Faults Feature Extraction Using Discrete Wavelet Transform and Artificial Neural Network for Induction Motor Availability Monitoring—Internet of Things Enabled Environment
Abstract
1. Introduction
2. Related Work
2.1. High Connection-Resistance (HCR) Fault
2.2. Rotor Bar Fault

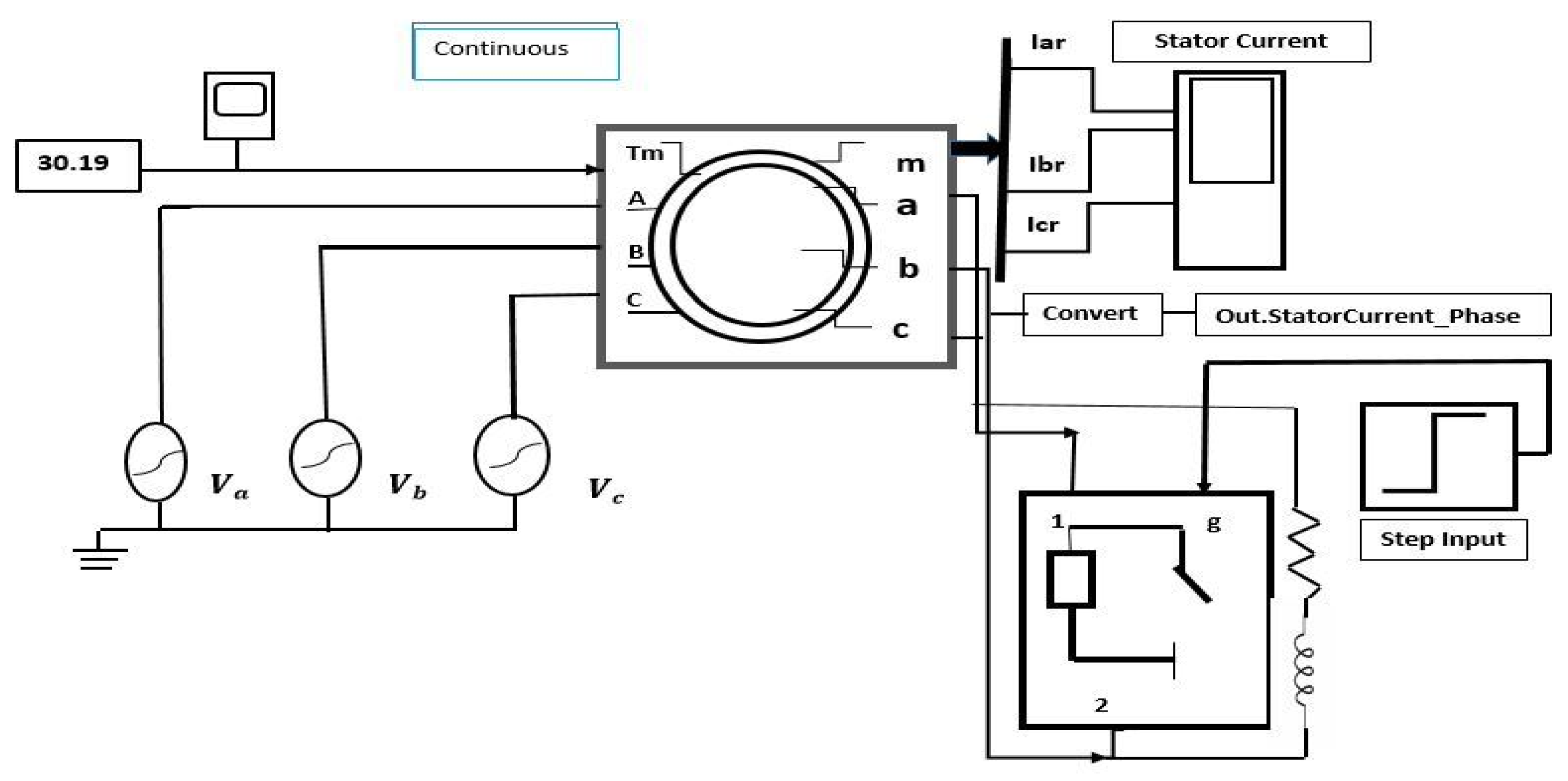
3. Induction Motor Modelling
4. Discrete Wavelet Transform (DWT)
Designation of Frequency Band
5. ANN Classifier
- Class-1 (Healthy Phase A)
- Class-2 (Healthy Phase-B)
- Class-3 (Healthy Phase-C)
- Class-4 (Faulty Phase-A) Rotor Bar/High-Contact Resistance
- Class-5 (Faulty Phase-B) Rotor Bar/High-Contact Resistance
- Class-6 (Faulty Phase-C) Rotor Bar High-Contact Resistance
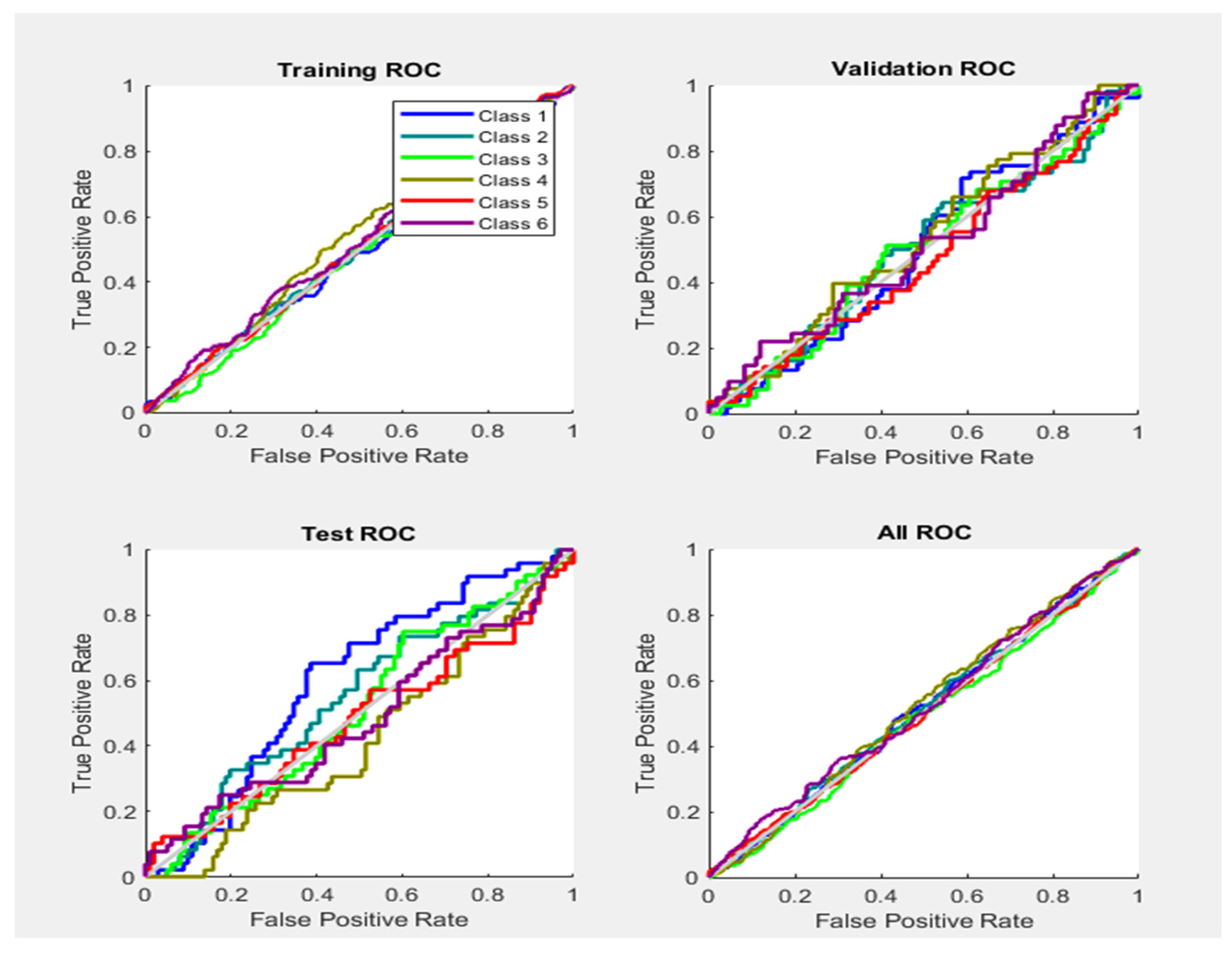
6. Results
Discussion
7. Conclusions
Author Contributions
Funding
Institutional Review Board Statement
Informed Consent Statement
Data Availability Statement
Acknowledgments
Conflicts of Interest
Appendix A
| Definition of Parameters and Legend: Close all; Clear all; % This script assumes these variables are defined: % FeaturesRMSHealthyHCRlevel9—input data. % Output10006Inputs—target data. x = FeaturesRMSHealthyRotorlevel9; %(x is input data-trained in NN Classifier) t = Output10006Inputs; %(t represents output data) % The names can be replaced as per demand or according to the dataset names at user-side % Choose a Training Function % For a list of all training functions type: help nntrain % ‘trainlm’ is usually fastest. % ‘trainbr’ takes longer but may be better for challenging problems. % ‘trainscg’ uses less memory. Suitable in low memory situations. trainFcn = ‘trainlm’; % Scaled conjugate gradient backpropagation. %(trainFcn(Activation-Funcation)can be replaced with, i-e ‘oss’,’lm’,’cgp’ and so on) % Create a Pattern Recognition Network hiddenLayerSize = 21; net = patternnet(hiddenLayerSize, trainFcn); % Setup Division of Data for Training, Validation, Testing net.divideParam.trainRatio = 70/100; net.divideParam.valRatio = 15/100; net.divideParam.testRatio = 15/100; % Train the Network [net, tr] = train (net, x, t); % Test the Network y = net(x); e = gsubtract(t, y); performance = perform (net, t, y) tind = vec2ind (t); yind = vec2ind(y); percentErrors = sum(tind ~= yind)/numel(tind); % View the Network view(net) % Plots % Uncomment these lines to enable various plots. %figure, plotperform(tr) %figure, plottrainstate(tr) %figure, ploterrhist(e) %figure, plotconfusion(t, y) %figure, plotroc (t, y) end |
References
- Jigyasu, R.; Sharma, A.; Mathew, L.; Chatterji, S. A Review of Condition Monitoring and Fault Diagnosis Methods for Induction Motor. In Proceedings of the 2018 Second International Conference on Intelligent Computing and Control Systems (ICICCS), Madurai, India, 14–15 June 2018; pp. 1713–1721. [Google Scholar] [CrossRef]
- Reddy, B.K. Condition Monitoring and Life extension of Induction Motor. TEST Eng. Manag. 2020, 82, 8645–8651. [Google Scholar]
- Kumar, P.; Hati, A.S. Review on machine learning algorithm based fault detection in induction motors. Arch. Comput. Methods Eng. 2021, 28, 1929–1940. [Google Scholar] [CrossRef]
- Fontes, A.S.; Cardoso, C.A.; Oliveira, L.P. Comparison of techniques based on current signature analysis to fault detection and diagnosis in induction electrical motors. In Proceedings of the 2016 Electrical Engineering Conference (EECon), Colombo, Sri Lanka, 15 December 2016; p. 74. [Google Scholar]
- Deeb, M.; Kotelenets, N.F. Fault diagnosis of 3-phase induction machine using harmonic content of stator current spectrum. In Proceedings of the 2020 International Youth Conference on Radio Electronics, Electrical and Power Engineering (REEPE), Moscow, Russia, 12–14 March 2020; pp. 1–6. [Google Scholar]
- AlShorman, O.; Irfan, M.; Saad, N.; Zhen, D.; Haider, N.; Glowacz, A.; AlShorman, A. A review of artificial intelligence methods for condition monitoring and fault diagnosis of rolling element bearings for induction motor. Shock Vib. 2020, 2020, 8843759. [Google Scholar] [CrossRef]
- Deeb, M.; Kotelenets, N.F.; Assaf, T.; Sultan, H.M. Three-Phase Induction Motor Short Circuits Fault Diagnosis using MCSA and NSC. In Proceedings of the 2021 3rd International Youth Conference on Radio Electronics, Electrical and Power Engineering (REEPE), Moscow, Russia, 11–13 March 2021; pp. 1–6. [Google Scholar]
- Sridhar, S.; Rao, K.U.; Jade, S. Detection of broken rotor bar fault in induction motor at various load conditions using wavelet transforms. In Proceedings of the 2015 International Conference on Recent Developments in Control, Automation and Power Engineering (RDCAPE), Noida, India, 12–13 March 2015; pp. 77–82. [Google Scholar] [CrossRef]
- Zolfaghari, S.; Noor, S.B.; Rezazadeh Mehrjou, M.; Marhaban, M.H.; Mariun, N. Broken rotor bar fault detection and classification using wavelet packet signature analysis based on fourier transform and multi-layer perceptron neural network. Appl. Sci. 2018, 8, 25. [Google Scholar] [CrossRef]
- Maciejewski, N.A.; Treml, A.E.; Flauzino, R.A. A Systematic Review of Fault Detection and Diagnosis Methods for Induction Motors. In Proceedings of the 2020 FORTEI-International Conference on Electrical Engineering (FORTEI-ICEE), Bandung, Indonesia, 23–24 September 2020; pp. 86–90. [Google Scholar]
- Sharma, A.; Mathew, L.; Chatterji, S. Analysis of Broken Rotor bar Fault Diagnosis for Induction Motor. In Proceedings of the IEEE International Conference on Innovations in Control, Communication and Information Systems (ICICCI), Greater Noida, India, 12–13 August 2017; pp. 492–497. [Google Scholar]
- Purushottam, G.; Tiwari, R. Online diagnostics of mechanical and electrical faults in induction motor using multiclass support vector machine algorithms based on frequency domain vibration and current signals. ASCE-ASME J. Risk Uncertain. Eng. Syst. Part B Mech. Eng. 2019, 5, 031001. [Google Scholar]
- Liang, X.; Ali, M.Z.; Zhang, H. Induction Motors Fault Diagnosis Using Finite Element Method: A Review. IEEE Trans. Ind. Appl. 2020, 56, 1205–1217. [Google Scholar] [CrossRef]
- Terron-Santiago, C.; Martinez-Roman, J.; Puche-Panadero, R.; Sapena-Bano, A. A Review of Techniques Used for Induction Machine Fault Modelling. Sensors 2021, 21, 4855. [Google Scholar] [CrossRef]
- Merizalde, Y.; Hernández-Callejo, L.; Duque-Perez, O. State of the art and trends in the monitoring, detection and diagnosis of failures in electric induction motors. Energies 2017, 10, 1056. [Google Scholar] [CrossRef]
- Toma, R.N.; Prosvirin, A.E.; Kim, J.M. Bearing fault diagnosis of induction motors using a genetic algorithm and machine learning classifiers. Sensors 2020, 20, 1884. [Google Scholar] [CrossRef]
- Zamudio-Ramírez, I.; Osornio-Ríos, R.A.; Antonino-Daviu, J.A.; Quijano-Lopez, A. Smart-sensor for the automatic detection of electromechanical faults in induction motors based on the transient stray flux analysis. Sensors 2020, 20, 1477. [Google Scholar] [CrossRef]
- Adouni, A.; Marques Cardoso, A.J. Thermal analysis of low-power three-phase induction motors operating under voltage unbalance and inter-turn short circuit faults. Machines 2020, 9, 2. [Google Scholar] [CrossRef]
- Martinez-Herrera, A.L.; Ferrucho-Alvarez, E.R.; Ledesma-Carrillo, L.M.; Mata-Chavez, R.I.; Lopez-Ramirez, M.; Cabal-Yepez, E. Multiple Fault Detection in Induction Motors through Homogeneity and Kurtosis Computation. Energies 2022, 15, 1541. [Google Scholar] [CrossRef]
- Albattah, W.; Khel, M.H.K.; Habib, S.M.; Khan, S.; Kadir, K.A. Hajj Crowd Management Using CNN-Based Approach. Comput. Mater. Contin. 2020, 66, 2183–2197. [Google Scholar] [CrossRef]
- Purushottam, G.; Tiwari, R. Signal based condition monitoring techniques for fault detection and diagnosis of induction motors: A state-of-the-art review. Mech. Syst. Signal Process. 2020, 144, 106908. [Google Scholar]
- Esakimuthu Pandarakone, S.; Mizuno, Y.; Nakamura, H. A comparative study between machine learning algorithm and artificial intelligence neural network in detecting minor bearing fault of induction motors. Energies 2019, 12, 2105. [Google Scholar] [CrossRef]
- Mohamed, M.A.; Hassan, M.A.M.; Albalawi, F.; Ghoneim, S.S.M.; Ali, Z.M.; Dardeer, M. Diagnostic Modeling for Induction Motor Faults via ANFIS Algorithm and DWT-Based Feature Extraction. Appl. Sci. 2021, 11, 9115. [Google Scholar] [CrossRef]
- Cui, Y.Y.; Zhang, T. New Quantum-Genetic Based OLSR Protocol (QGOLSR) for Mobile Ad hoc Network. Appl. Soft Comput. 2019, 80, 285–296. [Google Scholar] [CrossRef]
- Zhang, T.; Zhang, D.; Qiu, J.; Zhang, X.; Zhao, P.; Gong, C. A Kind of Novel Method of Power Allocation with Limited Cross-Tier Interference for CRN. IEEE Access 2019, 7, 82571–82583. [Google Scholar] [CrossRef]
- Li, T.; Dong, Q.; Wang, Y.; Gong, X.; Yang, Y. Dual buffer rotation four-stage pipeline for CPU–GPU cooperative computing. Soft Comput. 2017, 23, 859–869. [Google Scholar] [CrossRef]
- Abid, A.; Khan, M.T.; Iqbal, J. A review on fault detection and diagnosis techniques: Basics and beyond. Artif. Intell. Rev. 2021, 54, 3639–3664. [Google Scholar] [CrossRef]
- Chen, S. Review on Supervised and Unsupervised Learning Techniques for Electrical Power Systems: Algorithms and Applications. IEEJ Trans. Electr. Electron. Eng. 2021, 16, 1487–1499. [Google Scholar] [CrossRef]
- Hsueh, Y.M.; Ittangihal, V.R.; Wu, W.B.; Chang, H.C.; Kuo, C.C. Fault diagnosis system for induction motors by CNN using empirical wavelet transform. Symmetry 2019, 11, 1212. [Google Scholar] [CrossRef]
- Valtierra-Rodriguez, M.; Rivera-Guillen, J.R.; Basurto-Hurtado, J.A.; De-Santiago-Perez, J.J.; Granados-Lieberman, D.; Amezquita-Sanchez, J.P. Convolutional neural network and motor current signature analysis during the transient state for detection of broken rotor bars in induction motors. Sensors 2020, 20, 3721. [Google Scholar] [CrossRef]
- Nishat Toma, R.; Kim, J.M. Bearing fault classification of induction motors using discrete wavelet transform and ensemble machine learning algorithms. Appl. Sci. 2020, 10, 5251. [Google Scholar] [CrossRef]
- Zhang, T.; Chen, J.; Li, F.; Zhang, K.; Lv, H.; He, S.; Xu, E. Intelligent fault diagnosis of machines with small & imbalanced data: A state-of-the-art review and possible extensions. ISA Trans. 2022, 119, 152–171. [Google Scholar]
- Tang, S.; Yuan, S.; Zhu, Y. Convolutional neural network in intelligent fault diagnosis toward rotatory machinery. IEEE Access 2020, 8, 86510–86519. [Google Scholar] [CrossRef]
- Qiao, Z.; Shu, X. Coupled neurons with multi-objective optimization benefit incipient fault identification of machinery. Chaos Solitons Fractals 2021, 145, 110813. [Google Scholar] [CrossRef]



























| Reference | Fault Considered in Induction Motor | Artificial Intelligence (AI) Method Adopted | Accuracy |
|---|---|---|---|
| [6] | Stator Winding Bearing | ANN | Over 95% accuracy |
| [8] | Broken Rotor Bar | ANN | |
| [8] | Broken Rotor Bar Stator Winding Eccentricity | Fuzzy logic | 93% accuracy |
| [22,23] | Neural networks Fuzzy logic Neuro-fuzzy | - | |
| [18] | Overloads Single phasing Unbalance Supply voltage | ANN | - |
| This present paper | High Contact Resistance (HCR) Fault Rotor Bar Fault | ANN | Over 96% accuracy |
| Wavelet Level | Frequency Band (Hz) |
|---|---|
| 9 | 5000–10,000 |
| 8 | 2500–5000 |
| 7 | 1250–2500 |
| 6 | 625–1250 |
| 5 | 312.5–625 |
| 4 | 156.25–312.5 |
| 3 | 78.125–156.25 |
| 2 | 39.0625–78.125 |
| 1 | 19.531–39.0625 |
| Fault | Activation Function | Characteristic Feature | Accuracy | Successive Rate | |||
|---|---|---|---|---|---|---|---|
| Level 5 | Level 7 | Level 8 | Level 9 | ||||
| High Contact Resistance (HCR) Fault | Trainscg | RMS | 80.1% | 74.5% | 81.2% | 85.2% | (Short-Circuit Current) ISC ≅ 33.12 A |
| Trainbfg | 83.4% | 85.4% | 87.5% | 77.8% | |||
| Traincgp | 88.8% | 88.0% | 88.4% | 85.6%/85.8%/91.0% (By Retraining the System, Highest Accuracy Result is preferred.) | |||
| Traincgb | 80.1% | 79.7% | 77.0% | 79.1% | |||
| Traingda | 84.1% | 77.3% | 88.1% | 77.3% | |||
| Traingdx | 77.1% | 82.3% | 82.2% | 86.1% | |||
| Traingdm | 80.9% | 82.5% | 87.2% | 85.2% | |||
| Trainlm | 96.4% | 65.4% | 83.6% | 74.6%/74.8%/80.0%/93.1% | |||
| Trainoss | 85.1% | 81.0% | 84.5% | 83.3%/76.0%/82.6%/92.2% | |||
| Fault | Activation Function | Characteristic Feature | Accuracy | |||
|---|---|---|---|---|---|---|
| Level 5 | Level 7 | Level 8 | Level 9 | |||
| Rotor Bar Fault | Trainscg | RMS | 89.5% | 72.8% | 82.6% | 79.2% |
| Trainbfg | 83.4% | 75.0% | 85.8% | 83.2% | ||
| Traincgp | 80.6% | 81.5% | 82.2% | 94.1%/91.3%/97.9% | ||
| Traincgb | 87.5% | 82.2% | 91.9% | 85.7% | ||
| Traingda | 90.5% | 76.3% | 80.1% | 77.3% | ||
| Traingdx | 87.8% | 86.6% | 77.8% | 87.6% | ||
| Traingdm | 89.3% | 90.6% | 87.3% | 83.6% | ||
| Trainlm | 91.1% | 92.0% | 85.2% | 93.3%/84.7%/91.3%/98.6% | ||
| Trainoss | 90.0% | 87.3% | 68.0% | 94.1%/83.8% | ||
| Fault | Activation Function | Characteristic Feature | Accuracy | |||
|---|---|---|---|---|---|---|
| Level 5 | Level 7 | Level 8 | Level 9 | |||
| High Contact Resistance (HCR) | Trainscg | MEAN | 77.3% | 81.5% | 84.9% | 85.3% |
| Trainbfg | 86.3%. At 23 layers, 11 epochs: 89.2% | 88.9%. At 23 layers and 11 epochs: 96.3%. | 83.5%. At 23 layers, 11 epochs: 90.0% | 82.0% | ||
| Traincgp | 87.2%. At 15 layers, 11 epochs: 94.7% | 84.1% At 23 layers, 11 epochs: 79.0% | 76.2% | 81.2%. At 23 layers and 11 epochs: 88.3% | ||
| Traincgb | - | 80.2% | 79.5% | 82.7% | ||
| Traingda | - | 81.9% | 85.8% | 87.4% | ||
| Traingdx | 86.5% | 79.9% | 81.9% | 85.3% | ||
| Traingdm | 87.2% | 83.5% | 80.9% | 79.7% | ||
| Trainlm | 88.8% | 82.5%. At 23 layers, 11 epochs: 85.7%. | 95% | 94.2% | ||
| Trainoss | - | 82.7% | - | 82.4% | ||
| Fault | Activation Function | Characteristic Feature | Accuracy | |||
|---|---|---|---|---|---|---|
| Level 5 | Level 7 | Level 8 | Level 9 | |||
| Rotor Bar Fault | Trainscg | MEAN | 89.4% | 85.2% | 92.4% | 90.2% |
| Trainbfg | 88.0% | 83.8% | 87.7% | 90.2% | ||
| Traincgp | 85.6% | 85.2% | 82.8% | 81.0% | ||
| Traincgb | 79.4% | 87.5% | 88.5% | 83.7% | ||
| Traingda | 84.8% | 87.7% | 82.2% | 87.2% | ||
| Traingdx | 75.5% | 82.1% | 80.7% | 88.1% | ||
| Traingdm | 83.3% | 83.0% | 81.5% | 85.7% | ||
| Trainlm | 85.7% | 87.6% | 81.3% | 97.1% | ||
| Trainoss | 80.0% | 98.0% | 89.2% | 90.4% | ||
| Fault | Activation Function | Characteristic Feature | Accuracy | |||
|---|---|---|---|---|---|---|
| Level 5 | Level 7 | Level 8 | Level 9 | |||
| Rotor Bar Fault | Trainscg | Entropy | 0.0% | 0.0% | 0.0% | 0.0% |
| Trainbfg | 0.0% | 0.0% | 0.0% | 0.0% | ||
| Traincgp | 0.0% | 0.0% | 0.0% | 0.0% | ||
| Traincgb | 0.0% | 0.0% | 0.0% | 0.0% | ||
| Traingda | 0.0% | 0.0% | 0.0% | 0.0% | ||
| Traingdx | 0.0% | 0.0% | 0.0% | 0.0% | ||
| Traingdm | 0.0% | 0.0% | 0.0% | 0.0% | ||
| Trainlm | 0.0% | 0.0% | 0.0% | 0.0% | ||
| Trainoss | 0.0% | 0.0% | 0.0% | 0.0% | ||
Publisher’s Note: MDPI stays neutral with regard to jurisdictional claims in published maps and institutional affiliations. |
© 2022 by the authors. Licensee MDPI, Basel, Switzerland. This article is an open access article distributed under the terms and conditions of the Creative Commons Attribution (CC BY) license (https://creativecommons.org/licenses/by/4.0/).
Share and Cite
Zuhaib, M.; Shaikh, F.A.; Tanweer, W.; Alnajim, A.M.; Alyahya, S.; Khan, S.; Usman, M.; Islam, M.; Hasan, M.K. Faults Feature Extraction Using Discrete Wavelet Transform and Artificial Neural Network for Induction Motor Availability Monitoring—Internet of Things Enabled Environment. Energies 2022, 15, 7888. https://doi.org/10.3390/en15217888
Zuhaib M, Shaikh FA, Tanweer W, Alnajim AM, Alyahya S, Khan S, Usman M, Islam M, Hasan MK. Faults Feature Extraction Using Discrete Wavelet Transform and Artificial Neural Network for Induction Motor Availability Monitoring—Internet of Things Enabled Environment. Energies. 2022; 15(21):7888. https://doi.org/10.3390/en15217888
Chicago/Turabian StyleZuhaib, Muhammad, Faraz Ahmed Shaikh, Wajiha Tanweer, Abdullah M. Alnajim, Saleh Alyahya, Sheroz Khan, Muhammad Usman, Muhammad Islam, and Mohammad Kamrul Hasan. 2022. "Faults Feature Extraction Using Discrete Wavelet Transform and Artificial Neural Network for Induction Motor Availability Monitoring—Internet of Things Enabled Environment" Energies 15, no. 21: 7888. https://doi.org/10.3390/en15217888
APA StyleZuhaib, M., Shaikh, F. A., Tanweer, W., Alnajim, A. M., Alyahya, S., Khan, S., Usman, M., Islam, M., & Hasan, M. K. (2022). Faults Feature Extraction Using Discrete Wavelet Transform and Artificial Neural Network for Induction Motor Availability Monitoring—Internet of Things Enabled Environment. Energies, 15(21), 7888. https://doi.org/10.3390/en15217888

