Next Article in Journal
Effect of Hydrogen Enhancement on Natural Flame Luminosity of Tri-Fuel Combustion in an Optical Engine
Previous Article in Journal
Efficient Energy Recovery Scenarios from Pressure-Reducing Stations Intended for New Al-Alamein City in Egypt
 
 
Font Type:
Arial Georgia Verdana
Font Size:
Aa Aa Aa
Line Spacing:
Column Width:
Background:
Article

A Fractional Order Super Twisting Sliding Mode Controller for Energy Management in Smart Microgrid Using Dynamic Pricing Approach

1
Department of Electrical Engineering, University of Engineering and Technology, Mardan 23200, Pakistan
2
Department of Electrical Engineering, University of Engineering and Technology, Peshawar 25000, Pakistan
3
Department of Electrical Engineering, Lahore College for Women University, Lahore 54000, Pakistan
4
Department of Telecommunication Engineering, University of Engineering and Technology, Peshawar 23200, Pakistan
5
Department of Electrical Engineering, CECOS University of IT & Emerging Sciences, Peshawar 25100, Pakistan
*
Author to whom correspondence should be addressed.
Energies 2022, 15(23), 9074; https://doi.org/10.3390/en15239074
Submission received: 20 September 2022 / Revised: 19 October 2022 / Accepted: 27 October 2022 / Published: 30 November 2022

Abstract

A real-time energy management strategy using dynamic pricing mechanism by deploying a fractional order super twisting sliding mode controller (FOSTSMC) is proposed for correspondence between energy users and providers. This framework, which controls the energy demand of the smart grid’s users is managed by the pricing signal provided by the FOSTSMC, issued to the smart meters, and adjusts the users’ demand to remove the difference between energy demand and generation. For the implementation purpose, a scenario based in MATLAB/Simulink is constructed where a sample renewable energy–integrated smart microgrid is considered. For the validation of the framework, the results of FOSTSMC are compared with the benchmark PI controller’s response. The results of the benchmark PI controller are firstly compared in step response analysis, which is followed by the comparison in deploying in renewable energy–integrated smart grid scenario with multiple users. The results indicate that the FOSTSMC-based controller strategy outperformed the existing PI controller-based strategy in terms of overshoot, energy balance, and energy price regulation.

1. Introduction

1.1. Motivation and Background

Nowadays, the integration of renewable energy sources (RES) and electric vehicle (EV) [1,2,3,4] with power systems are focused on by many researchers due to the environment and sustainability-friendly nature of RES [5,6]. RES is preferred due to the high cost of traditional energy sources [7]. Carbon emissions are also minimized by using RES-based resources [8,9]. For the researchers in this area, the balance between generation and demand is also an important concern because these sources are uncertain, in that they depend on the weather condition [10,11]. Moreover, RES such as wind and solar resources fluctuates, and some effort is required for its integration with microgrids [12,13,14,15]. Moreover, the renewable energy depends upon meteorological conditions of the area [16,17,18,19]. Thus, in these conditions, to fulfill the need of the energy consumers, the equilibrium must be kept up so that the energy consumer can confront short-term energy blackouts [20].
There are complex architectures and stakeholders involved in the paradigm of the smart grid operating simultaneously to ensure proper functioning together. The main function of this is to improve the efficiency and reliability of the electrical power system while using the architecture of the smart grid. In order to improve the efficiency of the electrical power system, a recent area of demand side load management (DSLM) is developed which focuses on addressing of management issues in electrical power systems. DSLM aims to enhance and optimize resource allocation, and realize minimum cost power service [21,22]. With the introduction of models and controllers which enable DSLM [23], the proposed framework will obtain the demand response (DR) of energy consumers, which helps in controlling energy demand according to the energy available [24]. Moreover, with the adoption of modern communication networks and intelligent devices, DR programs are utilized for the purpose of controlling the consumers’ demand. DR programs are considered a cost-effective model in order to lower the consumers’ electricity usage cost; however, they can be considered more effective for controlling elastic demand, which directly depends upon the energy price. Moreover, the DR programs are also capable of affecting the consumers’ load preferences in accordance with the energy pricing, and as a result, maintain the energy balance among the supplier and users [25]. In order to better utilize the DR programs, the consumer side premises are installed with smart meters which enables the two-way communication between the demand and supply side and makes a way for the communication of the DR programs. Such architecture of communication of data can be utilized by the advanced metering infrastructure, through which consumption pattern and cost of electricity is transmitted to both ends in order of maintaining the energy balance. The DR programs are mainly decided by the energy provider, which includes different types of DR programs which are price-based and incentive-based programs [26]. Dynamic pricing is one of the pricing-based DR programs utilized in the current work in order to control the demand in real-time. Furthermore, a controller-based mechanism is also developed for the purpose of deciding the dynamic price of energy by removing the mismatch between energy supply and demand. Moreover, some specialists additionally grew new strategies of two-way correspondence among energy suppliers and consumers at the demand side in recent works [27,28,29,30].
The essential objective of demand side load management (DSLM) is to reduce peak demand, operational costs, and carbon emission, which can be achieved by optimal scheduling through optimization algorithms [31]. The optimized scheduling of the load at the consumer side can be done using different optimization algorithms such as Mixed integer linear programming [32], genetic algorithm [33], and multi-agents techniques which formulate the problem as an optimization problem [34]. However, while reducing the operational cost, it may decrease the comfort level of the consumers [35,36]. Some of the recently produced work from the literature do consider the comfort level of the consumers, which essentially increased [37]. For energy demand control and operational cost minimization, load prioritization is one of the techniques through which the consumers can prioritize appliances according to the pricing signal [38]. This technique also somewhat relaxes the consumers in operating the appliances which automatically operate according to the pricing signal [39], as prioritized by the consumers.

1.2. Literature Review

The demand of the consumers under the smart grid becomes more deterministic and predictable with the installation of DSLM agents. Several recent research work in the literature discusses some of the various problems faced by the DSLM. The authors in [40] compared different electricity users’ responses to the day ahead and real time DSLM models and also discuss the deterministic and stochastic models based on DSLM. In order to reduce the peak demand, the authors propose a DSLM strategy that maintains energy balance effectively by user’s load control [41]. Moreover, the authors in [42] presented a strategy in which the appliances of the user are grouped into different categories, and operated on the basis of priority defined by the user. However, the user did not consider the critical loads which can be operated at any time by the user. The key objectives of the implementation of this system are to reduce the peak demand and enhance the overall system’s efficiency. Moreover, the authors in [43,44] also categorized the residential user’s appliances on the basis of flexibility in the operation of the appliance. Conclusively, the authors showed the trade-off between cost and user discomfort. Another work also categorized the appliances of multiple residential homes; the overall system is designed in such a way that the individual home solves its own subproblems and a brief amount of information is shared to the system, whereas the authors claimed that the model solved the multiple residential users demand control problem by operating appliances in a distributed manner [45]. The authors in [46] utilized an optimization algorithm and real-time pricing for the purpose of scheduling of load of different users based on their priorities. In order to implement the system model, the authors used two algorithms with the objectives of cost minimization and increasing user comfort.
In the recent work, the researchers utilized modern techniques such as intelligent energy management controllers, game theory, and more recent techniques like the blockchain mechanism for the energy market price management, consumer load scheduling, and improving the stability of the smart grid architecture. In Ref. [47], the authors reviewed different mechanisms and techniques of communication between the user and energy provider adopted for the purpose of demand control and enhancing the energy efficiency of the smart grid operation. Moreover, for the protection of such communication networks between the energy provider and user, a cyber-physical power system model is proposed in [48]. In our work, the FOSTSMC is utilized for the purpose of regulating the pricing signal to the users using the communication networks. FOSTSMC is one of the modern variants of the well-known sliding mode controller (SMC), which is usually utilized to address uncertainties and external disturbances due to its high robustness. Another variant of the SMC controller is also utilized for incorporating finite-time concepts while comparing it with a simple SMC controller. This variant of the SMC controller shows extraordinary performance due to its high robustness and lowering the disturbance in the overall response of the system. The SMC and its variants are also utilized in the recent works [49], where authors used optimization-based algorithms [50,51,52] for the tuning of the fractional order and classical controller to limit the frequency for two-area power system. Moreover, the authors did not consider the DR of the consumers. The authors proposed a sliding mode controller (SMC) [53] automatic generation-control of interconnected multi-area power systems for the deregulated scenario. In [54], the authors proposed a FOSTSMC controller-based approach with the purpose of improving the performance of the sensor-less induction motor control system. In addition, a benchmark PI controller is used for the same purpose, and the FOSTSMC controller outperforms the PI controller–based design of the sensor-less induction motor control system. In [55,56,57,58], the authors used a variant of the PID controller and used a heuristic optimization algorithm for the purpose of maximizing the power efficiency and current control. However, the use of a PID-based control system can result in higher overshoot and steady-state error in the overall response of the system, and it is also depicted in the results. In [59,60,61], an STSMC controller–based approach is proposed for the robot manipulators. Moreover, the authors reduced the chattering phenomenon which occurs in the response of the STSMC controller. The authors proposed an adaptive STSMC controller with the purpose of eliminating mismatch uncertainties in the non-linear systems. The authors also compared the results with the traditional STSMC controller and the results show that the adaptive STSMC controller outperforms the traditional STSMC controller in terms of the chattering phenomenon. Moreover, in recent work, the control system–based methodology is adopted for the direct modulation pattern control for dual 3 phase drive system [62]. In [63], the authors proposed a fractional order STSMC controller for gyroscope having uncertainty based on the double loop FNN. Furthermore, the authors also showed through simulations the superiority of the FOSTSMC controller over the integer order system. The authors in [64], used the STSMC controller–based approach for the control of the gear-less wind energy turbine by a PMSG. The authors also evaluated the same system having the PI controller; however, the STSMC controller–based approach fully outperformed the PI controller–based approach in terms of performance and robustness under different conditions. Other authors proposed a linear matrix inequality with linear quadratic regulator (LMI-LQR) controller as a coordinator between DR loop and supplementary control loop for different load variations to minimize the frequency deviation caused by communication delays [65,66]. In [67], the authors reviewed different techniques for the frequency and active power control in a smart grid to ensure the power balance between the supply and demand side through an intelligent network system. The authors in [68] reviewed different techniques and evaluate the application background of different of dynamic demand control. The authors also evaluated different techniques for gaining dynamic control through algorithms, namely, centralized demand control, hybrid demand control, and centralized demand control [69,70]. In [71], the authors evaluated the application of the Internet of Things in the load scheduling of consumer appliances to minimize power outages and peak-to-average ratio. Moreover, the authors also proposed an algorithm that utilizes load forecasting, load shedding and scheduling, and smart direct load control, which also help in the real-time control of the consumer’s load.

1.3. Contributions

In the current work, a closed-loop system with a FOSTSMC controller is proposed to control the elastic energy demand of the users in modern smart grids. A FOSTSMC is a variant of the sliding mode controller, which is a more robust and modern controller than the classical controllers. Moreover, the performance of the variants of the sliding mode controller outperforms the existing controller-based strategies in terms of the overshoot, steady state error, robustness, etc. To implement the proposed system model, a scenario consisting of renewable energy–integrated microgrid is discussed and implemented in order to evaluate the performance of the controller-based automation in demand control using a dynamic price-based DR program. To gain automation in demand control, a FOSTSMC is employed, on the basis of the mismatch between generation and demand issue, as well as a price signal to the DSLM agents–based energy management controllers at the demand side. The simulations of our proposed system model shows that the FOSTSMC controller persistently regulates the energy price in real time to the smart meters to reduce the mismatch and to control the elastic demand of the energy users in order to meet the fluctuating renewable energy–integrated microgrid’s generation. Moreover, when compared with the existing classical controller, the proposed controller-based strategy is robust with no overshoot, with less tracing time of 1.5 h—compared to the existing controller-based strategy of 5.5 h—which is indeed a contribution.

1.4. Organization

This paper is organized as follows. Section 2 describes the detailed controller modeling and system architecture under study. The scenario study results and analysis are described in Section 3 to demonstrate the efficacy of the proposed FOSTSMC in comparison with a PI controller–based approach. Finally, this paper ends with conclusions and future work in Section 4.

2. Dynamic Pricing-Based Energy Management Framework

With the developing population overall, it is becoming more challenging to meet the daily energy need of residential, commercial, and industrial sectors. In such circumstances of developing energy interest, we need to present better approaches for controlling the consumer’s daily energy interest according to the energy production capacity and accessible energy to completely utilize environmentally friendly renewable energy. Nowadays, smart grids are equipped with DR programs that, with the help of a feedback system, adjust the energy supplied according to the consumers’ demand. Dynamic energy pricing, a price-based DR program which controls consumers’ demand on the basis of the price of energy, and DSLM agents adjust and schedule the consumers’ daily load according to that pricing signal.

2.1. Problem Formulation and Numerical Analysis

The system model is depicted in Figure 1, consisting of Module I, which shows fluctuating renewable energy supply, which is produced at the local microgrid, and supply from the utility for critical loads; Module II, which represents a price generation server with a FOSTSMC; and Module III in which we have depicted the demand side, which consists of the residential, commercial, and industrial sectors. The supply side consists of the supply from the bulk utility supply and energy from the wind and solar. The renewable energy profile is taken from the study of [72] and the generation is then scaled from KWh to MWh. The consumer side of the smart grid community is equipped with the DSLM agent, which automatically adjusts the consumers’ load according to the price of energy provided by the smart grids. The smart grid regulates the price of energy on the basis of the availability of energy generation.
The difference (error ‘e’) between the instant energy demand and energy generation can be easily evaluated using Equation (1), where D o ( t ) is the instant demand, whereas G ( t ) denotes instant generation.
e = G ( t ) D o ( t )
The difference ‘e’ of the energy generation and demand feeds into the FOSTSMC controller and, to reduce the mismatch, the FOSTSMC controller issues a pricing signal to the smart meters that adjusts the load of the consumers in real time based on the price, which essentially controls the energy demand according to the generation.
In the system model, the relation between demand and price of energy is inverse. Hence, to obtain energy balance, the parameters’ values for the FOSTSMC will be kept negative except K 2 and λ . Moreover, Equation (2) is the elastic DR model function [73]:
τ d D o ( t ) d t + D o ( t ) = D ( p E P )
D o ( t ) in Equation (2) denotes instant demand of the consumer, whereas D ( p E P ) is the piece-wise linear price-demand function. The pricing signal issued from the FOSTSMC controller in order to control the demand of the consumer according to the price takes time in broadcasting to the DSLM models and controllers, hence a delay. L P is added in the overall system which is equivalent to 36 s and can be added using the delay using MATLAB/Simulink.
Through dynamic energy pricing, the energy demand will become more predictable and deterministic in future smart electric grids. Keeping the basic market principle in mind, when the demand of something goes up, the price of that thing increases drastically. So, based on this principle, we proposed a FOSTSMC controller–based approach for the elastic demand control. This proposed demand control framework has a threshold for the high demand D H and low demand D L of energy, So, whenever energy demand is increasing, the FOSTSMC controller automatically regulates the price of energy based on the difference between energy generation and consumers’ energy demand in real time. The elastic demand region is between the E P H and E P L , where the consumers’ energy demand mainly depend upon the price of energy. The determination of the elasticity in demand can be calculated by Equation (3). The elastic demand values will be ranging between [0 1], the value of demand elasticity nearer to zero means higher elastic demand, whereas for the values nearer to 1 shows less elasticity in demand:
E l a s t i c D e m a n d = L o w D e m a n d ( D L ) H i g h D e m a n d ( D H )
By considering Figure 2, the authors in [73] estimated the following piece wise liner function for the estimation of the price-based DR function. It can also be termed as piece-wise linear price-demand function. Equation (4) is a price demand function, which is used for controlling the consumer’s demand in accordance with the energy pricing signal issued by the FOSTSMC. Whenever the consumer demand is higher than the generation, the controller will issue a high pricing signal which will automatically reduce the energy demand in accordance with the energy generation. In addition, the E P L is considered as the lowest energy price and is estimated for the case whenever the energy generation is high and demand of energy at the consumer side is extremely low, which will also enable the controllers at the DSLM to utilize the cheaply available energy for operation of the load and similar for high energy price E P H .
D ( p E P ) = D H E P < E P L ( D H D L ) ( E P L P H ) ( E P E P L ) D L E P > E P H E P L E P E P H
D o ( s ) = D ( p E P ) 1 τ s + 1
To obtain the instant demand equation for the consumers’ energy demand, the Laplace transform of Equation (2) derives the price varying first-order dynamic equation.

2.2. Mathematical Modeling of Renewable Energy–Integrated Smart Micro Grid

A scenario consisting of renewable energy–integrated microgrids and residential, commercial, and industrial sectors are taken at the demand side. The renewable energy T R consist of the supply from the wind and solar energies. Moreover, supply from the transmission lines T S or the utility company is also planned for the worst case of no energy supply from the renewable energy system or to meet energy demand for the critical loads of the consumer, which can be operated even at the higher price of energy. The local generation of renewable energy to meet the demand of energy consumers can be planned according to Equation (6). These were taken in order to implement our proposed system in a scenario of close to practical implementation. The overall simulation environment is built in MATLAB/Simulink.
D o = T R + T S
The high energy demand and low energy demand of consumers can be represented by ( D H ) and ( D L ), respectively. These are the thresholds for which the energy price and DR are calculated by the piece-wise linear price-demand function in Equation (4). This relationship of ( D H ) and ( D L ) can be shown using Equation (7).
D o M I N T R + T S D o M A X
For Equation (4), the upper bound is taken as D o M A X , and the lower bound is considered as D o M I N . For the worst case, the renewable energy production can be scheduled as D o M I N = ( T S ). Thus, to fulfill this demand of the consumers, the necessary energy is imported from the utility energy company, and the total energy is estimated as D o M A X = ( T R ) + ( T S ). The overall renewable energy to be produced at the local microgrid to ensure continuous supply of energy to the consumers and the renewable energy to be supplied can be planned according to Equation (8). Hence, the total rating of the generation system consists of 90 MW, which is planned according to the demand of the consumer. The renewable energy generation system composed of wind and solar is planned to supply 18 MW, and 72 MW is planned to be imported from the utility supply.
T R = D o M A X D o M I N
The real market energy demand price signal of 24 h for the framework of elastic demand control using the FOSTSMC controller is taken from [74]. The price demand function in Equation (10) is estimated in [75].
d D ( t ) d t d p E P ( t ) d t < 0
By adopting this technique, the elastic demand function is formed, and also the values for the upper and lower bounds are taken for the scenario.
D ( t ) = 90 E P < 0.35 4.93 ( E P ) + 91.72 72 E P > 4 0.35 E P 4
This piece-wise demand function is designed for the closed-loop elastic DR and adjusts the demand of the consumers according to the pricing signal.
P r i c e L i m t e r = 0.1 E P < 0 E P 12 E P > 12 0.1 E P 12
The price limiter function can be numerically shown in Equation (11), which is added in Module II for limiting the pricing signal according to the priority of the energy market. The pricing signal volatility can also be limited with the price limiter function.

2.3. Fractional Order Super Twisting Sliding Mode Controller (FOSTSMC)

The variants of sliding mode controllers gained overwhelming response from the authors due to its robustness, controlling non-linear system, and its lower overshoot as compared to the classical controller [76]. Moreover, several other types of the STSMC are also proposed in recent works for the purpose of current control and voltage. In addition, the new variants usage leads to the reduction in the chattering phenomenon and high robustness in the overall response in the systems due to the fact that the fractional controller is more convenient than the integer controller, because of the tunability of order of fractional controller [77]. Like the super twisting sliding mode controller, the FOSTSMC has three coefficients and one additional integral fractional order operator λ , the use of which leads to better results than integer-order approaches.
With the development of integral calculus, fractional calculus also emerges as a well-known theory for control. Moreover, the fractional order can also be considered as a generalization of the calculus of noninteger order basic operator a D t λ and can be defined as given below:
a D t λ + d λ d t λ λ > 0 , 1 λ = 0 , 0 t ( d τ ) λ λ < 0
where a and t can be considered as the operational limit for the fractional order operators, and λ is termed as the operational order. The fractional order calculus nowadays considered in the field of control are the Caputo type, the Grunwald–Letnikov type, and the Riemann–Liouville type. However, the most simple related calculations–based type and most popular type is the Caputo type fractional order calculus. By definition of the Caputo type, the fractional order basic operator can be represented by Equation (13) below:
a C D t λ x ( t ) = 1 Π ( m a ) x ( m ) ( τ ) ( t τ ) a m + 1 d τ
In Equation (13), the m − 1 ≤ a ≤ where mN, and Π are the gamma functions, whereas the Caputo differential derivative can be represented by the a C D t r x ( t ) . In the system model, the error can be considered as given in Equation (1) and the FOSTSMC controller can be mathematically shown in Equation (14).
C ( t ) = K 1 ( e ) + K 2 ( | e | ) s i g n ( e ) + v v = ( K 3 a D t λ ) s i g n ( e )
where K 1 is the proportional gain, whereas K 2 is a parameter for the STSMC which is used for the reduction of the chattering phenomenon and should be ranging between [0 1], K 3 is integral gain, and λ is the fractional operator.

3. Simulations and Discussion

For the simulations of our proposed framework, we have implemented the overall scenario in the MATLAB/Simulink. The block diagram of the overall simulation environment can be shown illustratively in Figure 3. The FOSTSMC controller is used in the current scenario to minimize the difference in energy demand and generation in real time. This can be done by regularly regulating energy price completely based on the difference between energy demand and energy generation in real-time. This FOSTSMC can be used for the regulation of the pricing signal of the electricity market for the elastic demand control of the residential, commercial, and industrial sectors. The FOSTSMC controller has three design parameters and one additional fractional operator for the integral component, which makes it a fractional order FOSTSMC controller. These parameters are K 1 , K 2 , K 3 , and λ . K 1 represents proportional gain, K 3 shows integral gain, λ represents the fractional operator, and the integral gain of the K 3 gain of the FOSTSMC controller, whereas K 1 helps in the reduction of the steady-state error, the value of which should be between [0 1].

3.1. Step Response Analysis

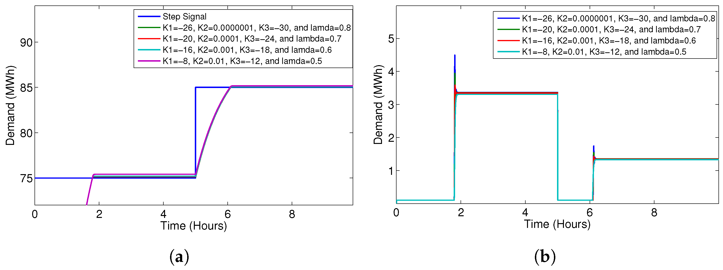
Various values for the parameters of the FOSTSMC are considered to check the response of our proposed framework to a step signal. Step response analysis is done here mainly to check how the closed loop elastic demand system will respond to abrupt change in the generation at some instant, to check that the FOSTSMC is capable of reducing the instant change in the generation, and to control the demand instant and sharply. Figure 4 shows the response of our proposed framework with various values of the FOSTSMC controller, in which a step signal is applied to our proposed system model. The MATLAB/Simulink model for the step response analysis consists of a step input, a FOSTSMC controller, and a piece-wise linear price-demand function.
Keeping the inverse relation of the price and demand in mind, the parameter values for the FOSTSMC controller are kept negative to gain energy balance between the generation and demand of the consumers. The response of our proposed system model to a step signal can be shown in Figure 4, where the applied parameters values and fractional order operator values are applied to the controller for the purpose of obtaining the response of the system. The values of the parameters and fractional order operator values of the FOSTSMC were given manually, and the response of the system to those values—which are having less overshoot and almost zero difference between the energy demand and generation—are taken and will be used in the entire simulation for our proposed framework scenario having FOSTSMC.

3.2. Scenario: Simulation Study

As of the simulation, the consumers’ demand is controlled successfully with the deployment of FOSTSMC, which regularly regulates the pricing signal price demand function. The parameter values for the FOSTSMC controller are taken as K 1 = −26, K 2 = 0.0000001, K 3 = −30, and λ = 0.8. The energy demand started following the energy generation after 1.5 h, and the FOSTSMC controller provides the pricing signal completely, depending on the error between instant energy and demand generation. Simulations are carried out for about 72 h by repeating the generation profile and the consumer’s demand traced the generation efficiently until the end of the simulation. Figure 5 shows the demand and price response using FOSTSMC and PI controller, the PI controller is used as a benchmark controller, which is also used for the same purpose of elastic demand control in [73]. The simulations consisting of PI controller have overshoot after the simulation starts but for the FOSTSMC controller there is no overshoot at the start. Moreover, the steady-state error is comparatively lower than that of the benchmark PI controller. In addition, for the PI controller–based approach to control elastic demand [73], demand overshoot occurred at the start for as long as 5.5 h, after which the PI controller started regulation of the price signal to the piece-wise price demand function, and essentially managed the energy demand of users, following the energy produced.

3.3. Comparative Analysis

In this work, we have proposed the combination of fractional order integral and STSMC, which is one of the advanced controllers with robustness and accuracy better than the PID controller and its variants, which can also be evaluated using Figure 5, which depicts the DR of the elastic demand-control by FOSTSMC compared with the benchmark PI controller [73]. Our proposed FOSTSMC-based framework is firstly analyzed through step response analysis for the sharp rise and fall in the generation scenario. After that, the FOSTSMC with parameters tested in the step response analysis is applied in the scenario of renewable energy–integrated microgrid containing residential, commercial, and industrial users. After carrying out the simulation using MATLAB/Simulink, the demand overshoot can be seen using PI controller for about 5.5 h, which results in load mismanagement; however, our proposed FOSTSMC started tracing the generation after 1.8 h. Furthermore, the difference between the pricing signal regulated by PI and FOSTSMC can also be evaluated. The pricing signal provided by the PI controller starts late, which is because of the demand overshoot in response to using the PI controller. FOSTSMC exhibits a pricing signal directly at 1.5 h after the start of simulations, while the PI controller provides the pricing signal after 5.5 h of lag. The simulation results validate that the proposed framework for the elastic demand control outperforms the PI controller–based elastic demand controller, and successfully traced the generation until the end of the simulations.

4. Conclusions

This paper utilizes flexible energy demand control of a sustainable renewable energy–integrated microgrid by a FOSTSMC through dynamic pricing. The DR programs are considered significantly important in controlling the demand of the consumers. The equilibrium of generation and energy demand in microgrids is refined through closed-loop FOSTSMC-based framework. This paper evaluated a sustainable power–integrated microgrid scenario having FOSTSMC controller, which is aimed to regulate the energy pricing signal in real-time to the DSLM. For the validation of our framework for demand control, we built the whole scenario in the MATLAB/Simulink environment. The energy price-based demand model of the proposed system model is modeled using hourly energy price and energy demand data. For the electricity import, high and low demand of the consumers were also considered to make the price demand function. With the consideration of the high and low demand, extra energy costs and operational expenses are decreased in the proposed framework. To make the simulation claims more practical and realistic, a system delay is added which represents price broadcasting delays in the proposed system model. The proposed framework, when adopted in the scenario, shows that dynamic price-based energy demand control by FOSTSMC can display exceptional performance and outperform the PID controllers and their variants, following the renewable energy–integrated microgrid’s generation. Our work validated our claim of controlling the elastic demand of the consumer using dynamic pricing provided by the FOSTSMC in real-time. Dynamic energy pricing regulated by a more optimal controller can be considered later on in the smart grid as a key figure to cope with the rising energy demand of consumers. Moreover, by using automatic optimal tuning methods for the controllers, the energy price and demand response of the system will become more robust and the volatility in the price signal will be reduced when applied practically.

Author Contributions

Conceptualization, A.U. and F.A.; Data curation, T.A.K., A.U., G.H. and S.A.; Formal analysis, T.A.K., G.H., I.K., F.A. and S.A.; Funding acquisition, T.A.K., G.H., S.M. and S.A.; Investigation, A.U. and G.H.; Methodology, A.U. and S.M.; Resources, A.U. and S.K.; Software, K.R.; Validation, A.U.; Visualization, A.U.; Writing—original draft, A.U. All authors have read and agreed to the published version of the manuscript.

Funding

The authors would like to acknowledge the financial support received from Government Technical and Vocational Centre Gujrat Mardan, Pakistan under the umberalla of Technical and Vocational Training Authority.

Data Availability Statement

Not applicable.

Conflicts of Interest

The authors declare no conflict of interest.

References

  1. Liu, Z.; Wang, Y.; Feng, J. Vehicle-type strategies for manufacturer’s car sharing. Kybernetes 2022. [Google Scholar] [CrossRef]
  2. Li, Z.; Peng, X.; Hu, G.; Zhang, D.; Xu, Z.; Peng, Y.; Xie, S. Towards real-time self-powered sensing with ample redundant charges by a piezostack-based frequency-converted generator from human motions. Energy Convers. Manag. 2022, 258, 115466. [Google Scholar] [CrossRef]
  3. Liu, C.; Wu, D.; Li, Y.; Du, Y. Large-scale pavement roughness measurements with vehicle crowdsourced data using semi-supervised learning. Transp. Res. Part C Emerg. Technol. 2021, 125, 103048. [Google Scholar] [CrossRef]
  4. Ma, K.; Hu, X.; Yue, Z.; Wang, Y.; Yang, J.; Zhao, H.; Liu, Z. Voltage Regulation With Electric Taxi Based on Dynamic Game Strategy. IEEE Trans. Veh. Technol. 2022, 71, 2413–2426. [Google Scholar] [CrossRef]
  5. Peng, Y.; Xu, Z.; Wang, M.; Li, Z.; Peng, J.; Luo, J.; Xie, S.; Pu, H.; Yang, Z. Investigation of frequency-up conversion effect on the performance improvement of stack-based piezoelectric generators. Renew. Energy 2021, 172, 551–563. [Google Scholar] [CrossRef]
  6. Zhang, L.; Zheng, H.; Cai, G.; Zhang, Z.; Wang, X.; Koh, L.H. Power-frequency oscillation suppression algorithm for AC microgrid with multiple virtual synchronous generators based on fuzzy inference system. IET Renew. Power Gener. 2022, 16, 1589–1601. [Google Scholar] [CrossRef]
  7. Zhang, L.; Wang, X.; Zhang, Z.; Cui, Y.; Ling, L.; Cai, G. An Adaptative Control Strategy for Interfacing Converter of Hybrid Microgrid Based on Improved Virtual Synchronous Generator. IET Renew. Power Gener. 2021, 16, 261–273. [Google Scholar] [CrossRef]
  8. Imran, A.; Hafeez, G.; Khan, I.; Usman, M.; Shafiq, Z.; Qazi, A.B.; Khalid, A.; Thoben, K.D. Heuristic-based programable controller for efficient energy management under renewable energy sources and energy storage system in smart grid. IEEE Access 2020, 8, 139587–139608. [Google Scholar] [CrossRef]
  9. Li, J.; Wang, F.; He, Y. Electric Vehicle Routing Problem with Battery Swapping Considering Energy Consumption and Carbon Emissions. Sustainability 2020, 12, 10537. [Google Scholar] [CrossRef]
  10. Yu, D.; Wu, J.; Wang, W.; Gu, B. Optimal performance of hybrid energy system in the presence of electrical and heat storage systems under uncertainties using stochastic p-robust optimization technique. Sustain. Cities Soc. 2022, 83, 103935. [Google Scholar] [CrossRef]
  11. Yu, D.; Ma, Z.; Wang, R. Efficient Smart Grid Load Balancing via Fog and Cloud Computing. Math. Probl. Eng. 2022, 2022, 3151249. [Google Scholar] [CrossRef]
  12. Yang, Y.; Peng, J.C.; Ye, C.; Ye, Z.; Ding, Y. A Criterion and Stochastic Unit Commitment towards Frequency Resilience of Power Systems. IEEE Trans. Power Syst. 2021, 37, 640–652. [Google Scholar] [CrossRef]
  13. Xu, X.; Niu, D.; Xiao, B.; Guo, X.; Zhang, L.; Wang, K. Policy analysis for grid parity of wind power generation in China. Energy Policy 2020, 138, 111225. [Google Scholar] [CrossRef]
  14. Xiao, Y.; Zhang, Y.; Kaku, I.; Kang, R.; Pan, X. Electric vehicle routing problem: A systematic review and a new comprehensive model with nonlinear energy recharging and consumption. Renew. Sustain. Energy Rev. 2021, 151, 111567. [Google Scholar] [CrossRef]
  15. Li, H.; Hou, K.; Xu, X.; Jia, H.; Zhu, L.; Mu, Y. Probabilistic energy flow calculation for regional integrated energy system considering cross-system failures. Appl. Energy 2022, 308, 118326. [Google Scholar] [CrossRef]
  16. Wang, H.; Hou, K.; Zhao, J.; Yu, X.; Jia, H.; Mu, Y. Planning-Oriented resilience assessment and enhancement of integrated electricity-gas system considering multi-type natural disasters. Appl. Energy 2022, 315, 118824. [Google Scholar] [CrossRef]
  17. Fang, J.; Kong, G.; Yang, Q. Group Performance of Energy Piles under Cyclic and Variable Thermal Loading. J. Geotech. Geoenviron. Eng. 2022, 148, 04022060. [Google Scholar] [CrossRef]
  18. Liu, L.; Meng, X.; Miao, Z.; Zhou, S. Design of a novel thermoelectric module based on application stability and power generation. Case Stud. Therm. Eng. 2022, 31, 101836. [Google Scholar] [CrossRef]
  19. Wang, H.; Zheng, X.; Yuan, X.; Wu, X. Low-Complexity Model Predictive Control for a Nine-Phase Open-End Winding PMSM With Dead-Time Compensation. IEEE Trans. Power Electron. 2022, 37, 8895–8908. [Google Scholar] [CrossRef]
  20. Ullah, K.; Ali, S.; Khan, T.A.; Khan, I.; Jan, S.; Shah, I.A.; Hafeez, G. An optimal energy optimization strategy for smart grid integrated with renewable energy sources and demand response programs. Energies 2020, 13, 5718. [Google Scholar] [CrossRef]
  21. Zhang, Y.; Shi, X.; Zhang, H.; Cao, Y.; Terzija, V. Review on deep learning applications in frequency analysis and control of modern power system. Int. J. Electr. Power Energy Syst. 2022, 136, 107744. [Google Scholar] [CrossRef]
  22. Shang, L.; Dong, X.; Liu, C.; Gong, Z. Fast Grid Frequency and Voltage Control of Battery Energy Storage System Based on the Amplitude-Phase-Locked-Loop. IEEE Trans. Smart Grid 2022, 13, 941–953. [Google Scholar] [CrossRef]
  23. Li, Y.; Che, P.; Liu, C.; Wu, D.; Du, Y. Cross-scene pavement distress detection by a novel transfer learning framework. Comput.-Aided Civ. Infrastruct. Eng. 2021, 36, 1398–1415. [Google Scholar] [CrossRef]
  24. Hafeez, G.; Islam, N.; Ali, A.; Ahmad, S.; Usman, M.; Alimgeer, K.S. A Modular Framework for Optimal Load Scheduling under Price-Based Demand Response Scheme in Smart Grid. Processes 2019, 7, 499. [Google Scholar] [CrossRef]
  25. Pallonetto, F.; Jin, C.; Mangina, E. Forecast electricity demand in commercial building with machine learning models to enable demand response programs. Energy AI 2022, 7, 100121. [Google Scholar] [CrossRef]
  26. Babaei, M.; Abazari, A.; Soleymani, M.M.; Ghafouri, M.; Muyeen, S.M.; Beheshti, M.T. A data-mining based optimal demand response program for smart home with energy storages and electric vehicles. J. Energy Storage 2021, 36, 102407. [Google Scholar] [CrossRef]
  27. Balasubramanian, S.; Balachandra, P. Effectiveness of demand response in achieving supply-demand matching in a renewables dominated electricity system: A modelling approach. Renew. Sustain. Energy Rev. 2021, 147, 111245. [Google Scholar] [CrossRef]
  28. Astriani, Y.; Shafiullah, G.M.; Shahnia, F. Incentive determination of a demand response program for microgrids. Appl. Energy 2021, 292, 116624. [Google Scholar] [CrossRef]
  29. Assad, U.; Hassan, M.A.S.; Farooq, U.; Kabir, A.; Khan, M.Z.; Bukhari, S.S.H.; Jaffri, Z.U.A.; Oláh, J.; Popp, J. Smart Grid, Demand Response and Optimization: A Critical Review of Computational Methods. Energies 2022, 15, 2003. [Google Scholar] [CrossRef]
  30. Hafeez, G.; Alimgeer, K.S.; Khan, K. Electric load forecasting based on deep learning and optimized by heuristic algorithm in smart grid. Appl. Energy 2020, 269, 114915. [Google Scholar] [CrossRef]
  31. Wang, C.; Chen, S.; Mei, S.; Chen, R.; Yu, H. Optimal scheduling for integrated energy system considering scheduling elasticity of electric and thermal loads. IEEE Access 2020, 8, 202933–202945. [Google Scholar] [CrossRef]
  32. Cheng, X.; Feng, S.; Huang, Y.; Wang, J. A New Peak-Shaving Model Based on Mixed Integer Linear Programming with Variable Peak-Shaving Order. Energies 2021, 14, 887. [Google Scholar] [CrossRef]
  33. Rajesh, K.; Visali, N.; Sreenivasulu, N. Optimal load scheduling of thermal power plants by genetic algorithm. In Emerging Trends in Electrical, Communications, and Information Technologies; Springer: Singapore, 2020; pp. 397–409. [Google Scholar]
  34. Chamandoust, H.; Derakhshan, G.; Hakimi, S.M.; Bahramara, S. Tri-objective scheduling of residential smart electrical distribution grids with optimal joint of responsive loads with renewable energy sources. J. Energy Storage 2020, 27, 101112. [Google Scholar] [CrossRef]
  35. Rasheed, M.B.; Awais, M.; Alquthami, T.; Khan, I. An optimal scheduling and distributed pricing mechanism for multi-region electric vehicle charging in smart grid. IEEE Access 2020, 8, 40298–40312. [Google Scholar] [CrossRef]
  36. Waseem, M.; Lin, Z.; Liu, S.; Sajjad, I.A.; Aziz, T. Optimal GWCSO-based home appliances scheduling for demand response considering end-users comfort. Electr. Power Syst. Res. 2020, 187, 106477. [Google Scholar] [CrossRef]
  37. Zhiyong, Y.; Li, Y.; Quan, X.; Chunhang, Z.; Kai, Q.; Shunkai, X.; Shan, Y. Optimization of Orderly Charge and Discharge Scheduling of Electric Vehicles and Photovoltaic in Industrial Par. In Proceedings of the 2020 Asia Energy and Electrical Engineering Symposium (AEEES), Chengdu, China, 29–31 May 2020; pp. 226–229. [Google Scholar]
  38. Sharda, S.; Sharma, K.; Singh, M. A Real-Time Automated Scheduling Algorithm with PV Integration for Smart Home Prosumers. J. Build. Eng. 2021, 44, 102828. [Google Scholar] [CrossRef]
  39. Rahman, M.A.; Rahman, I.; Mohammad, N. Demand Side Residential Load Management System for Minimizing Energy Consumption Cost and Reducing Peak Demand in Smart Grid. In Proceedings of the 2020 2nd International Conference on Advanced Information and Communication Technology (ICAICT), Dhaka, Bangladesh, 28–29 November 2020; pp. 376–381. [Google Scholar]
  40. Shewale, A.; Mokhade, A.; Funde, N.; Bokde, N.D. A Survey of Efficient Demand-Side Management Techniques for the Residential Appliance Scheduling Problem in Smart Homes. Energies 2022, 15, 2863. [Google Scholar] [CrossRef]
  41. Gelazanskas, L.; Gamage, K.A.A. Demand side management in smart grid: A review and proposals for future direction. Sustain. Cities Soc. 2014, 11, 22–30. [Google Scholar] [CrossRef]
  42. Hong, S.H.; Yu, M.; Huang, X. A real-time demand response algorithm for heterogeneous devices in buildings and homes. Energy 2015, 80, 123–132. [Google Scholar] [CrossRef]
  43. Ma, K.; Yao, T.; Yang, J.; Guan, X. Residential power scheduling for demand response in smart grid. Int. J. Electr. Power Energy Syst. 2016, 78, 320–325. [Google Scholar] [CrossRef]
  44. Hosseini, S.M.; Carli, R.; Dotoli, M. Robust Optimal Demand Response of Energy-efficient Commercial Buildings. In Proceedings of the 2022 European Control Conference (ECC), London, UK, 11–14 July 2022; pp. 1–6. [Google Scholar]
  45. Moon, S.; Lee, J.-W. Multi-residential demand response scheduling with multi-class appliances in smart grid. IEEE Trans. Smart Grid 2016, 9, 2518–2528. [Google Scholar] [CrossRef]
  46. Rasheed, M.B.; Javaid, N.; Ahmad, A.; Awais, M.; Khan, Z.A.; Qasim, U.; Alrajeh, N. Priority and delay constrained demand side management in real-time price environment with renewable energy source. Int. J. Energy Res. 2016, 40, 2002–2021. [Google Scholar] [CrossRef]
  47. Ghosal, A.; Conti, M. Key management systems for smart grid advanced metering infrastructure: A survey. IEEE Commun. Surv. Tutorials 2019, 21, 2831–2848. [Google Scholar] [CrossRef]
  48. Singh, N.K.; Mahajan, V. End-user privacy protection scheme from cyber intrusion in smart grid advanced metering infrastructure. Int. J. Crit. Infrastruct. Prot. 2021, 34, 100410. [Google Scholar] [CrossRef]
  49. Dahiya, P.; Dogra, S.; Sharma, V.; Pulluri, H.; Gouthamkumar, N.; Rao, U.M. Performance Analysis of Classical Controllers Tuned Using Heuristic Approaches for Frequency Regulation. In Applications of Computing, Automation and Wireless Systems in Electrical Engineering; Springer: Singapore, 2019; pp. 457–465. [Google Scholar]
  50. Yang, J.; Liu, H.; Ma, K.; Yang, B.; Guerrero, J.M. An Optimization Strategy of Price and Conversion Factor Considering the Coupling of Electricity and Gas Based on Three-Stage Game. IEEE Trans. Autom. Sci. Eng. 2022. [Google Scholar] [CrossRef]
  51. Cao, B.; Zhao, J.; Liu, X.; Arabas, J.; Tanveer, M.; Singh, A.K.; Lv, Z. Multiobjective Evolution of the Explainable Fuzzy Rough Neural Network with Gene Expression Programming. IEEE Trans. Fuzzy Syst. 2022, 30, 4190–4200. [Google Scholar] [CrossRef]
  52. Xi, Y.; Jiang, W.; Wei, K.; Hong, T.; Cheng, T.; Gong, S. Wideband RCS Reduction of Microstrip Antenna Array Using Coding Metasurface With Low Q Resonators and Fast Optimization Method. IEEE Antennas Wirel. Propag. Lett. 2022, 21, 656–660. [Google Scholar] [CrossRef]
  53. Dahiya, P.; Sharma, V.; Naresh, R. Automatic generation control using disrupted oppositional based gravitational search algorithm optimised sliding mode controller under deregulated environment. IET Gener. Transm. Distrib. 2016, 10, 3995–4005. [Google Scholar] [CrossRef]
  54. Ilten, E.; Demirtas, M. Fractional order super-twisting sliding mode observer for sensorless control of induction motor. COMPEL-Int. J. Comput. Math. Electr. Electron. Eng. 2019, 38, 878–892. [Google Scholar] [CrossRef]
  55. Khan, T.A.; Hafeez, G.; Khan, I.; Ullah, S.; Waseem, A.; Ullah, Z. Energy demand control under dynamic price-based demand response program in smart grid. In Proceedings of the 2020 International Conference on Electrical, Communication, and Computer Engineering (ICECCE), Istanbul, Turkey, 12–13 June 2020; pp. 1–6. [Google Scholar]
  56. Sibtain, D.; Murtaza, A.F.; Ahmed, N.; Sher, H.A.; Gulzar, M.M. Multi control adaptive fractional order PID control approach for PV/wind connected grid system. Int. Trans. Electr. Energy Syst. 2021, 31, e12809. [Google Scholar] [CrossRef]
  57. Lu, S.; Ban, Y.; Zhang, X.; Yang, B.; Liu, S.; Yin, L.; Zheng, W. Adaptive control of time delay teleoperation system with uncertain dynamics. Front. Neurorobot. 2022, 16, 928863. [Google Scholar] [CrossRef]
  58. Liu, L.; Zhang, L.; Pan, G.; Zhang, S. Robust yaw control of autonomous underwater vehicle based on fractional-order PID controller. Ocean Eng. 2022, 257, 111493. [Google Scholar] [CrossRef]
  59. Li, P.; Li, Y.; Gao, R.; Xu, C.; Shang, Y. New exploration on bifurcation in fractional-order genetic regulatory networks incorporating both type delays. Eur. Phys. J. Plus 2022, 137, 598. [Google Scholar] [CrossRef]
  60. Zhao, C.; Liao, F.; Li, X.; Du, Y. Macroscopic modeling and dynamic control of on-street cruising-for-parking of autonomous vehicles in a multi-region urban road network. Transp. Res. Part C Emerg. Technol. 2021, 128, 103176. [Google Scholar] [CrossRef]
  61. Tayebi-Haghighi, S.; Piltan, F.; Kim, J.-M. Robust composite high-order super-twisting sliding mode control of robot manipulators. Robotics 2018, 7, 13. [Google Scholar] [CrossRef]
  62. Liu, S.; Liu, C.; Song, Z.; Dong, Z.; Huang, Y. Candidate Modulation Patterns Solution for Five-Phase PMSM Drive System. IEEE Trans. Transp. Electrif. 2021, 8, 1194–1208. [Google Scholar] [CrossRef]
  63. Fei, J.; Feng, Z. Fractional-order finite-time super-twisting sliding mode control of micro gyroscope based on double-loop fuzzy neural network. IEEE Trans. Syst. Man, Cybern. Syst. 2020, 51, 7692–7706. [Google Scholar] [CrossRef]
  64. Nasiri, M.; Mobayen, S.; Zhu, Q.M. Super-twisting sliding mode control for gearless PMSG-based wind turbine. Complexity 2019, 2019, 6141607. [Google Scholar] [CrossRef]
  65. Bharti, K.; Singh, V.P.; Singh, S.P. Impact of intelligent demand response for load frequency control in smart grid perspective. IETE J. Res. 2020, 68, 2433–2444. [Google Scholar] [CrossRef]
  66. Wang, H.; Wu, X.; Zheng, X.; Yuan, X. Virtual Voltage Vector Based Model Predictive Control for a Nine-Phase Open-End Winding PMSM With a Common DC Bus. IEEE Trans. Ind. Electron. 2022, 69, 5386–5397. [Google Scholar] [CrossRef]
  67. Tur, M.R.; Bayindir, R. A Review of Active Power and Frequency Control in Smart Grid. In Proceedings of the 2019 1st Global Power, Energy and Communication Conference (GPECOM), Nevsehir, Turkey, 12–15 June 2019; pp. 483–488. [Google Scholar]
  68. Shi, Q.; Li, F.; Hu, Q.; Wang, Z. Dynamic demand control for system frequency regulation: Concept review, algorithm comparison, and future vision. Electr. Power Syst. Res. 2018, 154, 75–87. [Google Scholar] [CrossRef]
  69. Liu, S.; Zhang, J.; Niu, B.; Liu, L.; He, X. A novel hybrid multi-criteria group decision-making approach with intuitionistic fuzzy sets to design reverse supply chains for COVID-19 medical waste recycling channels. Comput. Ind. Eng. 2022, 169, 108228. [Google Scholar] [CrossRef] [PubMed]
  70. Luo, G.; Yuan, Q.; Li, J.; Wang, S.; Yang, F. Artificial intelligence powered mobile networks: From cognition to decision. IEEE Netw. 2022, 36, 136–144. [Google Scholar] [CrossRef]
  71. Mortaji, H.; Ow, S.H.; Moghavvemi, M.; Almurib, H.A.F. Load shedding and smart-direct load control using internet of things in smart grid demand response management. IEEE Trans. Ind. Appl. 2017, 53, 5155–5163. [Google Scholar] [CrossRef]
  72. Gillie, M.; Carter, J.; Alexander, R.; Charnock, G. Getting the most from community generation–An economic and technical model to control small scale renewable community generation and create a local energy economy. In Proceedings of the CIRED 2009—The 20th International Conference and Exhibition on Electricity Distribution—Part 2, Prague, Czech Republic, 8–11 June 2009; pp. 1–15. [Google Scholar]
  73. Kaygusuz, A. Closed loop elastic demand control by dynamic energy pricing in smart grids. Energy 2019, 176, 596–603. [Google Scholar] [CrossRef]
  74. Niknam, T.; Golestaneh, F.; Malekpour, A. Probabilistic energy and operation management of a microgrid containing wind/photovoltaic/fuel cell generation and energy storage devices based on point estimate method and self-adaptive gravitational search algorithm. Energy 2012, 43, 427–437. [Google Scholar] [CrossRef]
  75. Akcin, M.; Alagoz, B.B.; Kaygusuz, A. Demand Elasticity Estimation Based on Piecewise Linear Demand Response Modeling of Smart Grid Energy Market. In Proceedings of the ENTECH’15 III. Energy Technologies Conference, Istanbul, Turkey, 21–22 December 2015. [Google Scholar]
  76. Liu, S.; Liu, C.; Huang, Y.; Xiao, Y. Direct Modulation Pattern Control for Dual Three-Phase PMSM Drive System. IEEE Trans. Ind. Electron. 2022, 69, 110–120. [Google Scholar] [CrossRef]
  77. Wang, Y.; Chen, J.; Yan, F.; Zhu, K.; Chen, B. Adaptive super-twisting fractional-order nonsingular terminal sliding mode control of cable-driven manipulators. ISA Trans. 2019, 86, 163–180. [Google Scholar] [CrossRef]
Figure 1. Schematic diagram of our proposed framework for implementation in a scenario.
Figure 1. Schematic diagram of our proposed framework for implementation in a scenario.
Energies 15 09074 g001
Figure 2. Important points for the estimation of price demand function.
Figure 2. Important points for the estimation of price demand function.
Energies 15 09074 g002
Figure 3. Block diagram for simulation of our proposed framework.
Figure 3. Block diagram for simulation of our proposed framework.
Energies 15 09074 g003
Figure 4. Step response analysis our proposed framework. (a) Demand Response. (b) Price Response.
Figure 4. Step response analysis our proposed framework. (a) Demand Response. (b) Price Response.
Energies 15 09074 g004
Figure 5. Demand and price response of the proposed framework in scenario. (a) Demand Response. (b) Price Response.
Figure 5. Demand and price response of the proposed framework in scenario. (a) Demand Response. (b) Price Response.
Energies 15 09074 g005
Publisher’s Note: MDPI stays neutral with regard to jurisdictional claims in published maps and institutional affiliations.

Share and Cite

MDPI and ACS Style

Khan, T.A.; Ullah, A.; Hafeez, G.; Khan, I.; Murawwat, S.; Ali, F.; Ali, S.; Khan, S.; Rehman, K. A Fractional Order Super Twisting Sliding Mode Controller for Energy Management in Smart Microgrid Using Dynamic Pricing Approach. Energies 2022, 15, 9074. https://doi.org/10.3390/en15239074

AMA Style

Khan TA, Ullah A, Hafeez G, Khan I, Murawwat S, Ali F, Ali S, Khan S, Rehman K. A Fractional Order Super Twisting Sliding Mode Controller for Energy Management in Smart Microgrid Using Dynamic Pricing Approach. Energies. 2022; 15(23):9074. https://doi.org/10.3390/en15239074

Chicago/Turabian Style

Khan, Taimoor Ahmad, Amjad Ullah, Ghulam Hafeez, Imran Khan, Sadia Murawwat, Faheem Ali, Sajjad Ali, Sheraz Khan, and Khalid Rehman. 2022. "A Fractional Order Super Twisting Sliding Mode Controller for Energy Management in Smart Microgrid Using Dynamic Pricing Approach" Energies 15, no. 23: 9074. https://doi.org/10.3390/en15239074

APA Style

Khan, T. A., Ullah, A., Hafeez, G., Khan, I., Murawwat, S., Ali, F., Ali, S., Khan, S., & Rehman, K. (2022). A Fractional Order Super Twisting Sliding Mode Controller for Energy Management in Smart Microgrid Using Dynamic Pricing Approach. Energies, 15(23), 9074. https://doi.org/10.3390/en15239074

Note that from the first issue of 2016, this journal uses article numbers instead of page numbers. See further details here.

Article Metrics

Back to TopTop