Abstract
One of the main problems in oil fields is the deposition of scale inside oil pipelines, which causes problems such as the reduction of the internal diameter of oil pipes, the need for more energy to transport oil products, and the waste of energy. For this purpose, the use of an accurate and reliable system for determining the amount of scale inside the pipes has always been one of the needs of the oil industry. In this research, a non-invasive, accurate, and reliable system is presented, which works based on the attenuation of gamma rays. A dual-energy gamma source (241Am and 133Ba radioisotopes), a sodium iodide detector, and a steel pipe are used in the structure of the detection system. The configuration of the detection structure is such that the dual-energy source and the detector are directly opposite each other and on both sides of the steel pipe. In the steel pipe, a stratified flow regime consisting of gas, water, and oil in different volume percentages was simulated using Monte Carlo N Particle (MCNP) code. Seven scale thicknesses between 0 and 3 cm were simulated inside the tube. After the end of the simulation process, the received signals were labeled and transferred to the frequency domain usage of fast Fourier transform (FFT). Frequency domain signals were processed, and four frequency characteristics were extracted from them. The multilayer perceptron (MLP) neural network was used to obtain the relationship between the extracted frequency characteristics and the scale thickness. Frequency characteristics were defined as inputs and scale thickness in cm as the output of the neural network. The prediction of scale thickness with an RMSE of 0.13 and the use of only one detector in the structure of the detection system are among the advantages of this research.
1. Introduction
One of the problems in oil fields is scale settles inside the oil pipelines, which will cause many problems. The problems that may arise due to the presence of scale inside the oil pipes are: (1) reducing the internal diameter of oil pipes, (2) increasing energy consumption, (3) increasing the cost and time of repairs, and (4) emergency shutdown of the entire oil field. Therefore, recognizing the scale and determining its value and taking timely action to solve it can greatly help to increase the efficiency of oil fields. In recent years, researchers have used non-intrusive methods to determine various parameters of multiphase flows. Using a sodium iodide detector and an X-ray tube, Basahel and colleagues tried to predict volume percentages and types of flow regimes. They extracted time characteristics and analyzed them using correlation analysis []. In [], researchers tried to determine the type of regime and volume percentages in three-phase fluids by examining the frequency characteristics of the received signals. They placed the X-ray tube on one side of the test pipe and two sodium iodide detectors on the other side. The gathered signals were transferred to the frequency domain by FFT and the frequency characteristic was extracted from it. To determine the type and volumetric rate of oil products inside the pipe, Roshani and colleagues presented a structure consisting of an X-ray tube and a sodium iodide detector on both sides of a test pipe []. They considered four petroleum products mixed two-by-two at different volume rates. They considered the received raw signals as the input of the MLP neural network. Although they presented a relatively simple system for their purpose, the lack of extracting appropriate characteristics from the received signals was the biggest problem and the reason for the low accuracy of their presented system. In [], the researchers sought to increase the accuracy in oil pipeline control systems. For this purpose, they implemented a structure similar to that in [] and extracted wavelet transform characteristics from the received signals. The extracted features were considered as the inputs of the MLP neural network. The extraction of the appropriate characteristics doubled the accuracy in determining the volume rates. In all the described research, the researchers have stated that although the use of radioisotopes in determining the parameters of multiphase flows has problems, the systems based on gamma radiation are much more reliable and accurate. Several researchers have used radioisotope devices to determine various parameters in the oil and gas industry. In [,,], researchers have used a gamma source to determine the type of regime and volume percentages in two-phase fluids, and in [,,] to determine the type of regime and volume percentages in three-phase fluids. In 2021, Sattari et al. presented a structure consisting of two detectors, a pipe, and a 137Cs source []. They extracted the temporal characteristics from the signals received by the detectors and selected the most effective ones. The MLP neural network was the tool that Sattari and his colleagues used to determine the relationship between the extracted temporal characteristics and the regime type and volume percentage of two-phase fluids. In [], the researchers sought to reduce the number of detectors and simplify the detection system. They extracted several temporal characteristics from the signals received by a detector and considered them as inputs to the GMDH neural network. The classification of flow regimes with 100% accuracy and the prediction of the percentage of void fraction inside the pipe with an RMSE of less than 1.11 were among their achievements. In another study [], the characteristics of count under Compton continuum, count under photo peak of 1.173 MeV, count under photo peak of 1.333 MeV, and average value from the signals received by a NaI detector were introduced as appropriate characteristics. The researchers defined the mentioned characteristics as the input of the GMDH neural network and were able to train a network that predicts volume percentages with an RMSE of less than 2.71, independent of the type of flow regimes. In [], Alamoudi et al. investigated the effects of scale thickness in determining the volume percentages of two-phase fluids. They used a dual-energy gamma source, with Barium-133 and Cesium-137 radioisotopes and two NaI detectors to be able to predict the scale thickness independently of the type of flow regimes and volume percentages. Failure to use feature extraction techniques is one of the weaknesses of this research. In the current research, an accurate, reliable, and simple-structured detection system has been presented, which by using the frequency characteristics of the received signals and the use of the MLP neural network, can measure the thickness of the scale inside the pipe when a three-phase fluid in the stratified flow regime passes through it. Although methods have been devised to calculate the scale value within the pipe [,,], their shortcomings include a large number of detectors and a large margin of error. The current article is configured as follows: First, the structure of the system simulated by the MCNP code will be explained, then the received signals will be transferred to the frequency domain and the frequency characteristics will be extracted. In the next section, an MLP neural network is trained using frequency characteristics to determine the thickness of the scale inside the pipe. In the last two sections, the results of this research and conclusions are presented, respectively. The following are the contributions of the current study:
- Improving the detection system’s accuracy.
- Determining the scale thickness value when a three-phase flow is present within the oil pipe.
- Examining the effectiveness of frequency characteristics in estimating scale thickness.
- Reducing the computational workload by identifying useful characteristics.
- Using just one detector to simplify and lower the design expenses of the detection system.
2. Simulation Setup
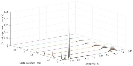
To simulate the detection structure, Monte Carlo N Particle (MCNP) code is used as a powerful tool in order to design of radiation-based systems. The structure of the introduced detection system consists of three parts: (1) A dual-energy gamma source. This source consists of 241Am and 133Ba radioisotopes, which are capable of emitting photons with energy of 59 and 356 keV, respectively. (2) A test pipe. This pipe is made of steel with a thickness of 0.5 cm and a diameter of 10 cm. Inside this pipe, three-phase flows are simulated in the stratified flow regime. There is a scale made of barium sulfate (BaSO4) with a density of 4.5 g/cm−3, uniformly with thicknesses of 0, 1, 1.5, 2, 2.5, and 3 cm. In each of these scale thicknesses, different volume percentages of oil, gas, and water have been simulated in the range of 10% to 80%: 7 different scale thicknesses × 36 different volumetric percentages in total. Two hundred and fifty-two simulations have been performed inside the test pipe. (3) A sodium iodide detector. The dimensions of this detector were 2.54 × 2.54 cm and it is located at a distance of 30 cm from the source. The structure simulated by MCNP code is shown in Figure 1. The signals received from the detector were collected and shown in Figure 2. In this figure, the x-axis represents the amount of source energy in MeV, the y-axis represents the thickness of the scale inside the pipe in centimeters, and the z-axis represents the amount of intensity absorbed by the detector in terms of count per source particle.

Figure 1.
Structure simulated with MCNP code: (1) dual-energy gamma source, (2) oil, (3) water, (4) gas, (5) scale, (6) steel tube, and (7) sodium iodide detector.

Figure 2.
Signals recorded by the sodium iodide detector.
The attenuation rate of a narrow gamma photon when it collides with a variety of different objects can be characterized using Lambert–Beer’s law, which is as follows:
where I0 indicates the original photons, I is the un-collided intensity, and µ and are the mass attenuation coefficient and material density of the absorber, respectively. The beam path through the absorber is indicated by the X symbol. Gamma rays interact with diverse objects in different ways, as shown by Equation (1). This difference in behavior is what allows us to identify the type and concentration of a chemical in the environment.
3. Frequency Characteristics’ Extraction
Feature extraction means moving the available data from their original domains to a domain that is more easily interpretable for machine learning-based systems. In addition, feature extraction will reduce data dimensions, reduce the cost of calculations, and increase the learning speed of machine learning systems. Different methods of feature extraction include feature extraction in the frequency domain, in the time domain, in the time-frequency domain, and innovative methods that can be chosen based on the nature of the available data. In this study, the available signals were transferred from the original domain to the frequency domain by FFT. Equation (2) is related to the FFT []:
where Y(k) = FFT(X) and is one of the n roots of unity.
The signals transferred to the frequency domain were analyzed and the characteristics: amplitude of first dominant frequency to fourth dominant frequency (AFDF, ASDF, ATDF and AFODF), were extracted. Figure 3 shows the frequency domain signal diagram. In this figure, the x-axis represents the frequency in Hz, the y-axis represents the thickness of the scale (cm), and the z-axis represents the amplitude. The features extracted in this step are considered as neural network inputs to determine the scale thickness.

Figure 3.
Frequency domain signals.
4. Multilayer Perceptron Neural Network
The multilayer perceptron neural network is one of the supervised and feed-forward networks. This neural network has an input layer that receives the input variables of the network. It has one or more hidden layers that provide abstraction levels and an output layer that provides the predicted result. In all the mentioned layers, there are computing units called neurons. Each neuron has an activating function. Input and output layers usually have a linear activation function and hidden layers have a nonlinear activation function. Different activation functions are used in the design of MLP neural networks, the type of which depends on the nature of the input and output data. There are connections between neurons, and each connection is assigned a weight. The purpose of MLP neural network training is to find the weights related to the communication between neurons. In the MLP neural network, the gradient descent algorithm determines these weights. The output of the MLP neural network is calculated using Equations (3)–(5) [,]:
In which x represents the input parameters, b represents the bias term, w represents the weighting factor, and f represents the activation function. The index, i, is the input number, and j is the neuron number in every hidden layer. Although many mathematical approaches have been used in many fields of engineering sciences [,,,,,,,,,,,], the artificial neural network has always been introduced as a powerful tool in solving prediction and classification problems. The MLP neural network utilized in this study was trained and tested using MATLAB. While the software has numerous pre-built toolboxes for creating specific neural networks, the methods involved in training, validating, and testing neural networks have been meticulously programmed in this study to provide for maximum flexibility. It should be noted that the MATLAB ‘newff’ function was used to train the neural network. Following the deployment of several neural networks with varying numbers of hidden layers and numbers of neurons in each hidden layer, it was determined that a network structure with one hidden layer and twenty neurons in the hidden layer provided the most reliable estimates of the scale thickness within the pipe. As can be seen in Figure 4, the intended MLP network structure has been carefully planned. The details of the designed network can be seen in Table 1. To combat over- and under-fitting, the available data were separated into training data, validation data, and test data. The training data include the information observed by the neural network and used to make predictions. During the training process, the neural network was put to the test using validation data. As a follow-up to the training phase, the neural network was next put to the test on a set of data designed specifically for that purpose. So long as the neural network responds appropriately to these three datasets, the proposed network will be safe from over- and under-fitting problems. From the 252 signals received from the simulations, the 4 mentioned characteristics were extracted, and finally a 4 × 252 matrix was obtained. This matrix was used to implement the neural network, of which about 70% of samples (176 samples) were used for training, and the other 30% were used for validation (38 samples) and for network testing (38 samples). Following the deployment of several neural networks with varying numbers of hidden layers and numbers of neurons in each hidden layer, it was determined that a network structure with one hidden layer and twenty neurons in the hidden layer provided the most reliable estimates of the scale thickness within the pipe. As can be seen in Figure 4, the intended MLP network structure has been carefully planned.

Figure 4.
The trained neural network structure.

Table 1.
The details of the trained MLP network.
In this network, the frequency characteristics of AFDF, ASDF, ATDF, and AFODF were applied to the inputs of the network, and the thickness of the scale inside the pipe was the output of the network. With the placement of a hidden layer and 20 neurons that have the activation function of ‘Tansig’, the thickness of the scale could be predicted with high accuracy, independent of the volume percentages. To calculate the neural network output error, the following two error criteria were calculated:
In which N indicates data number, and ‘X (Exp)’ and ‘X (Pred)’ illustrate the experimental and predicted (ANN) values, respectively.
To graphically display the accuracy of the network, two graphs of regression and fitting are suggested in many studies [,,,,,,,,,,,,,]. These graphs for training, validation, testing, and all data can be seen in Figure 5. In the regression diagram, the neural network output is shown with a black star and the target output is shown with a blue line. In the fitting diagram, the target is shown with a dashed line and the output of the neural network is shown with a black line. The current research has been compared with previous research in terms of the number of detectors, the type of neural network used, the type of source, the feature extraction method, and the error of the introduced system in Table 2. The high accuracy obtained in this research is due to the frequency characteristics of the signal. The use of these characteristics, in addition to reducing the size and volume of calculations, has significantly increased the learning speed and accuracy of the neural network. The problems of transporting radioisotope devices, the inability to turn them off, and the risk to the health of people who work with radioisotopes are among the limitations of this research. In future research, in addition to the mentioned limitations, researchers in this field can investigate the performance of different artificial neural networks and even the performance of deep neural networks. In addition, the use of time features, wavelet transform, and innovative methods for extracting suitable characteristics are suggested to researchers in this field. Figure 6 depicts the whole procedure of the provided approach for estimating the scale thickness within the pipe. In the initial phase of the detection system’s architecture, as seen in the figure, the MCNP code simulated the flows moving through the pipe and the varying thicknesses of the scale inside the pipe. Each simulation’s received signals were then analyzed to obtain the four characteristics of AFDF, ASDF, ATDF, and AFODF. The collected features were sent into a multilayer perceptron (MLP) neural network, which was then used to make predictions about the scale thickness within the pipe. After the neural network had been trained, its performance was checked by comparing its output with the desired outcome.

Figure 5.
Regression and fit plots for: (a) all data, (b) training data, (c) validation data, and (d) test data.

Table 2.
A comparison of the accuracy of the proposed detection system and previous studies.

Figure 6.
The overall tendencies of the proposed methods for measuring scale inside the pipe.
5. Conclusions
In this research, an accurate, reliable, and simple system was presented to determine the scale value inside the oil pipes. The MCNP code was used to simulate this system. The detection system consisted of components including a dual-energy gamma source, a test pipe, and a sodium iodide detector. Several scale thicknesses inside the pipe have been simulated and the effects of this perimeter have been investigated in the volume percentages of a three-phase flow. The simulated three-phase flow was in a stratified flow regime. The received signals from the detector were processed and transferred to the frequency domain using the FFT. In the frequency domain, the characteristics of AFDF, ASDF, ATDF, and AFODF were extracted. An MLP neural network was trained, for which its inputs were frequency characteristics, and its output was scale thickness in centimeters. The designed network was able to predict the scale thickness with an RMSE of 0.13. The advantages of this system, including high accuracy, simplicity in system design, and low calculation volume, increase the usability of the presented detection system in the oil industry.
Author Contributions
Conceptualization, T.-C.C., A.M.I., R.H. and K.H.; Data curation, A.S.S.; Formal analysis, T.-C.C., A.M.I., R.H. and K.H.; Funding acquisition, A.M.I. and R.H.; Methodology, R.H., A.S.S. and K.H.; Software, A.S.S. and K.H.; Supervision, T.-C.C. and A.M.I.; Validation, A.M.I. and K.H.; Visualization, A.S.S.; Writing—original draft, A.S.S.; Writing—review & editing, A.M.I., R.H. and K.H. All authors have read and agreed to the published version of the manuscript.
Funding
The authors acknowledge funding from the Deputyship for Research and Innovation of the Saudi Ministry of Education via its funding for the PSAU Advanced Computational Intelligence and Intelligent Systems Engineering (ACIISE) Research Group, Project Number IF-PSAU-2021/01/18316, and from the Minister of Education and Science of the Republic of Poland within the “Regional Initiative of Excellence” program for the years 2019–2023 (project number 027/RID/2018/19, amount granted 11,999,900 PLN).
Conflicts of Interest
The authors declare no conflict of interest.
References
- Basahel, A.; Sattari, M.A.; Taylan, O.; Nazemi, E. Application of Feature Extraction and Artificial Intelligence Techniques for Increasing the Accuracy of X-ray Radiation Based Two Phase Flow Meter. Mathematics 2021, 9, 1227. [Google Scholar] [CrossRef]
- Taylan, O.; Sattari, M.A.; Essoussi, I.E.; Nazemi, E. Frequency Domain Feature Extraction Investigation to Increase the Accuracy of an Intelligent Nondestructive System for Volume Fraction and Regime Determination of Gas-Water-Oil Three-Phase Flows. Mathematics 2021, 9, 2091. [Google Scholar] [CrossRef]
- Roshani, G.H.; Ali, P.J.M.; Mohammed, S.; Hanus, R.; Abdulkareem, L.; Alanezi, A.A.; Sattari, M.A.; Amiri, S.; Nazemi, E.; Eftekhari-Zadeh, E.; et al. Simulation Study of Utilizing X-ray Tube in Monitoring Systems of Liquid Petroleum Products. Processes 2021, 9, 828. [Google Scholar] [CrossRef]
- Balubaid, M.; Sattari, M.A.; Taylan, O.; Bakhsh, A.A.; Nazemi, E. Applications of Discrete Wavelet Transform for Feature Extraction to Increase the Accuracy of Monitoring Systems of Liquid Petroleum Products. Mathematics 2021, 9, 3215. [Google Scholar] [CrossRef]
- Sattari, M.A.; Korani, N.; Hanus, R.; Roshani, G.H.; Nazemi, E. Improving the performance of gamma radiation based two phase flow meters using optimal time characteristics of the detector output signal extraction. J. Nucl. Sci. Technol. 2020, 41, 42–54. [Google Scholar]
- Hosseini, S.; Taylan, O.; Abusurrah, M.; Akilan, T.; Nazemi, E.; Eftekhari-Zadeh, E.; Bano, F.; Roshani, G.H. Application of Wavelet Feature Extraction and Artificial Neural Networks for Improving the Performance of Gas–Liquid Two-Phase Flow Meters Used in Oil and Petrochemical Industries. Polymers 2021, 13, 3647. [Google Scholar] [CrossRef]
- Hosseini, S.; Roshani, G.; Setayeshi, S. Precise gamma based two-phase flow meter using frequency feature extraction and only one detector. Flow Meas. Instrum. 2020, 72, 101693. [Google Scholar] [CrossRef]
- Roshani, G.H.; Karami, A.; Nazemi, E.; Shama, F. Volume fraction determination of the annular three-phase flow of gas-oil-water using adaptive neuro-fuzzy inference system. Comput. Appl. Math. 2018, 37, 4321–4341. [Google Scholar] [CrossRef]
- Karami, A.; Roshani, G.H.; Nazemi, E.; Roshani, S. Enhancing the performance of a dual-energy gamma ray based three-phase flow meter with the help of grey wolf optimization algorithm. Flow Meas. Instrum. 2018, 64, 164–172. [Google Scholar] [CrossRef]
- Roshani, G.H.; Karami, A.; Nazemi, E. An intelligent integrated approach of Jaya optimization algorithm and neuro-fuzzy network to model the stratified three-phase flow of gas–oil–water. Comput. Appl. Math. 2019, 38, 5. [Google Scholar] [CrossRef]
- Sattari, M.A.; Roshani, G.H.; Hanus, R.; Nazemi, E. Applicability of time-domain feature extraction methods and artificial intelligence in two-phase flow meters based on gamma-ray absorption technique. Measurement 2021, 168, 108474. [Google Scholar] [CrossRef]
- Sattari, M.A.; Roshani, G.H.; Hanus, R. Improving the structure of two-phase flow meter using feature extraction and GMDH neural network. Radiat. Phys. Chem. 2020, 171, 108725. [Google Scholar] [CrossRef]
- Roshani, M.; Sattari, M.A.; Ali, P.J.M.; Roshani, G.H.; Nazemi, B.; Corniani, E.; Nazemi, E. Application of GMDH neural network technique to improve measuring precision of a simplified photon attenuation based two-phase flowmeter. Flow Meas. Instrum. 2020, 75, 101804. [Google Scholar] [CrossRef]
- Alamoudi, M.; Sattari, M.A.; Balubaid, M.; Eftekhari-Zadeh, E.; Nazemi, E.; Taylan, O.; Kalmoun, E. Application of Gamma Attenuation Technique and Artificial Intelligence to Detect Scale Thickness in Pipelines in Which Two-Phase Flows with Different Flow Regimes and Void Fractions Exist. Symmetry 2021, 13, 1198. [Google Scholar] [CrossRef]
- Mayet, A.M.; Chen, T.-C.; Ahmad, I.; Eldin, E.T.; Al-Qahtani, A.A.; Narozhnyy, I.M.; Guerrero, J.W.G.; Alhashim, H.H. Application of Neural Network and Dual-Energy Radiation-Based Detection Techniques to Measure Scale Layer Thickness in Oil Pipelines Containing a Stratified Regime of Three-Phase Flow. Mathematics 2022, 10, 3544. [Google Scholar] [CrossRef]
- Mayet, A.M.; Chen, T.-C.; Alizadeh, S.M.; Al-Qahtani, A.A.; Alanazi, A.K.; Ghamry, N.A.; Alhashim, H.H.; Eftekhari-Zadeh, E. Optimizing the Gamma Ray-Based Detection System to Measure the Scale Thickness in Three-Phase Flow through Oil and Petrochemical Pipelines in View of Stratified Regime. Processes 2022, 10, 1866. [Google Scholar] [CrossRef]
- Mayet, A.M.; Chen, T.-C.; Alizadeh, S.M.; Al-Qahtani, A.A.; Qaisi, R.M.A.; Alhashim, H.H.; Eftekhari-Zadeh, E. Increasing the Accuracy and Optimizing the Structure of the Scale Thickness Detection System by Extracting the Optimal Characteristics Using Wavelet Transform. Separations 2022, 9, 288. [Google Scholar] [CrossRef]
- Nussbaumer, H.J. The fast Fourier transform. In Fast Fourier Transform and Convolution Algorithms; Springer: Berlin, Germany, 1981; pp. 80–111. [Google Scholar]
- Taylor, J.G. Neural Networks and Their Applications; John Wiley & Sons Ltd.: Brighton, UK, 1996. [Google Scholar]
- Gallant, A.R.; White, H. On learning the derivatives of an unknown mapping with multilayer feedforward networks. Neural Networks 1992, 5, e129–e138. [Google Scholar] [CrossRef]
- Lalbakhsh, A.; Mohamadpour, G.; Roshani, S.; Ami, M.; Roshani, S.; Sayem, A.S.M.; Alibakhshikenari, M.; Koziel, S. Design of a Compact Planar Transmission Line for Miniaturized Rat-Race Coupler with Harmonics Suppression. IEEE Access 2021, 9, 129207–129217. [Google Scholar] [CrossRef]
- Hookari, M.; Roshani, S.; Roshani, S. High-efficiency balanced power amplifier using miniaturized harmonics suppressed coupler. Int. J. RF Microw. Comput.-Aided Eng. 2020, 30, e22252. [Google Scholar] [CrossRef]
- Lotfi, S.; Roshani, S.; Roshani, S.; Gilan, M.S. Wilkinson power divider with band-pass filtering response and harmonics suppression using open and short stubs. Frequenz 2020, 74, 169–176. [Google Scholar] [CrossRef]
- Jamshidi, M.; Siahkamari, H.; Roshani, S.; Roshani, S. A compact Gysel power divider design using U-shaped and T-shaped resonators with harmonics suppression. Electromagnetics 2019, 39, 491–504. [Google Scholar] [CrossRef]
- Roshani, S.; Jamshidi, M.B.; Mohebi, F.; Roshani, S. Design and modeling of a compact power divider with squared resonators using artificial intelligence. Wirel. Pers. Commun. 2021, 117, 2085–2096. [Google Scholar] [CrossRef]
- Roshani, S.; Azizian, J.; Roshani, S.; Jamshidi, M.; Parandin, F. Design of a miniaturized branch line microstrip coupler with a simple structure using artificial neural network. Frequenz 2022, 76, 255–263. [Google Scholar] [CrossRef]
- Thafasal Ijyas, V.P.; Mayet, A.M. Electronic circuit implementation of the compartmental models for population dynamics of COVID-19 like epidemics. Sādhanā 2022, 47, 47. [Google Scholar] [CrossRef]
- Alanazi, A.K.; Alizadeh, S.M.; Nurgalieva, K.S.; Nesic, S.; Grimaldo Guerrero, J.W.; Abo-Dief, H.M.; Eftekhari-Zadeh, E.; Nazemi, E.; Narozhnyy, I.M. Application of Neural Network and Time-Domain Feature Extraction Techniques for Determining Volumetric Percentages and the Type of Two Phase Flow Regimes Independent of Scale Layer Thickness. Appl. Sci. 2022, 12, 1336. [Google Scholar] [CrossRef]
- Mayet, A.; Hussain, A.; Hussain, M. Three-terminal nanoelectromechanical switch based on tungsten nitride—An amorphous metallic material. Nanotechnology 2015, 27, 035202. [Google Scholar] [CrossRef]
- Khaleghi, M.; Salimi, J.; Farhangi, V.; Moradi, M.J.; Karakouzian, M. Application of Artificial Neural Network to Predict Load Bearing Capacity and Stiffness of Perforated Masonry Walls. CivilEng 2021, 2, 48–67. [Google Scholar] [CrossRef]
- Dabiri, H.; Farhangi, V.; Moradi, M.J.; Zadehmohamad, M.; Karakouzian, M. Applications of Decision Tree and Random Forest as Tree-Based Machine Learning Techniques for Analyzing the Ultimate Strain of Spliced and Non-Spliced Reinforcement Bars. Appl. Sci. 2022, 12, 4851. [Google Scholar] [CrossRef]
- Hanus, R.; Zych, M.; Golijanek-Jędrzejczyk, A. Investigation of Liquid–Gas Flow in a Horizontal Pipeline Using Gamma-Ray Technique and Modified Cross-Correlation. Energies 2022, 15, 5848. [Google Scholar] [CrossRef]
- Roshani, M.; Ali, P.J.M.; Roshani, G.H.; Nazemi, B.; Corniani, E.; Phan, N.-H.; Tran, H.-N.; Nazemi, E. X-ray tube with artificial neural network model as a promising alternative for radioisotope source in radiation based two phase flowmeters. Appl. Radiat. Isot. 2020, 164, 109255. [Google Scholar] [CrossRef]
- Peyvandi, R.G.; Rad, S.Z.I. Application of artificial neural networks for the prediction of volume fraction using spectra of gamma rays backscattered by three-phase flows. Eur. Phys. J. Plus 2017, 132, 511. [Google Scholar] [CrossRef]
- Roshani, G.H.; Nazemi, E.; Shama, F.A.; Imani, M.; Mohammadi, S. Designing a simple radiometric system to predict void fraction percentage independent of flow pattern using radial basis function. Metrol. Meas. Syst. 2018, 25, 347–358. [Google Scholar]
- Roshani, G.H.; Nazemi, E.; Feghhi, S.A.H.; Setayeshi, S. Flow regime identification and void fraction prediction in two-phase flows based on gamma ray attenuation. Measurment 2015, 62, 25–32. [Google Scholar] [CrossRef]
Publisher’s Note: MDPI stays neutral with regard to jurisdictional claims in published maps and institutional affiliations. |
© 2022 by the authors. Licensee MDPI, Basel, Switzerland. This article is an open access article distributed under the terms and conditions of the Creative Commons Attribution (CC BY) license (https://creativecommons.org/licenses/by/4.0/).