Design of a Fluxgate Weak Current Sensor with Anti-Low Frequency Interference Ability
Abstract
1. Introduction
2. The Overall Structure and Principle of the Sensor
2.1. Fluxgate Current Sensor Structure
2.2. Principle of Fluxgate Detection Current
3. Sensor Design
3.1. FluxGate Chip Selection
3.2. Magnetic Ring Material Selection
3.3. Simulation Analysis of the Magnetic Ring Structure
3.4. Simulation Analysis of Magnetic Shielding
3.5. Filter Amplification Circuit Design
4. Test of Sensor Performance Parameters
4.1. Experimental System
4.2. Minimum Measurable Current
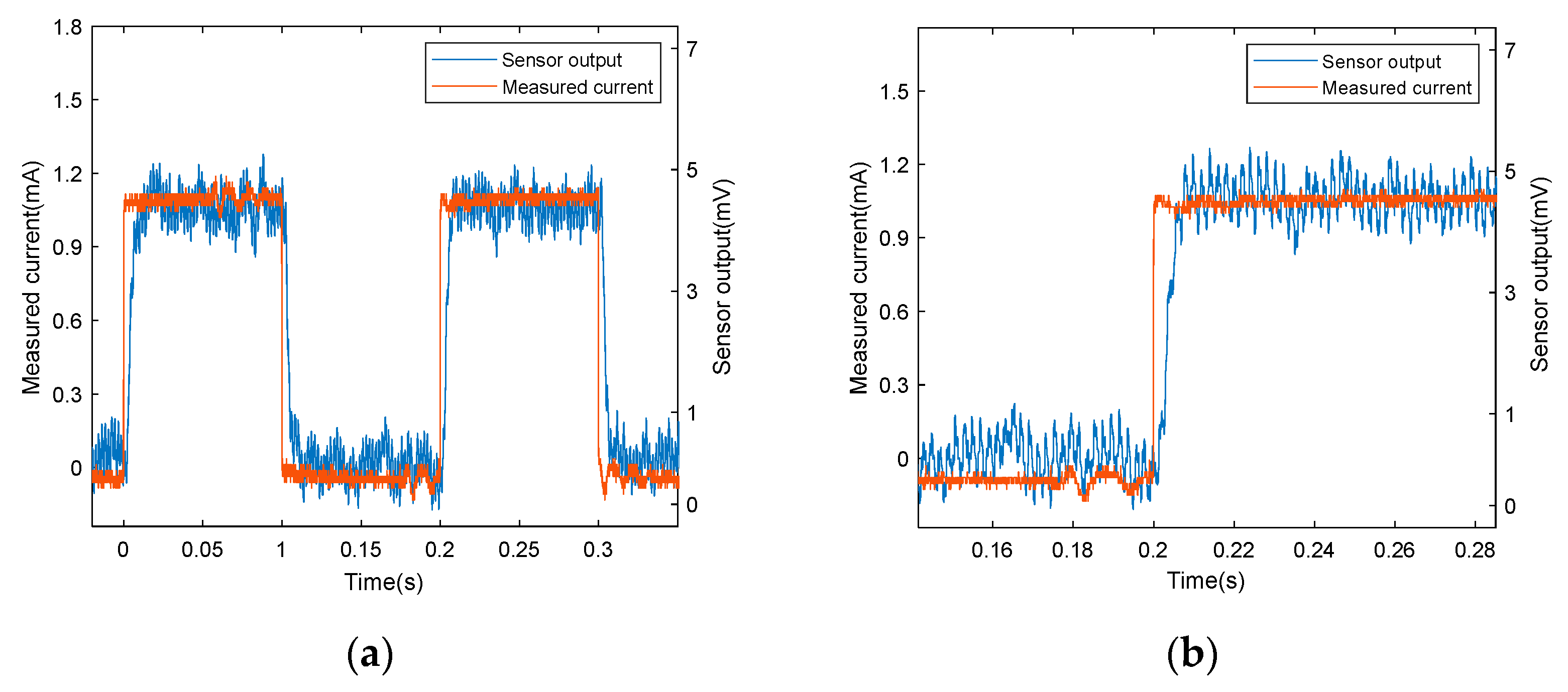
4.3. Range, Sensitivity and Linearity
4.4. Sensor Bandwidth
4.5. Anti-Jamming Capability
5. Conclusions
- (1)
- This paper introduces the design of a small current sensor based on the fluxgate principle, including the selection of fluxgate chip, magnetic ring structure simulation analysis, filter circuit design, and anti-interference shielding shell simulation analysis.
- (2)
- The finite element simulation of the shape of the magnetic ring was carried out. According to the simulation results, the inner diameter of the magnetic ring is 10 mm, the outer diameter is 23 mm, and the height is 8 cm. The fluxgate chip is installed at the 1/2 height of the magnetic ring. The finite element analysis of the shielding shell was also performed, and the shielding shell was determined to be 18 mm in diameter and 9 mm in height.
- (3)
- The main performance parameters of the sensor were tested. The experiments show the following: the minimum measurable current of the sensor is 1 mA; the range is 1 mA–1 A; the frequency range is DC-16 kHz; the sensitivity at DC is 1.82812 V/A and the linearity is 99.98%; and the sensitivity at 50 Hz is 1.795 V/A and the linearity is 99.99%.
- (4)
- The anti-interference performance of the sensor was tested. The results show that the influence of 97.3% of the DC interference magnetic field and 95.7% of the power frequency interference magnetic field can be reduced by increasing the shielding shell.
Author Contributions
Funding
Data Availability Statement
Acknowledgments
Conflicts of Interest
References
- Chen, X.F.; Liu, C.W.; Wang, C. Research on Anti-interference Technology of Complex Electromagnetic Environment of TMR Current Sensor. Instrum. Tech. Sens. 2020, 1, 13–16. [Google Scholar]
- Zhou, L.Y. Study on Current Sensing Technology Based on Tunnel Magnetoresistance Effect; Chongqing University: Chongqing, China, 2019. [Google Scholar]
- Wang, L.; Zhang, W.; Tan, X.; Chen, W.; Liang, S.; Suo, C. Research and Experiments on an External Miniaturized VFTO Measurement System. Sensors 2020, 20, 244. [Google Scholar] [CrossRef] [PubMed]
- Wang, Y.; Zhou, G.; Zeng, C.; Zhang, W.; Ren, Y.; Ke, Y.; Chu, H.; Suo, C. Research on On-Line Detection Method of Transformer Winding Deformation Based on VFTO. Sensors 2021, 21, 7386. [Google Scholar] [CrossRef] [PubMed]
- Zhang, J.; Wen, Y.; Li, P. Nonintrusive current sensor for the two-wire power cords. IEEE Trans. Magn. 2015, 51, 1–4. [Google Scholar] [CrossRef] [PubMed]
- Zhang, W.; Li, P.; Zhou, N.; Suo, C.; Chen, W.; Wang, Y.; Zhao, J.; Li, Y. Method for Localization Aerial Target in AC Electric Field Based on Sensor Circular Array. Sensors 2020, 20, 1585. [Google Scholar] [CrossRef] [PubMed]
- Liu, Q. The Design of Digital Flux-Gate Sensor Based on CORTEX-M3; Harbin Engineering University: Harbin China, 2014. [Google Scholar]
- Wang, Y.; Li, K.; Ren, B.F. Study of Fluxgate Current Detecting Method for AC-DC Earth Leakage Current Based on ap FFT. Trans. China Electrotech. Soc. 2015, 30, 254–260. [Google Scholar]
- Su, C.; Xu, Y.D.; Wang, E.G.; Qiao, K.P.; Xu, H.J. Detection Method of Leakage Current of Surge Protective Device. Electr. Energy Manag. Technol. 2011, 61, 49–52. [Google Scholar]
- Li, K.; Niu, F.; Wu, Y. Nonlinear Current Detection Based on Magnetic Modulation Technology. IEEE Trans. Magn. 2015, 51, 1–4. [Google Scholar] [CrossRef]
- Yamagata, Y.; Oshi, T.; Katsukawa, H.; Kato, S.; Sakurai, Y. Development of optical current transformers andapplication to fault location systems for substation. IEEE Trans. Power Deliv. 1993, 8, 866–873. [Google Scholar] [CrossRef]
- Xu, S.Y.; Peng, Q.; Xing, F.F.; Xue, H.Y.; Sun, J.W.; Ma, L.; Li, M. A Low-Cost Current Sensor Based on Semi-Cylindrical Magnetostrictive Composite. Electronics 2020, 9, 1833. [Google Scholar] [CrossRef]
- Yang, X.G.; Guo, W.; Li, C.C.; Zhu, B.; Chen, T.G.; Ge, W.Q. Design optimization of a fluxgate current sensor with low interference. IEEE Trans. Appl. Supercond. 2016, 26, 1–5. [Google Scholar] [CrossRef]
- Yu, H.; Chang, W.Z.; Du, F. Research on Anti-Interference Principle of Current Sensor Based on Circular Array of TMR. Electr. Power Inf. Commun. Technol. 2020, 18, 7–14. [Google Scholar]
- Ripka, P.; Chirtsov, A. Influence of external current on yokeless electric current transducers. IEEE Trans. Magn. 2017, 53, 1–4. [Google Scholar] [CrossRef]
- Mlejnek, P.; Vopalensky, M.; Ripka, P. AMR current measurement device. Sens. Actuators Phys. 2008, 141, 649–653. [Google Scholar] [CrossRef]
- Yang, X.G.; Guo, W.; Li, C.C.; Zhu, B. A Fluxgate Current Sensor With a U-Shaped Magnetic Gathering Shell. IEEE Trans. Magn. 2015, 51, 1–4. [Google Scholar]
- Zhang, X.F.; Lu, Y.L. Fluxgate Technology; National Defense Industry Press: Beijing, China, 1995; pp. 1–3. [Google Scholar]
- Wang, J.; Yang, G.R. Design of the Direct Sensing Type Hall Current Sensors with 5V Power. Instrum. Technol. 2016, 12, 42–45. [Google Scholar]
- Hu, J.; Wang, B.; Sheng, F.X.; Zhao, G.; Zhao, S.; He, J.L. Design and Noise Analysis of Weak Current Sensor with Broadband Based on Tunneling Magnetoresistance Effect. High Volt. Eng. 2020, 46, 2545–2553. [Google Scholar]
- Gao, Y.G. Shielding and Grounding; Beijing University of Posts and Telecommunications Press: Beijing, China, 2004; pp. 16–17. [Google Scholar]
- Zhou, J.J.; Lin, C.S.; Hu, Y.Q. Thickness Design of Ferromagnetic Shield for Magnetic Detection. Acta Armamentarii 2012, 33, 1498–1503. [Google Scholar]


















| Performance Index | Silicon-Steel | Fe-Based Amorphous Alloy | Ferrite | Permalloy |
|---|---|---|---|---|
| Saturated magnetic intensity (T) | 2.03 | 1.56 | 0.4 | 0.6–1 |
| Frequency (Hz) | 100 | 15k | 20k | 10–20k |
| Coercivity (A/m) | <30 | <3 | 6 | 0.8 |
| Maximum Permeability |
| Test Condition | Sensor Output Voltage (mV) | |
|---|---|---|
| Shielded Enclosure | Non-Shielded Enclosure | |
| No external magnetic field | 90.6 | 91.1 |
| External DC magnetic field | 90.8 | 98.5 |
| 50 Hz AC magnetic field | 90.0 | 105.1 |
Publisher’s Note: MDPI stays neutral with regard to jurisdictional claims in published maps and institutional affiliations. |
© 2022 by the authors. Licensee MDPI, Basel, Switzerland. This article is an open access article distributed under the terms and conditions of the Creative Commons Attribution (CC BY) license (https://creativecommons.org/licenses/by/4.0/).
Share and Cite
Tan, X.; Li, W.; Qian, G.; Ao, G.; Xu, X.; Wei, R.; Ke, Y.; Zhang, W. Design of a Fluxgate Weak Current Sensor with Anti-Low Frequency Interference Ability. Energies 2022, 15, 8489. https://doi.org/10.3390/en15228489
Tan X, Li W, Qian G, Ao G, Xu X, Wei R, Ke Y, Zhang W. Design of a Fluxgate Weak Current Sensor with Anti-Low Frequency Interference Ability. Energies. 2022; 15(22):8489. https://doi.org/10.3390/en15228489
Chicago/Turabian StyleTan, Xiangyu, Wenyun Li, Guochao Qian, Gang Ao, Xiaowei Xu, Ran Wei, Yi Ke, and Wenbin Zhang. 2022. "Design of a Fluxgate Weak Current Sensor with Anti-Low Frequency Interference Ability" Energies 15, no. 22: 8489. https://doi.org/10.3390/en15228489
APA StyleTan, X., Li, W., Qian, G., Ao, G., Xu, X., Wei, R., Ke, Y., & Zhang, W. (2022). Design of a Fluxgate Weak Current Sensor with Anti-Low Frequency Interference Ability. Energies, 15(22), 8489. https://doi.org/10.3390/en15228489
