An Analysis-Supported Design of a Single Active Bridge (SAB) Converter
Abstract
:1. Introduction
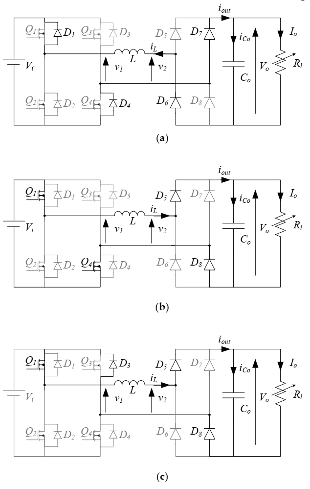
2. SAB Converter Description
3. SAB Converter Analysis
3.1. Continuous Conduction Mode
3.1.1. Interval 1
3.1.2. Interval 2
3.1.3. Interval 3
3.2. Boundary Conduction Mode
3.3. Discontinuous Conduction Mode
4. SAB Converter Characteristics
4.1. Per Unit Quantities
4.2. CCM
4.3. BCM
| CCM | BCM | DCM | |
|---|---|---|---|
4.4. DCM
4.5. Characteristic Features
5. SAB Design
5.1. Design-Supporting Equations
5.2. Elements Sizing and Selection
5.3. Loss Estimation and Efficiency Calculation
6. Experimental Results
7. Discussion and Conclusions
7.1. Discussion
- The output power depends not only on the phase-shift angle but also on the load voltage. The highest power that can be drawn from this converter is obtained when the phase-shift angle becomes equal to π and the load voltage is maintained at 0.58 Vnom, where the converter operates in CCM mode (see Figure 6).
- Load voltage increases with the phase shift angle for any value of RL and the region of DCM increases with the increase in RL value (see Figure 7).
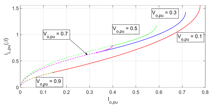
- The load current as a function of alpha increases monotonically and is at its maximum when Vo = 0 V i.e., when the load does not draw any current from the converter (see Figure 8).
- When the Vo is zero, i.e., output is shorted, the load current is finite and is given as Equation (27). Again when Io = 0 i.e., output is open circuit, circuit output voltage is Vo,nom. This confirms the suitability of this converter in adverse operating conditions (see Figure 9).
- The transformer turns ratio can be utilized to reduce the inductor current, which, consequently, will improve efficiency. However, it should be noted that the ability of the converter to provide the nominal load current is not possible for all values of the turns ratio (see Figure 12).
7.2. Limitations, Future Scope, and Applications
7.2.1. Limitations: Limitations of this Converter Are Outlined as Follows
- This converter suffers from large switching losses. In CCM, ZVS occurs during the turning on of the active bridge switch thus enabling soft switching, whereas turning off is hard switching. In DCM, ZCS occurs during the turn-off of the switch, whereas ZVS during switch turn-on is lost [11].
- When the transformer ratio is equal to unity and the voltage conversion ratio is kept at unity, the power transfer is not possible because the passive bridge diode remains reverse biased. When the voltage conversion ratio is kept below unity, the total power factor of the high-frequency transformer is low [38].
- Since primary voltage and the peak current are high in this converter, the high-voltage and high-current switching devices and the high-voltage transformer are then required.
7.2.2. Future Scope
7.2.3. Application
7.3. Conclusions
Author Contributions
Funding
Conflicts of Interest
References
- Inoue, S.; Akagi, H. A Bidirectional DC–DC Converter for an Energy Storage System with Galvanic Isolation. IEEE Trans. Power Electron. 2007, 22, 2299–2306. [Google Scholar] [CrossRef]
- Zhang, Q.; Zhao, J.; Wang, X.; Tong, L.; Jiang, H.; Zhou, J. Distribution Network Hierarchically Partitioned Optimization Considering Electric Vehicle Orderly Charging with Isolated Bidirectional DC-DC Converter Optimal Efficiency Model. Energies 2021, 14, 1614. [Google Scholar] [CrossRef]
- Ojeda-Rodríguez, Á.; González-Vizuete, P.; Bernal-Méndez, J.; Martín-Prats, M.A. A Survey on Bidirectional DC/DC Power Converter Topologies for the Future Hybrid and All Electric Aircrafts. Energies 2020, 13, 4883. [Google Scholar] [CrossRef]
- Iqbal, M.T.; Maswood, A.I. An Explicit Discrete-Time Large- and Small-Signal Modeling of the Dual Active Bridge DC–DC Converter Based on the Time Scale Methodology. IEEE J. Emerg. Sel. Top. Ind. Electron. 2021, 2, 545–555. [Google Scholar] [CrossRef]
- Iqbal, M.T.; Maswood, A.I.; Yeo, K.; Tariq, M. Dynamic Model and Analysis of Three phase YD Transformer Based Dual Active Bridge Using Optimised Harmonic Number for Solid State Transformer in Distributed System. In Proceedings of the 2018 IEEE Innovative Smart Grid Technologies—Asia (ISGT Asia), Singapore, 22–25 May 2018; IEEE: New York, NY, USA, 2018; pp. 523–527. [Google Scholar]
- Iqbal, M.T.; Maswood, A.I. A frequency domain based large and small signal modeling of three phase dual active bridge. In Proceedings of the IECON 2020 The 46th Annual Conference of the IEEE Industrial Electronics Society, Singapore, 9 December 2020; IEEE: New York, NY, USA, 2020; pp. 3421–3426. [Google Scholar]
- Ríos, S.J.; Pagano, D.J.; Lucas, K.E. Bidirectional Power Sharing for DC Microgrid Enabled by Dual Active Bridge DC-DC Converter. Energies 2021, 14, 404. [Google Scholar] [CrossRef]
- Rodríguez, A.; Vázquez, A.; Lamar, D.G.; Sebastián, M.M.H.J. Different Purpose Design Strategies and Techniques to Improve the Performance of a Dual Active Bridge with Phase-Shift Control. IEEE Trans. Power Electron. 2015, 30, 790–804. [Google Scholar] [CrossRef]
- Henao-Bravo, E.E.; Ramos-Paja, C.A.; Saavedra-Montes, A.J.; González-Montoya, D.; Sierra-Pérez, J. Design Method of Dual Active Bridge Converters for Photovoltaic Systems with High Voltage Gain. Energies 2020, 13, 1711. [Google Scholar] [CrossRef] [Green Version]
- Demetriades, G.D.; Nee, H.P. Characterisation of the Soft-switched Single-Active Bridge Topology Employing a Novel Control Scheme for High-power DC-DC Applications. In Proceedings of the 2005 IEEE 36th Power Electronics Specialists Conference, Dresden, Germany, 16 June 2005; pp. 1947–1951. [Google Scholar] [CrossRef]
- Ting, Y.; De Haan, S.; Ferreira, J.A. Elimination of switching losses in the single active bridge over a wide voltage and load range at constant frequency. In Proceedings of the 2013 15th European Conference on Power Electronics and Applications (EPE), Lille, France, 2–6 September 2013; pp. 1–10. [Google Scholar]
- Sha, D.; Zhang, J.; Sun, T. Multimode Control Strategy for SiC mosfets Based Semi-Dual Active Bridge DC–DC Converter. IEEE Trans. Power Electron. 2018, 34, 5476–5486. [Google Scholar] [CrossRef]
- Kulasekaran, S.; Ayyanar, R. Analysis, Design, and Experimental Results of the Semidual-Active-Bridge Converter. IEEE Trans. Power Electron. 2014, 29, 5136–5147. [Google Scholar] [CrossRef]
- Yadav, G.N.B.; Narasamma, N.L. An Active Soft Switched Phase-Shifted Full-Bridge DC–DC Converter: Analysis, Modeling, Design, and Implementation. IEEE Trans. Power Electron. 2014, 29, 4538–4550. [Google Scholar] [CrossRef]
- Wolski, K.; Grzejszczak, P.; Szymczak, M.; Barlik, R. Closed-Form Formulas for Automated Design of SiC-Based Phase-Shifted Full Bridge Converters in Charger Applications. Energies 2021, 14, 5380. [Google Scholar] [CrossRef]
- Escudero, M.; Meneses, D.; Rodriguez, N.; Morales, D.P. Modulation Scheme for the Bidirectional Operation of the Phase-Shift Full-Bridge Power Converter. IEEE Trans. Power Electron. 2019, 35, 1377–1391. [Google Scholar] [CrossRef]
- Li, G.; Xia, J.; Wang, K.; Deng, Y.; He, X.; Wang, Y. Hybrid Modulation of Parallel-Series LLCLLC. Resonant Converter and Phase Shift Full-Bridge Converter for a Dual-Output DC–DC Converter. IEEE J. Emerg. Sel. Top. Power Electron. 2019, 7, 833–842. [Google Scholar] [CrossRef]
- Jung, J.H.; Kim, H.S.; Ryu, M.H.; Baek, J.W. Design Methodology of Bidirectional CLLC Resonant Converter for High-Frequency Isolation of DC Distribution Systems. IEEE Trans. Power Electron. 2013, 28, 1741–1755. [Google Scholar] [CrossRef]
- Chen, W.; Rong, P.; Lu, Z. Snubberless Bidirectional DC–DC Converter with New CLLC Resonant Tank Featuring Minimized Switching Loss. IEEE Trans. Ind. Electron. 2010, 57, 3075–3086. [Google Scholar] [CrossRef]
- Bakeer, A.; Chub, A.; Blinov, A.; Lai, J.-S. Wide Range Series Resonant DC-DC Converter with a Reduced Component Count and Capacitor Voltage Stress for Distributed Generation. Energies 2021, 14, 2051. [Google Scholar] [CrossRef]
- Li, X.; Bhat, A.K.S. Analysis and Design of High-Frequency Isolated Dual-Bridge Series Resonant DC/DC Converter. IEEE Trans. Power Electron. 2010, 25, 850–862. [Google Scholar] [CrossRef]
- Tuan, C.A.; Takeshita, T. Analysis of Unidirectional Secondary Resonant Single Active Bridge DC–DC Converter. Energies 2021, 14, 6349. [Google Scholar] [CrossRef]
- Mweene, L.H.; Wright, C.A.; Schlecht, M.F. A 1 kW 500 kHz Front-End Converter for A Distributed Power Supply System. IEEE Trans. Power Electron. 1991, 6, 398–407. [Google Scholar] [CrossRef]
- Singh, S.A.; Ronanki, D.; Praneeth, A.V.J.S.; Williamson, S. State-of-the-art Charging Solutions for Electric Transportation and Autonomous E-mobility. J. Renew. Energy Sustain. Dev. 2018, 4, 2–13. [Google Scholar] [CrossRef]
- Park, K.; Chen, Z. Analysis and design of a parallel-connected single active bridge DC-DC converter for high-power wind farm applications. In Proceedings of the 2013 15th European Conference on Power Electronics and Applications (EPE), Lille, France, 13 October 2013; pp. 1–10. [Google Scholar]
- Ting, Y.; de Haan, S.; Ferreira, J.A. Efficiency improvements in a Single Active Bridge modular DC-DC converter with snubber capacitance optimization. In Proceedings of the IEEE International Power Electronics Conference (IPEC-Hiroshima 2014—ECCE ASIA), Hiroshima, Japan, 17 August 2014; pp. 2787–2793. [Google Scholar]
- Ting, Y.; De Haan, S.; Ferreira, J.A. The partial-resonant single active bridge DC-DC converter for conduction losses reduction in the single active bridge. In Proceedings of the 2013 IEEE ECCE Asia Downunder, Melbourne, VIC, Australia, 3–6 June 2013; pp. 987–993. [Google Scholar]
- Park, K.; Chen, Z. Open-circuit fault detection and tolerant operation for a parallel-connected SAB DC-DC converter. In Proceedings of the 2014 IEEE Applied Power Electronics Conference and Exposition—APEC, Fort Worth, TX, USA, 16–20 March 2014; pp. 1966–1972. [Google Scholar]
- Averberg, A.; Mertens, A. Characteristics of the single active bridge converter with voltage doubler. In Proceedings of the 2008 13th International Power Electronics and Motion Control Conference, Poznan, Poland, 1–3 September 2008; pp. 213–220. [Google Scholar]
- Fontana, C.; Forato, M.; Bertoluzzo, M.; Buja, G. Design characteristics of SAB and DAB converters. In Proceedings of the 2015 Intl Aegean Conference on Electrical Machines & Power Electronics (ACEMP), 2015 Intl Conference on Optimization of Electrical & Electronic Equipment (OPTIM) & 2015 Intl Symposium on Advanced Electromechanical Motion Systems (ELECTROMOTION), Side, Turkey, 21 August 2015; pp. 661–668. [Google Scholar]
- Fontana, C.; Forato, M.; Kumar, K.; Outeiro, M.T.; Bertoluzzo, M.; Buja, G. Soft-switching capabilities of SAB vs. DAB converters. In Proceedings of the IECON 2015—41st Annual Conference of the IEEE Industrial Electronics Society, Yokohama, Japan, 9–12 November 2015; pp. 003485–003490. [Google Scholar]
- Tan, N.M.L.; Abe, T.; Akagi, H. Design and Performance of a Bidirectional Isolated DC–DC Converter for a Battery Energy Storage System. IEEE Trans. Power Electron. 2012, 27, 1237–1248. [Google Scholar] [CrossRef]
- Sang, Y.; Ferre, A.J.; Green, T.C. Operational Principles of Three-Phase Single Active Bridge DC/DC Converters Under Duty Cycle Control. IEEE Trans. Power Electron. 2020, 35, 8737–8750. [Google Scholar] [CrossRef]
- Mi, C.; Bai, H.; Wang, C.; Gargies, S. Operation, design and control of dual H-bridge-based isolated bidirectional DC–DC converter. IET Power Electron. 2008, 1, 507–517. [Google Scholar] [CrossRef] [Green Version]
- Nguyen, D.-D.; Bui, N.-T.; Yukita, K. Design and Optimization of Three-Phase Dual-Active-Bridge Converters for Electric Vehicle Charging Stations. Energies 2019, 13, 150. [Google Scholar] [CrossRef] [Green Version]
- Escudero, M.; Kutschak, M.-A.; Meneses, D.; Rodriguez, N.; Morales, D.P. A Practical Approach to the Design of a Highly Efficient PSFB DC-DC Converter for Server Applications. Energies 2019, 12, 3723. [Google Scholar] [CrossRef] [Green Version]
- Erickson, R.W.; Maksimovic, D. Fundamentals of Power Electronics; Kluwer: Norwell, MA, USA, 2001. [Google Scholar]
- Doncker, R.W.D.; Divan, D.M.; Kheraluwala, M.H. A Three Phase Soft–Switched High–Power–Density DC/DC Converter for High–Power Applications. IEEE Trans. Ind Elect. 1991, 27, 63–73. [Google Scholar] [CrossRef]

















| CCM | DCM | |
|---|---|---|
| 0 (35) | ||
| Parameter | Symbol | Nominal Data |
|---|---|---|
| Input voltage | Vi | 130 V |
| Output voltage | Vo | 48 V |
| Output power | Po | 200 W |
| Switching Frequency | fs | 20 kHz |
Publisher’s Note: MDPI stays neutral with regard to jurisdictional claims in published maps and institutional affiliations. |
© 2022 by the authors. Licensee MDPI, Basel, Switzerland. This article is an open access article distributed under the terms and conditions of the Creative Commons Attribution (CC BY) license (https://creativecommons.org/licenses/by/4.0/).
Share and Cite
Jha, R.; Forato, M.; Prakash, S.; Dashora, H.; Buja, G. An Analysis-Supported Design of a Single Active Bridge (SAB) Converter. Energies 2022, 15, 666. https://doi.org/10.3390/en15020666
Jha R, Forato M, Prakash S, Dashora H, Buja G. An Analysis-Supported Design of a Single Active Bridge (SAB) Converter. Energies. 2022; 15(2):666. https://doi.org/10.3390/en15020666
Chicago/Turabian StyleJha, Rupesh, Mattia Forato, Satya Prakash, Hemant Dashora, and Giuseppe Buja. 2022. "An Analysis-Supported Design of a Single Active Bridge (SAB) Converter" Energies 15, no. 2: 666. https://doi.org/10.3390/en15020666
APA StyleJha, R., Forato, M., Prakash, S., Dashora, H., & Buja, G. (2022). An Analysis-Supported Design of a Single Active Bridge (SAB) Converter. Energies, 15(2), 666. https://doi.org/10.3390/en15020666

