small organic/inorganic anions that are in their molten form in their pure states under ambient conditions [35]. Table 2 gives examples of commonly used cations and anions to synthesize ILs. The strong affinity between anions and cations results in a negligible vapor pressure and nonvolatility at room temperature [36]. ILs are referred to as green solvents [37] due to their characteristics of inflammability, nonvolatility, and recyclability in comparison with organic solvents [38]. The nonvolatile behavior of ILs has been discussed as one of their fundamental properties and is necessary for the efficient capture of CO2, with the benefit of lower energy consumption than other traditional solvents, such as amine scrubbing absorbents [39,40].
Table 2.
Structures of anions and cations commonly used for synthesis of ILs.
Figure 2 shows that the IL-CO2 system’s physical behavior is incredible compared to conventional organic solvents (e.g., n-hexane and toluene). However, the absorption is still relatively low as compared to amines, which requires an increase in CO2 absorption. Figure 2 illustrates conventional solvents’ critical-point phase behavior compared with IL systems. Most of the initial studies on capturing CO2 with ILs were mainly focused on the CO2 phase behavior with various physical (nonfunctionalized) ILs. In addition, different cations and anions were explored for CO2 solubility in ILs [41].
Figure 2.
Comparative analysis of CO2-ILs systems with the VLE physical behavior of CO2 and conventional solvent systems. At moderate pressure, the conventional solvent presents a critical point, while the IL system does not present this critical point. With permission from Ref. [41]. Copyright 2012, American Chemical Society.
Functionalization of ILs for CO2 Capture
To enhance CO2 absorption using ILs, researchers have come up with the functionalization of ILs for CO2 capture, which facilitates the high absorption of CO2 by ILs [42]. It is also reported that both physical and chemical adsorption is involved in the case of functional ILs [43]. A literature study also reveals that two molecules of ILs can absorb one molecule of CO2 due to the chemical interaction following chemical equilibrium for the chemical absorption of CO2 [44]. The functionalization of ILs was performed by introducing the CO2-philic group to the anion/cation side of ILs or by introducing functional groups such as carbonyl, amine, or fluorine, which improves the adsorption affinity of CO2 to ILs [45]. Figure 3 shows the effect of variations in the cation/anion and alkylation on the solubility behavior of CO2.
Figure 3.
(a) Anion effect on the solubility of CO2. CO2 has higher solubility in fluorinated anions in comparison with non-fluorinated anions. (b) Anion fluorination effect on solubility. The solubility of CO2 is enhanced as the anion no. of fluor groups rises. (c) The effect of cations on CO2 solubility is minor. (d) Alkyl chain length on the solubility of CO2. As the length of the alkyl chain increases, the solubility of CO2 also increases. With permission from Ref. [41]. Copyright 2012, American Chemical Society.
Figure 3a,b illustrate that replacing hydrogen atoms with fluorine is a viable method to enhance CO2 solubility [46]. These units can develop a network with CO2 atoms to develop polar C-F bonds [47]. In Figure 3c, we can see that the cation is also one of the major players in CO2 capture, and we can see that the cation [C6H4F9mim] produces the highest solubility for CO2. Similarly, in Figure 3d, it can be observed that the cation chain length also plays a vital role in CO2 capture, and we can see that with the increase in the chain length, CO2 capture is also enhanced [41].
Adding a carbonyl group is considered the most promising approach to enhancing the CO2-selective behavior of ILs [24]. As far as the interaction mechanism is concerned, CO2 completely behaves like a Lewis acid; however, carbon atoms saturated with low electron deficiency interact with the carbonyl group [48]. The interaction between the carbonyl group and CO2 revealed that CO2 could behave simultaneously as a Lewis acid and a Lewis base [49]. According to Muldoon et al., the addition of a butyl ester group to 1-butyl-nicotinic acid butyl ester bis (trifluoromethyl sulfonyl) imide [b2-Nic] [Tf2N] has no significant effect on CO2 solubility in low-pressure conditions. However, due to the interactions between the CO2 molecule and the cation, [b2-Nic] [Tf2N] enabled the better solubility of CO2 at high pressures [50]. Yokozeki et al. reported the solubility of CO2 in 18 distinct ILs. The ILs with [X-COO] were 1-butyl-3-methylimidazolium levulinate [C4MIM] [LEV], 1-butyl-3-methylimidazolium trimethylacetate [C4MIM] [TMA], 1-butyl-3-methylimidazoliumisobutyrate [C4MIM] [IBS], 1-ethyl-3-methylimidazolium acetate [C2MIM] [Ac], 1-butyl-3-methylimidazolium acetate [C4MIM] [Ac], and 1-butyl-3-methylimidazolium prolinate [C4MIM] [PRO], which resulted in strong chemical absorption and the high solubility of CO2 [51].
Incorporating amine functional groups into IL structures also facilitates the chemical reactivity of ILs with CO2 [52]. CO2 is absorbed by amine-functionalized groups by following two paths: one is through carbonate formation, and the other is through carbamate [53]. The rate of CO2 absorption using amines can be boosted by introducing either activators such as piperazine or a small proportion of primary and secondary amines [54]. Yamini’s group synthesized ILs based on an amino acid (aminate) as the anion. They evaluated and tested their capacity for CO2 absorption. All ILs under investigation used the cation butyl methyl imidazolium ([Bmim]). The alginate ([ARG]) anion IL has demonstrated greater CO2 absorption ability among all aminate-ILs examined, followed by lysinate ([LYS]) and histidinate ([HIS]), in terms of mole CO2/mole IL. The order was prolinate [PRO] < alanine [ALA](1N) < valine [VAL](1N) < glycine [GLY](1N) < leucine [LEU](1N) < methionine [MET] (1N) < histidinate [HIS] (3N) < lysinate [LYS](2N) < arginine [ARG] (4N) for CO2 molar absorption in the aminate-ILs investigated (1N). The FTIR spectra of CO2-absorbed aminate-ILs confirm that CO2 chemical absorption occurs through the production of carbamate species. Compared to amine-functionalized cation ILs and non-functionalized ILs, aminate-ILs demonstrated greater CO2 solubility [26].
3. ILs Used for CO2 Capture in the Last Five Years
The area of ILs is continuously expanding, and researchers are working on utilizing different ILs for CO2 capture [55]. Table 3 shows the experimental CO2 solubility in kgmol−1 for the ILs used in the last five years. Benito et al. [56] used the Aspen Plus technique to investigate the CO2 solubility behavior of ILs based on amino acids, carboxylate, and anionic-heterocyclic compounds. The ILs that were examined were 1-butyl-3-methylimidazoliumisobutyrate ([Bmim] [i-but]), trihexyltetradecylphosphonium-2-cyanopyrrole ([P66614] [CNPyr]), 1-butyl-3-methylimidazolium prolinate ([Bmim] [PRO]), and 1-butyl-3-methylimidazolium acetate ([P2228] [CNPyr]. [P2228] [CNPyr] showed excellent CO2 absorption following thermodynamics, particularly at low pressure. The trend for CO2 absorption capacity per mass of IL was as follows: [Bmim] [PRO] < [Bmim] [GLY] < [Bmim] [ibut] < [P66614] [CNPyr] < [Bmim] [acetate] < [P2228] [CNPyr] [56].
Chen et al. [57] used two kinds of amino acid ILs, namely, 1-ethyl-3-methylimidazolium alanine [EMIM] [Ala] and 1-ethyl-3-methylimidazolium glycine [EMIM] [Gly]. They compared them with 1-ethyl-3-methylimidazolium acetate [EMIM] [Ac], which had CO2 solubilities in order of [EMIM] [Ac] < [EMIM] [Ala] < [EMIM] [Gly]. Somsak et al. [58] analyzed the CO2 absorption phenomena in several ILs based on imidazolium-, pyridinium-, and tetraalkylammonium-based polyionic liquids (PILs). The highest CO2 absorption was found in the PIL polyvinyl benzyl trimethylammonium hexafluorophosphate P[[VBTMA] [PF6]], which exhibited an outstanding 77% (w/w) adsorption capacity. Jiang et al. [59] synthesized multi-amino-functionalized ILs and stated that ILs involving longer cationic chains, [TETAH] [Lys], performed better than [DETAH] [Lys]. The solubilities of functionalized ILs also rely on the choice of the anion and cation for the efficient absorption of CO2 [60]. For some series of ILs, particularly ones containing ammonium- and phosphonium-functionalized cations, the influence of anions has been investigated ([DMAPAH] [61], [P2228] [62], [P4442] [63,64], [DETAH] [65], and [P66614] [60]). The top three ILs with functionalized anions and cations obtained CO2 solubilities (mol kg−1) of 10.15, 11.91, and 11.39 for [DETAH] [Gly], [DETAH] [Im], and [DETAH] [Py], respectively. The [DETAH]-based IL has a viscosity of about 1.02–0.54 mPa·s at a temperature of 303.15–333.15 K, whereas, in the case of [P66614]2[Asp], it is 4905 mPa·s [64]. Luo et al. [66] examined the effect of various cations on viscosity and CO2 absorption using 2-hydroxyl pyridium ([2-Op]) as the anion. They reported CO2 solubilities in the order of [P4442OH] < [N4442] < [BMmim] < [P4442] < [Ph-C8eim] < [BMPyr], whereas, for viscosity, the order was [Ph-C8eim] >[BMmim] > [P4442OH] > [P4442] > [N4442] > [BMPyr] [66].
Table 3.
CO2 solubility in ionic liquids.
Table 3.
CO2 solubility in ionic liquids.
| Ionic Liquid | Mw (g mol−1) | T (K) | P (kPa) | CO2 Solubility (mol kg−1) | References |
|---|---|---|---|---|---|
| [EMIM] [Ac] | 170.2 | 313.2 | 100 | 1.65 | [57] |
| [EMIM] [Ala] | 200.26 | 313.2 | 100 | 1.89 | [57] |
| [EMIM] [Gly] | 186.3 | 313.2 | 100 | 2.32 | [57] |
| [TETAH] [Lys] | 266.43 | 313.15 | 100 | 9.72 | [59] |
| [DETAH] [Py] | 171.25 | 313.15 | 100 | 11.91 | [65] |
| [DETAH] [Im] | 171.25 | 313.15 | 100 | 11.39 | [65] |
| [DETAH] [Lys] | 277.39 | 313.15 | 100 | 7.68 | [59] |
| [DETAH] [Gly] | 178.24 | 313.15 | 100 | 10.15 | [65] |
| [DETAH] [Tz] | 172.23 | 313.15 | 100 | 10.1 | [65] |
| [DMAPAH] [2F-PhO] | 214.4 | 303.2 | 100 | 3.12 | [61] |
| [DMAPAH] [3F-PhO] | 21 4.4 | 303.2 | 100 | 3.39 | [61] |
| [DMAPAH] [3,5F-PhO] | 232.3 | 303.2 | 100 | 3.52 | [61] |
| [DMAPAH] [4F-PhO] | 214.4 | 303.2 | 100 | 3.99 | [61] |
| [N1111] [Lys] | 219 | 303 | 100 | 1.84 | [64] |
| [P2228] [6-BrBnIm] | 428.42 | 333.15 | 0–149.9 | 0–2.01 | [62] |
| [P2228] [BnIm] | 349.52 | 298.15 | 0–99.8 | 0–2.78 | [62] |
| [P2228] [2CNPyr] | 323.48 | 295.15 | 0–99.8 | 0–2.84 | [62] |
| [BMIM] [2-Op] | 233.31 | 303.15 | 100 | 4.37 | [66] |
| [BMmim] [2-Op] | 247.34 | 303.15 | 100 | 4.29 | [66] |
| [BMPyr] [2-Op] | 236.36 | 303.15 | 100 | 4.95 | [66] |
| [N4442] [2-Op] | 308.51 | 303.15 | 100 | 4.02 | [66] |
| [P4442OH] [2-Op] | 341.47 | 303.15 | 100 | 2.75 | [66] |
| [P4442] [2-OP] | 325.47 | 303.15 | 100 | 4.3 | [66] |
| [Ph-C8eim] [2-Op] | 379.54 | 293.15 | 100 | 4.45 | [66] |
| [P4442] [DAA] | 331.48 | 293.15 | 10 | 3.78 | [63] |
| [P4442] [Suc] | 329.46 | 293.15 | 10 | 5, 3.4 | [63] |
| [P4442] [Ph-Suc] | 329.47 | 293.15 | 100 | 4.25 | [64] |
| [P4442] [Suc] | 329.46 | 293.15 | 100 | 5.62 | [64] |
| [P4442] [Cy-Suc] | 383.56 | 293.15 | 100 | 5.76 | [64] |
| [P66614] [Beta-Ala] | 572.96 | 303.15 | 100 | 1.74 | [60] |
| [P66614]2[Asp] | 1068.83 | 303.15 | 100 | 1.83 | [60] |
| [P66614] [MA-Tetz] | 582.96 | 303.15 | 100 | 1.94 | [60] |
| [P66614] [Gly] | 558.93 | 303.15 | 100 | 2.15 | [60] |
| [TMGH] [PhO] | 209.29 | 313.15 | 100 | 0.24 | [64] |
| [TMGH] [Im] | 183.26 | 313.15 | 100 | 3.49 | [64] |
| [TMGH] [Pyrr] | 182.27 | 313.15 | 100 | 3.62 | [64] |
| [VBTMA] [Ala] | 294.44 | 298 | 100 | 0.98 | [67] |
| [VBTMA] [Pro] | 320.47 | 298 | 100 | 1.19 | [67] |
| [VBTMA] [Ser] | 310.44 | 298 | 100 | 1.26 | [67] |
With permission from Ref. [64]. Copyright 2020, Elsevier.
4. Conversion of CO2 into Valuable Products Using ILs
The conversion of CO2 into valuable products involves several major steps, such as CO2 diffusion, adsorption, catalytic conversion, product distribution from the catalyst, and finally, the diffusion of the product to the bulk phase for solution separation [52,68]. Both the capture and conversion of CO2 are essential features to achieve high-value products from CO2 [69]. In photochemical, biochemical, and electrochemical reduction methods, ILs facilitate CO2 conversion into quality products. This is the most reliable method for the electrochemical reduction of chemicals and CO2. [70]. Both chemicals and epoxides were used for the conversion of CO2 into linear and cyclic carbonates through cycloaddition reactions. Due to its remarkable ability for electrical energy storage from natural sources such as the sun, product conversion efficiency, and product selectivity, electrochemical CO2 reduction is prevalent [71].
The cycloaddition of CO2 with epoxides for its conversion via ILs is regarded as the most prominent approach toward the model conversion reaction. Peng et al. utilized ILs to facilitate the catalytic cycloaddition of CO2 into epoxides without any involvement of organic solvents, even at 2 MPa and 110 °C [72]. Lkushima’s and Wang’s groups refined the rate of conversion and yield using supercritical CO2 at pressures and temperatures of 8–14 MPa and 100–160 °C, respectively. The advantages of supercritical CO2 comprise the rapid equilibrium and non-usage of organic solvents for the separation of reactants and products [73,74]. However, a lot of efforts have been made for the improvement and design of advanced IL synthesis via polymerization and functionalization [75] or through the use of support methods, such as MOF introduction [76], polymer support, and silica support [77]. Introducing metal elements into ILs by metal doping or immobilization also enhances their selectivity and efficiency in the cycloaddition of CO2 [69,78]. ILs can act as catalysts and as solvents for the cycloaddition of CO2 without involving the supercritical state, immobilization, or metals. Han et al. reported on the selectivity behavior and efficiency of task-specific ILs as solvents and catalysts at a pressure and temperature of 1 bar and 30–60 °C [79]. Many efforts have been made to reduce the viscosity of ILs to make them economical by improving their reaction time [80]. Wang et al. reported on the use of epoxide in propargylic alcohol for the cycloaddition of CO2 to prepare α-alkylidene cyclic carbonate. The reaction was performed at a pressure and temperature of 1 bar and 60 °C, consuming 200 mol% of the IL without involving another solvent [81].
Zhang et al. reported that the superbase-derived PIL 1,8-Diazabicyclo[5.4.0]undec-7-ene acetate [DBU] [Ac] could catalyze carbamate formation from a solution of silica ester, amine, and CO2 in acetonitrile, even at a pressure and temperature of 5 MPa CO2 and 150 °C [82]. Amines based on aromatics showed lower activity than aliphatic amines because of the low PKa values of aromatic amines [82]. This is mainly attributed to the hydrogen-bonding interactions between aniline and the acetate anion of ILs. They require a protonated cation and basic anion to facilitate the efficient and smooth preparation of carbamate. The significant restrictions on using the results of this report were the presence of co-solvents (i.e., acetonitrile) and harsh conditions (such as 5 MPa and 150 °C). The synthesis of carbamate from CO2 catalyzed by ILs could be improved even at low CO2 pressure and mild temperature by designing new tasks for metal-free ILs [69].
In order to obtain C1-C21 hydrocarbons from CO2 hydrogenation, Qadir et al. increased the conditions by raising the temperature to 150 °C and pressure to 6.8 MPa for H2 and 1.7 MPa for CO2 without any involvement of supporting solvents (such as DMSO and H2O) using Ruthenium Iron (RuFe) as a catalyst and 1-butyl-3-methylimidazolium bis[trifluoromethyl)sulfonyl] imide [BMIM] [Tf2N] as a solvent [83]. They used a hydrophobic IL, [BMIM] [Tf2N], involving the same mechanism as that of the IL in Figure 4. Hydrocarbon production via media of non-basic ILs involves two steps: CO2 conversion to CO by the reverse water–gas shift reaction on the surface of RuFe and subsequent chain circulation via Fischer–Tropsch synthesis [83].
Figure 4.
IL cage on RuFe nanocatalysts for CO2 to HCOOH (basic IL) selective hydrogenation using hydrocarbons (via non-basic IL).With Permission from Ref. [83]. Copyright 2018, American Chemical Society.
In light of Qadir’s report, the involvement of the RuFe catalyst at a high temperature and pressure was a necessary condition to produce hydrocarbons. Melo et al. raised the systematic temperature above 150 °C to obtain CH4 in a yield of 69%, maintaining a comparable pressure (4–6 MPa H2 with a total H2/CO2 pressure of 8 MPa) through the involvement of Ru nanoparticles as the catalyst in 1-octyl-3-methyl-imidazolium bis(trifluoromethylsulfonyl) imide [OMIM] [Tf2N]. The enhancement in the concentration of the catalyst and the temperature would also increase the CH4 yield and TON [84].
Deng et al. successfully studied the fascinating combination of the reaction and separation using a system of cesium hydroxide (CsOH)-IL catalysts for the carbonylation of both aromatic and aliphatic amines with CO2 at pressure and temperature of 6 MPa and 170 °C, respectively, to give rise to the formation of urea derivatives [85]. The product could also be recovered again using drying and filtration via the addition of water to the reaction mixture. The high pressure/temperature and the presence of CsOH would necessitate more energy [85]. Jing et al. used 1-butyl-3-methylimidazolium hydroxide [BMIM] [OH] by combining the benefits of ILs with the simplicity of CsOH to avoid the utilization of the relatively expensive and risky CsOH technique. Although the conditions for CO2 conversion were still very tight (170 °C and 5.5 MPa), they expanded the range of amines to include benzylamine, cyclohexylamine, and aliphatic amines [86].
5. Economics of IL-Based CO2 Capture
The cost of CO2 capture using ILs is a challenging aspect of utilizing ILs at an industrial scale to attain the economic commercialization of this technology. However, significant research efforts in the past decades have been made to develop ILs for efficient CO2 capture [87,88]. It was successfully achieved by improving the hydrothermal stability and the CO2 capacity of ILs [89]. However, the overall cost includes the costs of the synthesis of ILs [90], CO2 adsorption and desorption, and the regeneration of ILs [91]. The main problem is the high material costs and solvent requirements for synthesizing ILs. However, these costs are still significantly greater than those for conventional solvents and amine-based solvents [92,93]. Numerous experiments have been carried out to make ILs cost-effective for CO2 capture and conversion [94]. The main benefit of ILs over conventional amine-based solvents during regeneration is their ability to absorb CO2 [67] and other acidic gases, with the advantage of requiring minimum energy compared with conventional solvents based on amines [95,96]. Nevertheless, these systems may not be economically comparable to conventional solvents due to the current high demand for and price of solvents [56,88].
In terms of the techno-economic intentions of ILs in CO2 absorption, Riva et al. proposed an alternative operative cost of 83 USD/t CO2 using 1-ethyl-3-methylimidazolium bis[(trifluoromethyl)sulfonyl]-imide ([Emim] [NTf2]) for post-combustion CO2 capture [97], whereas the cheapest possible cost previously attained by Martinez et al. was 90 USD/t CO2 using 1-ethyl-3-methylimidazolium dicyanamide ([Emim] [DCN]) [98]. García et al. conducted a techno-economic evaluation for ILs such as 1-Hexyl-3-methylimidazolium bis[(trifluoromethyl)-sulfonyl]imide [Hmim] [NTf2]), 1-ethyl-3-methylimidazolium bis (trifluoromethylsulfonyl)imide [Emim] [NTf2], and trihexyl(tetradecyl)phosphoniumbis[(trifluoromethyl)-sulfonyl]imide ([P66614] [NTf2]) for upgrading biogas, employing [Emim] [NTf2] as a cost-effective alternative with a total cost of USD 271 per metric ton of CO2 captured [99]. T. E. Akinola et al. investigated CO2 removal using a solution of MEA and H2O (30/30/40 wt%) with 1-butylpyridinium tetrafluoroborate, [Bpy] [BF4], and found an expected cost (25 USD/t CO2) to obtain a cost-efficient and energy-efficient gas separation technique [21]. This is due to the reduced operating cost of the [Bpy] [BF4]-MEA-based process as a result of the low utility cost [100]. Y. Huang et al. performed a cost analysis for the feasibility of using [Bpy] [BF4]-MEA-based solutions compared to the conventional MEA-based process and achieved a lower cost ranging from USD 70 to USD 60–62.5 per metric ton of CO2 [101]. Shiflett et al. also performed an equilibrium-based simulation for 1-butyl-3-methylimidazolium acetate, [Bmim] [acetate], which showed an affinity toward CO2 with a total cost of about 140 USD/t CO2 [102].
One of the core issues that stands in the way of commercialisation is the high cost of ILs. However, in one of the recent modelling and simulation studies on the ILs production process shows that ILs can be produced at lower cost ($1.24 kg−1), which is in comparison with most of the organic solvents such as acetone or ethyl acetate with a cost of $1.30–$1.40 kg−1 [103]. Similarly, in another study, the extraction of aromatic hydrocarbon from aliphatic hydrocarbon with 4-methyl-N-butylpyridinium tetrafluoroborate was modelled using ASPEN resulting in a positive margin of about €20 million per year [104]. These results indicate that ILs are not necessarily expensive, and therefore large-scale ILs-based processes can become a commercial reality provided that some industry is ready to take up the project.
6. Difficulties and Drawbacks of Using ILs to Capture CO2
ILs have been developed as potential sorbents for carbon capture and conversion operations. Despite the many advancements in ILs for carbon capture, there is still a need for significant advancements in ILs for the carbon capture and utilization (CCU) process [11]. To begin with, the majority of ILs used in the mature binding process are pyridine- or imidazole-based, which exhibits biological toxicity [105,106]. ILs disintegrate near the normal boiling point, and therefore, it is difficult to determine their critical properties. As a result, effective techniques for obtaining the essential properties of ILs must be developed [107].
One of the primary problems in CO2 capture using ILs is their high viscosity, which leads to a decrease in CO2 solubility in ILs. There are several approaches to this problem that need to be thoroughly explored and investigated. One approach is to use a combination of water and amines with ILs, for which the best composition and process conditions must be found [108]. The cost of ILs used for CO2 capture is another drawback. In comparison to amines, ILs used in CO2 capture processes are more expensive than conventional solvents. Although the cost of ILs on a large scale (less than USD 40/kg) can be substantially lower than the present lab-scale pricing (about USD 1000/kg), they are still 10–20 times more expensive than conventional solvents [107].
Researchers must develop easy and cost-effective synthesis methods for CO2 capture using ILs as target solvents. To employ ILs as an absorption method on a wide scale, the right system design and operating conditions must be chosen [109]. Large-scale applications are one of the main problems with IL-based membranes. Lab-scale experiments are carried out by changing a single parameter (such as time) under ideal conditions. However, under actual conditions, the parameters vary at the same time, making the procedure extremely complicated [110]. For example, when technology is used to extract CO2 from industrial exhaust gases, the conditions are vastly different from those seen in lab-scale research. This includes the flue gas composition, which contains SO2, H2O, N2, CO2, and O2 and may contain ash, NOx, CO, and other tiny particles. Another difficulty with flue gas streams is pressure loss. The loss of ILs from the surface of the membrane owing to dispersion, evaporation, and displacement causes the membrane to perform poorly [111].
Supported ionic liquid membranes (SILMs) have been developed to effectively separate CO2 from various gas mixtures, particularly N2 and CH4. However, the stabilization of ILs on the membrane support, the degradation of membranes, and variation in membrane thickness are still the main challenges to obtaining better gas permeability and selectivity in real operating conditions [52]. However, research on process evaluations of CO2 capture mediated by ILs is still limited to date, and more experimentally based and theoretical simulation techniques are encouraged to drive progress in IL-based technologies. The major difficulties in developing a proper CO2 absorption system using ILs on an industrial scale are the high viscosity, availability, cost, compatibility, and purity of ILs [112].
7. Deep Eutectic Solvents
DESs are another class of task-specific solvents and are produced by combining a hydrogen-bond donor (HBD) and a hydrogen-bond acceptor (HBA) at a suitable molar ratio [113]. In most DESs, a quaternary ammonium halide, such as choline chloride (ChCl), is used as a hydrogen-bond donor. Figure 5 shows the synthesis of common DESs formed by combining ChCl with urea obtained from the amalgamation of a hydrogen-bond donor and acceptor. In contrast to ILs, they are not entirely composed of ions. Therefore, they have a low boiling point compared to the parent components [114]. They are nontoxic and non-flammable, and they have negligible vapor pressure and high thermal stability. In addition, they can be made from natural components and easily purified, thus ensuring biodegradability and significantly lower cost [115]. The structures of some common DESs with their names are shown in Table 4.
Figure 5.
Synthesis mechanism of ChCl with urea to form DESs.
Table 4.
Common structures of halide salts and hydrogen bonds used for DES synthesis.
CO2 solubility in DESs is associated with factors such as temperature, pressure, alkyl chain length, and the molar ratio of hydrogen-bond donors [116]. It has been reported that the CO2 separation performance of DESs increases with a decrease in temperature and pressure [117]. The negative effect of CO2 separation is also associated with the humidity ratio in DESs. Water acts as an antisolvent on the solubility behavior of DESs [118]. The solubility behavior of CO2 in DESs is associated with a molar ratio of hydrogen-bond donors of 1:2 to attain maximum CO2 solubility [117].
Functionalization of DESs for CO2 Capture
Regarding the chemical absorption of CO2, amine functionalization in DESs has drawn a lot of interest. During amine functionalization, two equivalents of amines can react with one equivalent of CO2 to form one equivalent of carbamate under anhydrous conditions. The most widely used solution for the industrial absorption of CO2 is MEA. However, losses such as solvent degradation, equipment corrosion, and evaporation are also associated with MEA solutions, which limits their use for various applications [119]. Mukesh et al. [120] synthesized low-viscosity polyamine-based DESs to achieve high sorption efficiency with the advantage of low solvent losses. Their results revealed that the sorption of CO2 using tetraethylenepentamine-based DESs was more stable as compared to mono ethylene amines at a temperature of 80 °C. Characteristics such as low viscosity, low solvent loss, and a high gas sorption rate not only promote CO2 capture but also make them promising candidates as replacements for conventional amine-based technology [120].
Adeyemi et al. [121] used three ethanolamine-based DESs for CO2 absorption in different molar ratios of 1:6, 1:8, and 1:10. They used monoethanolamine, diethanolamine, and methyl diethanolamine as primary, secondary, and tertiary amines as HBDs. The results revealed that the synthesized DESs showed high absorption capacity as compared to aqueous amine solutions (30 wt.%). Sarmad et al. [122] synthesized five new DESs via the functionalization of choline chloride–ethanolamine in a ratio of 1:7 (mol:mol) using diethanolamine, methyl diethanolamine, piperazine, and 1-(2-aminoethyl)piperazine. The solubility of CO2 in the DES was measured at a temperature of 298.15 K and pressures up to 2 MPa. The results of the study revealed that the amines enhanced the absorption capacity of choline chloride–ethanolamine (1:7) in the order of piperazine > N-aminoethylpiperazine > N-methyldiethanolamine > N-diethanolamine [122]. Haider et al. [123] compared CO2 absorption in amine-based DESs with glycol. The amine-based solvents showed higher CO2 absorption as compared to glycol-based solvents. The highest absorption capacity was obtained for a tetra butyl ammonium bromide and methyldiethanol amine system, with 0.29 mol CO2/mol DES at 1 MPa and 303.15 K [123]. In one of the studies by Zhang et al., they used BmimCl with MEA as a DES. It was found that they have exceptionally high CO2 uptake as compared to ChCl with MEA-based DESs [124]. Choi et al. [118] studied the formation of dual amino-functionalized DESs by reacting mono ethanol amine (MEA) with hydrochloric acid (HCL), followed by mixing with ethylene diamine (EDA). However, the higher viscosity hinders CO2 uptake, which was reduced by mixing the DESs in ethylene glycol, which enhances the absorption and desorption process [118].
Yang et al. [125] have also synthesized azole-based DESs, in which solid azole-based ILs and ethylene glycol were used. However, it was found that CO2 does not interact directly with azolide, and it interacts with EG to form carbonate. Desorption takes places under a nitrogen atmosphere at 343.15 K [44,126]. In one of the other studies by Gurkan et al. [127], a low-viscosity and thermally stable DES was prepared from 1-ethyl-3-methylimidazolium 2-cyanopyrolide [Emim] [2-CNpyr] with ethylene glycol. This DES captures CO2 via different routes, such as the complexation of CO2 with the anion, the formation of carboxylate via the deprotonation of the cation by the anion to form carbene zwitterion, the protonation of the anion by ethylene glycol (EG) to form carbonate, and the formation of bicarbonate in the presence of water [127].
In one of the other functionalization strategies for DESs, superbases were combined with organic compounds with alcohol functionalization [128,129]. This in turn created ternary DESs, in which choline chloride and ethylene glycol were combined with different bases, such as 1,8-Diazabicyclo [5.4.0] undec-7-ene (DBU), 1,5-Diazabicyclo [4.3.0]non-5-ene (DBN), 7-Methyl-1,5,7-triazabicyclo[4.4.0]dec-5-ene (MTBD), and triazabicyclodecene (1,5,7-triazabicyclo[4.4.0]dec-5-ene (TBD). It was found that these ternary DESs chemically absorb CO2 and form carbonate with a significant increase in viscosity, thus limiting the mass transfer. However, the absorbed CO2 was easily released at 333.15 K in 35 min [130]. One of the other studies by Zhang et al. used DBN as a superbase with ethylurea (EU), 1,3-dimethylurea, and dimethylurea to form a low-viscosity DES with a viscosity lower than 12 mPa-s. The absorption rate initially increased with an increase in temperature from 298.15 K to 318.15 K, followed by a decrease in absorption from a temperature of 318.15 K to 338.15 K. Desorption was carried out at 353.15 and was in the range of 86–87% [131,132].
Zeng et al. prepared DESs from superbase ILs and combined them with ethylene glycol. The ILs used were based on the 1,8-diazabicyclo-[5.4.0]-undec-7-ene 2,2,3,3,4,4,5 [HDBU] cation, and three different anions were used: were imidazole [Im], indium [Ind], and triazole [Triz]. The highest CO2 capture was found in DESs with the imidazolium anion, which has the highest basicity, followed by [Ind] and [Triz]. The viscosity of the DESs increased after the absorption of CO2. CO2 desorption took place at 343.15 K with nitrogen purging [133].
8. DESs Used for CO2 Capture in the Last Five Years
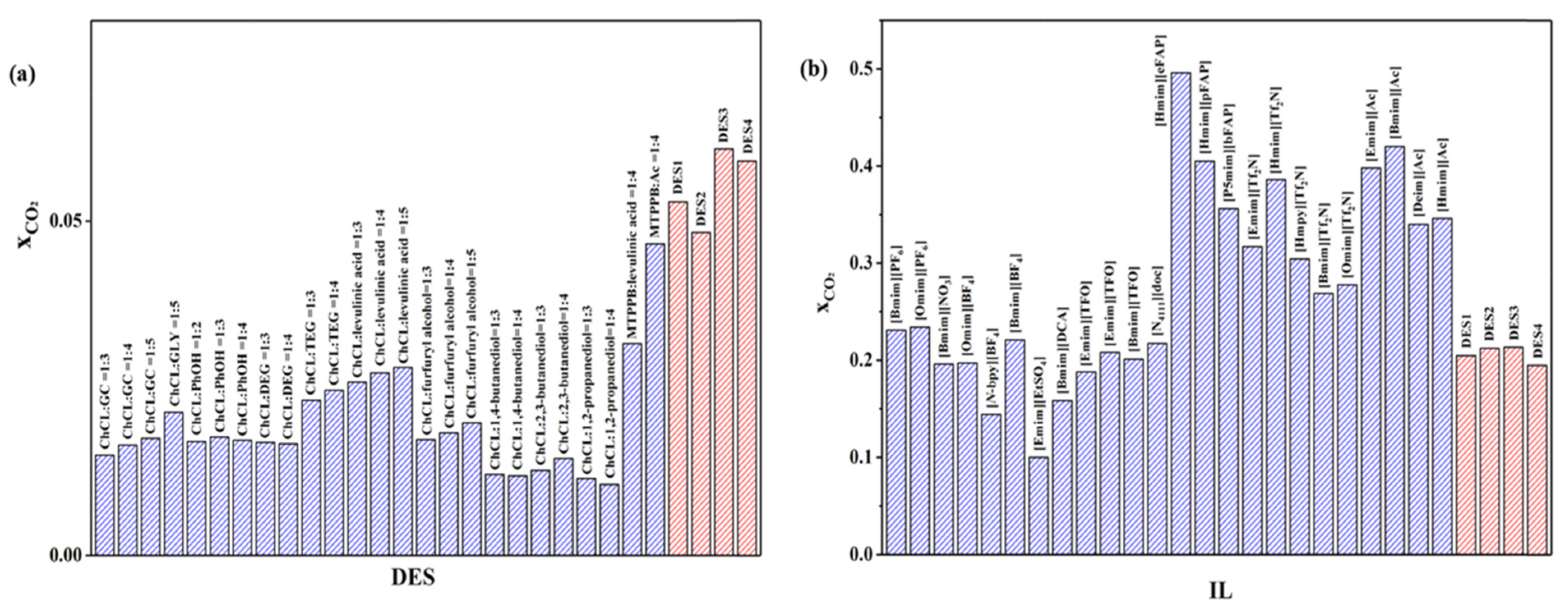
Table 5 lists DESs that have undergone CO2 capture testing since 2017, along with their related CO2 solubilities (in mol/kg). The composition and mole ratios of the HBD substituents with HBAs are mainly responsible for the CO2 solubility in DESs [134]. Abbott et al. combined ChCl and urea in a 1:2 molar ratio to create the first DESs [135]. Li et al. were the first to carry out an investigation on the potential of DESs for a CO2 capture system utilizing eutectic mixtures of ChCl and urea in varied molar ratios of 1:1.5, 1:2, and 1:2.5 at various temperatures and pressures. At a temperature and feed pressure of 313.15 °C and 12 MPa, respectively, the highest CO2 solubilities were found to be 0.201, 0.303, and 0.203. Their research demonstrated that variations in the molar ratio of the HBA to HBD affect CO2 solubility in DESs [136].
Leron et al. investigated the CO2 solubility behavior in different combinations of ChCl with glycerol, urea, and ethylene glycol. They found that the nature of the HBD plays a significant role in the CO2 solubility behavior in DESs [137]. Sarmad et al. [125] synthesized DESs based on phosphonium or ammonium salts networked with different HBDs. The rate of CO2 solubilities for DESs was measured at a pressure and temperature of 2 MPa and 298.15 K, respectively. In addition, viscosities were measured in the range of 293.15 to 333.15 K. Both the viscosities and CO2 solubilities in synthesized DESs were compared to those in ILs. These synthesized DESs’ viscosities and CO2 solubilities were compared to those of traditional ILs. Fifteen samples of these synthesized DESs were considered potential prospects because of their lower viscosities (below 200 mPas at 298.15 K) and CO2 solubilities (>1 mol/kg DESs at a pressure of 2 MPa) compared to those of standard ILs. Vinyl acetate (v-AC), Tetraethylammonium chloride acetate (TEAC-AC), chlorine chloride ethyl acetate (ChCl-EA), benzyl trimethylammonium acetate (BTMA-AC), benzyltriethylammonium acetate (BTEA-AC), Methyltriphenylphosphonium-levulinic acetate (MTPP-LV-AC), Methyltriphenylphosphonium acetate (MTPP-AC), tetrabutylammonium bromide-ethyl acetate (TBAB-EA), tetrabutylammonium-chloride acetate (TBAC-AC), tetrabutylammonium-bromide acetate (TBAB-AC), tetramethylammonium-chloride acetate (TMAC-AC), tetrapropylammonium chloride-ethyl acetate (TPAC-EA), tetraethylammonium-chloride octyl (TEAC-OCT), tetrapropylammonium-chloride acetate (TPAC-AC), and guanidinium-ethyl acetate (Gua-EA) were among the promising DESs included [125,138].
Figure 6 compares CO2 solubility in DESs with that in ILs from the literature. DESs based on phosphonium salt gain high CO2 solubility as compared with DESs based on ChCl under the specified conditions. It can be seen in Figure 6 that, at 1500 kPa and 313.15 K, DESs show a good solubility for CO2 of about 0.1950–0.2134 as compared to 1-Ethyl-3-methylimidazolium ethyl sulfate [Emim] [EtSO4], N-butylpyridinium tetrafluoroborate [N-bpy]-[BF4], and 1-butyl-3-methylimidazolium dicyanamide [Bmim] [DCA], with CO2 solubilities of 0.1000, 0.1582, and 0.1440, respectively, and CO2 shows good solubility in ILs based on imidazolium with anions of hexafluorophosphate [PF6]−, tetrafluoroborate [BF4]−, trifluoromethanesulfonate [TFO]−, and nitrate [NO3]− in the range of 0.1960–0.2340 [139].
Figure 6.
Comparison of CO2 solubility in (a) DESs at around 500 kPa and (b) ILs at around 1500 kPa at 313.15 K. Ref. [139]. Copyright 2019, American Chemical Society.
The separation of CO2 is significantly impacted by the insertion of subbases in DESs [140]. To date, a number of innovative superbase-based DESs have been studied. According to Wang et al. [141], DESs generated from superbase ionic liquids (ILs) and ethylene glycol (EG) containing biophenol have a high CO2 capture affinity of up to 1.0 mol CO2/mol DESs, which is higher than that of the parent ILs. Superbase-based DESs/ILs were created by Wang et al. [142] using DESs/ILs and superbase mixtures. The involvement of the superbase in CO2 capture, which enables the removal of acidic hydrogens from the imidazolium cation ring in ILs and improves the affinity for CO2, is a key finding in this study. Numerous studies have also shown that DESs/ILs can benefit from adding superbases or main groups [142]. Numerous studies have shown that improving DES/IL systems with superbases or primary groups improves CO2 absorption [108]. In the CO2 separation process, it is crucial to keep in mind that adding any superbases or primary groups will always raise the viscosity, which is unfavorable for absorption and increases energy consumption [143].
Table 5 shows that TBD-based DESs have superior CO2 affinity compared to DBU-based DESs. At 298.15 K and 100 kPa, TBD-EG (1:4) exhibits a rather high absorption capacity of up to 12.9 mol kg-1. Additionally, the DBN-EU CO2 molarity absorption increased as the DBN ratio dropped, demonstrating the importance of the molar ratio in CO2 absorption. DBN also has the benefit of having relatively little steric restriction around the structure of the imine, which makes it a perfect super-foundation for creating DESs [144].
Table 5.
CO2 solubility in various DESs.
Table 5.
CO2 solubility in various DESs.
| HBD | Salt | Molar Ratio | Solubility | Pressure (MPa) | Temperature (K) | References |
|---|---|---|---|---|---|---|
| 1,4-Butanediol | ChCl | 1:3 | 0.1624/mol·kg−1 | 0.5097 | 293.15 | [145] |
| 1,4-Butanediol | ChCl | 1:4 | 0.1560/mol.kg−1 | 0.5134 | 293.15 | [145] |
| 2,3-Butanediol | ChCl | 1:3 | 0.1501/mol.kg−1 | 0.5113 | 293.15 | [145] |
| 2,3-Butanediol | ChCl | 1:4 | 0.1915/mol.kg−1 | 0.5085 | 293.15 | [145] |
| 1,2-Butanediol | ChCl | 1:3 | 0.1827/mol.kg−1 | 0.5145 | 293.15 | [145] |
| 1,2-Butanediol | ChCl | 1:4 | 0.1884/mol.kg−1 | 0.5015 | 293.15 | [145] |
| Levulinic acid | ChCl | 1:3 | 0.2549/mol.kg−1 | 0.57 | 303.15 | [146] |
| Levulinic acid | ChCl | 1:4 | 0.2700/mol.kg−1 | 0.5749 | 303.15 | [146] |
| Levulinic acid | ChCl | 1:5 | 0.2869/mol.kg−1 | 0.5667 | 303.15 | [146] |
| Furfuryl alcohol | ChCl | 1:3 | 0.1856/mol.kg−1 | 0.5828 | 303.15 | [146] |
| Furfuryl alcohol | ChCl | 1:4 | 0.2196/mol.kg−1 | 0.5815 | 303.15 | [146] |
| Furfuryl alcohol | ChCl | 1:5 | 0.2276/mol.kg−1 | 0.5774 | 303.15 | [146] |
| Ethylene glycol | ChCl | 1:2 | 3.1265/mol.kg−1 | 5.863 | 303.15 | [137] |
| Phenol | ChCl | 1:2 | 0.1945/mol.kg−1 | 0.4945 | 293.15 | [147] |
| Phenol | ChCl | 1:3 | 0.2052/mol.kg−1 | 0.5085 | 293.15 | [147] |
| Phenol | ChCl | 1:4 | 0.2108/mol.kg−1 | 0.5092 | 293.15 | [147] |
| Diethylene glycol | ChCl | 1:3 | 0.1687/mol.kg−1 | 0.5129 | 293.15 | [147] |
| Diethylene glycol | ChCl | 1:4 | 0.1852/mol.kg−1 | 0.5088 | 293.15 | [147] |
| Triethylene glycol | ChCl | 1:3 | 0.1909/mol.kg−1 | 0.504 | 293.15 | [147] |
| Triethylene glycol | ChCl | 1:4 | 0.1941/mol.kg−1 | 0.5135 | 293.15 | [147] |
| Urea | ChCl | 1:2 | 3.5592/mol.kg−1 | 5.654 | 303.15 | [148] |
| Glycerol | ChCl | 1:2 | 3.6929/mol.kg−1 | 5.863 | 303.15 | [137,148] |
| Urea | ChCl | 1:1.5 | 0.2010/mol.kg−1 | 11.84 | 313.15 | [136] |
| Urea | ChCl | 1:2 | 0.3090/mol.kg−1 | 12.5 | 313.15 | [136] |
| Urea | ChCl | 1:2.5 | 0.2030/mol.kg−1 | 12.45 | 313.15 | [136] |
| Triethylene glycol | ChCl | 1:4 | 0.0419/mol.kg−1 | 1 | 298.15 | [149] |
| Ethylene glycol | ChCl | 1:4 | 0.0230/mol.kg−1 | 1 | 298.15 | [149] |
| Ethylene glycol | ChCl | 1:8 | 0.0262/mol.kg−1 | 1 | 298.15 | [149] |
| Urea | ChCl | 1:4 | 0.0240/mol.kg−1 | 1 | 298.15 | [149] |
| Urea | ChCl | 1:2:5 | 0.0211/mol.kg−1 | 1 | 298.15 | [149] |
| Glycerol | ChCl | 1:3 | 0.0454/mol.kg−1 | 1 | 298.15 | [149] |
| Glycerol | ChCl | 1:8 | 0.0306/mol.kg−1 | 1 | 298.15 | [149] |
| Ethanol amine | ChCl | 1:6 | 0.1096/mol.kg−1 | 1 | 298.15 | [149] |
| Diethanol amine | ChCl | 1:6 | 0.0925/mol.kg−1 | 1 | 298.15 | [149] |
| Glycerol | ChCl | 1:12 | 0.0511/mol.kg−1 | 1 | 298.15 | [149] |
| Ethylene glycol | BTPPC | 1:12 | 0.0503/mol.kg−1 | 1 | 298.15 | [149] |
| Ethanol amine | BTPPB | 1:6 | 0.1441/mol.kg−1 | 1 | 298.15 | [149] |
| Ethanol amine | MTPPB | 1:7 | 0.1254/mol.kg−1 | 1 | 298.15 | [149] |
| Ethanol amine | MTPPB | 1:8 | 0.1189/mol.kg−1 | 1 | 298.15 | [149] |
| Ethanol amine | MTPPB | 1:6 | 0.1168/mol.kg−1 | 1 | 298.15 | [149] |
| Diethanol amine | TBAB | 1:6 | 0.1036/mol.kg−1 | 1 | 298.15 | [149] |
| Triethanol amine | TBAB | 1:3 | 0.0830/mol.kg−1 | 1 | 298.15 | [149] |
| Lactic acid | TMACl | 1:02 | 0.0588/mol.kg−1 | 1.992 | 308.15 | [150] |
| Lactic acid | TEACl | 1:02 | 0.0725/mol.kg−1 | 1.993 | 308.15 | [150] |
| Lactic acid | TBACl | 1:02 | 0.1272/mol.kg−1 | 1.992 | 308.15 | [150] |
| Glycerol + DBN | ChCl | 1:02:06 CH-Cl: gly:DBN | 2.3−2.4 mol.kg−1 | Ambient | [130] | |
| Urea | ChCl | 1:2 | 3.559 mol.kg−1 | 6 | 303.15 | [148] |
| Ethylene glycol | ChCl | 1:02 | 3.1265 mol.kg−1 | 5.863 | 303.15 | [137] |
| Ethanolamine | ChCl | 1:06 | 0.0749 mol.kg−1 | 1 | 298 | [149] |
| Ethanolamine | MTPP_Br | 0.0716 mol.kg−1 | 1 | 298 | [149] | |
| Ethanolamine | TBA_Br | 0.0591 mol.kg−1 | 1 | 298 | [149] | |
| Triethylene glycol | ChCl | 4:01 | 0.1941 mol.kg−1 | 0.5 | 293 | [147] |
| Phenol | ChCl | 4:01 | 0.2108 mol.kg−1 | 0.5 | 293 | [147] |
| Diethylene glycol | ChCl | 4:01 | 0.1852 mol.kg−1 | 0.5 | 293 | [147] |
With permission from Ref. [151] (Copyright 2015, American Chemical Society) and from Ref. [24] (Copyright 2017, John Wiley & Sons, Inc.).
9. Conversion of CO2 into Valuable Products Using DESs
The study of DESs is a significant research field with many applications, such as liquid extraction and CO2 capture. In the last several decades, different researchers have applied several types of DESs for CO2 capture, and their details are described in the following paragraphs.
The chemical fixation of CO2 into cyclic carbonates has received significant attention because of its extensive application as an electrolyte for lithium-ion batteries [152], polar aprotic solubilizers [153], iso-cyanate-free synthetic polyurethane [154], and synthetic intermediates [155]. DESs are regarded as one of the most prominent candidates with great potential for the catalytic conversion of CO2 [156], with advantages including their easy synthesis [157], availability [158], and outstanding catalytic activity. Cheng et al. [159] used catalysis for the conversion of CO2 with chlorine chloride (ChCl) and ZnBr2 into cyclic carbonates, which showed good agreement for CO2 conversion. Liu et al. [160] revealed that the use of DESs based on phosphonium improves the efficiency in catalyzing CO2 conversion into various cyclic carbonates, which promotes the activation of CO2 and epoxides simultaneously. Furthermore, DESs modified by using heterogeneous lignin catalysts can be utilized for the cycloaddition of CO2 and epoxides, with the advantage of attaining various cyclic carbonates at 1 MPa and 110 °C [161]. The above findings revealed that DESs are the most prominent candidates to be catalyzed for the cycloaddition of epoxides and CO2. However, the CO2 fixation catalyzed by DESs in cyclic carbonates under mild conditions is still underdeveloped.
The electro-enzymatic conversion of CO2 is regarded as a magical approach toward the utilization of CO2 with low efficiency in terms of its low conversion rate [162]. The conversion of CO2 into valuable products such as fuels [163] or chemicals [164] is an effective strategy for reducing greenhouse effects and facilitating resource recycling to achieve sustainability in energy development [165]. To date, many efforts have been made to synthesize methanol from CO2 using electrochemical, photochemical, and enzyme conversion methods [152].
However, the inertness of CO2 [166] and high thermal stability [167] are factors that have made the conversion of CO2 very challenging, along with the disadvantages of low selectivity, low efficiency, and high energy demand [168]. However, the enzymatic conversion of CO2 is a promising approach, with the advantages of high selectivity and high efficiency, along with environmental friendliness, even under mild conditions [169]. The chronological enzymatic conversion of CO2 to methanol follows the pathway of CO2 → formic acid → formaldehyde → methanol, which can be favored by formaldehyde dehydrogenase, alcohol dehydrogenase, and formate dehydrogenase [170]. However, developing advanced electrolytes is a promising approach that can significantly improve the reaction efficiency by dissolving CO2 via the transfer of electrons and the adsorption of CO2 [171]. DESs are regarded as magical solvents that offer characteristics such as high conductivity [172], low vapor pressure [173], an inclusive electrochemical gate [174], biocatalysis, electrocatalysis [175,176], and energy storage [174], with the advantages of easy synthesis and high affinity for CO2 capture [132], which may increase enzyme activity during biocatalysis [162]. The DESs created by Zeng et al. demonstrated strong CO2 affinity with an adsorption capacity of up to 0.141 g-CO2/g-DESs [171]. Copper selenide catalysts for the electroreduction of CO2 to methanol were created by Yang et al. The current density reaches 41.5 mA/cm2 with a Faradaic efficiency of 77.6% when supported by IL-based electrolytes. With their superior biocompatibility, natural deep eutectic solvents (NDESs) can significantly boost the yield by up to 181% [177,178]. In order to increase the electro-enzymatic conversion of glutamate to histidine, Zhang et al. produced four different NADESs, including glutamate glycerol (GluGly), [179], serine glycerol (SerGly) [180], arginine glycerol (ArgGly) [181], and histidine glycerol (HisGly) [182]. They employed them as co-electrolytes in the electro-enzymatic conversion of CO2 and found that they have favorable biocompatibility. When these NADESs were tested in an enzymatic reaction, SerGly demonstrated the highest enzyme activity levels. Therefore, further research was conducted on the SerGly-based solution for the electro-enzymatic conversion of CO2. It was discovered that the SerGly-based solution’s CO2 solubility is 11 times greater than that of the traditional buffer, which helps to improve the enzymatic CO2 conversion [162]. All of these studies demonstrated that using an electrolyte based on DESs effectively increases CO2 conversion during electro-enzymatic catalysis.
10. Economics of DES-Based CO2 Capture
The economic cost of DESs is essential for its implementation in an industrial process [183]. Compared with conventional solvents for capturing CO2, DESs have numerous economical features, such as lower material costs [149], easy synthesis [116], no generation of by-products [161], low viscosity [184], nontoxicity [185], biodegradability [161], and environmental friendliness [186]. In addition, DESs show ionic and molecular solvent features that are not present in ILs or their molecular counterparts [187]. Generally, ILs are regarded as highly efficient solvents for CO2 solubility, but their higher solution cost limits their excessive use for CO2 capture [188]. During the amalgamation of ILs, many organic solvents and an immense amount of water are used, demonstrating the sizeable environmental cost of ILs [189]. However, in the case of DESs, the cost depends upon the formation of components for carbon capture [103,113]. The higher biocompatibility and biodegradability of DESs also positively affect their environmental cost, making them an economical solvent for CO2 capture [190].
DESs are easy to prepare and typically involve a single-step synthesis without eliminating by-products and solvents [191]. Furthermore, biocompatible and biodegradable raw materials can be used instantaneously to synthesize DESs without altering their promising characteristics because of the weak interactions between components [192]. In the case of ILs, their tunable nature requires massive capital investment for bulk production [193]. Moreover, lower molar uptake values, inefficient energy consumption, higher viscosity, and capital costs also negatively affect the techno-economic efficiency of ILs for separation [194]. Apart from this, DESs maintain their performance under humidity [195] and attain quick regeneration, making them an economic candidate for a large variety of applications [196]. All of these advantages place DESs as an appropriate candidate over other conventional solvents, such as ILs, and simple alkanol amines commonly used for gas separation [197]. The recently published literature highlights the significance of utilizing DESs synthesized from ILs and supplementary HBDs [198]. These types of modified DESs not only enhanced CO2 absorption but also improved many properties, such as heat capacity [199], density [200], thermal stability [201], and viscosity, compared to their essential structural components [202]. However, the enhanced CO2 absorption mechanisms of DESs through modification in free volume and intramolecular/intermolecular interactions are under discussion to identify cost-saving substitutions for CO2 capture [116].
11. Difficulties and Drawbacks of DESs for CO2 Capture
DESs have shown promising industrial applications, especially in CO2 capture. Important findings from research groups all over the world have demonstrated the importance of utilizing DESs for the CO2 capture process [203]. Despite their excellent properties and good affinity toward carbon dioxide, they still possess certain limitations, and more investigations are needed in terms of their physical properties [149]. There has been very limited research reported on gas separation from flue gases using DESs. The lack of physical data on the high viscosity and corrosion behavior of DESs from pilot plant applications limits their utilization for industrial-based applications. Because of its uniqueness, this field requires additional research to develop neoteric DESs with a high efficiency of absorption, low economic cost, and low viscosity [116].
In addition, DESs are formed by mixing a volatile component and a nonvolatile component, resulting in a highly volatile compound. The highly volatile nature of DESs leads to difficulties during their application for CO2 capture [204]. Because of the importance of DESs in CO2 capture applications and the viscosity of the available DESs, they should be properly evaluated. DESs are typically quite viscous liquids [205], with a viscosity of 750 mPa s at 298.15 K for the traditional CHCl + urea (1:2 molar ratio). For certain DES families, this is significantly worse. For instance, recently proposed DESs based on sugar hydrogen-bond donors (HBDs) have extremely high viscosities (e.g., 34,400 mPa s for CH-Cl + glucose in a 1:1 molar ratio at 323.15 K) [206], and DESs that contain metallic compounds, such as a 1:2 molar ratio of CH-Cl + ZnCl2, also have higher viscosities, such as 85,000 mPa s at 298.15 K. The higher viscosity of DESs hinders their implementation on an industrial scale due to poor mass and heat transfer, excessive pumping costs, and other problems. They create key processes in particular [207].
Additionally, prior research suggests that water molecules in DESs may behave like antisolvents and reduce CO2 solubility. Su et al.’s research [208] reveals that when water concentrations in amino methanamide + 2-hydroxy-N,N,Trimethylethanaminium chloride (reline) climb to a mole ratio greater than 0.769, CO2 absorption transitions from endothermic to exothermic [208]. The hygroscopic nature of DESs is referred to as a drawback, having a considerable impact on CO2 solubility at low pressures. For industrial applications, CO2 solubility at higher temperatures is particularly crucial [209]. Leron et al. [101] investigated the effect of temperature (303.15–343.15 K) on the solubility of CO2 in mixtures of chloride-based DESs (CH-Cl + glycerol) and discovered that the DES mixtures diminish their CO2 solubility when raising the temperature. Similar effects of CO2 absorption mediated by DESs have also been investigated by other researchers with increased pressures and temperatures [137,210]. Very limited literature is available on DESs to be used for CO2 capture. Therefore, detailed work is suggested to examine various types of DESs for CO2 capture and observe their various influencing parameters.
12. Conclusions and Future Perspectives
CO2 is a major environmental problem, and researchers are testing different procedures to control this issue and keep the environment clean. Different ILs and DESs are also used by various researchers to capture CO2, and various advances have been made in this field. However, some difficulties are still faced in this research field. The main findings from this literature study are highlighted below:
- ❖
- From the studied literature, it is concluded that various ILs and DESs, due to their attractive properties, are suitable candidates for CO2 capture. Some researchers have reported ILs with better performance for CO2 capture but reported DESs are more economical, especially on the basis of synthesis.
- ❖
- Several functional groups, such as carbonyl, amine, and fluorine, as well as alkyl chain lengths, are incorporated in ILs because they improve the adsorption affinity of CO2 toward ILs. In the case of DESs, some factors, such as temperature, pressure, and alkyl chain length, are important to examine. However, the amine functional group in DESs has drawn a lot of interest for CO2 capture.
- ❖
- From the reported literature, it is concluded that CO2 could not only be captured through ILs and DESs from various resources but also possibly be converted into various valuable products.
- ❖
- It is also concluded that the available data are not sufficient, and more ILs need to be explored, especially DESs, for CO2 capture. The viscosity of ILs is the main problem for CO2 capture, and highly viscous ILs are not desirable for such applications. Similarly, the IL purity is also very important. However, the lower viscosity of DESs is also favorable for CO2 capture, and the literature reports that DESs with lower viscosity obtain good results for CO2 capture. The hygroscopic nature of DESs has been referred to as a drawback of these mixtures, as it has a considerable impact on CO2 solubility at low pressures.
Author Contributions
S.A.A.: Methodology, Investigation, Formal analysis, Data collection, Writing—original draft; W.U.M.: Methodology, Formal analysis, Writing—review & editing; Z.U.: Resources, Writing—review & editing; H.K.: Writing—review & editing; A.Z.: Formal analysis, Writing—review & editing; M.U.H.S.: Formal analysis, review; S.N.S.: Conceptualization, Methodology, Formal analysis, Writing—review & editing, Supervision. All authors have read and agreed to the published version of the manuscript.
Funding
This research received no external funding.
Institutional Review Board Statement
Not applicable.
Informed Consent Statement
Not applicable.
Data Availability Statement
Not applicable.
Conflicts of Interest
The authors declare no conflict of interest.
Abbreviation
| Abbreviation | Full Name |
| AC | Acetate |
| [Ala] | Alanine |
| Arg | Arginine |
| Asp | Aspartic acid |
| ArgGly | Arginine glycerol |
| [2-Op] | 2-Hydroxyl pyridium |
| [BF4]− | Tetrafluoroborate |
| [Bmim]+ | 1-Butyl-3-methylimidazolium |
| [BMmim]+ | 1-Butyl-2,3-dimethylimidazolium |
| [BMPyr]+ | 1-Butyl-1-methylpyrrolidinium |
| [Bmim] [Ac] | 1-Butyl-3-methylimidazolium acetate |
| [Bmim] [BF4] | 1-Butyl-3-methylimidazolium tetrafluoroborate |
| [Bmim] [DCA] | 1-Butyl-3-methylimidazolium dicyanamide |
| [Bmim] [i-but] | 1-Butyl-3-methylimidazoliumisobutyrate |
| [Bmim] [GLY] | 1-Butyl-3-methylimidazolium glycinate |
| [Bmim] [OH] | 1-Butyl-3-methylimidazolium hydroxide |
| [Bmim] [PF6] | 1-Butyl-3-methylimidazolium hexafluorophosphate |
| [Bmim] [PF6] | 1-Butyl-3-methylimidazolium hexafluorophosphate |
| [Bmim] [PRO] | 1-Butyl-3-methylimidazolium prolinate |
| [Bmim] [Tf2N] | 1-Butyl-3-methylimidazolium bis[trifluoromethyl)sulfonyl] imide |
| [BMIM] [2-Op] | 1-Butyl-3-methylimidazolium 2-hydroxyl pyridium |
| [BMmim] [2-Op] | 1-Butyl-2,3-dimethylimidazolium 2-hydroxyl pyridium |
| [BMPyr] [2-Op] | 1-Butyl-1-methylpyrrolidinium 2-hydroxyl pyridium |
| [Bpy] [BF4] | 1-Butylpyridinium tetrafluoroborate |
| BTEA | Benzyl triethyl ammonium |
| BTMA | Benzyl trimethyl ammonium |
| CO2 | Carbon dioxide |
| [C2mim] [Tf2N] | 1-Ethyl-3-methylimidazolium bis(trifluoromethylsulfonyl) imide |
| [C2mim] [Ac] | 1-Ethyl-3-methylimidazolium acetate |
| [C4mim] [Ac] | 1-Butyl-3-methylimidazolium acetate |
| [C4mim] [IBS] | 1-Butyl-3-methylimidazolium isobutyrate |
| [C4mim] [LEV] | 1-Butyl-3-methylimidazolium levulinate |
| [C4mim] [PRO] | 1-Butyl-3-methylimidazolium prolinate |
| [C4mim] [TMA] | 1-Butyl-3-methylimidazolium trimethylacetate |
| [C6mim] [Tf2N] | 1-Hexyl-3-methylimidazolium bis(trifluoromethylsulfonyl) imide |
| ChCl | Chlorine chloride |
| Cl | Chlorine |
| [CNPyr] | Cyanopyrrole |
| CsOH | Cesium hydroxide |
| DBN | 1,5-Diazabicyclo[4.3.0]non-5-ene |
| [DBU] [AC] | 1,8-Diazabicyclo[5.4.0]undec-7-ene acetate |
| DESs | Deep eutectic solvents |
| [DETAH] | Diethylenetriamine |
| [DETAH] [Lys] | Diethylenetriamine lysinate |
| [DETAH] [Tz] | Diethylenetriamine triazoles |
| [DETAH] [Im] | Diethylenetriamine imidazole |
| [DETAH] [AHA] | Diethylenetriamine aprotic heterocyclic anion |
| [DETAH] [Gly] | Diethylenetriamine glycine |
| [DETAH] [Py] | Diethylenetriamine Pyrazole |
| [TETAH] [Lys] | Triethylenetetramine lysinate |
| [DMAPAH]+ | 3-(Dimethylamino)-1-propylamine |
| [DMAPAH] [2F-PhO] | N,N-Dimethyl-1,3-propane diamine 2-fluorophenolate |
| [DMAPAH] [3F-PhO] | N,N-Dimethyl-1,3-propane diamine 3-fluorophenolate |
| [DMAPAH] [3,5F-PhO] | N,N-Dimethyl-1,3-propane diamine 3,5-difluorophenolate |
| [DMAPAH] [4F-PhO | N,N-Dimethyl-1,3-propane diamine 3-fluorophenolate |
| DMSO | Dimethyl sulfoxide |
| EA | Ethyl acetate |
| [Emim] [Ala] | 1-Ethyl-3-methylimidazolium alanine |
| [Emim] [DCN] | 1-Ethyl-3-methylimidazolium dicyanamide |
| [Emim] [EtSO4] | 1-Ethyl-3-methylimidazolium ethyl sulfate |
| [Emim] [GLY] | 1-Ethyl-3-methylimidazolium glycine |
| [Emim] [Tf2N] | 1-Ethyl-3-methylimidazolium bis(trifluoromethylsulfonyl) imide |
| [Emim] [2-CNpyr] | 1-Ethyl-3-methylimidazolium 2-cyanopyrolide |
| [GLY]GHGs | GlycineGreenhouse gases |
| GluGly | Glutamate glycerol |
| Gua-EA | Guanidium ethyl acetate |
| HBA | Hydrogen-bond acceptor |
| HBD | Hydrogen-bond donor |
| HDBU | 1,8-Diazabicyclo-[5.4.0]-undec-7-ene 2,2,3,3,4,4,5 |
| H2 | Hydrogen |
| H2O | Water |
| HIS | Histidinate |
| HisGly | Histidine glycerol |
| [Hmim] [NTf2] | 1-Hexyl-3-methylimidazolium bis(trifluoromethyl)-sulfonyl) imide |
| ILs | Ionic liquids |
| IndIPCC | IndiumIntergovernmental Panel on Climate Change |
| [LEU] | Leucine |
| LYS | Lysinate |
| MEA | Methylethylamine |
| [MET] | Methionine |
| MTBD | 7-Methyl-1,5,7-triazabicyclo[4.4.0]dec-5-ene |
| MTTP | Methyl triphenylphosphonium |
| MTTP-LV-AC | Methyl triphenylphosphonium levulinic acetate |
| N2 | Nitrogen |
| [N-Bpy] [BF4] | N-butylpyridinium tetrafluoroborate |
| NDESs | Natural deep eutectic solvents |
| NiCl2 | Nickel chloride |
| NO3 | Nitrate |
| [N4442] [2-Op] | Tributylethylammonium 2-hydroxypyridine |
| [Omim] [BF4] | 1-Methyl-3-octyl-imidazolium-tetrafluoroborate |
| [Omim] [Tf2N] | 1-Octyl-3-methyl-imidazolium bis(trifluoromethylsulfonyl) imide |
| [Ph-C8eim] | 1-N-Ethyl-3-N-octyl-2-phenylimidazolium |
| [Ph-C8eim] [2-Op] | 1-N-Ethyl-3-N-octyl-2-phenylimidazolium 2-hydroxypyridine |
| [PF6]− | Hexafluorophosphate |
| [P2228]+ | Triethyloctylphosphonium |
| [P4442]+ | Tributylethylphosphonium |
| [P4442] [DAA] | Tributylethylphosphonium diacetamide |
| [P4442] [Suc] | Tributylethylphosphonium succinimide |
| [P4442OH]+ | Tributyl(hydroxyethyl)phosphonium |
| [P4442] [Cy-Suc] | Tributylethylphosphonium cyclo succinimide |
| [P2228] [CNPyr] | Triethyloctylphosphonium-2-cyanopyrrole |
| [P66614]+ | Trihexyltetradecylphosphonium |
| [P66614] [Beta-Ala] | Trihexyltetradecylphosphonium beta-alanine |
| [P66614]2[MA-Tetz] | Trihexyltetradecylphosphonium 5-(aminomethyl)-2H -tetrazole |
| [P66614] [Gly] | Trihexyltetradecylphosphonium glycine |
| [P66614] [CNPyr] | Trihexyltetradecylphosphonium-2-cyanopyrrole |
| [P66614] [NTf2] | Trihexyltetradecylphosphonium bis(trifluoromethyl)-sulfonyl)imide |
| P[[VBTMA] [PF6] | Poly-vinyl benzyl trimethylammonium hexafluorophosphate |
| [PRO] | Prolinate |
| [Py] | Pyrazole |
| Ru-Fe | Ruthenium iron |
| SerGly | Serine glycerol |
| TBAB | Tetrabutylammonium bromide |
| TBAC | Tetrabutylammonium chloride |
| TBD | Triazabicyclodecene (1,5,7-triazabicyclo[4.4.0]dec-5-ene |
| TEAC | Tetraethylammonium chloride |
| [Tf2N]− | Bis(trifluoromethylsulfonyl)imide |
| [TFO]− | Trifluoromethanesulfonate |
| TMAC | Tetramethylammonium chloride |
| [TMGH]+ | Tetramethylguanidinium |
| [TMGH] [PhO] | Tetramethylguanidinium phenol |
| [TMGH] [Im] | Tetramethylguanidinium imidazole |
| [TMGH] [Pyrr] | Tetramethylguanidinium pyrrole |
| TPAC | Tetrapropyl ammonium chloride |
| Triz | Triazole |
| V-Ac | Vinyl acetate |
| [VAL] | Valine |
| [VBTMA]+ | Vinylbenzyl trimethylammonium |
| [VBTMA] [Ala] | Vinylbenzyl trimethylammonium alanine |
| [VBTMA] [Pro] | Vinylbenzyl trimethylammonium prolinate |
| [VBTMA] [Ser] | Vinylbenzyl trimethylammonium serine |
| ZnBr2 | Zinc bromide |
References
- Treut, H.L.; Somerville, R.; Cubasch, U.; Ding, Y.; Mauritzen, C.; Mokssit, A.; Peterson, T.; Prather, M.; Solomon, S. Historical Overview of Climate Change, the Physical Science Basis; Cambridge University Press: Cambridge, UK, 2007; pp. 93–127. [Google Scholar]
- Aggarwal, R.K.; Markanda, S. Effect of greenhouse gases and human population in global warming. Huanjing Gongcheng Jishu Xuebao 2013, 2, 13–16. [Google Scholar]
- Mitchell, J.F.B. The “greenhouse” effect and climate change. Rev. Geophys. 1989, 27, 115–139. [Google Scholar] [CrossRef]
- Wuebbles, D.J.; Jain, A.K. Concerns about climate change and the role of fossil fuel use. Fuel Process. Technol. 2001, 71, 99–119. [Google Scholar] [CrossRef]
- Mendelsohn, R.; Dinar, A.; Williams, L. The distributional impact of climate change on rich and poor countries. Environ. Dev. Econ. 2006, 11, 159–178. [Google Scholar] [CrossRef]
- Shukla, P.R.; Skea, J.; Slade, R.; Al Khourdajie, A.; van Diemen, R.; McCollum, D.; Pathak, M.; Some, S.; Vyas, P.; Fradera, R.J.C.; et al. Climate Change 2022: Mitigation of Climate Change; Contribution of Working Group III to the Sixth Assessment Report of the Intergovernmental Panel on Climate Change; Cambridge University Press: Cambridge, UK, 2022. [Google Scholar]
- Quadrelli, R.; Peterson, S. The energy–climate challenge: Recent trends in CO2 emissions from fuel combustion. Energy Policy 2007, 35, 5938–5952. [Google Scholar] [CrossRef]
- Ali, S.A.; Shah, S.N.; Shah, M.U.H.; Younas, M. Synthesis and performance evaluation of copper and magnesium-based metal organic framework supported ionic liquid membrane for CO2/N2 separation. Chemosphere 2022, 311, 136913. [Google Scholar] [CrossRef]
- Metz, B.; Davidson, O.; De Coninck, H.; Loos, M.; Meyer, L. IPCC Special Report on Carbon Dioxide Capture and Storage; Cambridge University Press: Cambridge, UK, 2005. [Google Scholar]
- Yu, K.M.K.; Curcic, I.; Gabriel, J.; Tsang, S.C.E. Recent advances in CO2 capture and utilization. ChemSusChem 2008, 1, 893–899. [Google Scholar] [CrossRef]
- Al-Mamoori, A.; Krishnamurthy, A.; Rownaghi, A.A.; Rezaei, F. Carbon capture and utilization update. Energy Technol. 2017, 5, 834–849. [Google Scholar] [CrossRef]
- Zhou, Q.; Koiwanit, J.; Piewkhaow, L.; Manuilova, A.; Chan, C.W.; Wilson, M.; Tontiwachwuthikul, P. A Comparative of Life Cycle Assessment of Post-combustion, Pre-combustion and Oxy-fuel CO2 Capture. Energy Procedia 2014, 63, 7452–7458. [Google Scholar] [CrossRef]
- Petrakopoulou, F.; Tsatsaronis, G. Production of hydrogen-rich fuels for pre-combustion carbon capture in power plants: A thermodynamic assessment. Int. J. Hydrogen Energy 2012, 37, 7554–7564. [Google Scholar] [CrossRef]
- Rj, B.S.; Loganathan, M.; Shantha, M.S. A review of the water gas shift reaction kinetics. Int. J. Chem. React. Eng. 2010, 8. [Google Scholar] [CrossRef]
- Ju, Y.; Oh, H.-T.; Lee, J.-C.; Lee, C.-H. Performance and dynamic behavior of sorption-enhanced water-gas shift reaction in a fluidized bed reactor for H2 production and CO2 capture. Chem. Eng. J. 2021, 410, 127414. [Google Scholar] [CrossRef]
- Dey, A.; Dash, S.K.; Mandal, B. Chapter 1—Introduction to carbon capture. In Emerging Carbon Capture Technologies; Khalid, M., Dharaskar, S.A., Sillanpää, M., Siddiqui, H., Eds.; Elsevier: Amsterdam, The Netherlands, 2022; pp. 1–31. [Google Scholar]
- Babar, M.; Bustam, M.A.; Ali, A.; Shah Maulud, A.; Shafiq, U.; Mukhtar, A.; Shah, S.N.; Maqsood, K.; Mellon, N.; Shariff, A.M. Thermodynamic data for cryogenic carbon dioxide capture from natural gas: A review. Cryogenics 2019, 102, 85–104. [Google Scholar] [CrossRef]
- Rochelle, G.T. Amine scrubbing for CO2 capture. Science 2009, 325, 1652–1654. [Google Scholar] [CrossRef]
- Yu, C.-H.; Huang, C.-H.; Tan, C.-S. A review of CO2 capture by absorption and adsorption. Aerosol Air Qual. Res. 2012, 12, 745–769. [Google Scholar] [CrossRef]
- Spigarelli, B.P.; Kawatra, S.K. Opportunities and challenges in carbon dioxide capture. J. CO2 Util. 2013, 1, 69–87. [Google Scholar] [CrossRef]
- Shimekit, B.; Mukhtar, H. Natural gas purification technologies-major advances for CO2 separation and future directions. Adv. Nat. Gas Technol. 2012, 2012, 235–270. [Google Scholar]
- Lin, H.; White, L.S.; Lokhandwala, K.; Baker, R.W. Natural gas purification. Encycl. Membr. Sci. Technol. 2013, 1–25. [Google Scholar] [CrossRef]
- Zhang, F.; Gao, K.-X.; Meng, Y.-N.; Qi, M.; Geng, J.; Wu, Y.-T.; Zhang, Z.-B. Intensification of dimethyaminoethoxyethanol on CO2 absorption in ionic liquid of amino acid. Int. J. Greenh. Gas Control 2016, 51, 415–422. [Google Scholar] [CrossRef]
- Sarmad, S.; Mikkola, J.-P.; Ji, X. Carbon Dioxide Capture with Ionic Liquids and Deep Eutectic Solvents: A New Generation of Sorbents. ChemSusChem 2017, 10, 324–352. [Google Scholar] [CrossRef]
- Elhamarnah, Y.A.; Nasser, M.; Qiblawey, H.; Benamor, A.; Atilhan, M.; Aparicio, S. A comprehensive review on the rheological behavior of imidazolium based ionic liquids and natural deep eutectic solvents. J. Mol. Liq. 2019, 277, 932–958. [Google Scholar] [CrossRef]
- Sistla, Y.S.; Khanna, A. CO2 absorption studies in amino acid-anion based ionic liquids. Chem. Eng. J. 2015, 273, 268–276. [Google Scholar] [CrossRef]
- Huang, Y.; Cui, G.; Wang, H.; Li, Z.; Wang, J. Tuning ionic liquids with imide-based anions for highly efficient CO2 capture through enhanced cooperations. J. CO2 Util. 2018, 28, 299–305. [Google Scholar] [CrossRef]
- Ren, H.; Lian, S.; Wang, X.; Zhang, Y.; Duan, E. Exploiting the hydrophilic role of natural deep eutectic solvents for greening CO2 capture. J. Clean. Prod. 2018, 193, 802–810. [Google Scholar] [CrossRef]
- Zhang, K.; Hou, Y.; Wang, Y.; Wang, K.; Ren, S.; Wu, W. Efficient and Reversible Absorption of CO2 by Functional Deep Eutectic Solvents. Energy Fuels 2018, 32, 7727–7733. [Google Scholar] [CrossRef]
- Hasib-ur-Rahman, M.; Siaj, M.; Larachi, F. CO2 capture in alkanolamine/room-temperature ionic liquid emulsions: A viable approach with carbamate crystallization and curbed corrosion behavior. Int. J. Greenh. Gas Control. 2012, 6, 246–252. [Google Scholar] [CrossRef]
- Lian, S.; Song, C.; Liu, Q.; Duan, E.; Ren, H.; Kitamura, Y. Recent advances in ionic liquids-based hybrid processes for CO2 capture and utilization. J. Environ. Sci. 2021, 99, 281–295. [Google Scholar] [CrossRef]
- Tang, X.; Lv, S.; Jiang, K.; Zhou, G.; Liu, X. Recent development of ionic liquid-based electrolytes in lithium-ion batteries. J. Power Sources 2022, 542, 231792. [Google Scholar] [CrossRef]
- Bardak, F.; Bardak, C.; Karaca, C.; Kose, E.; Bilgili, S.; Atac, A. Anionic dependency of electronic and nonlinear optical properties of ionic liquids. J. Mol. Liq. 2022, 345, 117030. [Google Scholar] [CrossRef]
- Richu; Sharmhal, A.; Kumar, A. Insights into the applications and prospects of ionic liquids towards the chemistry of biomolecules. J. Mol. Liq. 2022, 368, 120580. [Google Scholar] [CrossRef]
- Forsyth, S.A.; Pringle, J.M.; MacFarlane, D.R. Ionic liquids—An overview. Aust. J. Chem. 2004, 57, 113–119. [Google Scholar] [CrossRef]
- Lodge, T.P.; Ueki, T. Mechanically Tunable, Readily Processable Ion Gels by Self-Assembly of Block Copolymers in Ionic Liquids. Acc. Chem. Res. 2016, 49, 2107–2114. [Google Scholar] [CrossRef] [PubMed]
- Li, J.; Anderson, J.L.; Smith, E.A. Determination of Infinite Dilution Activity Coefficients of Molecular Solutes in Ionic Liquids and Deep Eutectic Solvents by Factorization-Machine-Based Neural Networks. ACS Sustain. Chem. Eng. 2022, 10, 13927–13935. [Google Scholar] [CrossRef]
- Naz, S.; Uroos, M. Ionic Liquids Based Processing of Renewable and Sustainable Biopolymers. In Biofibers and Biopolymers for Biocomposites: Synthesis, Characterization and Properties; Khan, A., Mavinkere Rangappa, S., Siengchin, S., Asiri, A.M., Eds.; Springer International Publishing: Cham, Switzerland, 2020; pp. 181–207. [Google Scholar]
- Tateishi-Karimata, H.; Sugimoto, N. Structure, stability and behaviour of nucleic acids in ionic liquids. Nucleic Acids Res. 2014, 42, 8831–8844. [Google Scholar] [CrossRef] [PubMed]
- Acidi, A.; Hasib-ur-Rahman, M.; Larachi, F.; Abbaci, A. Ionic liquids [EMIM] [BF4],[EMIM] [Otf] and [BMIM] [Otf] as corrosion inhibitors for CO2 capture applications. Korean J. Chem. Eng. 2014, 31, 1043–1048. [Google Scholar] [CrossRef]
- Ramdin, M.; de Loos, T.W.; Vlugt, T.J.H. State-of-the-art of CO2 capture with ionic liquids. Ind. Eng. Chem. Res. 2012, 51, 8149–8177. [Google Scholar] [CrossRef]
- Galán Sánchez, L.M.; Meindersma, G.W.; de Haan, A.B. Solvent Properties of Functionalized Ionic Liquids for CO2 Absorption. Chem. Eng. Res. Des. 2007, 85, 31–39. [Google Scholar] [CrossRef]
- Pinto, A.M.; Rodríguez, H.; Arce, A.; Soto, A. Combined physical and chemical absorption of carbon dioxide in a mixture of ionic liquids. J. Chem. Thermodyn. 2014, 77, 197–205. [Google Scholar] [CrossRef]
- Gurkan, B.; Goodrich, B.F.; Mindrup, E.M.; Ficke, L.E.; Massel, M.; Seo, S.; Senftle, T.P.; Wu, H.; Glaser, M.F.; Shah, J.K.; et al. Molecular Design of High Capacity, Low Viscosity, Chemically Tunable Ionic Liquids for CO2 Capture. J. Phys. Chem. Lett. 2010, 1, 3494–3499. [Google Scholar] [CrossRef]
- Chaipojjana, K.; Kiatkitipong, W. Utilization of Sugarcane Bagasse as a Co-Catalyst with Potassium Iodide for CO2 Conversion to Cyclic Carbonate. Master’s Thesis, Silpakorn University, Bangkok, Thailand, 2018. [Google Scholar]
- Karadas, F.; Atilhan, M.; Aparicio, S. Review on the Use of Ionic Liquids (ILs) as Alternative Fluids for CO2 Capture and Natural Gas Sweetening. Energy Fuels 2010, 24, 5817–5828. [Google Scholar] [CrossRef]
- Raveendran, P.; Wallen, S.L. Exploring CO2-philicity: Effects of stepwise fluorination. J. Phys. Chem. B 2003, 107, 1473–1477. [Google Scholar] [CrossRef]
- Tonner, R.; Frenking, G. Divalent carbon (0) chemistry, part 2: Protonation and complexes with main group and transition metal Lewis acids. Chem.—Eur. J. 2008, 14, 3273–3289. [Google Scholar] [CrossRef] [PubMed]
- Kilic, S.; Michalik, S.; Wang, Y.; Johnson, J.K.; Enick, R.M.; Beckman, E.J. Effect of Grafted Lewis Base Groups on the Phase Behavior of Model Poly(dimethyl siloxanes) in CO2. Ind. Eng. Chem. Res. 2003, 42, 6415–6424. [Google Scholar] [CrossRef]
- Muldoon, M.J.; Aki, S.N.V.K.; Anderson, J.L.; Dixon, J.K.; Brennecke, J.F. Improving carbon dioxide solubility in ionic liquids. J. Phys. Chem. B 2007, 111, 9001–9009. [Google Scholar] [CrossRef] [PubMed]
- Yokozeki, A.; Shiflett, M.B.; Junk, C.P.; Grieco, L.M.; Foo, T. Physical and chemical absorptions of carbon dioxide in room-temperature ionic liquids. J. Phys. Chem. B 2008, 112, 16654–16663. [Google Scholar] [CrossRef] [PubMed]
- Zeng, S.; Zhang, X.; Bai, L.; Zhang, X.; Wang, H.; Wang, J.; Bao, D.; Li, M.; Liu, X.; Zhang, S. Ionic-Liquid-Based CO2 Capture Systems: Structure, Interaction and Process. Chem. Rev. 2017, 117, 9625–9673. [Google Scholar] [CrossRef]
- Puxty, G.; Rowland, R.; Allport, A.; Yang, Q.; Bown, M.; Burns, R.; Maeder, M.; Attalla, M. Carbon dioxide postcombustion capture: A novel screening study of the carbon dioxide absorption performance of 76 amines. Environ. Sci. Technol. 2009, 43, 6427–6433. [Google Scholar] [CrossRef] [PubMed]
- Orlov, A.A.; Valtz, A.; Coquelet, C.; Rozanska, X.; Wimmer, E.; Marcou, G.; Horvath, D.; Poulain, B.; Varnek, A.; de Meyer, F. Computational screening methodology identifies effective solvents for CO2 capture. Commun. Chem. 2022, 5, 37. [Google Scholar] [CrossRef]
- Zheng, S.; Zeng, S.; Li, Y.; Bai, L.; Bai, Y.; Zhang, X.; Liang, X.; Zhang, S. State of the art of ionic liquid-modified adsorbents for CO2 capture and separation. AIChE J. 2022, 68, e17500. [Google Scholar] [CrossRef]
- Hospital-Benito, D.; Lemus, J.; Moya, C.; Santiago, R.; Palomar, J. Process analysis overview of ionic liquids on CO2 chemical capture. Chem. Eng. J. 2020, 390, 124509. [Google Scholar] [CrossRef]
- Chen, F.-F.; Huang, K.; Fan, J.-P.; Tao, D.-J. Chemical solvent in chemical solvent: A class of hybrid materials for effective capture of CO2. AIChE J. 2018, 64, 632–639. [Google Scholar] [CrossRef]
- Supasitmongkol, S.; Styring, P. High CO2 solubility in ionic liquids and a tetraalkylammonium-based poly(ionic liquid). Energy Environ. Sci. 2010, 3, 1961–1972. [Google Scholar] [CrossRef]
- Jing, G.; Qian, Y.; Zhou, X.; Lv, B.; Zhou, Z. Designing and Screening of Multi-Amino-Functionalized Ionic Liquid Solution for CO2 Capture by Quantum Chemical Simulation. ACS Sustain. Chem. Eng. 2018, 6, 1182–1191. [Google Scholar] [CrossRef]
- Luo, X.Y.; Lv, X.Y.; Shi, G.L.; Meng, Q.; Li, H.R.; Wang, C.M. Designing amino-based ionic liquids for improved carbon capture: One amine binds two CO2. AIChE J. 2019, 65, 230–238. [Google Scholar] [CrossRef]
- Zhao, T.; Zhang, X.; Tu, Z.; Wu, Y.; Hu, X. Low-viscous diamino protic ionic liquids with fluorine-substituted phenolic anions for improving CO2 reversible capture. J. Mol. Liq. 2018, 268, 617–624. [Google Scholar] [CrossRef]
- Tangqiumei, S.; Bonilla, G.M.A.; Morales-Collazo, O.; Lubben, M.J.; Brennecke, J.F. Recyclability of Encapsulated Ionic Liquids for Post-Combustion CO₂ Capture. Ind. Eng. Chem. Process Des. Dev. 2019, 58, 4997–5007. [Google Scholar] [CrossRef]
- Huang, Y.; Cui, G.; Zhao, Y.; Wang, H.; Li, Z.; Dai, S.; Wang, J. Preorganization and Cooperation for Highly Efficient and Reversible Capture of Low-Concentration CO2 by Ionic Liquids. Angew. Chem. Int. Ed. 2017, 56, 13293–13297. [Google Scholar] [CrossRef] [PubMed]
- Liu, Y.; Dai, Z.; Zhang, Z.; Zeng, S.; Li, F.; Zhang, X.; Nie, Y.; Zhang, L.; Zhang, S.; Ji, X. Ionic liquids/deep eutectic solvents for CO2 capture: Reviewing and evaluating. Green Energy Environ. 2021, 6, 314–328. [Google Scholar] [CrossRef]
- Lv, B.; Wu, J.; Lin, C.; Zhou, Z.; Jing, G. Kinetic and heat duty study of aprotic heterocyclic anion-based dual functionalized ionic liquid solutions for carbon capture. Fuel 2020, 263, 116676. [Google Scholar] [CrossRef]
- Luo, X.-Y.; Chen, X.-Y.; Qiu, R.-X.; Pei, B.-Y.; Wei, Y.; Hu, M.; Lin, J.-Q.; Zhang, J.-Y.; Luo, G.-G. Enhanced CO2 capture by reducing cation–anion interactions in hydroxyl-pyridine anion-based ionic liquids. Dalton Trans. 2019, 48, 2300–2307. [Google Scholar] [CrossRef] [PubMed]
- Altamash, T.; Haimour, T.S.; Tarsad, M.A.; Anaya, B.; Ali, M.H.; Aparicio, S.; Atilhan, M. Carbon Dioxide Solubility in Phosphonium-, Ammonium-, Sulfonyl-, and Pyrrolidinium-Based Ionic Liquids and their Mixtures at Moderate Pressures up to 10 bar. J. Chem. Eng. Data 2017, 62, 1310–1317. [Google Scholar] [CrossRef]
- He, M.; Sun, Y.; Han, B. Green Carbon Science: Scientific Basis for Integrating Carbon Resource Processing, Utilization, and Recycling. Angew. Chem. Int. Ed. 2013, 52, 9620–9633. [Google Scholar] [CrossRef] [PubMed]
- Chen, Y.; Mu, T. Conversion of CO2 to value-added products mediated by ionic liquids. Green Chem. 2019, 21, 2544–2574. [Google Scholar] [CrossRef]
- Sun, L.; Ramesha, G.K.; Kamat, P.V.; Brennecke, J.F. Switching the reaction course of electrochemical CO2 reduction with ionic liquids. Langmuir 2014, 30, 6302–6308. [Google Scholar] [CrossRef]
- Lopes, E.J.C.; Ribeiro, A.P.C.; Martins, L.M. New trends in the conversion of CO2 to cyclic carbonates. Catalysts 2020, 10, 479. [Google Scholar] [CrossRef]
- Peng, J.; Deng, Y. Cycloaddition of carbon dioxide to propylene oxide catalyzed by ionic liquids. New J. Chem. 2001, 25, 639–641. [Google Scholar] [CrossRef]
- Kawanami, H.; Sasaki, A.; Matsui, K.; Ikushima, Y. A rapid and effective synthesis of propylene carbonate using a supercritical CO2–ionic liquid system. Chem. Commun. 2003, 896–897. [Google Scholar] [CrossRef] [PubMed]
- Wang, J.-Q.; Yue, X.-D.; Cai, F.; He, L.-N. Solventless synthesis of cyclic carbonates from carbon dioxide and epoxides catalyzed by silica-supported ionic liquids under supercritical conditions. Catal. Commun. 2007, 8, 167–172. [Google Scholar] [CrossRef]
- Fatima, S.S.; Borhan, A.; Ayoub, M.; Abd Ghani, N. Development and progress of functionalized silica-based adsorbents for CO2 capture. J. Mol. Liq. 2021, 338, 116913. [Google Scholar] [CrossRef]
- Dai, Z.; Noble, R.D.; Gin, D.L.; Zhang, X.; Deng, L. Combination of ionic liquids with membrane technology: A new approach for CO2 separation. J. Membr. Sci. 2016, 497, 1–20. [Google Scholar] [CrossRef]
- Zhu, J.; He, B.; Huang, J.; Li, C.; Ren, T. Effect of immobilization methods and the pore structure on CO2 separation performance in silica-supported ionic liquids. Microporous Mesoporous Mater. 2018, 260, 190–200. [Google Scholar] [CrossRef]
- Voskian, S.; Brown, P.; Halliday, C.; Rajczykowski, K.; Hatton, T.A. Amine-Based Ionic Liquid for CO2 Capture and Electrochemical or Thermal Regeneration. ACS Sustain. Chem. Eng. 2020, 8, 8356–8361. [Google Scholar] [CrossRef]
- Hu, J.; Ma, J.; Liu, H.; Qian, Q.; Xie, C.; Han, B. Dual-ionic liquid system: An efficient catalyst for chemical fixation of CO2 to cyclic carbonates under mild conditions. Green Chem. 2018, 20, 2990–2994. [Google Scholar] [CrossRef]
- Liu, Z.; Wu, W.; Han, B.; Dong, Z.; Zhao, G.; Wang, J.; Jiang, T.; Yang, G. Study on the Phase Behaviors, Viscosities, and Thermodynamic Properties of CO2/[C4mim] [PF6]/Methanol System at Elevated Pressures. Chem.—Eur. J. 2003, 9, 3897–3903. [Google Scholar] [CrossRef]
- Qiu, J.; Zhao, Y.; Li, Z.; Wang, H.; Fan, M.; Wang, J. Efficient Ionic-Liquid-Promoted Chemical Fixation of CO2 into α-Alkylidene Cyclic Carbonates. ChemSusChem 2017, 10, 1120–1127. [Google Scholar] [CrossRef]
- Zhang, Q.; Yuan, H.-Y.; Fukaya, N.; Yasuda, H.; Choi, J.-C. Direct synthesis of carbamate from CO2 using a task-specific ionic liquid catalyst. Green Chem. 2017, 19, 5614–5624. [Google Scholar] [CrossRef]
- Qadir, M.I.; Weilhard, A.; Fernandes, J.A.; de Pedro, I.; Vieira, B.J.C.; Waerenborgh, J.C.; Dupont, J. Selective Carbon Dioxide Hydrogenation Driven by Ferromagnetic RuFe Nanoparticles in Ionic Liquids. ACS Catal. 2018, 8, 1621–1627. [Google Scholar] [CrossRef]
- Melo, C.I.; Szczepańska, A.; Bogel-Łukasik, E.; Nunes da Ponte, M.; Branco, L.C. Hydrogenation of Carbon Dioxide to Methane by Ruthenium Nanoparticles in Ionic Liquid. ChemSusChem 2016, 9, 1081–1084. [Google Scholar] [CrossRef]
- Shi, F.; Deng, Y.; SiMa, T.; Peng, J.; Gu, Y.; Qiao, B. Alternatives to phosgene and carbon monoxide: Synthesis of symmetric urea derivatives with carbon dioxide in ionic liquids. Angew. Chem. 2003, 115, 3379–3382. [Google Scholar] [CrossRef]
- Jiang, T.; Ma, X.; Zhou, Y.; Liang, S.; Zhang, J.; Han, B. Solvent-free synthesis of substituted ureas from CO2 and amines with a functional ionic liquid as the catalyst. Green Chem. 2008, 10, 465–469. [Google Scholar] [CrossRef]
- Huang, K.; Chen, F.-F.; Tao, D.-J.; Dai, S. Ionic liquid–formulated hybrid solvents for CO2 capture. Curr. Opin. Green Sustain. Chem. 2017, 5, 67–73. [Google Scholar] [CrossRef]
- Hospital-Benito, D.; Lemus, J.; Moya, C.; Santiago, R.; Ferro, V.R.; Palomar, J. Techno-economic feasibility of ionic liquids-based CO2 chemical capture processes. Chem. Eng. J. 2021, 407, 127196. [Google Scholar] [CrossRef]
- Xu, C.; Cheng, Z. Dicationic Imizadolium-Based Tetrafluoroborate Ionic Liquids: Synthesis and Hydrothermal Stability Study. ChemistrySelect 2022, 7, e202201799. [Google Scholar] [CrossRef]
- Holbrey, J.D.; Reichert, W.M.; Swatloski, R.P.; Broker, G.A.; Pitner, W.R.; Seddon, K.R.; Rogers, R.D. Efficient, halide free synthesis of new, low cost ionic liquids: 1,3-dialkylimidazolium salts containing methyl- and ethyl-sulfate anions. Green Chem. 2002, 4, 407–413. [Google Scholar] [CrossRef]
- Sohaib, Q.; Vadillo, J.M.; Gómez-Coma, L.; Albo, J.; Druon-Bocquet, S.; Irabien, A.; Sanchez-Marcano, J. CO2 capture with room temperature ionic liquids; coupled absorption/desorption and single module absorption in membrane contactor. Chem. Eng. Sci. 2020, 223, 115719. [Google Scholar] [CrossRef]
- Chen, Y.; Mu, T. Revisiting greenness of ionic liquids and deep eutectic solvents. Green Chem. Eng. 2021, 2, 174–186. [Google Scholar] [CrossRef]
- Blasucci, V.; Hart, R.; Mestre, V.L.; Hahne, D.J.; Burlager, M.; Huttenhower, H.; Thio, B.J.R.; Pollet, P.; Liotta, C.L.; Eckert, C.A. Single component, reversible ionic liquids for energy applications. Fuel 2010, 89, 1315–1319. [Google Scholar] [CrossRef]
- Hasib-ur-Rahman, M.; Siaj, M.; Larachi, F. Ionic liquids for CO2 capture—Development and progress. Chem. Eng. Process. Process Intensif. 2010, 49, 313–322. [Google Scholar] [CrossRef]
- Vega, F.; Baena-Moreno, F.M.; Gallego Fernández, L.M.; Portillo, E.; Navarrete, B.; Zhang, Z. Current status of CO2 chemical absorption research applied to CCS: Towards full deployment at industrial scale. Appl. Energy 2020, 260, 114313. [Google Scholar] [CrossRef]
- Ma, T.; Wang, J.; Du, Z.; Abdeltawab, A.A.; Al-Enizi, A.M.; Chen, X.; Yu, G. A process simulation study of CO2 capture by ionic liquids. Int. J. Greenh. Gas Control 2017, 58, 223–231. [Google Scholar] [CrossRef]
- de Riva, J.; Suarez-Reyes, J.; Moreno, D.; Díaz, I.; Ferro, V.; Palomar, J. Ionic liquids for post-combustion CO2 capture by physical absorption: Thermodynamic, kinetic and process analysis. Int. J. Greenh. Gas Control 2017, 61, 61–70. [Google Scholar] [CrossRef]
- Mota-Martinez, M.T.; Brandl, P.; Hallett, J.P.; Mac Dowell, N. Challenges and opportunities for the utilisation of ionic liquids as solvents for CO2 capture. Mol. Syst. Des. Eng. 2018, 3, 560–571. [Google Scholar] [CrossRef]
- García-Gutiérrez, P.; Jacquemin, J.; McCrellis, C.; Dimitriou, I.; Taylor, S.F.R.; Hardacre, C.; Allen, R.W.K. Techno-Economic Feasibility of Selective CO2 Capture Processes from Biogas Streams Using Ionic Liquids as Physical Absorbents. Energy Fuels 2016, 30, 5052–5064. [Google Scholar] [CrossRef]
- Akinola, T.E.; Oko, E.; Wang, M. Study of CO2 removal in natural gas process using mixture of ionic liquid and MEA through process simulation. Fuel 2019, 236, 135–146. [Google Scholar] [CrossRef]
- Huang, Y.; Zhang, X.; Zhang, X.; Dong, H.; Zhang, S. Thermodynamic Modeling and Assessment of Ionic Liquid-Based CO2 Capture Processes. Ind. Eng. Chem. Res. 2014, 53, 11805–11817. [Google Scholar] [CrossRef]
- Shiflett, M.B.; Drew, D.W.; Cantini, R.A.; Yokozeki, A. Carbon Dioxide Capture Using Ionic Liquid 1-Butyl-3-methylimidazolium Acetate. Energy Fuels 2010, 24, 5781–5789. [Google Scholar] [CrossRef]
- Chen, L.; Sharifzadeh, M.; Mac Dowell, N.; Welton, T.; Shah, N.; Hallett, J.P. Inexpensive ionic liquids:[HSO 4]−-based solvent production at bulk scale. Green Chem. 2014, 16, 3098–3106. [Google Scholar] [CrossRef]
- Meindersma, G.W.; de Haan, A.B. Conceptual process design for aromatic/aliphatic separation with ionic liquids. Chem. Eng. Res. Des. 2008, 86, 745–752. [Google Scholar] [CrossRef]
- Liu, Y.; Han, W.; Xu, Z.; Fan, W.; Peng, W.; Luo, S. Comparative toxicity of pristine graphene oxide and its carboxyl, imidazole or polyethylene glycol functionalized products to Daphnia magna: A two generation study. Environ. Pollut. 2018, 237, 218–227. [Google Scholar] [CrossRef]
- Wan, R.; Xia, X.; Wang, P.; Huo, W.; Dong, H.; Chang, Z. Toxicity of imidazoles ionic liquid [C16mim]Cl to HepG2 cells. Toxicol. In Vitro 2018, 52, 1–7. [Google Scholar] [CrossRef]
- Aghaie, M.; Rezaei, N.; Zendehboudi, S. A systematic review on CO2 capture with ionic liquids: Current status and future prospects. Renew. Sustain. Energy Rev. 2018, 96, 502–525. [Google Scholar] [CrossRef]
- Shaikh, A.R.; Ashraf, M.; AlMayef, T.; Chawla, M.; Poater, A.; Cavallo, L. Amino acid ionic liquids as potential candidates for CO2 capture: Combined density functional theory and molecular dynamics simulations. Chem. Phys. Lett. 2020, 745, 137239. [Google Scholar] [CrossRef]
- Baghban, A.; Mohammadi, A.H.; Taleghani, M.S. Rigorous modeling of CO2 equilibrium absorption in ionic liquids. Int. J. Greenh. Gas Control 2017, 58, 19–41. [Google Scholar] [CrossRef]
- Haider, J.; Saeed, S.; Qyyum, M.A.; Kazmi, B.; Ahmad, R.; Muhammad, A.; Lee, M. Simultaneous capture of acid gases from natural gas adopting ionic liquids: Challenges, recent developments, and prospects. Renew. Sustain. Energy Rev. 2020, 123, 109771. [Google Scholar] [CrossRef]
- Solangi, N.H.; Anjum, A.; Tanjung, F.A.; Mazari, S.A.; Mubarak, N.M. A review of recent trends and emerging perspectives of ionic liquid membranes for CO2 separation. J. Environ. Chem. Eng. 2021, 9, 105860. [Google Scholar] [CrossRef]
- Gür, T.M. Carbon Dioxide Emissions, Capture, Storage and Utilization: Review of Materials, Processes and Technologies. Prog. Energy Combust. Sci. 2022, 89, 100965. [Google Scholar] [CrossRef]
- Ma, C.; Sarmad, S.; Mikkola, J.-P.; Ji, X. Development of Low-Cost Deep Eutectic Solvents for CO2 Capture. Energy Procedia 2017, 142, 3320–3325. [Google Scholar] [CrossRef]
- Chen, W.; Xue, Z.; Wang, J.; Jiang, J.; Zhao, X.; Mu, T. Investigation on the thermal stability of deep eutectic solvents. Acta Phys. Chim. Sin. 2018, 34, 904–911. [Google Scholar] [CrossRef]
- Cvjetko Bubalo, M.; Vidović, S.; Radojčić Redovniković, I.; Jokić, S. Green solvents for green technologies. J. Chem. Technol. Biotechnol. 2015, 90, 1631–1639. [Google Scholar] [CrossRef]
- Aissaoui, T.; AlNashef, I.M.; Qureshi, U.A.; Benguerba, Y. Potential applications of deep eutectic solvents in natural gas sweetening for CO2 capture. Rev. Chem. Eng. 2017, 33, 523–550. [Google Scholar] [CrossRef]
- Ghaedi, H.; Ayoub, M.; Sufian, S.; Shariff, A.M.; Hailegiorgis, S.M.; Khan, S.N. CO2 capture with the help of Phosphonium-based deep eutectic solvents. J. Mol. Liq. 2017, 243, 564–571. [Google Scholar] [CrossRef]
- Trivedi, T.J.; Lee, J.H.; Lee, H.J.; Jeong, Y.K.; Choi, J.W. Deep eutectic solvents as attractive media for CO2 capture. Green Chem. 2016, 18, 2834–2842. [Google Scholar] [CrossRef]
- Wang, Y.; Ren, S.; Hou, Y.; Wu, W. Capture of Acidic Gases from Flue Gas by Deep Eutectic Solvents. Processes 2021, 9, 1268. [Google Scholar] [CrossRef]
- Mukesh, C.; Khokarale, S.G.; Virtanen, P.; Mikkola, J.-P. Rapid desorption of CO2 from deep eutectic solvents based on polyamines at lower temperatures: An alternative technology with industrial potential. Sustain. Energy Fuels 2019, 3, 2125–2134. [Google Scholar] [CrossRef]
- Adeyemi, I.; Abu-Zahra, M.R.M.; Alnashef, I. Experimental Study of the Solubility of CO2 in Novel Amine Based Deep Eutectic Solvents. Energy Procedia 2017, 105, 1394–1400. [Google Scholar] [CrossRef]
- Sarmad, S.; Nikjoo, D.; Mikkola, J.-P. Amine functionalized deep eutectic solvent for CO2 capture: Measurements and modeling. J. Mol. Liq. 2020, 309, 113159. [Google Scholar] [CrossRef]
- Haider, M.B.; Jha, D.; Marriyappan Sivagnanam, B.; Kumar, R. Thermodynamic and Kinetic Studies of CO2 Capture by Glycol and Amine-Based Deep Eutectic Solvents. J. Chem. Eng. Data 2018, 63, 2671–2680. [Google Scholar] [CrossRef]
- Cao, L.; Huang, J.; Zhang, X.; Zhang, S.; Gao, J.; Zeng, S. Imidazole tailored deep eutectic solvents for CO2 capture enhanced by hydrogen bonds. Phys. Chem. Chem. Phys. 2015, 17, 27306–27316. [Google Scholar] [CrossRef]
- Cui, G.; Lv, M.; Yang, D. Efficient CO2 absorption by azolide-based deep eutectic solvents. Chem. Commun. 2019, 55, 1426–1429. [Google Scholar] [CrossRef] [PubMed]
- Liu, F.; Shen, Y.; Shen, L.; Sun, C.; Chen, L.; Wang, Q.; Li, S.; Li, W. Novel Amino-Functionalized Ionic Liquid/Organic Solvent with Low Viscosity for CO2 Capture. Environ. Sci. Technol. 2020, 54, 3520–3529. [Google Scholar] [CrossRef] [PubMed]
- Lee, Y.-Y.; Penley, D.; Klemm, A.; Dean, W.; Gurkan, B. Deep Eutectic Solvent Formed by Imidazolium Cyanopyrrolide and Ethylene Glycol for Reactive CO2 Separations. ACS Sustain. Chem. Eng. 2021, 9, 1090–1098. [Google Scholar] [CrossRef]
- Kaljurand, I.; Koppel, I.A.; Kütt, A.; Rõõm, E.-I.; Rodima, T.; Koppel, I.; Mishima, M.; Leito, I. Experimental Gas-Phase Basicity Scale of Superbasic Phosphazenes. J. Phys. Chem. A 2007, 111, 1245–1250. [Google Scholar] [CrossRef] [PubMed]
- Luo, H.; Baker, G.A.; Lee, J.S.; Pagni, R.M.; Dai, S. Ultrastable Superbase-Derived Protic Ionic Liquids. J. Phys. Chem. B 2009, 113, 4181–4183. [Google Scholar] [CrossRef] [PubMed]
- Sze, L.L.; Pandey, S.; Ravula, S.; Pandey, S.; Zhao, H.; Baker, G.A.; Baker, S.N. Ternary Deep Eutectic Solvents Tasked for Carbon Dioxide Capture. ACS Sustain. Chem. Eng. 2014, 2, 2117–2123. [Google Scholar] [CrossRef]
- Jiang, B.; Ma, J.; Yang, N.; Huang, Z.; Zhang, N.; Tantai, X.; Sun, Y.; Zhang, L. Superbase/Acylamido-Based Deep Eutectic Solvents for Multiple-Site Efficient CO2 Absorption. Energy Fuels 2019, 33, 7569–7577. [Google Scholar] [CrossRef]
- Zhang, N.; Huang, Z.; Zhang, H.; Ma, J.; Jiang, B.; Zhang, L. Highly Efficient and Reversible CO2 Capture by Task-Specific Deep Eutectic Solvents. Ind. Eng. Chem. Res. 2019, 58, 13321–13329. [Google Scholar] [CrossRef]
- Yan, H.; Zhao, L.; Bai, Y.; Li, F.; Dong, H.; Wang, H.; Zhang, X.; Zeng, S. Superbase Ionic Liquid-Based Deep Eutectic Solvents for Improving CO2 Absorption. ACS Sustain. Chem. Eng. 2020, 8, 2523–2530. [Google Scholar] [CrossRef]
- Shukla, S.K.; Mikkola, J.-P. Intermolecular interactions upon carbon dioxide capture in deep-eutectic solvents. Phys. Chem. Chem. Phys. 2018, 20, 24591–24601. [Google Scholar] [CrossRef]
- Abbott, A.P.; Boothby, D.; Capper, G.; Davies, D.L.; Rasheed, R.K. Deep Eutectic Solvents Formed between Choline Chloride and Carboxylic Acids: Versatile Alternatives to Ionic Liquids. J. Am. Chem. Soc. 2004, 126, 9142–9147. [Google Scholar] [CrossRef] [PubMed]
- Li, X.; Hou, M.; Han, B.; Wang, X.; Zou, L. Solubility of CO2 in a Choline Chloride + Urea Eutectic Mixture. J. Chem. Eng. Data 2008, 53, 548–550. [Google Scholar] [CrossRef]
- Leron, R.B.; Li, M.-H. Solubility of carbon dioxide in a eutectic mixture of choline chloride and glycerol at moderate pressures. J. Chem. Thermodyn. 2013, 57, 131–136. [Google Scholar] [CrossRef]
- Sarmad, S.; Xie, Y.; Mikkola, J.-P.; Ji, X. Screening of deep eutectic solvents (DESs) as green CO2 sorbents: From solubility to viscosity. New J. Chem. 2017, 41, 290–301. [Google Scholar] [CrossRef]
- Wang, J.; Cheng, H.; Song, Z.; Chen, L.; Deng, L.; Qi, Z. Carbon dioxide solubility in phosphonium-based deep eutectic solvents: An experimental and molecular dynamics study. Ind. Eng. Chem. Res. 2019, 58, 17514–17523. [Google Scholar] [CrossRef]
- Wilm, L.F.B.; Das, M.; Janssen-Müller, D.; Mück-Lichtenfeld, C.; Glorius, F.; Dielmann, F. Photoswitchable Nitrogen Superbases: Using Light for Reversible Carbon Dioxide Capture. Angew. Chem. Int. Ed. 2022, 61, e202112344. [Google Scholar] [CrossRef]
- Wang, Z.; Wang, Z.; Huang, X.; Yang, D.; Wu, C.; Chen, J. Deep eutectic solvents composed of bio-phenol-derived superbase ionic liquids and ethylene glycol for CO2 capture. Chem. Commun. 2022, 58, 2160–2163. [Google Scholar] [CrossRef] [PubMed]
- Wang, C.; Luo, H.; Luo, X.; Li, H.; Dai, S. Equimolar CO2 capture by imidazolium-based ionic liquids and superbase systems. Green Chem. 2010, 12, 2019–2023. [Google Scholar] [CrossRef]
- Jędrzejczak, P.; Collins, M.N.; Jesionowski, T.; Klapiszewski, Ł. The role of lignin and lignin-based materials in sustainable construction—A comprehensive review. Int. J. Biol. Macromol. 2021, 187, 624–650. [Google Scholar] [CrossRef] [PubMed]
- Bhawna; Pandey, A.; Pandey, S. Superbase-Added Choline Chloride-Based Deep Eutectic Solvents for CO2 Capture and Sequestration. ChemistrySelect 2017, 2, 11422–11430. [Google Scholar] [CrossRef]
- Chen, Y.; Ai, N.; Li, G.; Shan, H.; Cui, Y.; Deng, D. Solubilities of Carbon Dioxide in Eutectic Mixtures of Choline Chloride and Dihydric Alcohols. J. Chem. Eng. Data 2014, 59, 1247–1253. [Google Scholar] [CrossRef]
- Lu, M.; Han, G.; Jiang, Y.; Zhang, X.; Deng, D.; Ai, N. Solubilities of carbon dioxide in the eutectic mixture of levulinic acid (or furfuryl alcohol) and choline chloride. J. Chem. Thermodyn. 2015, 88, 72–77. [Google Scholar] [CrossRef]
- Li, G.; Deng, D.; Chen, Y.; Shan, H.; Ai, N. Solubilities and thermodynamic properties of CO2 in choline-chloride based deep eutectic solvents. J. Chem. Thermodyn. 2014, 75, 58–62. [Google Scholar] [CrossRef]
- Leron, R.B.; Caparanga, A.; Li, M.-H. Carbon dioxide solubility in a deep eutectic solvent based on choline chloride and urea at T=303.15–343.15K and moderate pressures. J. Taiwan Inst. Chem. Eng. 2013, 44, 879–885. [Google Scholar] [CrossRef]
- Ali, E.; Hadj-Kali, M.K.; Mulyono, S.; Alnashef, I.; Fakeeha, A.; Mjalli, F.; Hayyan, A. Solubility of CO2 in deep eutectic solvents: Experiments and modelling using the Peng–Robinson equation of state. Chem. Eng. Res. Des. 2014, 92, 1898–1906. [Google Scholar] [CrossRef]
- Zubeir, L.F.; Lacroix, M.H.M.; Kroon, M.C. Low Transition Temperature Mixtures as Innovative and Sustainable CO2 Capture Solvents. J. Phys. Chem. B 2014, 118, 14429–14441. [Google Scholar] [CrossRef]
- García, G.; Aparicio, S.; Ullah, R.; Atilhan, M. Deep eutectic solvents: Physicochemical properties and gas separation applications. Energy Fuels 2015, 29, 2616–2644. [Google Scholar] [CrossRef]
- Yang, X.; Zou, Q.; Zhao, T.; Chen, P.; Liu, Z.; Liu, F.; Lin, Q. Deep Eutectic Solvents as Efficient Catalysts for Fixation of CO2 to Cyclic Carbonates at Ambient Temperature and Pressure through Synergetic Catalysis. ACS Sustain. Chem. Eng. 2021, 9, 10437–10443. [Google Scholar] [CrossRef]
- Komarova, A.O.; Dick, G.R.; Luterbacher, J.S. Diformylxylose as a new polar aprotic solvent produced from renewable biomass. Green Chem. 2021, 23, 4790–4799. [Google Scholar] [CrossRef]
- Yang, Y.; Cao, H.; Wang, Y.; Zhao, J.; Ren, W.; Wang, B.; Qin, P.; Chen, F.; Wang, Y.; Cai, D. Non-isocyanate polyurethane from sweet potato residual and the application in food preservation. Ind. Crops Prod. 2022, 186, 115224. [Google Scholar] [CrossRef]
- Peters, R.; Decker, M.; Eggemann, L.; Schemme, S.; Schorn, F.; Breuer, J.L.; Weiske, S.; Pasel, J.; Samsun, R.C.; Stolten, D. Thermodynamic and ecological preselection of synthetic fuel intermediates from biogas at farm sites. Energy Sustain. Soc. 2020, 10, 4. [Google Scholar] [CrossRef]
- Yang, Z.; Yu, B.; Zhang, H.; Zhao, Y.; Chen, Y.; Ma, Z.; Ji, G.; Gao, X.; Han, B.; Liu, Z. Metalated Mesoporous Poly(triphenylphosphine) with Azo Functionality: Efficient Catalysts for CO2 Conversion. ACS Catal. 2016, 6, 1268–1273. [Google Scholar] [CrossRef]
- Durand, E.; Lecomte, J.; Villeneuve, P. Deep eutectic solvents: Synthesis, application, and focus on lipase-catalyzed reactions. Eur. J. Lipid Sci. Technol. 2013, 115, 379–385. [Google Scholar] [CrossRef]
- Alonso, D.A.; Baeza, A.; Chinchilla, R.; Guillena, G.; Pastor, I.M.; Ramón, D.J. Deep Eutectic Solvents: The Organic Reaction Medium of the Century. Eur. J. Org. Chem. 2016, 2016, 612–632. [Google Scholar] [CrossRef]
- Cheng, W.; Fu, Z.; Wang, J.; Sun, J.; Zhang, S. ZnBr2-Based Choline Chloride Ionic Liquid for Efficient Fixation of CO2 to Cyclic Carbonate. Synth. Commun. 2012, 42, 2564–2573. [Google Scholar] [CrossRef]
- Liu, F.; Gu, Y.; Xin, H.; Zhao, P.; Gao, J.; Liu, M. Multifunctional Phosphonium-Based Deep Eutectic Ionic Liquids: Insights into Simultaneous Activation of CO2 and Epoxide and Their Subsequent Cycloaddition. ACS Sustain. Chem. Eng. 2019, 7, 16674–16681. [Google Scholar] [CrossRef]
- Xiong, X.; Zhang, H.; Lai, S.L.; Gao, J.; Gao, L. Lignin modified by deep eutectic solvents as green, reusable, and bio-based catalysts for efficient chemical fixation of CO2. React. Funct. Polym. 2020, 149, 104502. [Google Scholar] [CrossRef]
- Zhang, Z.; Wang, H.; Nie, Y.; Zhang, X.; Ji, X. Natural Deep Eutectic Solvents Enhanced Electro-Enzymatic Conversion of CO2 to Methanol. Front. Chem. 2022, 10, 894106. [Google Scholar] [CrossRef]
- Jiang, Z.; Xiao, T.; Kuznetsov, V.Á.; Edwards, P.Á. Turning carbon dioxide into fuel. Philos. Trans. R. Soc. A Math. Phys. Eng. Sci. 2010, 368, 3343–3364. [Google Scholar] [CrossRef] [PubMed]
- Sun, Y.; Lin, Z.; Peng, S.H.; Sage, V.; Sun, Z. A critical perspective on CO2 conversions into chemicals and fuels. J. Nanosci. Nanotechnol. 2019, 19, 3097–3109. [Google Scholar] [CrossRef] [PubMed]
- Jeffry, L.; Ong, M.Y.; Nomanbhay, S.; Mofijur, M.; Mubashir, M.; Show, P.L. Greenhouse gases utilization: A review. Fuel 2021, 301, 121017. [Google Scholar] [CrossRef]
- Mondal, B.; Song, J.; Neese, F.; Ye, S. Bio-inspired mechanistic insights into CO2 reduction. Curr. Opin. Chem. Biol. 2015, 25, 103–109. [Google Scholar] [CrossRef] [PubMed]
- Wang, B.; Yao, J.; Wang, J.; Chang, A. Valence-induced distortion controls the resistivity and thermal stability of Co2.77Mn1.71Fe1.10Zn0.42O8 ceramics. Mater. Des. 2020, 192, 108736. [Google Scholar] [CrossRef]
- Fu, J.; Jiang, K.; Qiu, X.; Yu, J.; Liu, M. Product selectivity of photocatalytic CO2 reduction reactions. Mater. Today 2020, 32, 222–243. [Google Scholar] [CrossRef]
- Shi, J.; Jiang, Y.; Jiang, Z.; Wang, X.; Wang, X.; Zhang, S.; Han, P.; Yang, C. Enzymatic conversion of carbon dioxide. Chem. Soc. Rev. 2015, 44, 5981–6000. [Google Scholar] [CrossRef] [PubMed]
- Wang, X.; Li, Z.; Shi, J.; Wu, H.; Jiang, Z.; Zhang, W.; Song, X.; Ai, Q. Bioinspired Approach to Multienzyme Cascade System Construction for Efficient Carbon Dioxide Reduction. ACS Catal. 2014, 4, 962–972. [Google Scholar] [CrossRef]
- Zhang, Z.; Li, F.; Nie, Y.; Zhang, X.; Zhang, S.; Ji, X. Zinc-based deep eutectic solvent—An efficient carbonic anhydrase mimic for CO2 hydration and conversion. Sep. Purif. Technol. 2021, 276, 119446. [Google Scholar] [CrossRef]
- Gautam, R.K.; Seth, D. Thermal conductivity of deep eutectic solvents. J. Therm. Anal. Calorim. 2020, 140, 2633–2640. [Google Scholar] [CrossRef]
- Shahbaz, K.; Mjalli, F.S.; Vakili-Nezhaad, G.; AlNashef, I.M.; Asadov, A.; Farid, M.M. Thermogravimetric measurement of deep eutectic solvents vapor pressure. J. Mol. Liq. 2016, 222, 61–66. [Google Scholar] [CrossRef]
- Wu, J.; Liang, Q.; Yu, X.; Lv, Q.-F.; Ma, L.; Qin, X.; Chen, G.; Li, B. Deep Eutectic Solvents for Boosting Electrochemical Energy Storage and Conversion: A Review and Perspective. Adv. Funct. Mater. 2021, 31, 2011102. [Google Scholar] [CrossRef]
- Pätzold, M.; Siebenhaller, S.; Kara, S.; Liese, A.; Syldatk, C.; Holtmann, D. Deep Eutectic Solvents as Efficient Solvents in Biocatalysis. Trends Biotechnol. 2019, 37, 943–959. [Google Scholar] [CrossRef]
- Liao, H.-G.; Jiang, Y.-X.; Zhou, Z.-Y.; Chen, S.-P.; Sun, S.-G. Shape-Controlled Synthesis of Gold Nanoparticles in Deep Eutectic Solvents for Studies of Structure–Functionality Relationships in Electrocatalysis. Angew. Chem. Int. Ed. 2008, 47, 9100–9103. [Google Scholar] [CrossRef]
- Yang, D.; Zhu, Q.; Chen, C.; Liu, H.; Liu, Z.; Zhao, Z.; Zhang, X.; Liu, S.; Han, B. Selective electroreduction of carbon dioxide to methanol on copper selenide nanocatalysts. Nat. Commun. 2019, 10, 677. [Google Scholar] [CrossRef] [PubMed]
- Yang, T.-X.; Zhao, L.-Q.; Wang, J.; Song, G.-L.; Liu, H.-M.; Cheng, H.; Yang, Z. Improving Whole-Cell Biocatalysis by Addition of Deep Eutectic Solvents and Natural Deep Eutectic Solvents. ACS Sustain. Chem. Eng. 2017, 5, 5713–5722. [Google Scholar] [CrossRef]
- Rahman, M.S.; Roy, R.; Montoya, C.; Halim, M.A.; Raynie, D.E. Acidic and basic amino acid-based novel deep eutectic solvents and their role in depolymerization of lignin. J. Mol. Liq. 2022, 362, 119751. [Google Scholar] [CrossRef]
- Yang, S.-L.; Duan, Z.-Q. Insight into enzymatic synthesis of phosphatidylserine in deep eutectic solvents. Catal. Commun. 2016, 82, 16–19. [Google Scholar] [CrossRef]
- Chemat, F.; You, H.J.; Muthukumar, K.; Murugesan, T. Effect of l-arginine on the physical properties of choline chloride and glycerol based deep eutectic solvents. J. Mol. Liq. 2015, 212, 605–611. [Google Scholar] [CrossRef]
- Toledo, M.L.; Pereira, M.M.; Freire, M.G.; Silva, J.P.A.; Coutinho, J.A.P.; Tavares, A.P.M. Laccase Activation in Deep Eutectic Solvents. ACS Sustain. Chem. Eng. 2019, 7, 11806–11814. [Google Scholar] [CrossRef]
- Słupek, E.; Makoś, P.; Gębicki, J. Theoretical and economic evaluation of low-cost deep eutectic solvents for effective biogas upgrading to bio-methane. Energies 2020, 13, 3379. [Google Scholar] [CrossRef]
- Deng, D.; Deng, X.; Duan, X.; Gong, L. Protic guanidine isothiocyanate plus acetamide deep eutectic solvents with low viscosity for efficient NH3 capture and NH3/CO2 separation. J. Mol. Liq. 2021, 324, 114719. [Google Scholar] [CrossRef]
- Mulia, K.; Putri, S.; Krisanti, E.; Nasruddin. Natural deep eutectic solvents (NADES) as green solvents for carbon dioxide capture. AIP Conf. Proc. 2017, 1823, 020022. [Google Scholar]
- Siani, G.; Tiecco, M.; Di Profio, P.; Guernelli, S.; Fontana, A.; Ciulla, M.; Canale, V. Physical absorption of CO2 in betaine/carboxylic acid-based Natural Deep Eutectic Solvents. J. Mol. Liq. 2020, 315, 113708. [Google Scholar] [CrossRef]
- Alkhatib, I., II; Ferreira, M.L.; Alba, C.G.; Bahamon, D.; Llovell, F.l.; Pereiro, A.B.; Araújo, J.M.M.; Abu-Zahra, M.R.M.; Vega, L.F. Screening of ionic liquids and deep eutectic solvents for physical CO2 absorption by Soft-SAFT using key performance indicators. J. Chem. Eng. Data 2020, 65, 5844–5861. [Google Scholar] [CrossRef]
- Brennecke, J.F.; Gurkan, B.E. Ionic Liquids for CO2 Capture and Emission Reduction. J. Phys. Chem. Lett. 2010, 1, 3459–3464. [Google Scholar] [CrossRef]
- Appetecchi, G.B.; Scaccia, S.; Tizzani, C.; Alessandrini, F.; Passerini, S. Synthesis of hydrophobic ionic liquids for electrochemical applications. J. Electrochem. Soc. 2006, 153, A1685. [Google Scholar] [CrossRef]
- Zhao, B.-Y.; Xu, P.; Yang, F.-X.; Wu, H.; Zong, M.-H.; Lou, W.-Y. Biocompatible deep eutectic solvents based on choline chloride: Characterization and application to the extraction of rutin from Sophora japonica. ACS Sustain. Chem. Eng. 2015, 3, 2746–2755. [Google Scholar] [CrossRef]
- Li, X.; Row, K.H. Development of deep eutectic solvents applied in extraction and separation. J. Sep. Sci. 2016, 39, 3505–3520. [Google Scholar] [CrossRef]
- Paiva, A.; Craveiro, R.; Aroso, I.; Martins, M.; Reis, R.L.; Duarte, A.R.C. Natural Deep Eutectic Solvents—Solvents for the 21st Century. ACS Sustain. Chem. Eng. 2014, 2, 1063–1071. [Google Scholar] [CrossRef]
- Tomé, L.C.; Marrucho, I.M. Ionic liquid-based materials: A platform to design engineered CO2 separation membranes. Chem. Soc. Rev. 2016, 45, 2785–2824. [Google Scholar] [CrossRef]
- Ochedi, F.O.; Yu, J.; Yu, H.; Liu, Y.; Hussain, A. Carbon dioxide capture using liquid absorption methods: A review. Environ. Chem. Lett. 2021, 19, 77–109. [Google Scholar] [CrossRef]
- Dai, Y.; Witkamp, G.-J.; Verpoorte, R.; Choi, Y.H. Tailoring properties of natural deep eutectic solvents with water to facilitate their applications. Food Chem. 2015, 187, 14–19. [Google Scholar] [CrossRef]
- Wang, B.; Cheng, J.; Wang, D.; Li, X.; Meng, Q.; Zhang, Z.; An, J.; Liu, X.; Li, M. Study on the Desulfurization and Regeneration Performance of Functional Deep Eutectic Solvents. ACS Omega 2020, 5, 15353–15361. [Google Scholar] [CrossRef]
- Ahmad, N.; Lin, X.; Wang, X.; Xu, J.; Xu, X. Understanding the CO2 capture performance by MDEA-based deep eutectics solvents with excellent cyclic capacity. Fuel 2021, 293, 120466. [Google Scholar] [CrossRef]
- Li, A.; Ren, S.; Teng, C.; Liu, H.; Zhang, Q. The role of deep eutectic solvents in chiral capillary electrokinetic chromatography: A comparative study based on α-cyclodextrin chiral selector. J. Mol. Liq. 2022, 359, 119281. [Google Scholar] [CrossRef]
- Bagherzadeh, A.; Shahini, N.; Saber, D.; Yousefi, P.; Alizadeh, S.M.S.; Ahmadi, S.; Shahdost, F.T. Developing a global approach for determining the molar heat capacity of deep eutectic solvents. Measurement 2022, 188, 110630. [Google Scholar] [CrossRef]
- Abdollahzadeh, M.; Khosravi, M.; Hajipour Khire Masjidi, B.; Samimi Behbahan, A.; Bagherzadeh, A.; Shahkar, A.; Tat Shahdost, F. Estimating the density of deep eutectic solvents applying supervised machine learning techniques. Sci. Rep. 2022, 12, 4954. [Google Scholar] [CrossRef] [PubMed]
- Gupta, V.; Thakur, R.; Das, A.B. Effect of natural deep eutectic solvents on thermal stability, syneresis, and viscoelastic properties of high amylose starch. Int. J. Biol. Macromol. 2021, 187, 575–583. [Google Scholar] [CrossRef] [PubMed]
- Sharma, G.; Sequeira, R.A.; Pereira, M.M.; Maity, T.K.; Chudasama, N.A.; Prasad, K. Are ionic liquids and deep eutectic solvents the same?: Fundamental investigation from DNA dissolution point of view. J. Mol. Liq. 2021, 328, 115386. [Google Scholar] [CrossRef]
- Wang, L.; Zhu, K.-q.; Chen, Q.; He, M.-y. Facile and environmentally friendly halogenation of BODIPYs in deep eutectic solvent. Dye. Pigment. 2015, 112, 274–279. [Google Scholar] [CrossRef]
- Krishnan, A.; Gopinath, K.P.; Vo, D.-V.N.; Malolan, R.; Nagarajan, V.M.; Arun, J. Ionic liquids, deep eutectic solvents and liquid polymers as green solvents in carbon capture technologies: A review. Environ. Chem. Lett. 2020, 18, 2031–2054. [Google Scholar] [CrossRef]
- Zhang, Q.; De Oliveira Vigier, K.; Royer, S.; Jérôme, F. Deep eutectic solvents: Syntheses, properties and applications. Chem. Soc. Rev. 2012, 41, 7108–7146. [Google Scholar] [CrossRef]
- Maugeri, Z.; de María, P.D.J.R.A. Novel choline-chloride-based deep-eutectic-solvents with renewable hydrogen bond donors: Levulinic acid and sugar-based polyols. R. Soc. Chem. 2012, 2, 421–425. [Google Scholar] [CrossRef]
- Bernasconi, R.; Panzeri, G.; Accogli, A.; Liberale, F.; Nobili, L.; Magagnin, L. Electrodeposition from deep eutectic solvents. In Progress and Developments in Ionic Liquids; Intech Open: Rijeka, Croatia, 2017; pp. 235–261. [Google Scholar]
- Su, W.C.; Wong, D.S.H.; Li, M.H. Effect of water on solubility of carbon dioxide in (aminomethanamide + 2-hydroxy-N, N, N-trimethylethanaminium chloride). J. Chem. Eng. Data 2009, 54, 1951–1955. [Google Scholar] [CrossRef]
- Hsu, Y.-H.; Leron, R.B.; Li, M.-H. Solubility of carbon dioxide in aqueous mixtures of (reline+monoethanolamine) at T=(313.2 to 353.2)K. J. Chem. Thermodyn. 2014, 72, 94–99. [Google Scholar] [CrossRef]
- Francisco, M.; van den Bruinhorst, A.; Zubeir, L.F.; Peters, C.J.; Kroon, M.C. A new low transition temperature mixture (LTTM) formed by choline chloride+lactic acid: Characterization as solvent for CO2 capture. Fluid Phase Equilibria 2013, 340, 77–84. [Google Scholar] [CrossRef]
Publisher’s Note: MDPI stays neutral with regard to jurisdictional claims in published maps and institutional affiliations. |
© 2022 by the authors. Licensee MDPI, Basel, Switzerland. This article is an open access article distributed under the terms and conditions of the Creative Commons Attribution (CC BY) license (https://creativecommons.org/licenses/by/4.0/).

















































