Performance Analysis of an Optimized Asymmetric Multilevel Inverter on Grid Connected SPV System
Abstract
1. Introduction
2. Proposed Asymmetric Multilevel Inverter
3. Grid Integration Methodology of Solar PV System
3.1. Two-Stage Grid-Connected SPV System
3.2. Implementation of Proposed Grid-Connected SPV System
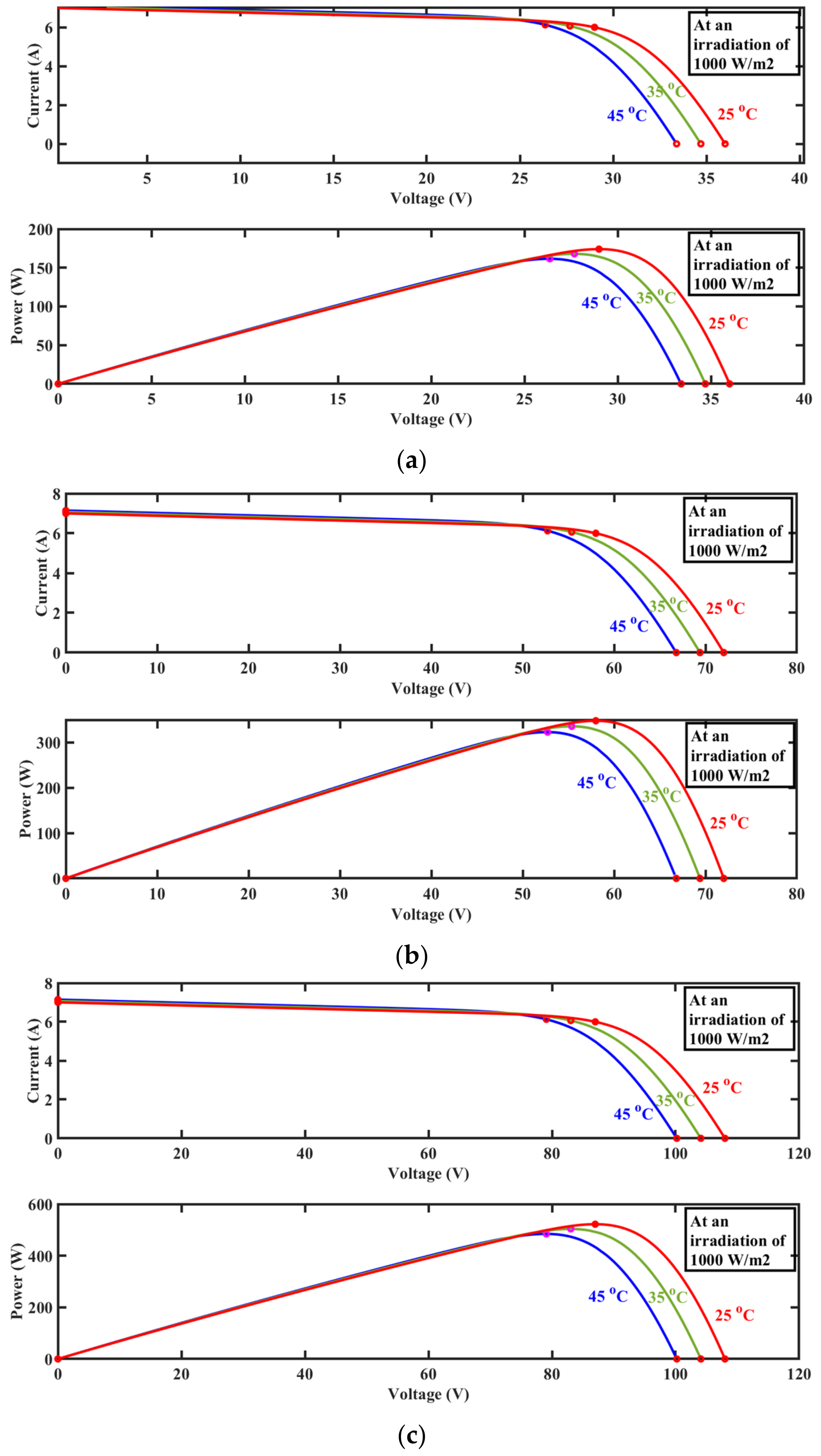
3.2.1. Modelling of SPV Sources
- Temperature variations have a significant impact on photovoltaic performance. It prevents diffusion loss in the depletion region of PV cells.
- The precision of the measurement was determined at low irradiance, in fact, at an open circuit. (Voc)
3.2.2. Boost Converter Design for PV System
3.2.3. Simulation of PV Sources at an Irradiance of 600 W/m2 at a Temperature of 35 °C
3.2.4. Design of LCL Filter
4. Control Methodology of Proposed Grid-Connected PV System
4.1. Total dc Voltage Control
4.2. Grid Voltage and Grid Current Control
4.3. Individual dc Voltage Control
4.4. SHEPWM Control for Grid-Connected PV System
5. Results and Discussion
5.1. Implementation of PSO-PI Controller for GCSPV System
5.2. Implementation of HHO-PI Controller for GCSPV System
5.3. Implementation of a Hybrid PSOGA-PI Controller for GCSPV System
| Controller | Power from PV System (W) | Grid Voltage | Grid Current | % Efficiency | |
|---|---|---|---|---|---|
| PSO-PI | PDC = 1222.72 | 336.8 | 6.89 | 1160.28 | 94.89% |
| HHO-PI | 336.7 | 6.91 | 1163.33 | 95.14% | |
| PSOGA-PI | 336.7 | 6.96 | 1171.72 | 95.82% |
6. Conclusions
- The investigations can be extended to operate the inverter, considering an array of renewable energy resources such as fuel cells, PV cells, wind energy, etc.
- By extending the concepts and procedures deduced in the thesis, the fault-tolerant capability of the MLI can be carried out.
- The performance assessment can be carried out by injecting reactive power into the grid. This further improves the efficiency of the inverter, but investigations are required into the lifetime of the inverter since the inverter’s performance will degrade with the injection of reactive power.
- The real-time analysis can be carried out to validate the analytical results of the proposed work.
- The investigations can be extended to optimize dc-link voltage of designed multilevel inverter with input energy storage system under varying operating conditions.
- The proposed multilevel inverter topology can be applied for various stand-alone medium and high-voltage applications, such as induction motor drive, FACTS devices, and HVDC applications.
- The suggested method can be extended to the three-phase systems.
Author Contributions
Funding
Institutional Review Board Statement
Informed Consent Statement
Data Availability Statement
Conflicts of Interest
Abbreviations
| SPV | Solar photovoltaic system |
| GCSPV | Grid connected photovoltaic system |
| P & O | Perturb and observe |
| MPPT | Maximum power point tracking |
| MLI | Multilevel inverter |
| SHEPWM | Selective harmonic elimination pulse width modulation |
| PDPWM | Phase disposition pulse width modulation |
| SVPWM | Space vector pulse width modulation |
| MV | Medium voltage |
| HV | High voltage |
| THD | Total harmonic distortion |
| Vdc | DC input voltage |
| FSFC | Fundamental switching frequency control |
| Switching angle | |
| Peak fundamental voltage | |
| Actual fundamental voltage | |
| Degree of freedom | |
| N | No of output voltage levels |
| OF | Objective function |
| GA | Genetic algorithm |
| PSO | Particle swarm optimization |
| HHO | Harris hawk Optimization |
| PSOGA | Particle Swarm Optimization with Genetic Algorithm |
| Vgrid | Grid voltage |
| VPV | PV cell voltage |
| IPV | PV cell current |
| PPV | PV cell power |
| VBoost | Output voltage of dc-dc boost converter |
| IBoost | Output current of dc-dc boost converter |
| KVp | Proportional gain value of voltage controller |
| KVi | Integral gain value of voltage controller |
| KCp | Proportional gain value of current controller |
| KCi | Integral gain value of current controller |
| PI | Proportional plus integral |
References
- Arun, N.; Noel, M. Crisscross switched multilevel inverter using cascaded semi-half-bridge cells. IET Power Electron. 2018, 11, 23–32. [Google Scholar] [CrossRef]
- Alishah, R.; Hosseini, S.; Babaei, E.; Sabahi, M. A new general multilevel converter topology based on cascaded connection of sub multilevel units with reduced switching components, DC sources, and blocked voltage by switches. IEEE Trans. Ind. Electron. 2016, 63, 7157–7164. [Google Scholar] [CrossRef]
- Samadaei, E.; Sheikholeslami, A.; Gholamian, S.; Adabi, J. A square T-type (ST-type) module for asymmetrical multilevel inverters. IEEE Trans. Power Electron. 2018, 33, 987–996. [Google Scholar] [CrossRef]
- Saeedian, M.; Adabi, J.; Hosseini, S. Cascaded multilevel inverter based on symmetric–asymmetric DC sources with reduced number of components. IET Power Electron. 2017, 10, 1468–1478. [Google Scholar] [CrossRef]
- Alishah, R.; Hosseini, S.; Babaei, E.; Sabahi, M. Optimal Design of new Cascaded Switch-Ladder Multilevel Inverter Structure. IEEE Trans. Ind. Electron. 2017, 64, 2072–2080. [Google Scholar] [CrossRef]
- Agrawal, R.; Jain, S. Multilevel inverter for interfacing renewable energy sources with low/medium- and high-voltage grids. IET Renew. Power Gener. 2017, 11, 1822–1831. [Google Scholar] [CrossRef]
- Lee, S. Single-stage switched-capacitor module (S3CM) topology for cascaded multilevel inverter. IEEE Trans. Power Electron. 2018, 33, 8204–8207. [Google Scholar] [CrossRef]
- Gautam, S.; Kumar, L.; Gupta, S. Single-phase multilevel inverter topologies with self-voltage balancing capabilities. IET Power Electron. 2018, 11, 844–855. [Google Scholar] [CrossRef]
- Tariq, M.; Meraj, M.; Azeem, A.; Maswood, A.; Iqbal, A.; Chokkalingam, B. Evaluation of level-shifted and phase-shifted PWM schemes for seven level single-phase packed U cell inverter. CPSS Trans. Power Electron. Appl. 2018, 3, 232–242. [Google Scholar] [CrossRef]
- Barzegarkhoo, R.; Kojabadi, H.; Zamiry, E.; Vosoughi, N.; Chang, L. Generalized structure for a single phase switched-capacitor multilevel inverter using a new multiple DC link producer with reduced number of switches. IEEE Trans. Power Electron. 2016, 31, 5604–5617. [Google Scholar] [CrossRef]
- Sharifzadeh, M.; Vahedi, H.; Al-Haddad, K. New constraint in SHE-PWM for single-phase inverter applications. IEEE Trans. Ind. Appl. 2018, 54, 4554–4562. [Google Scholar] [CrossRef]
- Lee, S. A single-phase single-source 7-level inverter with triple voltage boosting gain. IEEE Access 2018, 6, 30005–30011. [Google Scholar] [CrossRef]
- Valderrama, G.; Guzman, G.; Pool-Mazun, E.; Martinez-Rodriguez, P.; Lopez-Sanchez, M.; Zuniga, J.A. Single-phase asymmetrical T-type five-level Transformerless PV inverter. IEEE J. Emerg. Sel. Top. Power Electron. 2018, 6, 140–150. [Google Scholar] [CrossRef]
- Rai, N.; Chakravorty, S. Generalized formulations and solving techniques for selective harmonic elimination PWM strategy: A review. J. Inst. Eng. India Ser. B 2019, 100, 649–664. [Google Scholar] [CrossRef]
- Kumar, D.G.; Ganesh, A.; Naga Malleswara Rao, D.S. Design and Analysis of a Novel Cascaded 15-Level Asymmetric Inverter Using PSO and Whale Algorithms. In Proceedings of the 2021 International Conference on Sustainable Energy and Future Electric Transportation (SEFET), Hyderabad, India, 21–23 January 2021; pp. 1–6. [Google Scholar] [CrossRef]
- Fang, X.; Du, E.; Zheng, K.; Yang, J.; Chen, Q. Locational pricing of uncertainty based on robust optimization. CSEE J. Power Energy Syst. 2021, 7, 1345–1356. [Google Scholar]
- Xiao, D.; Qiao, W. Hybrid scenario generation method for stochastic virtual bidding in electricity market. CSEE J. Power Energy Syst. 2021, 7, 1312–1321. [Google Scholar]
- Kumar, D.G.; Ganesh, A.; Bhoopal, N. Power loss analysis in 15 level asymmetric reduced switch inverter using PLECS thermal models. J. Eng. Sci. Technol. Rev. 2021, 14, 10–17. [Google Scholar] [CrossRef]
- Heidari, A.A.; Mirjalili, S.; Faris, H.; Aljarah, I.; Mafarja, M.; Chen, H. Harris hawks optimization: Algorithm and applications. Futur. Gener. Comput. Syst. 2019, 97, 849–872. [Google Scholar] [CrossRef]
- Ahmed, M.; Sheir, A.; Orabi, M. Real-time solution and implementation of selective harmonic elimination of seven-level multilevel inverter. IEEE J. Emerg. Sel. Top. Power Electron. 2017, 5, 1700–1709. [Google Scholar] [CrossRef]
- Bihari, S.; Sadhu, P. Design analysis of high level inverter with EANFIS controller for grid connected PV system. Analog. Integr. Circuits Signal Process 2020, 103, 411–424. [Google Scholar] [CrossRef]
- Makhamreh, H.; Trabelsi, M.; Kukrer, O.; Abu-Rub, H. An effective sliding mode control design for a grid-connected PUC7 multilevel inverter. IEEE Trans. Ind. Electron. 2021, 67, 3717–3725. [Google Scholar] [CrossRef]
- Shunmugham Vanaja, D.; Stonier, A.A. Grid integration of modular multilevel inverter with improved performance parameters. Int. Trans. Electr. Energy Syst. 2021, 31, e12667. [Google Scholar] [CrossRef]
- Shunmugham Vanaja, D.; Stonier, A. A novel PV fed asymmetric multilevel inverter with reduced THD for a grid-connected system. Int. Trans. Electr. Energy Syst. 2020, 30, e12267. [Google Scholar] [CrossRef]
- Satti, M.; Hasan, A. Direct model predictive control of novel H-bridge multilevel inverter based grid-connected photovoltaic system. IEEE Access 2019, 7, 62750–62758. [Google Scholar] [CrossRef]
- Lakshmi, M.; Hemamalini, S. Decoupled control of grid connected photovoltaic system using fractional order controller. Ain Shams Eng. J. 2018, 9, 927–937. [Google Scholar] [CrossRef]






















| Approach | DC Voltages | O/p Steps | O/p Levels | Max. O/p Voltage |
|---|---|---|---|---|
| Identical Voltage | V1 = V2 = V3 = Vdc | 4 | 7 | 3Vdc |
| Unequal Magnitude | V1 = Vdc, V2 = V3 = 2Vdc | 6 | 11 | 5Vdc |
| Binary Approach | V1 = Vdc, V2 = 2Vdc, V3 = 4Vdc | 8 | 15 | 7Vdc |
| Switching Operation | Power Flow | Output Voltage |
|---|---|---|
| S1, S2, S3, S4 & S5 | V1+ S1 V2 S2 V3 S3 S4 Load S5 V1− | +7Vdc |
| S2, S3, S4 & S5 | V2+ S2 V3 S3 S4 Load S5 D1 V2− | +6Vdc |
| S1, S3, S4 & S5 | V1+ S1 D2 V3 S3 S4 Load S5 V1− | +5Vdc |
| S3, S4 & S5 | V3+ S3 S4 Load S5 D1 D2 V3− | +4Vdc |
| S1, S2, S4 & S5 | V1+ S1 V2 S2 D3 S4 Load S5 V1− | +3Vdc |
| S2, S4 & S5 | V2+ S2 D3 S4 Load S5 D1 V2− | +2Vdc |
| S1, S4 & S5 | V1+ S1 D2 D3 S4 Load S5 V1− | +Vdc |
| S4 & S6 (or) S5 & S7 | S4 Load S6 S4 (or) S5 Load S7 S5 | 0 |
| S1, S6 & S7 | V1+ S1 D2 D3 S6 Load S7 V1− | −Vdc |
| S2, S6 & S7 | V2+ S2 D3 S6 Load S7 D1 V2− | −2Vdc |
| S1, S2, S6 & S7 | V1+ S1 V2 S2 D3 S6 Load S7 V1− | −3Vdc |
| S3, S6 & S7 | V3+ S3 S6 Load S7 D1 D2 V3− | −4Vdc |
| S1, S3, S6 & S7 | V1+ S1 D2 V3 S3 S6 Load S7 V1− | −5Vdc |
| S2, S3, S6 & S7 | V2+ S2 V3 S3 S6 Load S7 D1 V2− | −6Vdc |
| S1, S2, S3, S6 & S7 | V1+ S1 V2 S2 V3 S3 S6 Load S7 V1− | −7Vdc |
| Parameters | Values |
|---|---|
| Size of population | 50 |
| Cognitive factor C1 | 0.5 |
| Social factor, C2 | 1.25 |
| Inertia Weight, W | 1 |
| Maximum velocity | 10 |
| Number of iterations | 200 |
| Parameters | Values |
|---|---|
| Number of Hawks’ N’ | 30 |
| Random generations r1, r2, r3, r4 | In the range of [0, 1] |
| Number of search agents | 7 |
| Initial energy (E0) | [–1, 1], [−1, 0] loosing energy, [0, 1] raising energy |
| Convergence probability ‘r’ | 0.5 |
| Number of iterations | 200 |
| Parameters | Values |
|---|---|
| Population size from | 50 |
| Crossover fraction | 0.8 as default |
| Number of iterations | 200 |
| Mutation rate | 0.006 |
| Cognitive factor, C1 | 0.5 |
| Social factor, C2 | 1.25 |
| Inertia Weight, W | 1 |
| Controller | Gain Parameters | % THD | |||
|---|---|---|---|---|---|
| Voltage Controller | Current Controller | ||||
| KVp | KVi | KCp | KCi | ||
| PSO-PI | 0.51 | 0.209 | 0.87 | 0.341 | 3.96% |
| HHO-PI | 0.81 | 0.11 | 0.91 | 0.089 | 2.72% |
| PSOGA-PI | 0.96 | 0.089 | 0.94 | 0.096 | 1.26% |
| Authors | Controller | Level of the Inverter | % THD | % Efficiency |
|---|---|---|---|---|
| Bihari and Sadhu et al. [21] | EANFIS | 27 | 0.78% | - |
| PI | 27 | 18.19% | - | |
| PID | 27 | 16.11% | - | |
| Makhamreh et al. [22] | MPC | 7 | 3.45% | - |
| Satti and Hasan et al. [25] | DMPC | 7 | 2.7% | 95.3% |
| Lakshmi and Hemamalini et al. [26] | PI | 3 | 3.32% | - |
| FO-PI | 3 | 2.62% | - | |
| Dishore Shanmugam Vanaja et al. [24] | HHO-PI | 31 | 1.49% | 94% |
| Proposed | PSO-PI | 15 | 3.96% | 94.89% |
| HHO-PI | 15 | 2.72% | 95.14% | |
| PSOGA-PI | 15 | 1.26% | 95.82% |
| PV Source & Irradiance | Temperature in (deg.C) | VPV (V) | IPV (A) | PPV (W) | VBoost (V) | IBoost (A) | Grid Voltage (V) | Grid Current (A) | |||||
|---|---|---|---|---|---|---|---|---|---|---|---|---|---|
| Mean | RMS | Mean | RMS | Mean | RMS | Mean | RMS | Mean | RMS | RMS | RMS | ||
| PV Source-1 ≅ 600 W/m2 | 35 °C | 31.7 | 32.1 | 7.08 | 7.09 | 223.8 | 226.2 | 45.4 | 45.9 | 4.54 | 4.59 | 237.8 | 5.74 |
| PV Source-2 ≅ 800 W/m2 | 30.04 | 30.7 | 9.12 | 9.14 | 275.9 | 278.1 | 50.2 | 50.7 | 5.02 | 5.07 | |||
| PV Source 3 ≅ 1000 W/m2 | 28.7 | 28.9 | 11.1 | 11.2 | 319 | 321 | 53.8 | 54.2 | 5.38 | 5.43 | |||
| PV Source 1 ≅ 500 W/m2 | 25 °C | 34 | 34.5 | 6.01 | 6.02 | 203.4 | 206 | 43.3 | 43.8 | 4.33 | 4.38 | 241.2 | 5.61 |
| PV Source 2 ≅ 600 W/m2 | 33.8 | 34.2 | 6.94 | 6.95 | 233.5 | 236.1 | 46.4 | 46.9 | 4.61 | 4.69 | |||
| PV Source 3 ≅ 800 W/m2 | 32.1 | 32.3 | 9.15 | 9.20 | 291.7 | 294.2 | 51.7 | 52.2 | 5.17 | 5.22 | |||
Publisher’s Note: MDPI stays neutral with regard to jurisdictional claims in published maps and institutional affiliations. |
© 2022 by the authors. Licensee MDPI, Basel, Switzerland. This article is an open access article distributed under the terms and conditions of the Creative Commons Attribution (CC BY) license (https://creativecommons.org/licenses/by/4.0/).
Share and Cite
Kumar, D.G.; Ganesh, A.; Sireesha, N.V.; Kshatri, S.S.; Mishra, S.; Sharma, N.K.; Bajaj, M.; Kotb, H.; Milyani, A.H.; Azhari, A.A. Performance Analysis of an Optimized Asymmetric Multilevel Inverter on Grid Connected SPV System. Energies 2022, 15, 7665. https://doi.org/10.3390/en15207665
Kumar DG, Ganesh A, Sireesha NV, Kshatri SS, Mishra S, Sharma NK, Bajaj M, Kotb H, Milyani AH, Azhari AA. Performance Analysis of an Optimized Asymmetric Multilevel Inverter on Grid Connected SPV System. Energies. 2022; 15(20):7665. https://doi.org/10.3390/en15207665
Chicago/Turabian StyleKumar, Devineni Gireesh, Aman Ganesh, Nagineni Venkata Sireesha, Sainadh Singh Kshatri, Sachin Mishra, Naveen Kumar Sharma, Mohit Bajaj, Hossam Kotb, Ahmad H. Milyani, and Abdullah Ahmed Azhari. 2022. "Performance Analysis of an Optimized Asymmetric Multilevel Inverter on Grid Connected SPV System" Energies 15, no. 20: 7665. https://doi.org/10.3390/en15207665
APA StyleKumar, D. G., Ganesh, A., Sireesha, N. V., Kshatri, S. S., Mishra, S., Sharma, N. K., Bajaj, M., Kotb, H., Milyani, A. H., & Azhari, A. A. (2022). Performance Analysis of an Optimized Asymmetric Multilevel Inverter on Grid Connected SPV System. Energies, 15(20), 7665. https://doi.org/10.3390/en15207665

