The Spectral Approach of Love and Mindlin-Herrmann Theory in the Dynamical Simulations of the Tower-Cable Interactions under the Wind and Rain Loads
Abstract
1. Introduction
2. Structural Spectral Element
2.1. Truss Spectral Element
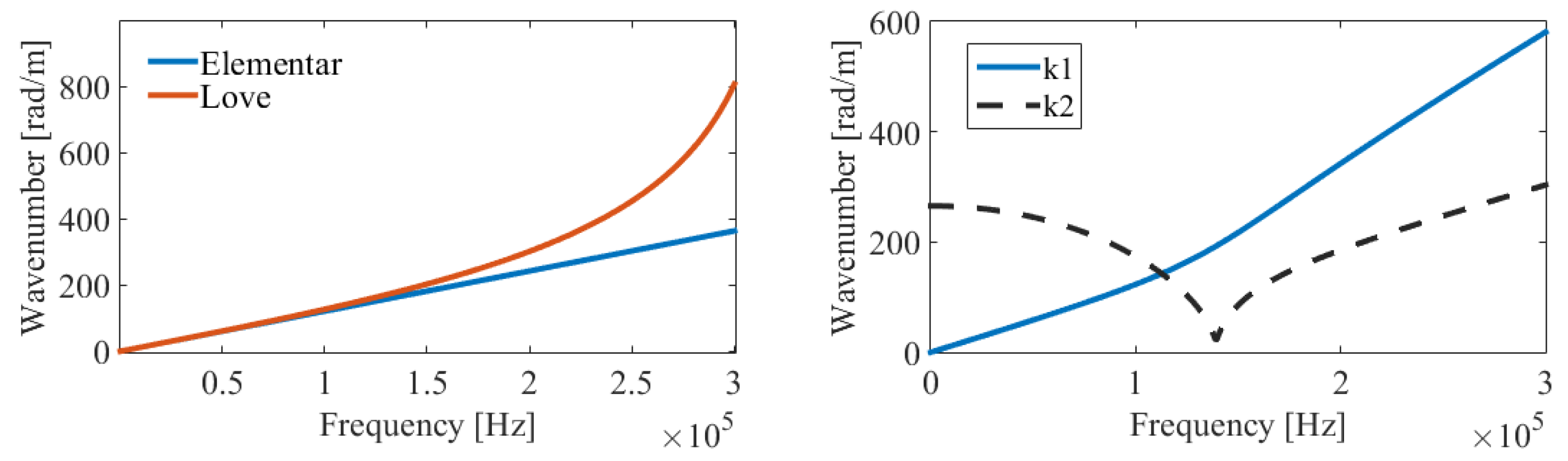
2.2. Elementary Rod Spectral Element
2.3. Love Rod Spectral Element
2.4. Mindlin-Herrmann Rod Spectral Element
3. Cable Spectral Element
Distributed Load
4. Wind and Rain Loads
4.1. Wind Load
4.2. Rain Load
5. Numerical Analyses and Discussion
5.1. Tower Dynamic Analysis
5.2. Cable under Punctual and Distributed Load
5.3. Punctual Load
5.4. Distributed Load
5.5. Overhead Transmission Line Tower-Cable Coupling
5.6. Distributed Load
6. Conclusions
Author Contributions
Funding
Institutional Review Board Statement
Informed Consent Statement
Data Availability Statement
Conflicts of Interest
References
- Fu, X.; Li, H.N. Dynamic analysis of transmission tower-line system subjected to wind and rain loads. J. Wind. Eng. Ind. Aerodyn. 2016, 157, 95–103. [Google Scholar] [CrossRef]
- Choi, E. Numerical modelling of gust effect on wind-driven rain. J. Wind. Eng. Ind. Aerodyn. 1997, 72, 107–116. [Google Scholar] [CrossRef]
- Fu, X.; Li, H.-N.; Yi, T.-H. Research on motion of wind-driven rain and rain load acting on transmission tower. J. Wind. Eng. Ind. Aerodyn. 2015, 139, 27–36. [Google Scholar] [CrossRef]
- Zhang, M.; Zhao, G.; Wang, L.; Li, J. Wind-Induced Coupling Vibration Effects of High-Voltage Transmission Tower-Line Systems. Shock Vib. 2017, 2017, 1205976. [Google Scholar] [CrossRef]
- Chunming, W.; Bin, M.; Tingting, S. Research on the Wind-induced Vibration Coefficient of Transmission Tower-line System. Phys. Procedia 2012, 24, 149–154. [Google Scholar] [CrossRef][Green Version]
- McClure, G.; Lapointe, M. Modeling the structural dynamic response of overhead transmission lines. Comput. Struct. 2003, 81, 825–834. [Google Scholar] [CrossRef]
- Dua, A.; Clobes, M.; Höbbel, T. Dynamic analysis of overhead transmission line under turbulent wind loading. Electron. J. Struct. Eng. 2015, 15, 46–54. [Google Scholar] [CrossRef]
- Barbieri, N.; de Souza, O.H., Jr.; Barbieri, R. Dynamical analysis of transmission line cables. Part 1—Linear theory. Mech. Syst. Signal Process. 2004, 18, 659–669. [Google Scholar] [CrossRef]
- Barbieri, R.; Barbieri, N.; de Souza, O.H., Jr. Dynamical analysis of transmission line cables. Part 2—Damping estimation. Mech. Syst. Signal Process. 2004, 18, 671–681. [Google Scholar] [CrossRef]
- Barbieri, R.; Barbieri, N.; de Souza, O.H., Jr. Dynamical analysis of transmission line cables. Part 3—Nonlinear theory. Mech. Syst. Signal Process. 2008, 22, 992–1007. [Google Scholar] [CrossRef]
- Dutkiewicz, M.; Machado, M.R. Measurements in situ and spectral analysis of wind flow effects on overhead transmission lines. Sound Vib. 2019, 53, 161–175. [Google Scholar] [CrossRef]
- Dutkiewicz, M.; Machado, M.R. Dynamic Response of Overhead Transmission Line in Turbulent Wind Flow with Application of the Spectral Element Method. IOP Conf. Ser. Mater. Sci. Eng. 2019, 471, 052031. [Google Scholar] [CrossRef]
- Castello, D.A.; Matt, C.F. Estimation of Bending Stiffness and Damping of Transmission Line Conductors. In Proceedings of the Inverse Problem, Design and Optimization Symposium, Miami, FL, USA, 16–18 April 2007. [Google Scholar]
- Castello, D.A.; Matt, C.F.T. A validation metrics based model calibration applied on stranded cables. J. Braz. Soc. Mech. Sci. Eng. 2012, 33, 417–427. [Google Scholar] [CrossRef]
- Kálmxaxn, T.; Farzaneh, M.; McClure, G. Numerical analysis of the dynamic effects of shock-load-induced ice shedding on overhead ground wires. Comput. Struct. 2007, 85, 375–384. [Google Scholar]
- Keyhan, H.; McClure, G.; Habashi, W.G. Dynamic analysis of an overhead transmission line subject to gusty wind loading predicted by wind-conductor interaction. Comput. Struct. 2013, 122, 135–144. [Google Scholar] [CrossRef]
- Yin, T.; Lam, H.F.; Chow, H.M.; Zhu, H.P. Dynamic reduction-based structural damage detection of transmission tower utilizing ambient vibration data. Eng. Struct. 2009, 31, 2009–2019. [Google Scholar] [CrossRef]
- Rao, N.; Knight, G.M.; Lakshmanan, N.; Iyer, N.R. Investigation of transmission line tower failures. Eng. Fail. Anal. 2010, 17, 1127–1141. [Google Scholar]
- Lam, H.F.; Yin, T. Dynamic reduction-based structural damage detection of transmission towers: Practical issues and experimental verification. Eng. Struct. 2011, 33, 1459–1478. [Google Scholar] [CrossRef]
- Tian, L.; Guo, L.; Ma, R.; Gai, X.; Wang, W. Full-Scale Tests and Numerical Simulations of Failure Mechanism of Power Transmission Towers. Int. J. Struct. Stab. Dyn. 2018, 18, 1850109. [Google Scholar] [CrossRef]
- Naidu, G.G.; Krishna, P.M. Dynamic Analysis Of Electrical Transmission Tower Using Fnite Element Technique. Int. J. Eng. Res. 2018. [Google Scholar] [CrossRef]
- Taillon, J.Y.; Légeron, F.; Prud’Homme, S. Variation of damping and stiffness of lattice towers with load level. J. Constr. Steel Res. 2012, 71, 111–118. [Google Scholar] [CrossRef]
- Momomura, Y.; Marukawa, H.; Ohkuma, T. Wind-induced vibration of transmission line system. J. Wind. Eng. Ind. Aerodyn. 1992, 43, 2035–2046. [Google Scholar] [CrossRef]
- Yasui, H.; Marukawa, H.; Momomura, Y.; Ohkuma, T. Analytical study on wind-induced vibration of power transmission towers. J. Wind. Eng. Ind. Aerodyn. 1999, 83, 431–441. [Google Scholar] [CrossRef]
- Battista, R.C.; Rodrigues, R.S.; Michèle, S.P. Dynamic behavior and stability of transmission line towers under wind forces. J. Wind. Eng. Ind. Aerodyn. 2003, 91, 1051–1067. [Google Scholar] [CrossRef]
- Li, Q.; Junjian, Y.; Wei, L. Random Wind-induced Response Analysis of Transmission Tower-line System. Energy Procedia 2012, 16, 1813–1821. [Google Scholar]
- Hamada, A.; Damatty, A.A. Behaviour of guyed transmission line structures under tornado wind loading. Comput. Struct. 2011, 89, 986–1003. [Google Scholar] [CrossRef]
- Hamada, A.; Damatty, A.A. Failure analysis of guyed transmission lines during F2 tornado event. Eng. Struct. 2015, 85, 11–25. [Google Scholar]
- Li, X.; Zhang, W.; Niu, H.; Wu, Z.Y. Probabilistic capacity assessment of single circuit transmission tower-line system subjected to strong winds. Eng. Struct. 2018, 175, 517–530. [Google Scholar]
- Meynen, S.; Verma, H.; Hagedorn, P.; Schäfer, M. On the numerical simulation of vortex-induced vibrations of oscillating conductors. J. Fluids Struct. 2005, 21, 41–48. [Google Scholar]
- Golebiowska, I.; Dutkiewicz, M. Modelling of Flow Past Damper Attached to the Overhead Transmission Line. Mater. Sci. Eng. 2017, 245. [Google Scholar] [CrossRef]
- Doyle, J.F. Wave Propagation in Structures-Spectral Analysis Using Fast Discrete Fourier Transforms; Springer: New York, NY, USA, 1997. [Google Scholar]
- Lee, U. Spectral Element Method in Strutural Dynamics; John Wiley & Sons: Hoboken, NJ, USA, 2009. [Google Scholar]
- Zhang, S.; Shen, R.; Wang, T.; Roeck, G.; Lombaert, G. A two-step FEM-SEM approach for wave propagation analysis in cable structures. J. Sound Vib. 2018, 415, 41–58. [Google Scholar] [CrossRef]
- Dutkiewicz, M.; Machado, M.R. Spectral Approach in Vibrations of Overhead Transmission Lines. IOP Conf. Ser. Mater. Sci. Eng. 2019, 471, 052029. [Google Scholar] [CrossRef]
- Dutkiewicz, M.; Machado, M. Spectral element method in the analysis of vibrations of overhead transmission line in damping environment. Struct. Eng. Mech. 2009, 71, 291–303. [Google Scholar]
- Machado, M.R.; Dutkiewicz, M.; Matt, C.F.T.; Castello, D.A. Spectral model and experimental validation of hysteretic and aerodynamic damping in dynamic analysis of overhead transmission conductor. Mech. Syst. Signal Process. 2019, 136, 1–21. [Google Scholar] [CrossRef]
- Krawczuk, M.; Grabowska, J.; Palacz, M. Longitudinal wave propagation. Part I-Comparison of rod theories. J. Sound Vib. 2006, 295, 461–478. [Google Scholar] [CrossRef]
- Mei, C. Comparison of the four rod theories of longitudinally vibrating rods. J. Vib. Control. 2015, 21, 1639–1656. [Google Scholar] [CrossRef]
- Machado, M.; Adhikari, S.; Santos, J. A spectral approach for damage quantification in stochastic dynamic systems. Mech. Syst. Signal Process. 2017, 88, 253–273. [Google Scholar] [CrossRef]
- Hutton, D. Fundamentals of Finite Element Analysis; McGraw-Hill: London, UK, 2004. [Google Scholar]
- Gopalakrishnan, S. Wave Propagation in Materials and Structures; CRC Press: Boca Raton, FL, USA, 2016. [Google Scholar]
- Zienkiewicz, O.C.; Taylor, R.L. The Finite Element Method, 4th ed.; McGraw-Hill: London, UK, 1991. [Google Scholar]
- Krée, P.; Soize, C. Mathematics of Random Phenomena: Random Vibrations of Mechanical Structures; Springer: Dordrecht, The Netherlands, 1986. [Google Scholar]
- NBR-6123; NBR-6123-ças Devidas ao Vento em Edificações. NORMAS: Sao Paulo, Brazil, 1988. (In Portuguese)
- NBR-5422; NBR5422- Projeto de Linhas de Transmissão de Energia Elétrica. NORMAS: Sao Paulo, Brazil, 1985. (In Portuguese)
- Gunn, R.; Kinzer, G. The Terminal Velocity of fall for water droplets in stagnant air. J. Meteorol. 1948, 6, 243–248. [Google Scholar] [CrossRef]
- Marshall, J.; Palmer, W.M. The Distribution of Raindrops With size. J. Meteorol. 1948, 5, 165–166. [Google Scholar] [CrossRef]
- Rao, S.S. Mechanical Vibrations, 4th ed.; Pearson: London, UK, 2008. [Google Scholar]



















| Rod | Time [s] |
|---|---|
| Elementary | 0.6941 |
| Love | 1.0638 |
| Mindlin-Herrmann | 1.4402 |
| Mode | El | Love | M-H | FEM |
|---|---|---|---|---|
| 1° | 5.6 | 5.6 | 5.2 | 5.6 |
| 2° | 30.7 | 30.7 | 31.8 | 30.66 |
| 3° | 39.8 | 39.8 | 41.3 | 39.75 |
| 4° | 61.2 | 61.2 | 64.3 | 61.14 |
| 5° | 123.2 | 123.2 | 129.5 | 122.98 |
| SEM | FEM | |||||
|---|---|---|---|---|---|---|
| N/A | N/A | 1 | 0.5 | 0.1 | 0.01 | |
| 1° | 5.58 | 4.1221 | 5.17 | 5.35 | 5.53 | 5.572 |
| 2° | 30.69 | 18.864 | 27.24 | 28.72 | 30.25 | 30.64 |
| 3° | 39.79 | 28.388 | 36.88 | 38.18 | 39.45 | 39.76 |
| 4° | 61.24 | 40.776 | 55.79 | 58.17 | 60.56 | 61.17 |
| 5° | 123.2 | 83.538 | 104.10 | 118.45 | 120.68 | 122.98 |
| Tower (rod) | Time [s] |
|---|---|
| Elementar | 0.897 |
| Love | 2.486 |
| Mindlin-Hermann | 3.374 |
| Link 180 | 108 |
| Mode | Resonance Frequencies | |||||
|---|---|---|---|---|---|---|
| SEM | An | FEM (Mesh Elements) | ||||
| 10 | 20 | 50 | 100 | |||
| 1° | 0.22 | 0.22 | 0.22 | 0.22 | 0.22 | 0.22 |
| 2° | 0.45 | 0.45 | 0.44 | 0.45 | 0.45 | 0.45 |
| 3° | 0.67 | 0.67 | 0.65 | 0.67 | 0.67 | 0.67 |
| 4° | 0.90 | 0.90 | 0.85 | 0.89 | 0.89 | 0.90 |
| 5° | 1.13 | 1.13 | 1.04 | 1.11 | 1.12 | 1.13 |
| Resonance Frequencies | ||||
|---|---|---|---|---|
| Mode | Tower | Tower-Cable | Cable (1 m) | Cable (50 m) |
| 1° | 5.6 | 5.6 | 5.6 | 0.7 |
| 2° | 30.7 | 30.7 | 7.8 | 2.11 |
| 3° | 39.8 | 39.8 | 9.23 | 3.52 |
| 4° | 61.2 | 61.2 | 10.69 | 4.93 |
| 5° | 123.4 | 106.8 | 12.17 | 6.36 |
| 6° | 145.7 | 123.2 | 13.677 | 7.8 |
Publisher’s Note: MDPI stays neutral with regard to jurisdictional claims in published maps and institutional affiliations. |
© 2022 by the authors. Licensee MDPI, Basel, Switzerland. This article is an open access article distributed under the terms and conditions of the Creative Commons Attribution (CC BY) license (https://creativecommons.org/licenses/by/4.0/).
Share and Cite
Soares Fernandes, Y.M.; Rodrigues Machado, M.; Dutkiewicz, M. The Spectral Approach of Love and Mindlin-Herrmann Theory in the Dynamical Simulations of the Tower-Cable Interactions under the Wind and Rain Loads. Energies 2022, 15, 7725. https://doi.org/10.3390/en15207725
Soares Fernandes YM, Rodrigues Machado M, Dutkiewicz M. The Spectral Approach of Love and Mindlin-Herrmann Theory in the Dynamical Simulations of the Tower-Cable Interactions under the Wind and Rain Loads. Energies. 2022; 15(20):7725. https://doi.org/10.3390/en15207725
Chicago/Turabian StyleSoares Fernandes, Yanne Marcela, Marcela Rodrigues Machado, and Maciej Dutkiewicz. 2022. "The Spectral Approach of Love and Mindlin-Herrmann Theory in the Dynamical Simulations of the Tower-Cable Interactions under the Wind and Rain Loads" Energies 15, no. 20: 7725. https://doi.org/10.3390/en15207725
APA StyleSoares Fernandes, Y. M., Rodrigues Machado, M., & Dutkiewicz, M. (2022). The Spectral Approach of Love and Mindlin-Herrmann Theory in the Dynamical Simulations of the Tower-Cable Interactions under the Wind and Rain Loads. Energies, 15(20), 7725. https://doi.org/10.3390/en15207725

