Numerical Simulation of Roughness Effects of Ice Accretion on Wind Turbine Airfoils
Abstract
1. Introduction
2. Mathematical Models
2.1. RANS Turbulence Models
2.2. Rough Wall Functions
2.2.1. Momentum RWF
2.2.2. DLR RWF
2.2.3. Colebrook RWF
3. Profiles and Grids of CFD Simulations
3.1. Wind Turbine Airfoil with Ice Accretion
3.2. Roughness Parameters Calculations
3.3. Grid Generation
4. Numerical Simulation Results
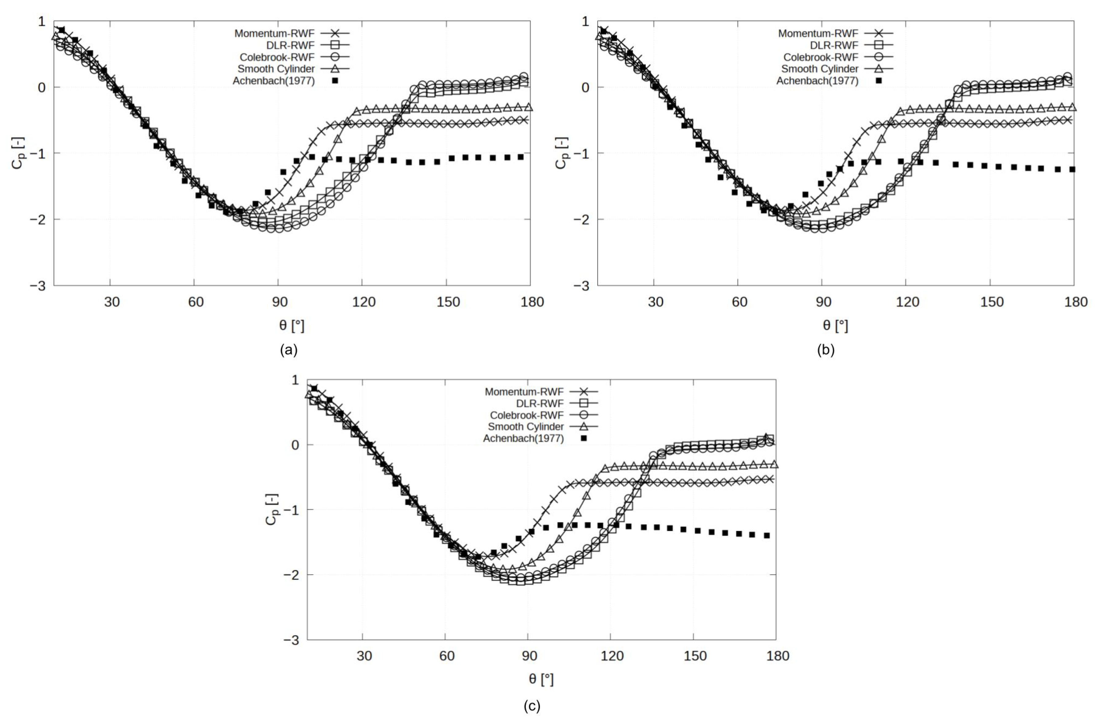
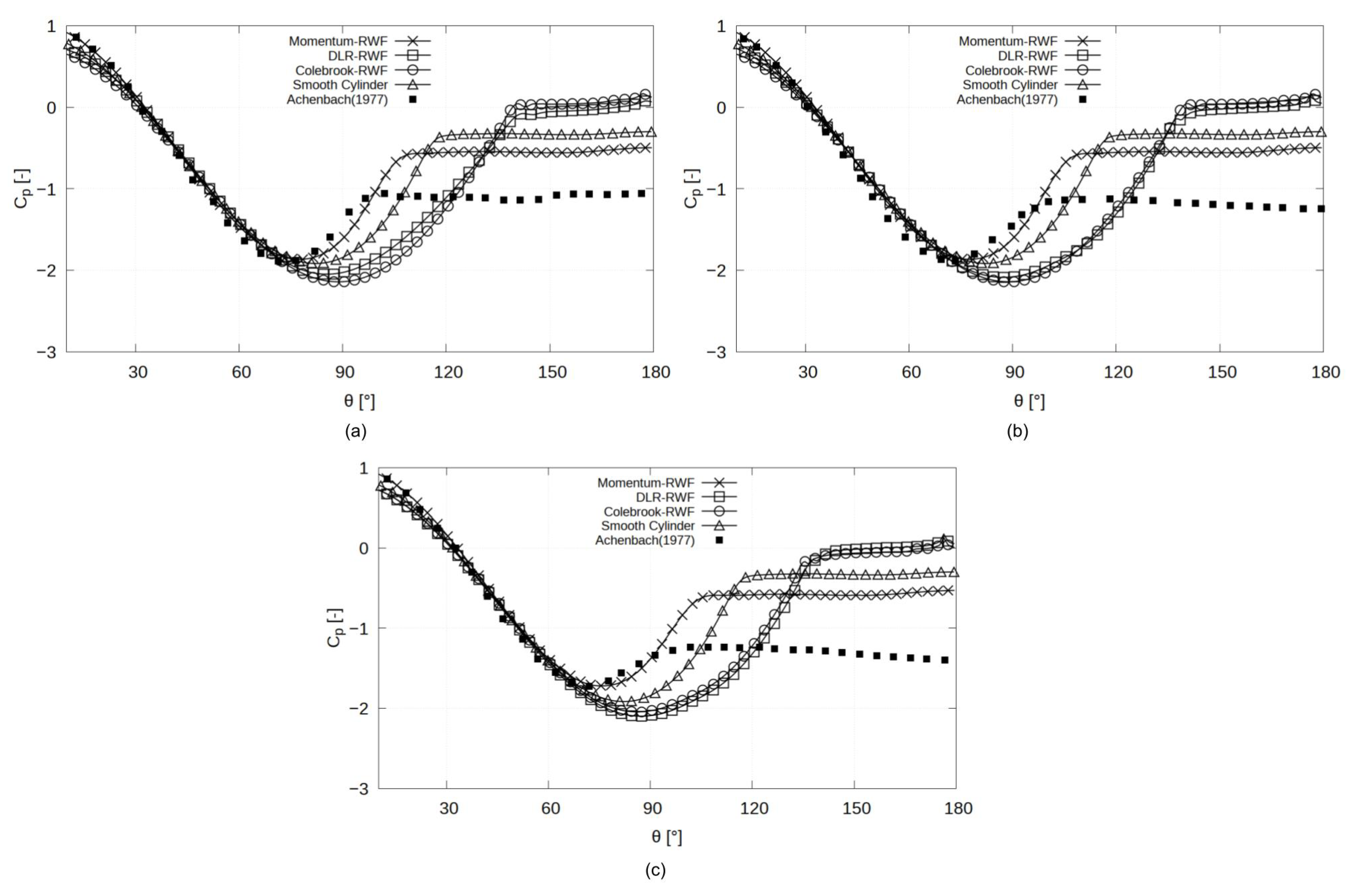
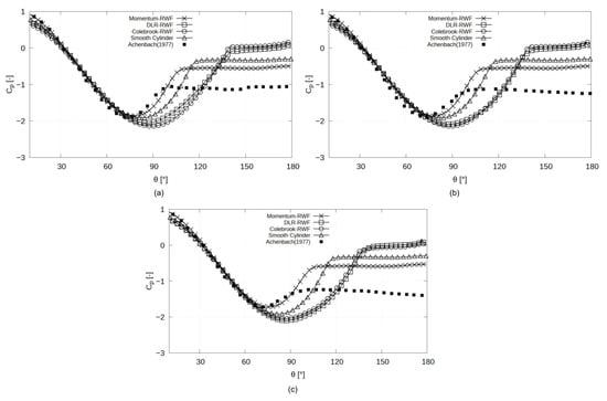
4.1. Implementation and Validation
4.2. Comparison of Simulation Results and Wind Tunnel Experiments
4.2.1. Experimental Setup
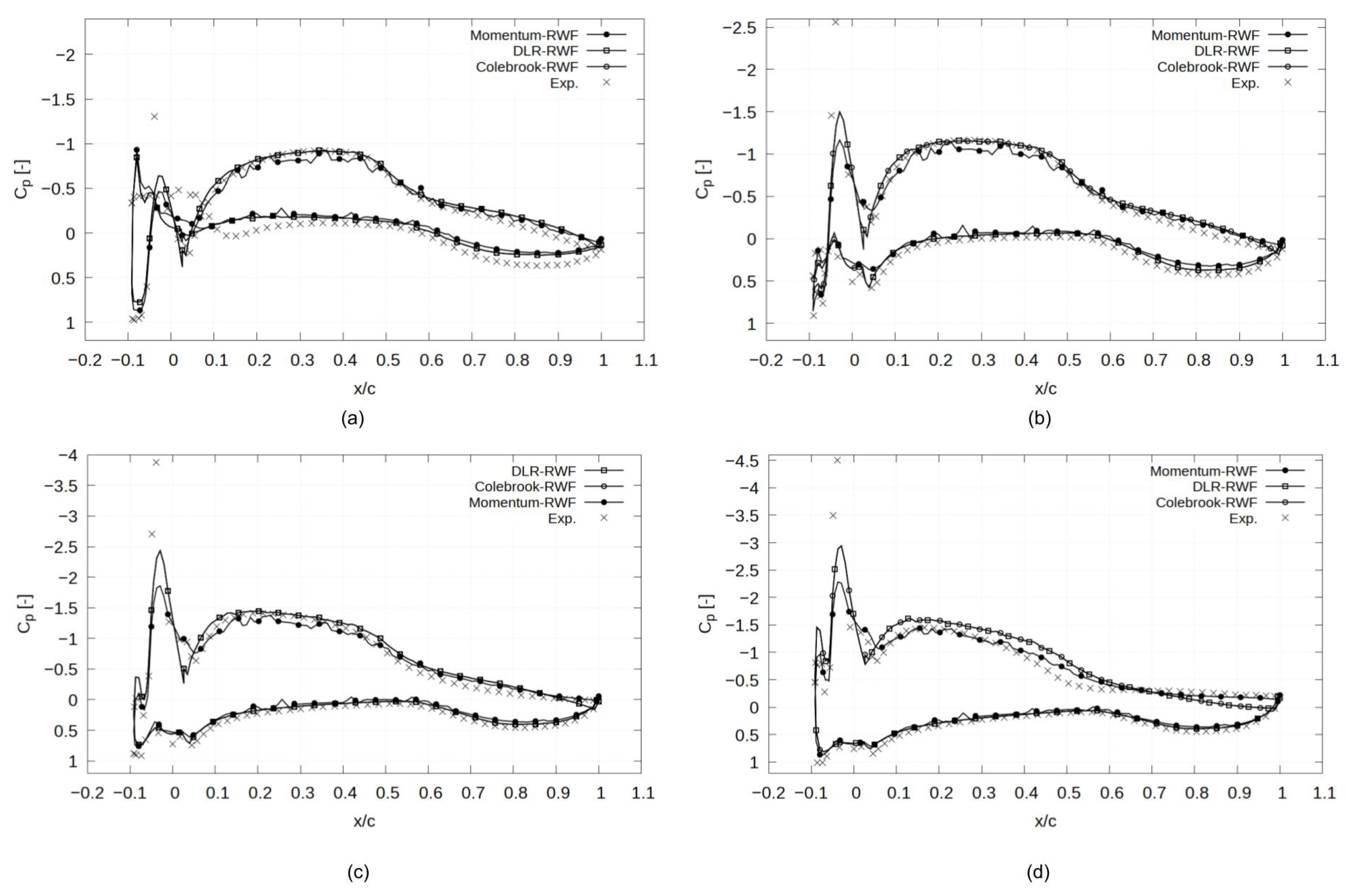
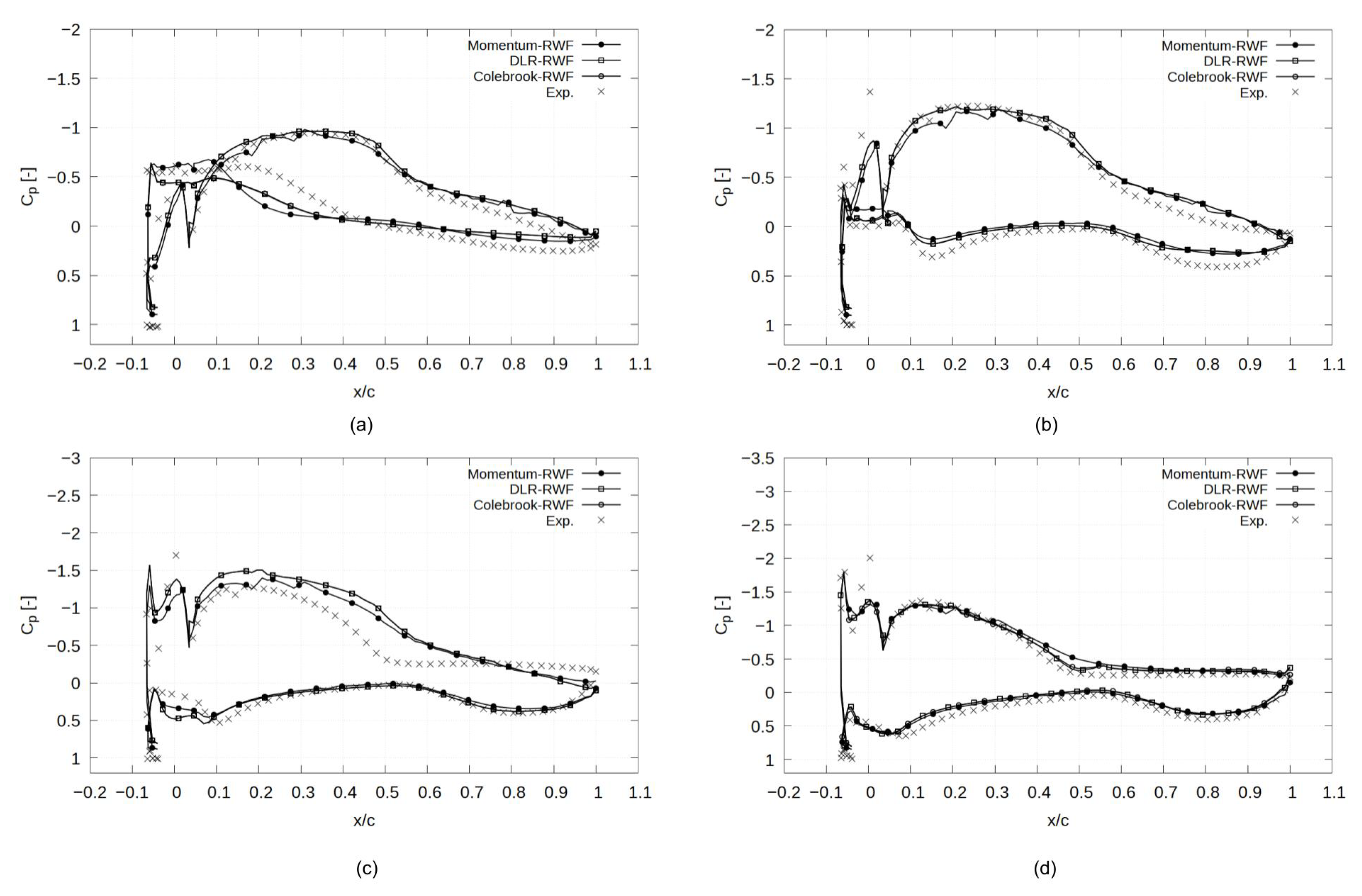
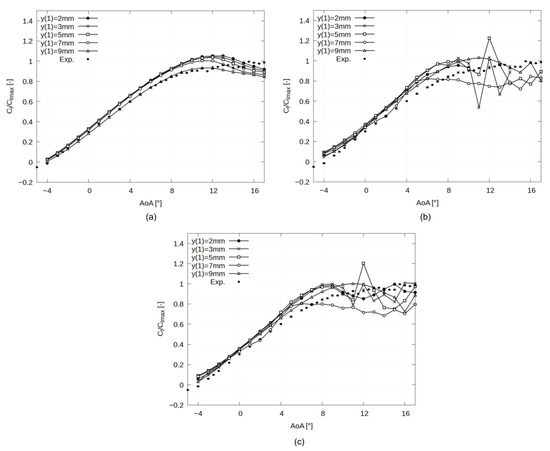
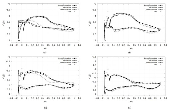
4.2.2. Case 1: Profile 1 at Re =
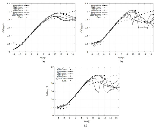
4.2.3. Case 2: Profile 1 at Re =
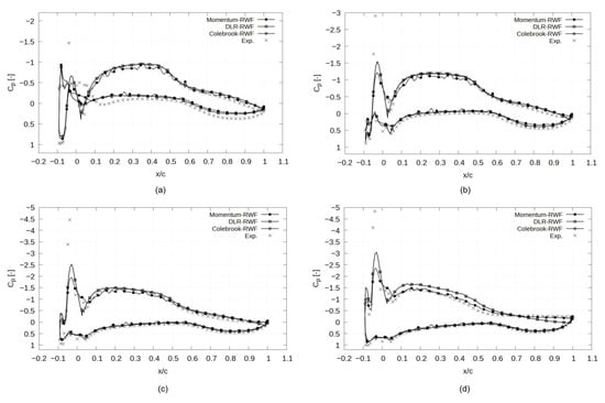
4.2.4. Case 3: Profile 2 at Re =
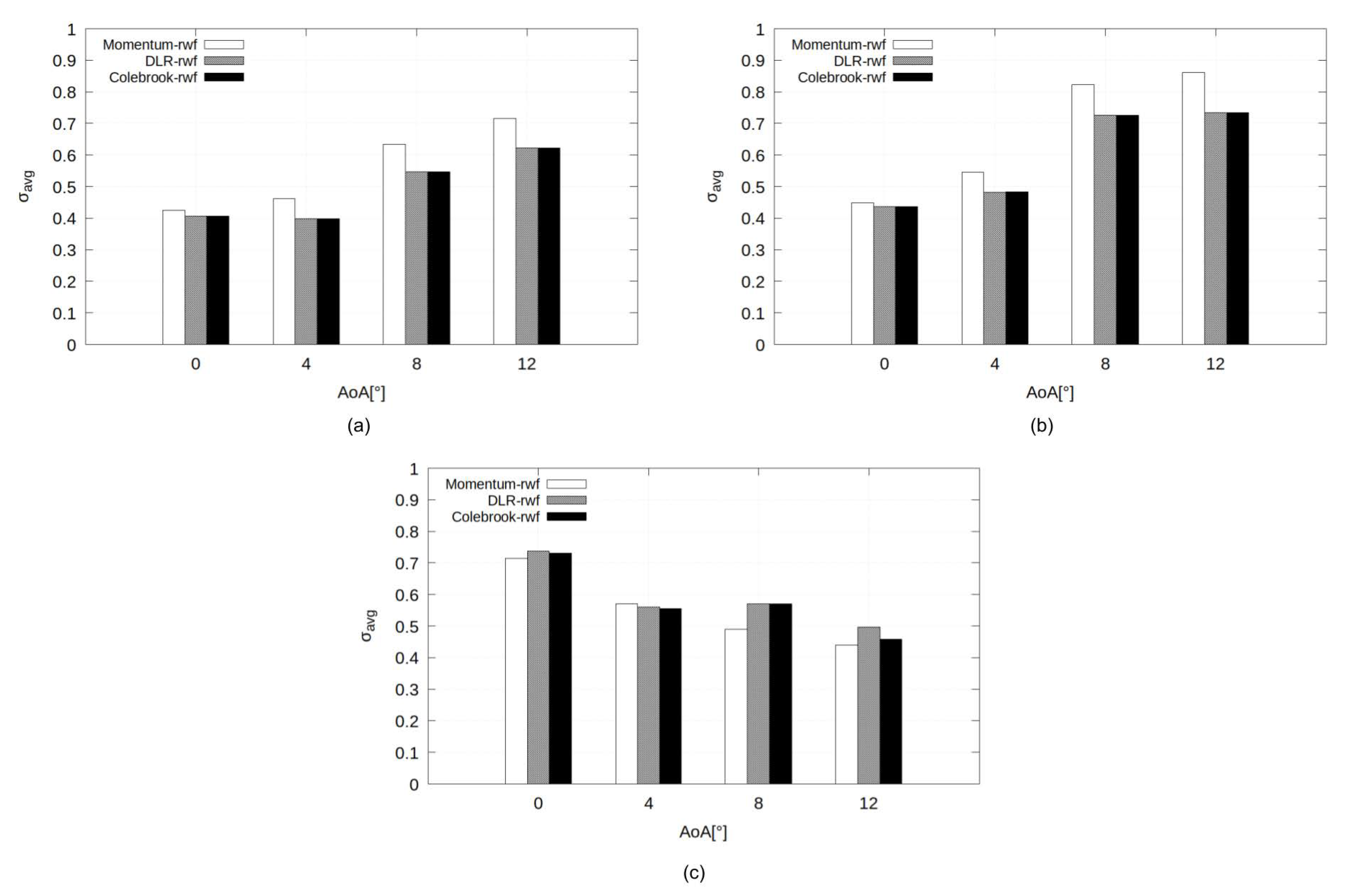
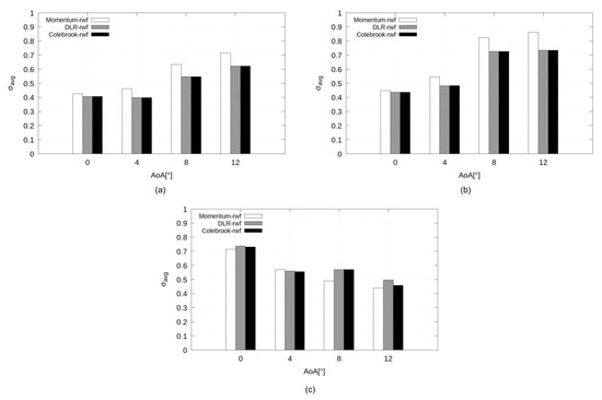
4.3. Analysis of the Agreement between Experiments and RWFs
5. Discussion and Conclusions
5.1. General Remarks and Discussion
5.2. Conclusions
Author Contributions
Funding
Institutional Review Board Statement
Informed Consent Statement
Data Availability Statement
Acknowledgments
Conflicts of Interest
Abbreviations
| Area projected normal to streamwise direction | |
| Area projected to streamwise direction | |
| Log-law velocity shift | |
| Coefficient of Lift | |
| Max lift coefficient | |
| Coefficient of pressure | |
| D | Roughness element diameter |
| k | Turbulent kinetic energy |
| K | Element Roughness Height |
| Equivalent Sand Roughness Height | |
| L | Distance between two roughness elements |
| Friction velocity | |
| First cell height | |
| Abbreviations | |
| RWF | Rough wall function |
| RANS | Reynolds-averaged Navier–Stokes |
| Greek letters | |
| von Karman constant | |
| Specific rate of dissipation | |
| Eddy viscosity | |
| Subscripts and superscripts | |
| average value | |
| experimental result | |
| simulation result | |
| w | wall value |
| + | value in wall scaling |
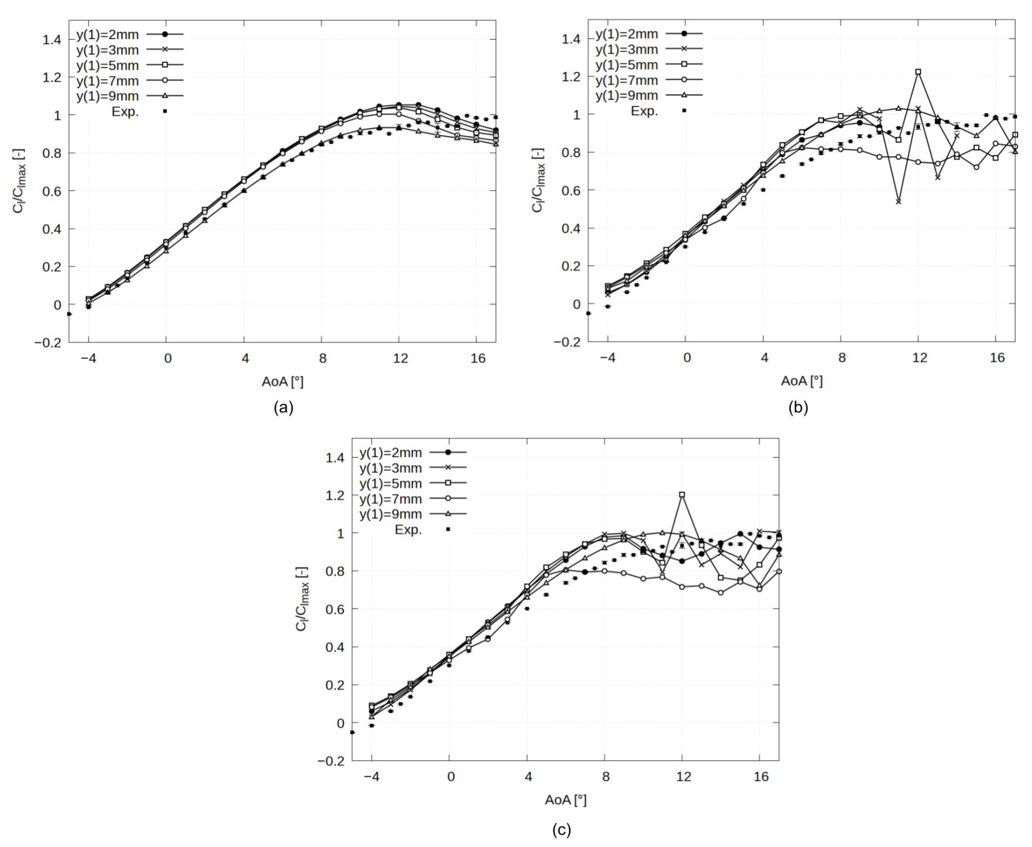
Appendix A. Grid Tests
Appendix A.1. Grid Tests for Profile 1

Appendix A.2. Grid Tests for Profile 2

References
- Sailor, D.J.; Smith, M.; Hart, M. Climate change implications for wind power resources in the Northwest United States. Renew. Energy 2008, 33, 2393–2406. [Google Scholar] [CrossRef]
- Nikuradse, J. Strömungsgesetze in Rauhen Rohren. VDI-Forschungsheft, 1933. [Google Scholar]
- Schlichting, H. Experimental Investigation of the Problem of Surface Roughness; National Advisory Commitee for Aeronautics: Boston, MA, USA, 1937. [Google Scholar]
- Moody, L.F. Friction factors for pipe flow. Trans. Asme 1944, 66, 671–684. [Google Scholar]
- Blanchard, A. Analyse Expérimentale et Théorique de la Structure de la Turbulence D’une Couche Limite sur Paroi Rugueuse. Ph.D. Thesis, University of Poitiers, Poitiers, France, 1977. [Google Scholar]
- Hosni, M.; Coleman, H.W.; Taylor, R.P. Measurements and calculations of rough-wall heat transfer in the turbulent boundary layer. Int. J. Heat Mass Transf. 1991, 34, 1067–1082. [Google Scholar] [CrossRef]
- Hosni, M.; Coleman, H.W.; Garner, J.W.; Taylor, R.P. Roughness element shape effects on heat transfer and skin friction in rough-wall turbulent boundary layers. Int. J. Heat Mass Transf. 1993, 36, 147–153. [Google Scholar] [CrossRef]
- Achenbach, E. The effect of surface roughness on the heat transfer from a circular cylinder to the cross flow of air. Int. J. Heat Mass Transf. 1977, 20, 359–369. [Google Scholar] [CrossRef]
- Wang, Z.; Zhu, C. Numerical simulation for in-cloud icing of three-dimensional wind turbine blades. Simulation 2018, 94, 31–41. [Google Scholar] [CrossRef]
- Chen, H.; Patel, V. Near-wall turbulence models for complex flows including separation. AIAA J. 1988, 26, 641–648. [Google Scholar] [CrossRef]
- Hellsten, A.; Laine, S. Extension of the k-omega-SST turbulence model for flows over rough surfaces. In Proceedings of the 22nd Atmospheric Flight Mechanics Conference, New Orleans, LA, USA, 11–13 August 1997; p. 3577. [Google Scholar]
- Wilcox, D.C. Turbulence Modeling for CFD; DCW Industries: La Canada, CA, USA, 2006; Volume 3. [Google Scholar]
- Da Silva, G.A.L.; Arima, M.N.; Branco, N.N.; de Mattos Pimenta, M. Proposed Wall Function Models for Heat Transfer around a Cylinder with Rough Surface in Cross Flow; SAE Technical Paper; SAE: Warrendale, PA, USA, 2011. [Google Scholar] [CrossRef]
- Suga, K.; Craft, T.; Iacovides, H. An analytical wall-function for turbulent flows and heat transfer over rough walls. Int. J. Heat Fluid Flow 2006, 27, 852–866. [Google Scholar] [CrossRef]
- Knopp, T.; Eisfeld, B.; Calvo, J.B. A new extension for k–ω turbulence models to account for wall roughness. Int. J. Heat Fluid Flow 2009, 30, 54–65. [Google Scholar] [CrossRef]
- Chedevergne, F.; Aupoix, B. Accounting for wall roughness effects in turbulence models: A wall function approach. In Proceedings of the 7th EUCASS Conference, Milan, Italy, 3–6 July 2017. [Google Scholar]
- Greenshields, C.J. OpenFoam User Guide; Version 6; OpenFOAM Foundation Ltd.: London, UK, 2017. [Google Scholar]
- Versteeg, H.K.; Malalasekera, W. An Introduction to Computational Fluid Dynamics: The Finite Volume Method; Pearson Education: London, UK, 2007. [Google Scholar]
- Spalart, P.; Allmaras, S. A one-equation turbulence model for aerodynamic flows. In Proceedings of the 30th Aerospace Sciences Meeting and Exhibit, Reno, NV, USA, 6–9 January 1992; p. 439. [Google Scholar]
- Menter, F. Two-equation eddy-viscosity turbulence models for engineering applications. AIAA J. 1994, 32, 1598–1605. [Google Scholar] [CrossRef]
- Dirling, J.R. A method for computing rough wall heat transfer rates on reentry nose tips. In Proceedings of the 8th Thermophysics Conference, Palm Springs, CA, USA, 16–18 July 1973; p. 763. [Google Scholar]
- Cebeci, T. Analysis of Turbulent Flows with Computer Programs; Elsevier: Amsterdam, The Netherlands, 2004. [Google Scholar]
- Aupoix, B.; Spalart, P. Extensions of the Spalart–Allmaras turbulence model to account for wall roughness. Int. J. Heat Fluid Flow 2003, 24, 454–462. [Google Scholar] [CrossRef]
- ISO 4287:1997; Geometrical Product Specifications (GPS)-Surface Texture: Profile Method-Terms, Definitions and Surface Texture Parameters. International Organization for Standardization: Berlin, Germany, 2010.
- Hawkins, D.M.; Shannon, T.A.; McClain, S.T. Convection from Surfaces with Real Laser-Scanned Ice Accretion Roughness and Different Thermal Conductivities. In Proceedings of the 9th AIAA Atmospheric and Space Environments Conference, Denver, CO, USA, 5–9 June 2017; p. 3579. [Google Scholar]
- McClain, S.T.; Vargas, M.M.; Tsao, J.C.; Broeren, A.P. Ice Roughness and Thickness Evolution on a Business Jet Airfoil. In Proceedings of the 2018 Atmospheric and Space Environments Conference, Atlanta, GA, USA, 25–29 June 2018; p. 3014. [Google Scholar]
- Liu, X. New near-wall treatment for suspended sediment transport simulations with high Reynolds number turbulence models. J. Hydraul. Eng. 2014, 140, 333–339. [Google Scholar] [CrossRef]
- Niedergeschwindigkeits-Windkanal Braunschweig. Available online: https://www.dnw.aero/wind-tunnels/nwb/ (accessed on 12 June 2022).
















| Case No. | Profile | Ambient Temp. [C] | Re | AoA [] | y(1) [m] | No. of Cells | ||
|---|---|---|---|---|---|---|---|---|
| Resolved | RWF | Resolved | RWF | |||||
| 1 | Profile 1 | 20.1 | −4 to 16 | |||||
| 2 | Profile 1 | 27.3 | 0 to 16 | |||||
| 3 | Profile 2 | 20.3 | −4 to 16 | |||||
Publisher’s Note: MDPI stays neutral with regard to jurisdictional claims in published maps and institutional affiliations. |
© 2022 by the authors. Licensee MDPI, Basel, Switzerland. This article is an open access article distributed under the terms and conditions of the Creative Commons Attribution (CC BY) license (https://creativecommons.org/licenses/by/4.0/).
Share and Cite
Yassin, K.; Kassem, H.; Stoevesandt, B.; Klemme, T.; Peinke, J. Numerical Simulation of Roughness Effects of Ice Accretion on Wind Turbine Airfoils. Energies 2022, 15, 8145. https://doi.org/10.3390/en15218145
Yassin K, Kassem H, Stoevesandt B, Klemme T, Peinke J. Numerical Simulation of Roughness Effects of Ice Accretion on Wind Turbine Airfoils. Energies. 2022; 15(21):8145. https://doi.org/10.3390/en15218145
Chicago/Turabian StyleYassin, Khaled, Hassan Kassem, Bernhard Stoevesandt, Thomas Klemme, and Joachim Peinke. 2022. "Numerical Simulation of Roughness Effects of Ice Accretion on Wind Turbine Airfoils" Energies 15, no. 21: 8145. https://doi.org/10.3390/en15218145
APA StyleYassin, K., Kassem, H., Stoevesandt, B., Klemme, T., & Peinke, J. (2022). Numerical Simulation of Roughness Effects of Ice Accretion on Wind Turbine Airfoils. Energies, 15(21), 8145. https://doi.org/10.3390/en15218145

