Next Article in Journal
Thermodynamic and Economic Analyses of Zero-Emission Open Loop Offshore Regasification Systems Integrating ORC with Zeotropic Mixtures and LNG Open Power Cycle
Previous Article in Journal
Energy, Exergy, Environmental and Economic Analysis (4e) of a Solar Thermal System for Process Heating in Jamshoro, Pakistan
Previous Article in Special Issue
Characterization of Wax Precipitation and Deposition Behavior of Condensate Oil in Wellbore: A Comprehensive Review of Modeling, Experiment, and Molecular Dynamics Simulation
 
 
Font Type:
Arial Georgia Verdana
Font Size:
Aa Aa Aa
Line Spacing:
Column Width:
Background:
Article

Fluid-Thermal Interaction Simulation of a Hypersonic Aircraft Optical Dome

1
Xi’an Institute of Optics and Precision Mechanics of Cas, Xi’an 710119, China
2
School of Marine Science and Technology, Northwestern Polytechnical University, Xi’an 710072, China
3
Engineering Department, University of Cambridge, Trumpington Street, Cambridge CB2 1PZ, UK
*
Authors to whom correspondence should be addressed.
Energies 2022, 15(22), 8619; https://doi.org/10.3390/en15228619
Submission received: 19 October 2022 / Revised: 12 November 2022 / Accepted: 14 November 2022 / Published: 17 November 2022
(This article belongs to the Special Issue Transport Phenomena Studies for Renewable Energy Development)

Abstract

:
Hypersonic aircraft design is an enabling technology. However, many problems are encountered, including the design of the hood. The aircraft optical dome can become heated due to aerodynamic effects. Since the optical dome of a hypersonic aircraft should satisfy optical imaging requirements, a conventional ablative coating cannot be adopted. The aerodynamic heating characteristics during the whole flight must be studied. In this study, a numerical simulation method for the aerodynamic heat of hypersonic aircraft under long-term variable working conditions is proposed. In addition, the numerical simulation of the external flow field and structure coupling of the aerodynamic heat problem is performed. The dynamic parameters of temperature and pressure are obtained, and the thermal protection basis of the internal equipment is obtained. Numerical results indicate that the average temperature and maximum temperature of the optical dome for inner and outer walls exhibit an “M” shape with time, with two high-temperature cusps and one low-temperature cusp. The time of average temperature coincides with that of maximum wall temperature. During the flight, the wall pressure changes with time, exhibiting the characteristics of higher temperature at both ends of the flight and lower temperature in the middle. The structural temperature of the hypersonic aircraft is higher than that of the external flow behind the shock wave after 310 s. Therefore, this study provides a reliable reference for the preliminary design and parameter research of optical domes of hypersonic aircraft.

1. Introduction

With the development of near space flight and transport technology, hypersonic flight technology is proposed [1]. Compared with traditional low-speed and supersonic aircraft, hypersonic aircraft have the characteristics of higher speed, lower interference, and longer voyage [2]. The optical dome is a vital part of hypersonic aircraft and must withstand extremely high temperatures and pass through electromagnetic waves and infrared signals of various bands [3]. However, due to aerodynamic heating, a large amount of heat flow is transmitted to the optical dome; this increases the internal temperature and endangers the electronic equipment inside the optical dome [3]. The aerodynamic heating is strongest near the optical dome, and the heat distribution of precision instruments inside the optical dome is closely related to the optical dome temperature distribution [4]. Therefore, it is necessary to study the aerodynamic heat transfer of the optical dome for hypersonic aircraft.
Many countries are conducting extensive research on hypersonic technologies, especially the development of hypersonic aircraft for use in near space. Hamilton [5] proposed an algorithm for the aerodynamic heating on the windward side of the space shuttle to predict the heat flux density in the windward surface flow and turbulent region. The results obtained using the algorithm were consistent with the wind tunnel test and actual flight test results. Davis [6] simplified the Navier–Stokes equation and obtained the viscous shock layer equation by retaining the quadratic term of the Reynolds parameter in the Euler equation. When calculating the aerodynamic and thermal parameters of the flow region behind the shock wave, the calculation accuracy of this equation is higher than that of the boundary layer equation. Riley [7] proposed an approximation algorithm for the convection heat transfer in the aerodynamic heat flow on the surface of hypersonic aircrafts under the assumption of ideal gas inviscid flow. This algorithm can be used to calculate the aerodynamic heat generated by different shapes and laminar turbulence. Lei et al. [8] proposed a hybrid algorithm to calculate the aerodynamic heat of hypersonic aircraft and calculated the heat flow and temperature distribution. Experimental data demonstrated the effectiveness of this algorithm. By using the reference temperature method and semi-empirical formula, Che et al. [9] calculated the aerodynamic heat of hypersonic aircraft at different stages and established the heat transfer equation by combining aerodynamic heating, thermal radiation on the aircraft surface, and heat conduction inside the aircraft shell. They found that the temperature of the aircraft dome changes with time. Xia et al. [10] used the finite volume method and finite element method to simulate the coupling process between the high-speed flow and heat conduction in the blunt body; the obtained results were consistent with the wind tunnel test results.
In this study, a numerical simulation method for unsteady hypersonic aerodynamic heating and a fluid-thermal coupling effect is proposed. In addition, the aerodynamic heat transfer characteristics of a hypersonic aircraft optical dome are obtained.

2. Computational Model

2.1. Governing Equation

The three-dimensional unsteady Reynolds-averaged Navier–Stokes [11] equation is used. The gas mass conservation equation is
ρ t + ( ρ V ) = 0
The equation of conservation of momentum is
t ( ρ v ) + ( ρ v v ) = p + τ
The energy conservation equation is
( ρ T ) t + ( ρ u T ) x + ( ρ v T ) y + ( ρ w T ) z = x ( K c p T x ) + y ( K c p T y ) + z ( K c p T z ) + S T

2.2. Turbulence Model

The Shear Stress Transfer k-ω model (SST k-ω model) considers the influence of turbulent shear stress propagation on turbulent viscosity and incorporates the cross-diffusion term from the k-ω equation. In addition, it is not affected by inflow parameters and has good computational stability in the boundary layer [12]. Moreover, the SST k-ω model has a better treatment effect on the near wall, thus yielding higher accuracy and a faster convergence rate [13]. Therefore, the SST k-ω model is selected as the turbulence model. In this model, the turbulence viscosity is affected by the turbulence frequency and turbulence kinetic energy and is expressed as follows:
μ t = ρ k ω
( ρ t ) t + ( ρ U k ) = [ ( μ + μ t σ k ) k ] + P k β ρ k ω
( ρ ω ) t + ( ρ ω ) t + ( ρ U ω ) = [ ( μ + μ t σ ω ) ω ] + α ω k P k β ρ ω 2
At high temperatures, the assumption of constant specific heats is not valid. For example, in air, the vibrational modes of energy begin to become excited at 800 K and the specific heats become functions of temperature. When the gas mixture is in thermal equilibrium at a single mixture temperature, the specific heats vary as a function of temperature only. This is the definition of a thermally perfect gas mixture. The perfect collisional behavior is still assumed; thus, the p-v-T equation of state is the same as for a calorically perfect gas:
P = ρ R T
The internal energy of the mixture is computed as:
e m = i = 1 N f i e i
However, the expression for component internal energies is altered to account for the variation of C v as a function of temperature:
e i = T 0 T C v , i ( T ) d T + e 0 , i
where e 0 , i is the internal energy at a nominated reference state. The evaluation of C v for the component species uses the polynomials collated by McBride and Gordon [14] for their CEA2 program, and the values for e 0 for each species are set to their enthalpies of formation at 298.15 K, which are the reference enthalpies given by McBride and Gordon also. These polynomials are only valid over specified temperature ranges. When temperatures outside of the valid ranges are encountered, the value for C v is considered constant at the value at the range limits. The specific heat at constant pressure C p is then calculated as C p = C v + R . The thermal conductivity and the viscosity are considered using the Sutherland equation. Similar for C v , the value of thermal conductivity and the viscosity is considered constant at the value at the range limits.

2.3. Radiation Model

The surface temperature of the hypersonic aircraft can increase to 1000 K. Radiation heat transfer cannot be ignored at high temperatures; it even acts as the main heat transfer mechanism in some cases. Therefore, the radiation heat transfer model must be added to the aerodynamic thermal model. The Discrete Ordinates model (DO model) is the most widely used radiation model and requires only coarse meshes of radiation area [15]. Moreover, the DO model has a fast operation speed. In this study, the DO model is used for radiation heat transfer calculation.

2.4. Fluid-Thermal Coupling Model

The numerical calculation process for the thermal coupling of the external flow field and structure field of the hypersonic aircraft is shown in Figure 1.
The fluid-thermal coupling of hypersonic aircrafts [16] is calculated as follows:
1. The coupling wall temperature of the fluid domain is set, and calculation is performed on the fluid domain (external flow field). Then, the heat flux ( q ) and near wall temperature ( T n w ) of the coupling surface in the fluid domain are obtained. The convective heat transfer coefficient ( h ) of the coupling surface is calculated using the following equation:
h = q T n w T f w n
2. The boundary conditions of heat transfer calculation in the solid domain, such as the near-wall temperature and convection heat transfer coefficient on the coupling surface of the fluid domain, are set. Numerical calculation is performed to obtain the wall temperature ( T s w n ) of the coupling surface in the solid domain.
3. The wall temperature of the solid coupling surface is calculated as:
T f w n + 1 = T f w n + β ( T s w n T f w n )
The calculation result is used as the boundary conditions for the subsequent numerical calculations in the fluid domain.
4. Repeat steps 1–3 until the wall temperature is converged.

3. Numerical Validation

3.1. Numerical Validation of Aerodynamic Thermal Simulation of the Hypersonic Flow Field

We adopted the classical HB-2 hypersonic aircraft model [17] of the Advisory Group for Aerospace Research and Development (AGARD) to analyze the aerodynamic and thermal characteristics of the hypersonic flow field. The commercial software ANSYS Fluent was selected to perform the simulations. To validate the accuracy of the aerodynamic and thermal simulation of the hypersonic flow field, the numerical simulation results with the wind tunnel test data [18] obtained from AGARD and Japan Aerospace Exploration Agency (JAXA) were compared. The inflow parameters of the JAXA hypersonic wind tunnel test are presented in Table 1. The JAXA wind tunnel test model is a standard HB-2 model consisting of a spherical dome, a cone segment, a cylinder segment, and a tail expansion segment. The circular cross-section diameter of the JAXA wind tunnel test model is D = 100 mm, and the other parameters are shown in Figure 2. We focus on the aero-thermal analysis of hypersonic flight at zero attack angle. Because the HB-2 model is axisymmetric, the hypersonic flow outside the HB-2 model can be taken as symmetrical flow. To improve computational efficiency, a two-dimensional (2D) model is used in the numerical simulation, and only half of its 2D plane model is drawn. The grid division and boundary conditions are illustrated in Figure 3, and Figure 4 shows an enlarged view of the HB-2 dome near-wall grid division.
The results for the regional meshing of the hypersonic flow field are validated. As shown in Figure 5 and Figure 6, the surface pressure and heat flux of the HB-2 model with different grid numbers are distributed along the axial direction. The surface pressure P and the axial position X of the HB-2 model are treated as dimensionless parameters with the stagnation pressure Ps and the total axial length L of the model as reference values. As shown in Figure 5, there is no obvious difference for the results of three grids, indicating that the numerical calculation of pressure distribution of the hypersonic external flow field by these grids is independent. In addition, as depicted in Figure 6, there is no obvious difference between the calculation results for the axial heat flux distribution for 13,400 grid cells and 26,800 grid cells. However, the heat flux calculation results for 6700 grid cells are different from those of the other two grids. Therefore, the case with 13,400 grid cells has the characteristics of grid independence in calculating the heat flux of the hypersonic flow field. Thus, considering the computational efficiency, a 13,400 grid cells-mesh model is used to simulate the aerodynamic heat of the hypersonic external flow field.
Figure 7 shows the numerical simulation results and JAXA test results in the hypersonic wind tunnel for the distribution of heat flux along the axial wall at Mach 9.6. The simulation results are dimensionless, and the coordinate is exponentially displayed to highlight the heat flow distribution in each position of the model for comparing the heat flow of each position with the experimental results. The comparison of JAXA wind tunnel test data and numerical simulation results reveals that they are consistent, thus showing the effectiveness of the proposed numerical method.

3.2. Numerical Method Validation of Fluid–Thermal Coupling

The feasibility and accuracy of the proposed numerical simulation method of fluid-thermal coupling are validated using Wieting’s hypersonic circular pipe flow test [19] in the NASA Langley 8-foot-long high-temperature wind tunnel. The circular tube model used in the hypersonic circular tube flow test has an inner diameter of 25.4 mm and an outer diameter of 38.1 mm. The round pipe is made of stainless steel. The inflow conditions of the hypersonic wind tunnel test are presented in Table 2.
According to the abovementioned wind tunnel test settings and test data, a 2D model for hypersonic circular pipe flow is established. Because the tube is symmetrical, we mainly focus on the aerodynamic heat transfer characteristics of the windward side of the circular tube. To improve the calculation efficiency, only a quarter of the model grid of the circular tube is constructed, and the calculation grid and boundary conditions are set, as shown in Figure 8.
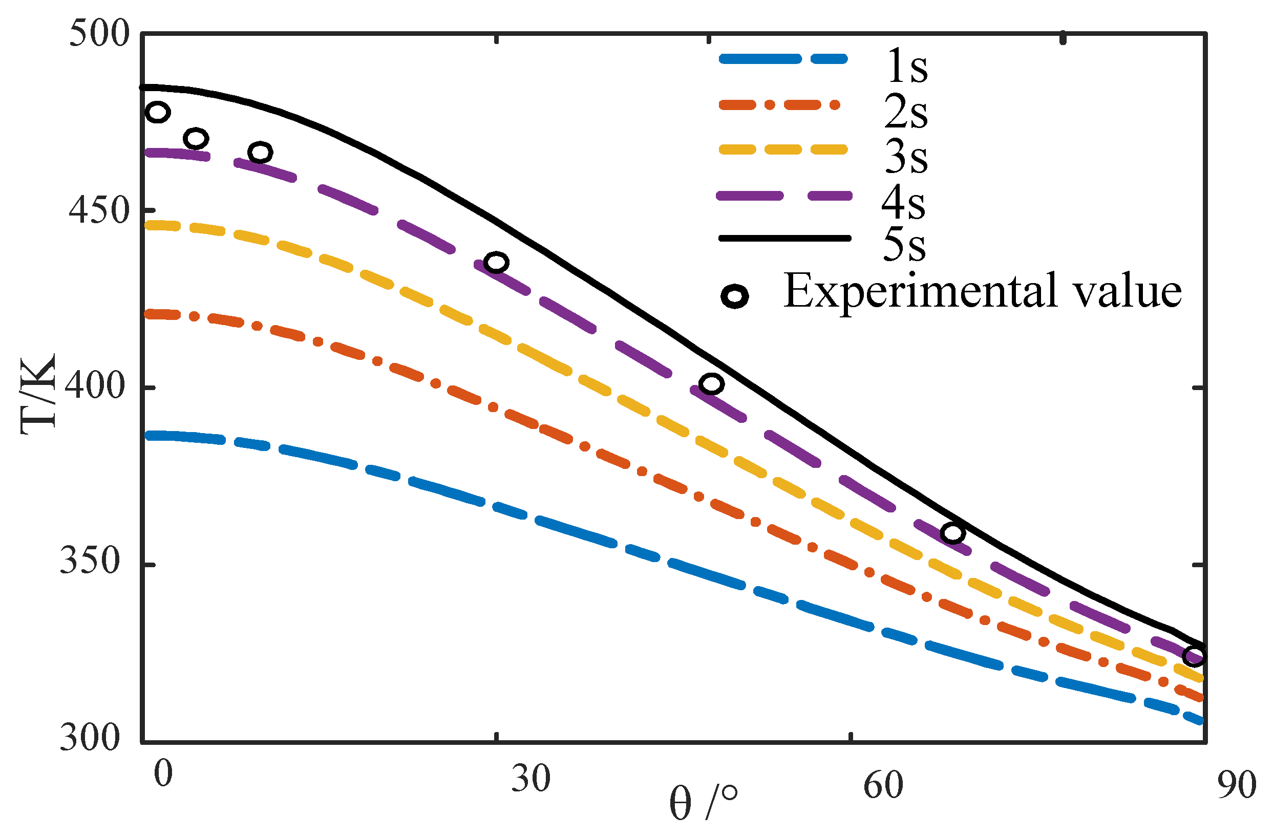
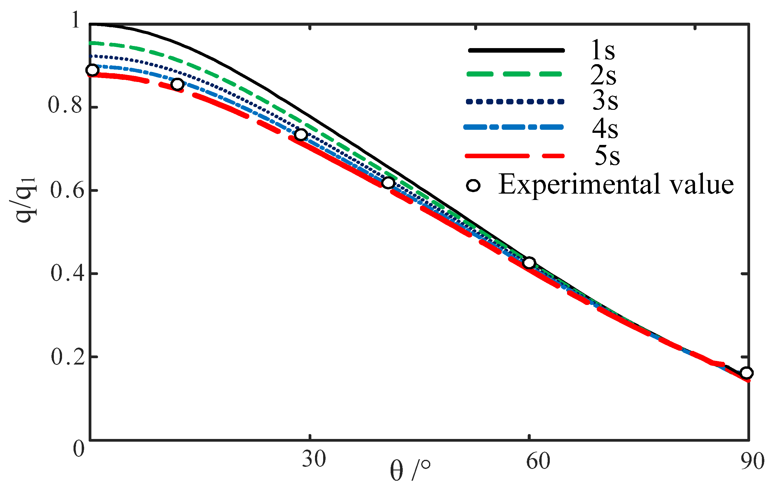
Figure 9 shows the distribution of heat flux density on the wall of a circular pipe in the process of unsteady fluid–thermal coupling calculation. At this time, the wall temperature is high and changes with time. The coordinate in the figure shows the ratio of the heat flux at each time point to the heat flux at the stagnation point at 1 s. The abscissa is the angle between the wall position and the central axis. As shown in Figure 9, the heat flux of the coupling wall shows good agreement with the experimental value. Figure 10 shows the temperature change of the outer wall of the round pipe with time. The temperature distribution on the wall of the circular pipe at 4 s was consistent with the wind tunnel test results [20]. Thus, the proposed numerical method is accurate in simulating the fluid–thermal coupling problem of a hypersonic circular pipe.

4. Physical Model and Boundary Conditions

4.1. Physical Model and Grid Division

Figure 11 shows the geometry of a hypersonic aircraft, which is a completely axisymmetric blunt body composed of a spherical dome and a conical shell, and the thickness of the shell is 5 mm. Although the blunt body shape increases the resistance, it reduces aerodynamic heating.
The shape of the hypersonic aircraft is symmetrical along the axial direction. To improve the efficiency, only a quarter of the model grid is constructed. The grid cells of flow field and structure field are all structured grid cells. Figure 12 depicts the calculation grid of the aircraft optical dome and its external flow field. Considering the fluid–thermal coupling, the boundary layer is captured near the wall of the structure. The first grid cell of the boundary layer is set as 1 × 10−5 m to ensure that the y + value of the wall grid is of the order of 1. The growth ratio of boundary layer grid cells is 1.1, and the total number of grid cells is 48,000.

4.2. Boundary Conditions

The parameters of the far-field conditions of inlet and outlet pressure are given by the self-programmed User-Defined Functions (UDF). In UDF, the piecewise function of the Mach number, atmospheric pressure, and atmospheric temperature with time are expressed. In the process of unsteady calculation, the DO model is used to consider the effect of radiation, and both the gas and the structure are considered. For the radiation parameters of solid structures, the emissivity of two shell materials is presented in Table 3, and default values are used for the other radiation parameters. The boundary condition of radiant heat is set for the inner wall of the shell.

5. Results and Discussion

We have studied the temperature and pressure of the aircraft optical dome during the whole flight. The flight time is from 20 s to 330 s. To simplify the analysis, we assume that the attack angle is 0°. Figure 13 shows the change of aircraft flight altitude with time. The maximum flight altitude is approximately 60 km, and the aircraft enters the reentry section immediately after reaching the maximum altitude at about 160 s.
The flight velocity at different flight altitudes affects the aerodynamic heating of the aircraft. The flight velocity of the aircraft is shown in Figure 14. The flight velocity rapidly increases to the hypersonic state at 20 s, and the maximum velocity of the aircraft reaches about 2500 m/s. Subsequently, the flight remains in a hypersonic state in a certain period. At around 300 s, the aircraft begins to decelerate from the hypersonic state, the velocity of the aircraft drops from 2000 m/s at 276 s to 500 m/s at 330 s.
Figure 15 shows the changes in the average temperature of the inner and outer walls of the optical dome with time. The wall temperature distribution exhibits an “M” shape, with two high-temperature cusps and one low-temperature cusp. At 70 s, the average temperature reaches the first peak of 1565 K. At 290 s, the average temperature reaches the second peak of 1560 K. There is a low-temperature cusp between the two peaks at 190 s, when the average temperature of the optical dome is 1130 K. The temperature increases rapidly before 70 s and reaches 1550 K at around 50 s. From 70 s to 290 s, the temperature firstly decreases and then increases, but the total change is within 450 K. It can be seen from Figure 13 that the aircraft experiences lift-off and reentry processes during this period. From 290 s to the end, the temperature decreases rapidly, and the change rate of temperature is similar to that at the beginning of the flight.
Figure 16 shows the maximum temperature of the optical dome during the flight. The trend of the maximum temperature of the optical dome is similar to that of the average temperature distribution. The first peak (1660 K) of the maximum temperature appears at 70 s, and the second peak (1640 K) appears at 290 s. Between the two high-temperature cusps, a low-temperature cusp (1190 K) appears at 190 s. From the results shown in Figure 15 and Figure 16, it is found that the time when the average temperature is the highest overlaps with the time when the wall temperature is the highest. Due to the long flight duration, heat conduction inside the optical dome transfers the heat evenly, and the temperature gradient of the structure decreases correspondingly. The optical dome temperature changes continuously during the flight. When the temperature in one position is very high, the temperature in other positions also increases due to heat conduction. In addition, there is a fourth-power relationship between radiation effect and temperature. The radiation effect in high-temperature areas is stronger than that in low-temperature areas; this also balances the wall temperature distribution. Therefore, the maximum temperature and average temperature of the optical dome are related.
Figure 17 shows the maximum pressure on the outer wall of the optical dome with time during the flight. The wall pressure is high at both ends and low in the middle. The maximum pressure on the optical dome wall is below 700 kPa during the whole flight. The hypersonic wall pressure distribution is closely related to the inflow pressure and Mach number, and the inflow pressure is related to the flight altitude. Generally, the higher the flight altitude, the thinner the air and the lower the inflow pressure. At an altitude of 60 km, the atmospheric pressure is less than that of the horizontal plane. As shown in Figure 17, the pressure on the optical dome wall firstly increases and then decreases. The rapid increase in the Mach number plays a major role in this process, and the decrease is caused by the decrease in the inflow pressure due to the change in the flight altitude. In the reentry phase, the pressure firstly increases and then decreases, which is contrary to the pressure change in the previous phase. Firstly, the pressure on the optical dome wall increases due to the altitude decrease and the inflow pressure increase. Then, the pressure on the optical dome wall decreases due to the sharp decrease in Mach number. Although the pressure on the optical dome wall varies greatly during the whole flight, the pressure magnitude is far below the maximum safety range of the optical dome. Therefore, the aerodynamic heat problem encountered in the aircraft is more serious and prominent than the problem of structure pressure.
According to the overall temperature and pressure changes of the optical dome, the whole flight can be divided into four periods for detailed analysis according to the “M” shape. The first time period is from 20 s to 70 s, the second period is from 70 s to 190 s, the third period is from 190 s to 290 s, and the fourth period is from 290 s to the end time of 330 s. The aerodynamic heat transfer characteristics of the optical dome are analyzed in combination with the variation of the inflow parameters such as flight altitude and the Mach number.

5.1. Analysis of Results in the First Period

Figure 18, Figure 19, Figure 20 and Figure 21 show numerical results of the aircraft structure and the temperature field, the pressure of the external flow field, and temperature distribution of the optical dome structure at different time points in the first period (between 20 s and 70 s), respectively.
Figure 18 shows the results at 22 s when the flight altitude is approximately 3.5 km; the maximum temperature of the external flow field is around 420 K, and the temperature of the solid structure does not increase much compared with the inflow temperature. At this time, the flight velocity is less than Mach 2, the generated shock wave presents a large shock angle, and the parameters before and after the shock wave change only slightly. The maximum pressure near the optical dome is approximately 240 kPa and gradually decreases along the direction of fluid flow as the velocity increases. From the temperature distribution of the optical dome structure, shown on the right side of Figure 18, the outer wall of the optical dome is heated up and conducts heat to the inside. However, because the aerodynamic heating time is relatively short, the aerodynamic heat intensity is not high when the Mach number is not large, and the overall temperature of the optical dome structure changes slightly.
Figure 19 shows the results at 38 s when the flight altitude is around 9.5 km. This is the stage where the aircraft is accelerating but has not yet entered the hypersonic flight state. The maximum temperature of the external flow field increases to over 900 K, and the temperature of the external flow field near the optical dome is higher than that of the other positions of the aircraft structure. At this time, due to the improvement in the pneumatic heating intensity and sufficient heat conduction time inside the structure, the optical dome temperature is close to 650 K. With the increase of the flight velocity, the shock wave becomes increasingly intense. The wave angle decreases, and the parameter changes before and after the shock wave increase. From the pressure of the external flow field, it can be seen that the pressure near the back reaches 500 kPa, which is close to 5 atm. From the temperature distribution of the optical dome, it can be seen that the maximum temperature is over 700 K, and the temperature difference in the radial and circumferential structure inside the optical dome increases. This leads to changes in the heat flux distribution between the external flow field and the optical dome and the difference in the intensity of radiation heat dissipation in the sapphire optical dome.
Figure 20 shows the results at 53 s when the flight altitude is around 17 km. After a period of acceleration, the flight velocity exceeds Mach 5, and the aircraft enters the hypersonic flight state. The maximum temperature of the external flow field exceeds 1800 K, which shows the severity of aerodynamic heating of the optical dome during hypersonic flight. With the increase in the flight velocity, the temperature of the flow field behind the shock wave increases due to intense compression. The temperature of the hypersonic aircraft structure continues to increase due to the increasing external aerodynamic heating. From the temperature distribution of the optical dome, it can be seen that the maximum temperature near the outer wall is 1250 K, and the minimum temperature on the inner wall is over 1030 K.
From the pressure distribution of the external flow field, it can be seen that the maximum pressure on the optical dome is approximately 450 kPa and remains at a high level during the whole flight. From the maximum pressure shown in Figure 17 and the analysis of the results at 38 s, it can be observed that the high-pressure interval between 38 s and 53 s is mainly due to the strong pressure increase after the shock wave caused by the continuous acceleration of the aircraft, and the increase in the flight altitude leads to a decrease in the inflow pressure.
Figure 21 shows the results at 70 s; the first high-temperature cusp appears at this moment. At this moment, the flight altitude is around 24 km, the flight velocity is 2528 m/s, and the maximum temperature of the external flow field near the optical dome is over 3400 K. The aerodynamic heating effect is the strongest, the structure temperature reaches the peak, and also the radiation heat dissipation reaches the highest value. The moment when the temperature reaches its maximum is not the moment when the velocity reaches its maximum because of the dynamic balance between aerodynamic heating and radiation heat dissipation. In addition, the internal heat conduction of the structure has a greater effect relative to aerodynamic heat and radiation heat transfer. Under the combined action of hypersonic aerodynamic heating, radiation heat dissipation, and heat conduction inside the structure, the temperature distribution of the optical dome structure is as shown in Figure 21, from which it can be seen that the maximum temperature of the optical dome reaches 1650 K.
The inflow pressure is only 2320 Pa due to the flight altitude, which is less than one-fifth of the pressure at 53 s. The inflow velocity does not increase much. According to Figure 21, the maximum pressure on the outer wall is approximately 250 kPa.

5.2. Analysis of Results in the Second Period

Figure 22, Figure 23 and Figure 24 show the results of the temperature field, pressure of the external flow field, and temperature distribution of the optical dome structure at different time points in the second period (between 70 s and 190 s), respectively.
Figure 22 shows the results at 109 s, when the flight altitude is around 49 km; the velocity of the aircraft changes little during the second period. The velocity fluctuates at 2500 m/s from 70 s to 109 s. The maximum temperature of the external flow field is around 3200 K, which is slightly lower than that at 70 s, mainly because of the influence of flight altitude on the inflow parameters. The decrease in the inflow temperature not only directly affects the temperature behind the shock wave but also affects the local sound speed. As the Mach number is the ratio of the inflow speed to the local sound speed, it affects the inflow Mach number and indirectly affects the temperature distribution outside the optical dome. Because of the weakening of external aerodynamic heating, the radiation heat dissipation becomes greater than the aerodynamic heating, and the temperature of the optical dome structure drops although the temperature of the external flow field is still high. The maximum temperature of the optical dome structure decreases from 1650 K to 1340 K at 70 s, and the temperature of the outer side wall decreases faster than that of the inner side wall.
From the pressure distribution of the external flow field, it can be seen that the maximum pressure on the optical dome at this time is only approximately 8 kPa and is at a relatively low level during the whole flight. As can be seen from the variation in the flight altitude with time shown in Figure 13, the flight altitude at this moment is close to the maximum flight altitude, the atmosphere is thin, and the inflow pressure is extremely low. The pressure on the optical dome wall shows a very low level.
Figure 23 shows the results at 149 s, when the flight altitude is around 59 km, which is close to the maximum altitude of 60 km. The maximum temperature of the external flow field at this moment is approximately 3000 K, while the maximum wall pressure is only 2.2 kPa. The maximum temperature of the optical dome structure is approximately 1240 K. Compared with the results at 109 s, temperature of the external flow field, pressure of the external flow field, and internal temperature of the optical dome structure decrease. The reason for the decrease is similar to the analysis at 109 s. Due to the further increase of the flight altitude, the aircraft is in an atmospheric environment with low temperature, low pressure, and low density (thin air). The aerodynamic heating effect continues to weaken, while the radiation heat dissipation continues to strengthen due to the fourth square correlation with the structure temperature, resulting in the decrease of the optical dome structure temperature. The pressure on the optical dome wall remains extremely low due to the low-pressure environment.
Figure 24 shows the results at 190 s, which is the low-temperature cusp of the optical dome structure temperature in the flight. The flight altitude is around 55 km, and the aircraft has just entered the reentry phase. At this moment, the maximum temperature of the external flow field near the optical dome remains at approximately 3000 K, but the structure temperature continues to decrease, and the maximum temperature of the optical dome structure is less than 1200 K. The cooling effect in this stage is mainly accomplished by the radiation of the optical dome structure, and the rate of change of aerodynamic heating in the external flow field is very small. As the structure temperature continues to decrease during this period, it adversely affects the radiation and heat dissipation, gradually weakening it and reaching a new balance with the aerodynamic heating. The wall pressure at this moment is still at a low level due to the flight altitude, and the maximum wall pressure is only 3 kPa.

5.3. Analysis of Results in the Third Period

Figure 25 and Figure 26 show the results of the temperature field, the pressure of the external flow field, and the temperature of the optical dome structure at 239 s and 290 s, respectively. At 239 s, the flight altitude decreases to around 33 km, and the flight velocity decreases slightly compared with the second period. The temperature of the external flow field near the optical dome is above 2800 K, and the maximum temperature is around 3000 K. As the optical dome has cooled to below 1200 K in the second period, the average temperature difference between the optical dome structure and the external flow field near the optical dome increases to nearly 2000 K. This temperature difference increases the intensity of aerodynamic heating and the balance between aerodynamic heating and radiation heat dissipation no longer exists. The temperature outside the optical dome increases, and the heat is transferred inside. The maximum temperature of the optical dome structure increases to over 1480 K at this moment, and the temperature of the optical dome edge and inner wall surface increases to over 1220 K. It can be seen from the pressure of the external flow field that the pressure near the back cover wall of the shock wave increases to 85 kPa. This is mainly due to the decrease in flight altitude and denser air than that at 190 s; thus, the inflow pressure increases, which is finally reflected in the increase in the pressure on the optical dome wall.
Figure 26 shows the results at 290 s, when the flight altitude decreases to around 20 km, and the optical dome structure temperature increases to the second temperature peak after this time period. With the decrease in flight velocity, the maximum temperature of the external flow field decreases to approximately 2000 K. Before this moment, the dominant aerodynamic heating effect continues to decrease, while the previously weak radiation intensity continues to increase due to the continuous increase in the temperature of the optical dome structure. This phenomenon continues until 290 s, when there is a new thermal equilibrium state, exhibiting the second temperature peak. At this time, the maximum temperature of the optical dome structure is 1620 K, and the minimum temperature inside is around 1420 K.
The pressure of the external flow field is affected by the decrease in the flight altitude, and the pressure of the atmospheric inflow increases during this period, leading to the continuous increase in the pressure of the external flow field. At 290 s, the maximum pressure on the optical dome wall is 320 kPa.

5.4. Analysis of Results in the Fourth Period

Figure 27 and Figure 28 show the results of the temperature field, pressure of the external flow field, and temperature distribution of the optical dome structure at 310 s and 330 s, respectively.
At 310 s, the flight altitude decreases to approximately 9.3 km, and the flight velocity decreases to 1178 m/s. During this period, the aircraft slows down to prepare for landing. The temperature of the aircraft structure at this moment is already higher than the temperature behind the shock wave of the external flow field, that is, the optical dome began to convectively dissipate heat to the flow field. The radiation effect of the optical dome is still evident. Under the dual effects of convection and radiation, the optical dome structure temperature begins to decrease.
As the flight altitude decreases, the inflow pressure increases rapidly. Because the flight velocity is still 1178 m/s, the pressure rise after the shock wave is still evident. Under the influence of Mach number and inflow pressure parameters, the stagnation pressure of the optical dome is greater than 600 kPa.
Figure 28 shows the results of the final moment of the whole flight when the flight altitude is close to the ground. At this moment, due to the continuous decrease in flight velocity, the shock angle of the detached shock wave on the nose of the aircraft is very large, and the parameters before and after the shock wave change only slightly. The temperature of the optical dome structure is higher than the maximum temperature of the flow field, and heat is continuously dissipated through convection and radiation. The maximum temperature of the optical dome structure is approximately 640 K. The temperature of the conical section behind the optical dome is higher than that of the optical dome. Due to the internal heat conduction of the aircraft structure, the temperature gradient between the titanium-alloy conical section and the sapphire optical dome leads to heat transfer from the conical section to the optical dome; thus, the temperature at the position where the titanium-alloy conical section is connected to the optical dome is higher than that at other positions of the optical dome.
Because of the rapid decrease in flight velocity, the effect of the pressure of the aircraft after the shock wave is greater than that caused by the altitude change of the aircraft. The atmospheric pressure parameters at the altitude of 9.3 km at 310 s show little difference with those at the altitude near the ground. It can be seen from Figure 14 that the flight velocity at 330 s roughly decreases by half compared with that at 310 s. Therefore, the maximum wall pressure during this period decreases continuously, and the maximum wall pressure at 330 s is only 250 kPa.

6. Conclusions

In this study, the aerodynamic heat transfer characteristics of a hypersonic aircraft optical dome are studied, and the main conclusions are listed as follows:
(1) The distribution of average and maximum temperature on the inner and outer walls of the optical dome exhibit an M-shaped pattern, with two high-temperature cusps (70 s and 290 s) and one low-temperature cusp (190 s), and the highest average temperature coincides with the maximum wall temperature. Heat conduction in the optical dome and radiation in the high-temperature areas balance the wall temperature distribution.
(2) The wall pressure of the hypersonic aircraft changes with time during the whole flight process, showing the characteristics of high pressure at both ends of the time period and low pressure in the middle. The initial increase in the optical dome pressure is due to the rapid increase in flight Mach number, and the subsequent decrease is due to the decrease in flight altitude, leading to the decrease of inflow pressure. The reentry pressure firstly increases and then decreases, but the pressure on the optical dome wall increases continuously due to the altitude decrease. The pressure on the optical dome wall decreases due to the sharp decrease in Mach number.
(3) From 20 s to 290 s, the temperature of the external flow field near the optical dome is higher than that near other positions of the aircraft structure. Because of the severe aerodynamic heating of the nose during hypersonic flight, with the increase in flight velocity, the gas behind the shock wave of the external flow field is compressed more violently, resulting in an increase in the temperature.
(4) The structure temperature of the hypersonic aircraft is higher than the temperature behind the shock wave in the external flow field at 310 s and later. At this time, the optical dome begins to dissipate heat convection to the flow field, and the radiation effect of the optical dome is still obvious. Under the dual effects of convection and radiation, the optical dome temperature begins to decrease.

Author Contributions

Methodology, Z.W.; validation, Z.W., A.Z. and J.P.; calculations, Z.W., A.Z., J.P., W.L. and Y.S.; data processing, Z.W., J.P. and W.L.; writing—original draft preparation, Z.W., A.Z., J.P. and W.L.; writing—review and editing, Z.W. and J.P.; project administration, W.L. All authors have read and agreed to the published version of the manuscript.

Funding

This research was funded by Youth Innovation Promotion Association, XIOPM, CAS (no. E229321201).

Data Availability Statement

Not applicable.

Conflicts of Interest

The authors declare no conflict of interest.

Nomenclature

CPSpecific constant pressure heat capacity, J/(kg·K)
DDiameter, m
hConvection heat transfer coefficient, W/(m2·K)
KHeat transfer coefficient
kCoefficient; Turbulence kinetic energy per unit mass, m2/s2
LLength, m
PPressure, Pa
PkTurbulence generation rate
qHeat flux, W/m2
ReReynolds number
STViscous dissipation term
TTemperature, K
tTime, s
ukTurbulent viscosity, kg/(m·s)
vVelocity, m/s
y+Non-dimensional grid spacing at wall
Greek Symbols
αConstant, α = 5/9
β’Constant, β’ = 0.09
ρDensity, kg/m3
σkConstant, σk = 2
Subscripts
11 s moment
sStationary point
nwNear wall
fwFluid domain coupling surface
swSolid domain coupling surface

References

  1. Tsien, H.S. Similarity Laws of Hypersonic Flows. J. Math. Phys. 1946, 25, 247–251. [Google Scholar] [CrossRef]
  2. Liu, T.L. Development and prospect of American hypersonic technology. Aerosp. Control 2004, 22, 36–41. [Google Scholar]
  3. Han, R.Y. Simulation Study on Flight Temperature and Pressure of Blunt Body with CVD Diamond Film. Master’s Thesis, Nanjing University of Aeronautics and Astronautics, Nanjing, China, 2007. [Google Scholar]
  4. Sutton, G.W. Aero-optical foundations and applications. AIAA J. 1985, 23, 1525–1537. [Google Scholar] [CrossRef]
  5. Hamilton, I.H. Approximate method of predicting heating on the windward side of Space Shuttle Orbiter and comparisons with flight data. In Proceedings of the 3rd Joint Thermophysics, Fluids, Plasma and Heat Transfer Conference, St. Louis, MA, USA, 7–11 June 1982; Fluid Dynamics and Co-located Conferences. American Institute of Aeronautics and Astronautics: Reston, VA, USA, 1982. [Google Scholar]
  6. Davis, R.T. Numerical solution of the hypersonic viscous shock-layer equations. AIAA J. 1970, 8, 843–851. [Google Scholar] [CrossRef]
  7. Christopher, J.R.; Fred, R.D. An Engineering Aerodynamic Heating Method for Hypersonic Flow; Langley Research Center, NASA: Hampton, VA, USA, 1992. [Google Scholar]
  8. Lei, Y.H. Research on Calculation Method of Aerodynamic Characteristics of Hypersonic Vehicle. Master’s Thesis, Northwestern Polytechnical University, Xi’an, China, 2000. [Google Scholar]
  9. Che, J.; Tang, S.; He, K.F. Engineering calculation method of aerodynamic heating of waverider-like aircraft. J. Ballist. 2006, 4, 93–96. [Google Scholar]
  10. Xia, G.; Liu, X.J.; Cheng, W.K.; Qin, Z.Z. Numerical calculation of coupling between hypersonic aerodynamic heating of bluff body and structural heat transfer. J. Natl. Univ. Def. Technol. 2003, 1, 35–39. [Google Scholar]
  11. Chen, Z.R.; Jin, C.M.; Wang, H.J. Engineering Fluid Mechanics; Wiley: Hoboken, NJ, USA, 2004. [Google Scholar]
  12. Menter, F.R. Improved Two-Equation k-Omega Turbulence Models for Aerodynamic Flows; NASA: Washington, DC, USA, 1992. [Google Scholar]
  13. Dong, M.Q. Aerodynamic Design and Flow Mechanism of Turbine with Super Expansion Ratio in Water-Air Mode of Trans-media Engine. Master’s Thesis, Harbin Engineering University, Harbin, China, 2020. [Google Scholar]
  14. McBride, B.J.; Gordon, S. Computer Program for Calculation of Complex Chemical Equilibrium Compositions and Applications. Part 2: Users Manual and Program Description; Reference Publication 1311; NASA: Washington, DC, USA, 1996. [Google Scholar]
  15. Yang, C. Aerodynamic Ablation and Internal Heat Transfer of Hypersonic Vehicle. Master’s Thesis, Nanjing University of Science and Technology, Nanjing, China, 2008. [Google Scholar]
  16. Wang, H.; Luo, K.; Yang, Q.; Huang, C.; Qin, K. A Fluid-thermal analysis of partial admission axial turbines. In Proceedings of the Global Power and Propulsion Society, Xi’an, China, 18–20 October 2021. [Google Scholar]
  17. Gray, J.D. Summary Report on Aerodynamic Characteristics of Standard Models HB-1 and HB-2; Arnold Engineering Development Center Arnold AFB TN: Tullahoma, TN, USA, 1964. [Google Scholar]
  18. Kuchi, I.S.; Watanabe, S.; Nagai, S.; Tsuda, S.; Koyama, T.; Hirabayashi, N.; Sekine, H.; Hozumi, K. Comparative Force/Heat Flux Measurements between JAXA Hypersonic Test Facilities Using Standard Model HB-2; Japan Aerospace Exploration Agency (JAXA): Tokyo, Japan, 2005. [Google Scholar]
  19. Dechaumphai, P.; Thornton, E.A.; Wieting, A.R. Flow-thermal-structural study of aerodynamically heated leading edges. J. Spacecr. Rocket. 1989, 26, 201–209. [Google Scholar] [CrossRef]
  20. Guo, S. Multi-Physical Field Coupling of Key Components of Hypersonic Vehicle. Master’s Thesis, Nanjing University of Aeronautics and Astronautics, Nanjing, China, 2016. [Google Scholar]
Figure 1. Calculation method of fluid-thermal coupling.
Figure 1. Calculation method of fluid-thermal coupling.
Energies 15 08619 g001
Figure 2. Dimensions of the standard HB-2 model.
Figure 2. Dimensions of the standard HB-2 model.
Energies 15 08619 g002
Figure 3. Grid division of the external flow field.
Figure 3. Grid division of the external flow field.
Energies 15 08619 g003
Figure 4. Enlarged drawing of HB-2 dome near-wall mesh division.
Figure 4. Enlarged drawing of HB-2 dome near-wall mesh division.
Energies 15 08619 g004
Figure 5. Surface pressure distribution of the model along the axial direction.
Figure 5. Surface pressure distribution of the model along the axial direction.
Energies 15 08619 g005
Figure 6. Surface heat flux distribution of the model along the axial direction.
Figure 6. Surface heat flux distribution of the model along the axial direction.
Energies 15 08619 g006
Figure 7. Numerical and experimental results for the heat flux distribution along the axial wall of the HB-2 model at Mach 9.6.
Figure 7. Numerical and experimental results for the heat flux distribution along the axial wall of the HB-2 model at Mach 9.6.
Energies 15 08619 g007
Figure 8. Mesh generation of fluid-thermal coupling model around the circular pipe.
Figure 8. Mesh generation of fluid-thermal coupling model around the circular pipe.
Energies 15 08619 g008
Figure 9. Variation of wall heat flux distribution with time.
Figure 9. Variation of wall heat flux distribution with time.
Energies 15 08619 g009
Figure 10. Variation of wall temperature distribution with time.
Figure 10. Variation of wall temperature distribution with time.
Energies 15 08619 g010
Figure 11. Geometry of the hypersonic aircraft.
Figure 11. Geometry of the hypersonic aircraft.
Energies 15 08619 g011
Figure 12. Grid of flow field and structure field.
Figure 12. Grid of flow field and structure field.
Energies 15 08619 g012
Figure 13. Variation of altitude during the flight.
Figure 13. Variation of altitude during the flight.
Energies 15 08619 g013
Figure 14. Variation of velocity during the flight.
Figure 14. Variation of velocity during the flight.
Energies 15 08619 g014
Figure 15. Variation of the average temperature of the inner and outer walls of the optical dome with time.
Figure 15. Variation of the average temperature of the inner and outer walls of the optical dome with time.
Energies 15 08619 g015
Figure 16. Variation of the maximum temperature of the optical dome with time.
Figure 16. Variation of the maximum temperature of the optical dome with time.
Energies 15 08619 g016
Figure 17. Variation of maximum pressure on the optical dome wall with time.
Figure 17. Variation of maximum pressure on the optical dome wall with time.
Energies 15 08619 g017
Figure 18. Calculation results at 22 s.
Figure 18. Calculation results at 22 s.
Energies 15 08619 g018
Figure 19. Calculation results at 38 s.
Figure 19. Calculation results at 38 s.
Energies 15 08619 g019
Figure 20. Calculation results at 53 s.
Figure 20. Calculation results at 53 s.
Energies 15 08619 g020
Figure 21. Calculation results at 70 s.
Figure 21. Calculation results at 70 s.
Energies 15 08619 g021
Figure 22. Calculation results at 109 s.
Figure 22. Calculation results at 109 s.
Energies 15 08619 g022
Figure 23. Calculation results at 149 s.
Figure 23. Calculation results at 149 s.
Energies 15 08619 g023
Figure 24. Calculation results at 190 s.
Figure 24. Calculation results at 190 s.
Energies 15 08619 g024
Figure 25. Calculation results at 239 s.
Figure 25. Calculation results at 239 s.
Energies 15 08619 g025
Figure 26. Calculation results at 290 s.
Figure 26. Calculation results at 290 s.
Energies 15 08619 g026
Figure 27. Calculation results at 310 s.
Figure 27. Calculation results at 310 s.
Energies 15 08619 g027
Figure 28. Calculation results at 330 s.
Figure 28. Calculation results at 330 s.
Energies 15 08619 g028
Table 1. Inflow parameters of the JAXA hypersonic wind tunnel test model.
Table 1. Inflow parameters of the JAXA hypersonic wind tunnel test model.
NameTemperature (K)Pressure (Pa)Mach NumberReynolds Number
size52759.62.1 × 106
Table 2. Inflow conditions of the hypersonic wind tunnel test.
Table 2. Inflow conditions of the hypersonic wind tunnel test.
Mach NumberInflow Temperature (K)Inflow Pressure (Pa)Reynolds Number
6.47241.5648.11.31 × 106
Table 3. Material properties of the aircraft structure.
Table 3. Material properties of the aircraft structure.
MaterialDensity (kg·m−3)Specific Heat Capacity (J·(kg·K)−1)Thermal Conductivity (W·(m·K)−1 )ε
Sapphire3980780350.92
TC44850544.257.440.5
Publisher’s Note: MDPI stays neutral with regard to jurisdictional claims in published maps and institutional affiliations.

Share and Cite

MDPI and ACS Style

Wang, Z.; Zhang, A.; Pan, J.; Lu, W.; Sun, Y. Fluid-Thermal Interaction Simulation of a Hypersonic Aircraft Optical Dome. Energies 2022, 15, 8619. https://doi.org/10.3390/en15228619

AMA Style

Wang Z, Zhang A, Pan J, Lu W, Sun Y. Fluid-Thermal Interaction Simulation of a Hypersonic Aircraft Optical Dome. Energies. 2022; 15(22):8619. https://doi.org/10.3390/en15228619

Chicago/Turabian Style

Wang, Zhiqiang, Anjing Zhang, Jia Pan, Weiguo Lu, and Yubiao Sun. 2022. "Fluid-Thermal Interaction Simulation of a Hypersonic Aircraft Optical Dome" Energies 15, no. 22: 8619. https://doi.org/10.3390/en15228619

APA Style

Wang, Z., Zhang, A., Pan, J., Lu, W., & Sun, Y. (2022). Fluid-Thermal Interaction Simulation of a Hypersonic Aircraft Optical Dome. Energies, 15(22), 8619. https://doi.org/10.3390/en15228619

Note that from the first issue of 2016, this journal uses article numbers instead of page numbers. See further details here.

Article Metrics

Back to TopTop