A Novel Approach for Flow Analysis in Pulsating Heat Pipes: Cross-Correlation of Local Heat Flux
Abstract
1. Introduction
2. Materials and Methods
2.1. Experimental Setup
2.2. Post-Processing
3. Results and Discussion
4. Conclusions
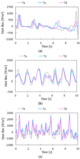
- No clear cross-correlations were found at low power input of 0.5 W except for the two points with 6 mm distance in the central tube as the fluid heated in the evaporator did not pass throughout the condenser and stopped in the middle of the tube due to the low driving force.
- At higher inputs of 2 W and 3 W, the fluid oscillated more actively, and the flow became continuous across the entire tube of the condenser, showing a clear cross-correlation with the diagonal.
- At 2 W, there was little cross-correlation between the central and edge tubes, which suggests the existence of two different flow regimes caused by the damper effect of the T-junction and the valve.
- The results for 3.5 W showed clear cross-correlation between the edge and central tubes, indicating that they were synchronized and suggesting the PHP was dominated by a unidirectional flow.
Author Contributions
Funding
Data Availability Statement
Conflicts of Interest
Nomenclature
| Cp | [J/kgK] | Specific heat at constant pressure |
| D | [m] | Diameter |
| G | [-] | Cross-correlation of heat fluxes |
| g | [m/s2] | Gravity acceleration |
| h | [W/m2K] | Heat transfer coefficient |
| k | [W/mK] | Thermal conductivity |
| M | [-] | Number of time windows |
| Q | [W] | Heat load |
| q | [W/m2] | Heat flux |
| R | [-] | Cross-correlation (General definition) |
| r | [m] | Radius |
| S | [-] | Observation time interval |
| T | [K] | Temperature |
| t | [s] | Time |
| U | [J] | Internal energy |
| z | [-] | Axial coordinate |
| Special characters | ||
| ρ | [kg/m3] | Density |
| б | [N/m] | Surface tension |
| τ | [s] | Estimate of time delay |
| Subscripts | ||
| crit | Critical | |
| ele | Electrical | |
| env | Environment | |
| in | Inner | |
| l | Liquid | |
| out | Outer | |
| v | Vapor | |
| w | Wall |
References
- Mahajan, R.; Chiu, C.P.; Chrysler, G. Cooling a microprocessor chip. Proc. IEEE 2006, 94, 1476–1486. [Google Scholar] [CrossRef]
- Moore, A.L.; Shi, L. Emerging challenges and materials for thermal management of electronics. Mater. Today 2014, 17, 163–174. [Google Scholar] [CrossRef]
- Lu, L.; Han, X.; Li, J.; Hua, J.; Ouyang, M. A review on the key issues for lithium-ion battery management in electric vehicles. J. Power Sources 2013, 226, 272–288. [Google Scholar] [CrossRef]
- Pesaran, A.; Santhanagopalan, S.; Kim, G.-H. Addressing the impact of temperature extremes on large format Li-ion batteries for vehicle applications. In Proceedings of the 30th International Battery Seminar, Fort Lauderdale, FL, USA, 11–14 March 2013. [Google Scholar]
- Feng, X.; Ouyang, M.; Liu, X.; Lu, L.; Xia, Y.; He, X. Thermal runaway mechanism of lithium ion battery for electric vehicles: A review. Energy Storage Mater. 2018, 10, 246–267. [Google Scholar] [CrossRef]
- Xia, G.; Cao, L.; Bi, G. A review on battery thermal management in electric vehicle application. J. Power Sources 2017, 367, 90–105. [Google Scholar] [CrossRef]
- Grover, G.M. Evaporation-Condensation Heat Transfer Device. U.S. Patent 3,229,759, 18 January 1966. [Google Scholar]
- Faghri, A. Heat pipes: Review, opportunities and challenges. Front. Heat Pipes 2014, 5, 1–48. [Google Scholar] [CrossRef]
- Bernagozzi, M.; Georgoulas, A.; Miché, N.; Marengo, M. Heat pipes in battery thermal management systems for electric vehicles: A critical review. Appl. Therm. Eng. 2023, 219, 119495. [Google Scholar] [CrossRef]
- Smith, J.; Singh, R.; Hinterberger, M.; Mochizuki, M. Battery thermal management system for electric vehicle using heat pipes. Int. J. Therm. Sci. 2018, 134, 517–529. [Google Scholar] [CrossRef]
- Gilmore, D.G. Spacecraft Thermal Control Handbook Volume I: Fundamental Technologies; The Aerospace Cooperation: El Segundo, CA, USA, 2002. [Google Scholar]
- Maydanik, Y.F. Loop Heat Pipes. Appl. Therm. Eng. 2005, 25, 635–657. [Google Scholar] [CrossRef]
- Iwata, N.; Ogawa, H.; Miyazaki, Y. Oscillating heat pipes with temperature control. Heat Pipe Sci. Tech. Int. J. 2012, 3, 223–231. [Google Scholar] [CrossRef]
- Akach, H. Structure of a Heat Pipe. U.S. Patent 4,921,041, 1 May 1990. [Google Scholar]
- Akachi, H. Structure of Micro-Heat Pipe. U.S. Patent 5,219,020, 15 June 1993. [Google Scholar]
- Han, X.; Wang, X.; Zheng, H.; Xu, X.; Chen, G. Review of the development of pulsating heat pipe for heat dissipation. Renew. Sustain. Energy Rev. 2016, 59, 692–709. [Google Scholar] [CrossRef]
- Mameli, M.; Besagni, G.; Bansal, P.K.; Markides, C.N. Innovations in pulsating heat pipes: From origins to future perspectives. Appl. Therm. Eng. 2022, 203, 117921. [Google Scholar] [CrossRef]
- Yang, H.; Khandekar, S.; Groll, M. Performance characteristics of pulsating heat pipes as integral thermal spreaders. Int. J. Therm. Sci. 2009, 48, 815–824. [Google Scholar] [CrossRef]
- Wang, S.; Nishio, S. Heat transport characteristics in closed loop oscillating heat pipes. In Proceedings of the ASME Summer Heat Transfer Conference, San Francisco, CA, USA, 17–22 July 2005. [Google Scholar]
- Charoensawan, P.; Terdtoon, P. Thermal performance of horizontal closed-loop oscillating heat pipes. Appl. Therm. Eng. 2008, 28, 460–466. [Google Scholar] [CrossRef]
- Zhang, Y.; Faghri, A. Advances and unsolved issues in pulsating heat pips. Heat Transf. Eng. 2008, 23, 20–44. [Google Scholar] [CrossRef]
- Taft, B.S.; Williams, A.D.; Drolen, B. Review of pulsating heat pipe working fluid selsction. J. Thermoph. Heat Transf. 2012, 26, 651–656. [Google Scholar] [CrossRef]
- Miyazaki, Y. Cooling of notebook PCs by flexible oscillating heat pipes. In Proceedings of the International Electronic Packaging Technical Conference and Exhibition, San Francisco, CA, USA, 17–22 July 2005; pp. 65–69. [Google Scholar] [CrossRef]
- Khandekar, S.; Silwal, V.; Bhatnagar, A.; Sharma, P. Grobal effectiveness of pulsating heat pipe heat exchangers: Modeling and experiments. Heat Pipe Sci. Tech. Int. J. 2010, 1, 279–302. [Google Scholar] [CrossRef]
- Rittidech, S.; Wannapakne, S. Experimental study of the performance of a solar collector by closed-end oscillating heat pipe (CEOHP). Appl. Therm. Eng. 2007, 27, 1978–1985. [Google Scholar] [CrossRef]
- Cattani, L.; Mangini, D.; Bozzoli, F.; Pietrasanta, L.; Mameli, M.; Filippeschi, S.; Rainieri, S.; Marengo, M. An original look into pulsating heat pipes: Inverse heat conduction approach for assessing the thermal behaviour. Therm. Sci. Eng. Prog. 2019, 10, 317–326. [Google Scholar] [CrossRef]
- Pagliarini, L.; Cattani, L.; Bozzoli, F.; Mameli, M.; Filippeschi, S.; Rainieri, S.; Marengo, M. Thermal characterization of a multi-turn pulsating heat pipe in microgravity conditions: Statistical approach to the local wall-to-fluid heat flux. Int. J. Heat Mass Transf. 2021, 169, 120930. [Google Scholar] [CrossRef]
- Perna, R.; Abela, M.; Mameli, M.; Mariotti, A.; Pietrasanta, L.; Marengo, M.; Filippeschi, S. Flow characterization of a pulsating heat pipe through the wavelet analysis of pressure signals. Appl. Therm. Eng. 2020, 171, 115128. [Google Scholar] [CrossRef]
- Karthikeyan, V.; Khandekar, S.; Pavan, P.; Sharma, K. Infrared thermography of a pulsating heat pipe: Flow regimes and multiple steady states. Appl. Therm. Eng. 2014, 62, 470–480. [Google Scholar] [CrossRef]
- Yasuda, Y.; Nabeshima, F.; Horiuchi, K.; Nagai, H. Visualization of the working fluid in a flat-plate pulsating heat pipe by neutron radiography. Int. J. Heat Mass Transf. 2022, 185, 122336. [Google Scholar] [CrossRef]
- Ma, H. Maximum. Radius of microchannels in an OHP. In Oscillating Heat Pipe; Springer: New York, NY, USA, 2015; p. 147. [Google Scholar]
- Mini-REFPROP—Version 10.0. Available online: https://trc.nist.gov/refprop/MINIREF/MINIREF.HTM (accessed on 11 May 2021).
- Cattani, L.; Vocale, P.; Bozzoli, F.; Malavasi, M.; Pagliarini, L.; Iwata, N. Global and local performances of a tubular micro pulsating heat pipe: Experimental investigation. Heat Mass Transf. 2022, 58, 2009–2027. [Google Scholar] [CrossRef]
- Beck, J.V.; Blackwell, B.; Clair, C.R.S., Jr. Inverse Heat Conduction: Ill-Posed Problems; A Wiley-Interscience Publication: New York, NY, USA, 1985. [Google Scholar]
- Iwata, N.; Bozzoli, F.; Pagliarini, L.; Cattani, L.; Vocale, P.; Malavasi, M.; Rainieri, S. Characterization of thermal behavior of a micro pulsating heat pipe by local heat transfer investigation. Int. J. Heat Mass Transf. 2022, 196, 123203. [Google Scholar] [CrossRef]
- Knapp, C.H.; Carter, G.C. The generalized correlation method for estimation of time delay. IEEE Trans. Acoust. Speech Signal Process. 1976, 24, 320–327. [Google Scholar] [CrossRef]
- Miyazaki, Y.; Akachi, H. Self excited oscillation of slug flow in a micro channel. In Proceedings of the 3rd International Conference on Multiphase Flow, Lyon, France, 8–12 June 1998; pp. 1–5. [Google Scholar]
- Khandekar, S.; Groll, M. An insight into thermos-hydrodynamic coupling in closed loop pulsating heat pipe. Int. J. Therm. Sci. 2004, 43, 13–20. [Google Scholar] [CrossRef]
- Kim, J.; Kim, S.J. Experimental investigation on working fluid selection in a micro pulsating heat pipe. Energy Convers. Manag. 2020, 205, 112462. [Google Scholar] [CrossRef]
- Spinato, G.; Thome, N.B.J.R. Operational regimes in a closed loop pulsating heat pipe. Int. J. Therm. Sci. 2016, 102, 78–88. [Google Scholar] [CrossRef]











| Temperature | Voltage | Current |
|---|---|---|
| ±0.2 °C | 0.03% full scale + 2 mV | 0.2% full scale + 1 mA |
Publisher’s Note: MDPI stays neutral with regard to jurisdictional claims in published maps and institutional affiliations. |
© 2022 by the authors. Licensee MDPI, Basel, Switzerland. This article is an open access article distributed under the terms and conditions of the Creative Commons Attribution (CC BY) license (https://creativecommons.org/licenses/by/4.0/).
Share and Cite
Iwata, N.; Bozzoli, F.; Pagliarini, L.; Cattani, L.; Malavasi, M.; Rainieri, S. A Novel Approach for Flow Analysis in Pulsating Heat Pipes: Cross-Correlation of Local Heat Flux. Energies 2022, 15, 8664. https://doi.org/10.3390/en15228664
Iwata N, Bozzoli F, Pagliarini L, Cattani L, Malavasi M, Rainieri S. A Novel Approach for Flow Analysis in Pulsating Heat Pipes: Cross-Correlation of Local Heat Flux. Energies. 2022; 15(22):8664. https://doi.org/10.3390/en15228664
Chicago/Turabian StyleIwata, Naoko, Fabio Bozzoli, Luca Pagliarini, Luca Cattani, Matteo Malavasi, and Sara Rainieri. 2022. "A Novel Approach for Flow Analysis in Pulsating Heat Pipes: Cross-Correlation of Local Heat Flux" Energies 15, no. 22: 8664. https://doi.org/10.3390/en15228664
APA StyleIwata, N., Bozzoli, F., Pagliarini, L., Cattani, L., Malavasi, M., & Rainieri, S. (2022). A Novel Approach for Flow Analysis in Pulsating Heat Pipes: Cross-Correlation of Local Heat Flux. Energies, 15(22), 8664. https://doi.org/10.3390/en15228664

