Applicability of Wake Models to Predictions of Turbine-Induced Velocity Deficit and Wind Farm Power Generation
Abstract
1. Introduction
2. Wake Models for the Single Wind Turbine
2.1. Spanwise and Streamwise Distributions
2.2. Wake Boundary Expansion
2.3. Added Turbulence Intensity
2.4. Summary of the Wake Models
3. Wake Models for Multiple Wind Turbines
3.1. Superposition Approaches
3.2. Horn Rev 1 Wind Farm
4. Results and Discussions
4.1. Single Wind Turbine
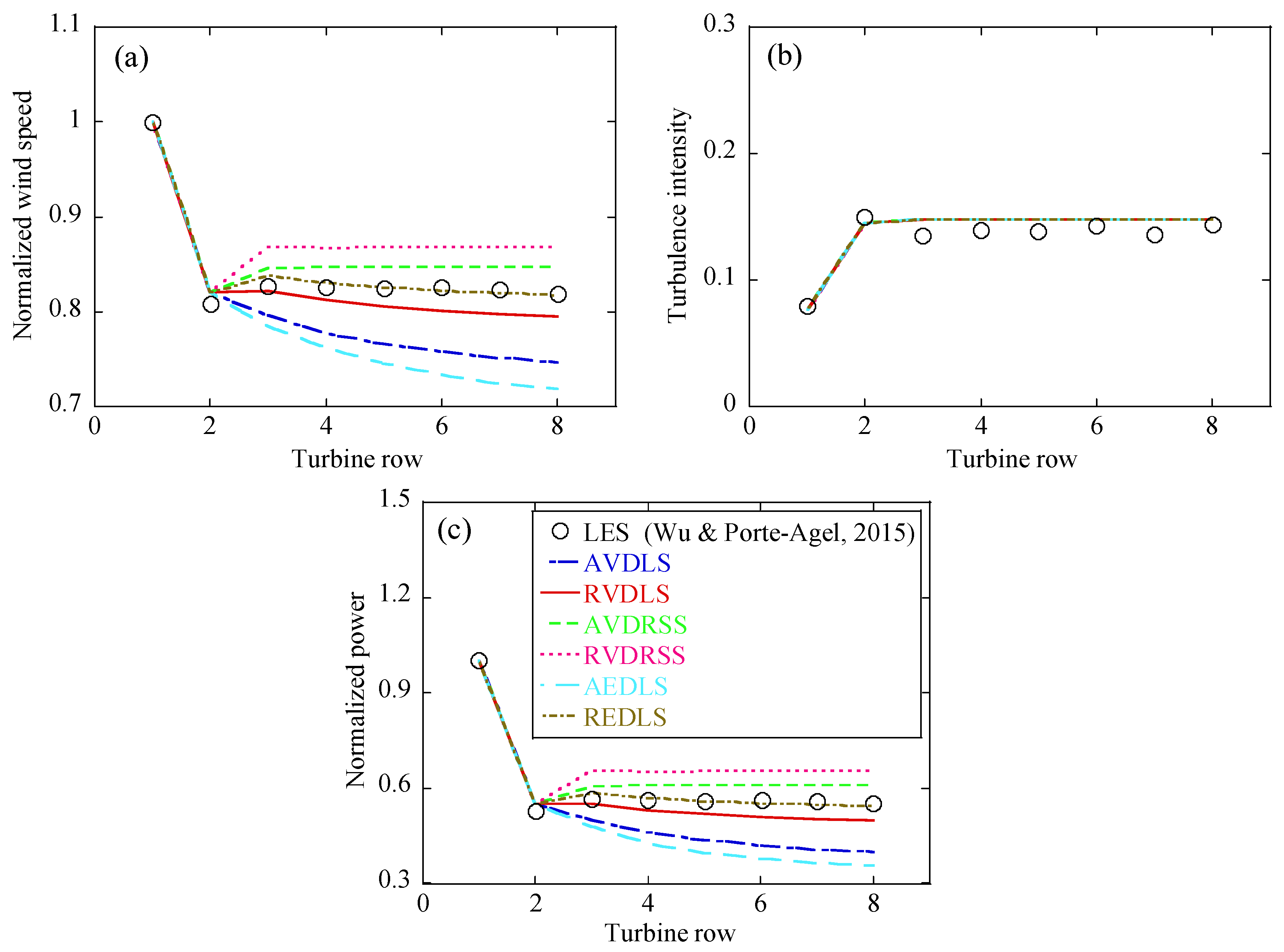
4.2. Multi Wind Turbines
4.3. Effect of Thrust Coefficient
4.4. Effect of Ambient Turbulence Intensity
5. Concluding Remarks
- A series of wake models for a single wind rubine are proposed by combining different spanwise distributions and wake boundary expansion models. Compared with measurement data, the top 12 wake models ranked by the hit rate are summarized and they are more universal and accurate than others, especially for the No. 3, No. 9, and No. 29 combined wake models, which are considered as the most suitable wake models for the single wind turbine.
- The wake models for multiple wind turbines are proposed by considering combined wake models for the single wind turbine and six superposition approaches. It is recommended that the No. 29 wake model combined with the rotor-based energy deficit linear superposition approach and the No. 37 wake model combined with the rotor-based velocity deficit root sum square approach should be used to carry out wind farm layout optimization due to their accurate predictions of velocity, turbulence intensity, and power generation for multiple wind turbines.
- The effects of thrust coefficient and ambient turbulence intensity on the velocity, turbulence intensity, and wind power generation are investigated. It is found that the wind velocity as well as wind power generation increase, and the turbulence intensity decreases as the thrust coefficient reduces, whilst they almost maintain the same value as the ambient turbulence intensity varies.
Author Contributions
Funding
Conflicts of Interest
Nomenclature
| a | axial flow induction factor | 
| a1 | parameter in IQ model | 
| A0 | cross-sectional area of rotor | 
| AW | cross-sectional area of downwind wake | 
| b | parameter in IQ model | 
| c | parameter in IQ model | 
| CT | thrust coefficient | 
| C(x) | streamwise function of outside Gaussian flow for velocity deficit | 
| D | rotor diameter | 
| Dq | first threshold of hit rate | 
| DW | wake diameter downwind of the rotor | 
| G(r) | spanwise functions of velocity deficit | 
| I+ | added turbulence intensity | 
| I0 | ambient turbulence intensity | 
| Iw | wake turbulence intensity | 
| k | wake expansion rate in the far wake region | 
| K | constant in Frandsen model | 
| Kn | empirical constant in Frandsen model | 
| kt | the constant rate of wake expansion | 
| kw | modified wake expansion rate in Zhang model | 
| mi | measured data | 
| n | the total number of wind turbines | 
| Nt | the total number of prediction data | 
| P | wind power | 
| Pi | predicted data | 
| q | hit rate | 
| r | radial distance from rotor center | 
| r0 | rotor radius | 
| r1/2 | half width of the wake | 
| wake boundary at one special streamwise distance | |
| U | wake velocity | 
| Uh,i | the inflow velocity for ith wind turbine at hub height | 
| Ui | the wake velocity of the ith wind turbine | 
| U0 | inflow wind velocity | 
| UW | streamwise velocity downwind of the rotor | 
| Wq | second threshold of hit rate | 
| x | streamwise distance downstream wind turbine | 
| y | spanwise distance downstream wind turbine | 
| surface roughness length | |
| zh | the turbine hub height | 
| Greek Symbols | |
| empirical constant in Frandsen model | |
| wake expansion parameter in Frandsen model | |
| intercept in IQ model | |
| streamwise function of the added turbulence intensity | |
| wake velocity deficit of the ith wind turbine | |
| wake velocity deficit | |
| wake velocity deficit at hub height | |
| wind angle | |
| air density | |
| standard deviation of Gaussian wake velocity deficit | |
Appendix A
| Case | Spanwise Distribution | Streamwise Function | Wake Boundary Expansion | Added Turbulence Intensity | Turbulence Intensity | Hit Rate | 
|---|---|---|---|---|---|---|
| 1 | Cosine | Zhang model | Linear (IQ) | - | - | 0.55 | 
| 2 | Cosine | Zhang model | Non-linear (F) | - | - | 0.48 | 
| 3 | Cosine | Zhang model | Non-linear (Z) | Crespo and Hernandez model | Square and root | 0.92 | 
| 4 | Cosine | Zhang model | Non-linear (Z) | Crespo and Hernandez model | Linear sum | 0.68 | 
| 5 | Cosine | Zhang model | Non-linear (Z) | Crespo and Hernandez model | Root and square | 0.64 | 
| 6 | Cosine | Zhang model | Non-linear (Z) | Frandsen model | Square and root | 0.82 | 
| 7 | Cosine | Zhang model | Non-linear (Z) | Frandsen model | Linear sum | 0.87 | 
| 8 | Cosine | Zhang model | Non-linear (Z) | Frandsen model | Root and square | 0.87 | 
| 9 | Cosine | Zhang model | Non-linear (Z) | Larsen model | Square and root | 0.92 | 
| 10 | Cosine | Zhang model | Non-linear (Z) | Larsen model | Linear sum | 0.64 | 
| 11 | Cosine | Zhang model | Non-linear (Z) | Larsen model | Root and square | 0.61 | 
| 12 | Cosine | Zhang model | Non-linear (Z) | IEC model | Square and root | 0.89 | 
| 13 | Cosine | Zhang model | Non-linear (Z) | IEC model | Linear sum | 0.9 | 
| 14 | Cosine | Zhang model | Non-linear (Z) | IEC model | Root and square | 0.87 | 
| 15 | Gaussian | IQ model | Linear (IQ) | - | - | 0.85 | 
| 16 | Gaussian | IQ model | Non-linear (F) | - | - | 0.85 | 
| 17 | Gaussian | IQ model | Non-linear (Z) | Crespo and Hernandez model | Square and root | 0.88 | 
| 18 | Gaussian | IQ model | Non-linear (Z) | Crespo and Hernandez model | Linear sum | 0.87 | 
| 19 | Gaussian | IQ model | Non-linear (Z) | Crespo and Hernandez model | Root and square | 0.86 | 
| 20 | Gaussian | IQ model | Non-linear (Z) | Frandsen model | Square and root | 0.88 | 
| 21 | Gaussian | IQ model | Non-linear (Z) | Frandsen model | Linear sum | 0.88 | 
| 22 | Gaussian | IQ model | Non-linear (Z) | Frandsen model | Root and square | 0.87 | 
| 23 | Gaussian | IQ model | Non-linear (Z) | Larsen model | Square and root | 0.88 | 
| 24 | Gaussian | IQ model | Non-linear (Z) | Larsen model | Linear sum | 0.87 | 
| 25 | Gaussian | IQ model | Non-linear (Z) | Larsen model | Root and square | 0.86 | 
| 26 | Gaussian | IQ model | Non-linear (Z) | IEC model | Square and root | 0.86 | 
| 27 | Gaussian | IQ model | Non-linear (Z) | IEC model | Linear sum | 0.87 | 
| 28 | Gaussian | IQ model | Non-linear (Z) | IEC model | Root and square | 0.88 | 
| 29 | Gaussian | BP model | Linear (IQ) | - | - | 0.91 | 
| 30 | Gaussian | BP model | Non-linear (F) | - | - | 0.87 | 
| 31 | Gaussian | BP model | Non-linear (Z) | Crespo and Hernandez model | Square and root | 0.84 | 
| 32 | Gaussian | BP model | Non-linear (Z) | Crespo and Hernandez model | Linear sum | 0.84 | 
| 33 | Gaussian | BP model | Non-linear (Z) | Crespo and Hernandez model | Root and square | 0.76 | 
| 34 | Gaussian | BP model | Non-linear (Z) | Frandsen model | Square and root | 0.9 | 
| 35 | Gaussian | BP model | Non-linear (Z) | Frandsen model | Linear sum | 0.89 | 
| 36 | Gaussian | BP model | Non-linear (Z) | Frandsen model | Root and square | 0.76 | 
| 37 | Gaussian | BP model | Non-linear (Z) | Larsen model | Square and root | 0.85 | 
| 38 | Gaussian | BP model | Non-linear (Z) | Larsen model | Linear sum | 0.81 | 
| 39 | Gaussian | BP model | Non-linear (Z) | Larsen model | Root and square | 0.75 | 
| 40 | Gaussian | BP model | Non-linear (Z) | IEC model | Square and root | 0.76 | 
| 41 | Gaussian | BP model | Non-linear (Z) | IEC model | Linear sum | 0.82 | 
| 42 | Gaussian | BP model | Non-linear (Z) | IEC model | Root and square | 0.79 | 
| 43 | Top-hat | Jensen model | Linear (IQ) | - | - | 0.47 | 
| 44 | Top-hat | Jensen model | Non-linear (F) | - | - | 0.45 | 
| 45 | Top-hat | Jensen model | Non-linear (Z) | Crespo and Hernandez model | Square and root | 0.46 | 
| 46 | Top-hat | Jensen model | Non-linear (Z) | Crespo and Hernandez model | Linear sum | 0.48 | 
| 47 | Top-hat | Jensen model | Non-linear (Z) | Crespo and Hernandez model | Root and square | 0.47 | 
| 48 | Top-hat | Jensen model | Non-linear (Z) | Frandsen model | Square and root | 0.48 | 
| 49 | Top-hat | Jensen model | Non-linear (Z) | Frandsen model | Linear sum | 0.48 | 
| 50 | Top-hat | Jensen model | Non-linear (Z) | Frandsen model | Root and square | 0.46 | 
| 51 | Top-hat | Jensen model | Non-linear (Z) | Larsen model | Square and root | 0.47 | 
| 52 | Top-hat | Jensen model | Non-linear (Z) | Larsen model | Linear sum | 0.47 | 
| 53 | Top-hat | Jensen model | Non-linear (Z) | Larsen model | Root and square | 0.47 | 
| 54 | Top-hat | Jensen model | Non-linear (Z) | IEC model | Square and root | 0.47 | 
| 55 | Top-hat | Jensen model | Non-linear (Z) | IEC model | Linear sum | 0.47 | 
| 56 | Top-hat | Jensen model | Non-linear (Z) | IEC model | Root and square | 0.45 | 
| 57 | Top-hat | Frandsen model | Linear (IQ) | - | - | 0.45 | 
| 58 | Top-hat | Frandsen model | Non-linear (F) | - | - | 0.48 | 
| 59 | Top-hat | Frandsen model | Non-linear (Z) | Crespo and Hernandez model | Square and root | 0.46 | 
| 60 | Top-hat | Frandsen model | Non-linear (Z) | Crespo and Hernandez model | Linear sum | 0.46 | 
| 61 | Top-hat | Frandsen model | Non-linear (Z) | Crespo and Hernandez model | Root and square | 0.47 | 
| 62 | Top-hat | Frandsen model | Non-linear (Z) | Frandsen model | Square and root | 0.48 | 
| 63 | Top-hat | Frandsen model | Non-linear (Z) | Frandsen model | Linear sum | 0.47 | 
| 64 | Top-hat | Frandsen model | Non-linear (Z) | Frandsen model | Root and square | 0.46 | 
| 65 | Top-hat | Frandsen model | Non-linear (Z) | Larsen model | Square and root | 0.46 | 
| 66 | Top-hat | Frandsen model | Non-linear (Z) | Larsen model | Linear sum | 0.47 | 
| 67 | Top-hat | Frandsen model | Non-linear (Z) | Larsen model | Root and square | 0.47 | 
| 68 | Top-hat | Frandsen model | Non-linear (Z) | IEC model | Square and root | 0.48 | 
| 69 | Top-hat | Frandsen model | Non-linear (Z) | IEC model | Linear sum | 0.46 | 
| 70 | Top-hat | Frandsen model | Non-linear (Z) | IEC model | Root and square | 0.44 | 








References
- GWEC. Global Wind Report 2021; Global Wind Energy Council: Brussels, Belgium, 2021. [Google Scholar]
- Jensen, N.O. A Note on Wind Generator Interaction; Risø National Laboratory: Roskilde, Denmark, 1983. [Google Scholar]
- Frandsen, S.; Barthelmie, R.; Pryor, S.; Rathmann, O.; Larsen, S.; Højstrup, J.; Thøgersen, M. Analytical Modelling of Wind Speed Deficit in Large Offshore Wind Farms. Wind Energ. 2006, 9, 39–53. [Google Scholar] [CrossRef]
- Bastankhah, M.; Porté-Agel, F. A New Analytical Model for Wind-Turbine Wakes. Renew. Energy 2014, 70, 116–123. [Google Scholar] [CrossRef]
- Ishihara, T.; Qian, G.-W. A New Gaussian-Based Analytical Wake Model for Wind Turbines Considering Ambient Turbulence Intensities and Thrust Coefficient Effects. J. Wind Eng. Ind. Aerodyn. 2018, 177, 275–292. [Google Scholar] [CrossRef]
- Tian, L.; Zhu, W.; Shen, W.; Zhao, N.; Shen, Z. Development and Validation of a New Two-Dimensional Wake Model for Wind Turbine Wakes. J. Wind Eng. Ind. Aerodyn. 2015, 137, 90–99. [Google Scholar] [CrossRef]
- Zhang, Z.; Huang, P.; Sun, H. A Novel Analytical Wake Model with a Cosine-Shaped Velocity Deficit. Energies 2020, 13, 3353. [Google Scholar] [CrossRef]
- Gao, X.; Li, B.; Wang, T.; Sun, H.; Yang, H.; Li, Y.; Wang, Y.; Zhao, F. Investigation and Validation of 3D Wake Model for Horizontal-Axis Wind Turbines Based on Filed Measurements. Appl. Energy 2020, 260, 114272. [Google Scholar] [CrossRef]
- Sun, H.; Yang, H. Study on an Innovative Three-Dimensional Wind Turbine Wake Model. Appl. Energy 2018, 226, 483–493. [Google Scholar] [CrossRef]
- Ge, M.; Wu, Y.; Liu, Y.; Yang, X.I.A. A Two-Dimensional Jensen Model with a Gaussian-Shaped Velocity Deficit. Renew. Energy 2019, 141, 46–56. [Google Scholar] [CrossRef]
- Keane, A. Advancement of an Analytical Double-Gaussian Full Wind Turbine Wake Model. Renew. Energy 2021, 171, 687–708. [Google Scholar] [CrossRef]
- Wang, Y.; Lin, J.; Zhang, J. Investigation of a New Analytical Wake Prediction Method for Offshore Floating Wind Turbines Considering an Accurate Incoming Wind Flow. Renew. Energy 2022, 185, 827–849. [Google Scholar] [CrossRef]
- Yang, Q.; Li, H.; Li, T.; Zhou, X. Wind Farm Layout Optimization for Levelized Cost of Energy Minimization with Combined Analytical Wake Model and Hybrid Optimization Strategy. Energy Convers. Manag. 2021, 248, 114778. [Google Scholar] [CrossRef]
- Pillai, A.C.; Chick, J.; Khorasanchi, M.; Barbouchi, S.; Johanning, L. Application of an Offshore Wind Farm Layout Optimization Methodology at Middelgrunden Wind Farm. Ocean Eng. 2017, 139, 287–297. [Google Scholar] [CrossRef]
- Kirchner-Bossi, N.; Porté-Agel, F. Realistic Wind Farm Layout Optimization through Genetic Algorithms Using a Gaussian Wake Model. Energies 2018, 11, 3268. [Google Scholar] [CrossRef]
- Qian, G.-W.; Ishihara, T. Wind Farm Power Maximization through Wake Steering with a New Multiple Wake Model for Prediction of Turbulence Intensity. Energy 2021, 220, 119680. [Google Scholar] [CrossRef]
- Lissaman, P.B.S. Energy Effectiveness of Arbitrary Arrays of Wind Turbines. J. Energy 1979, 3, 323–328. [Google Scholar] [CrossRef]
- Niayifar, A.; Porté-Agel, F. Analytical Modeling of Wind Farms: A New Approach for Power Prediction. Energies 2016, 9, 741. [Google Scholar] [CrossRef]
- Katic, I.; Højstrup, J.; Jensen, N.O. A Simple Model for Cluster Efficiency. In EWEC’86. Proceedings; European Wind Energy Association: Rome, Italy, 1987; pp. 407–410. [Google Scholar]
- Voutsinas, S. On the Analysis of Wake Effects in Wind Parks. Wind Eng. 1990, 14, 204–219. [Google Scholar]
- Göçmen, T.; van der Laan, P.; Réthoré, P.-E.; Diaz, A.P.; Larsen, G.C.; Ott, S. Wind Turbine Wake Models Developed at the Technical University of Denmark: A Review. Renew. Sustain. Energy Rev. 2016, 60, 752–769. [Google Scholar] [CrossRef]
- Shao, Z.; Wu, Y.; Li, L.; Han, S.; Liu, Y. Multiple Wind Turbine Wakes Modeling Considering the Faster Wake Recovery in Overlapped Wakes. Energies 2019, 12, 680. [Google Scholar] [CrossRef]
- Tian, L.; Zhu, W.; Shen, W.; Song, Y.; Zhao, N. Prediction of Multi-Wake Problems Using an Improved Jensen Wake Model. Renew. Energy 2017, 102, 457–469. [Google Scholar] [CrossRef]
- Barthelmie, R.J.; Larsen, G.C.; Frandsen, S.T.; Folkerts, L.; Rados, K.; Pryor, S.C.; Lange, B.; Schepers, G. Comparison of Wake Model Simulations with Offshore Wind Turbine Wake Profiles Measured by Sodar. J. Atmos. Ocean. Technol. 2006, 23, 888–901. [Google Scholar] [CrossRef]
- Barthelmie, R.J.; Jensen, L.E. Evaluation of Wind Farm Efficiency and Wind Turbine Wakes at the Nysted Offshore Wind Farm. Wind Energy 2010, 13, 573–586. [Google Scholar] [CrossRef]
- Cleve, J.; Greiner, M.; Enevoldsen, P.; Birkemose, B.; Jensen, L. Model-Based Analysis of Wake-Flow Data in the Nysted Offshore Wind Farm. Wind Energy 2009, 12, 125–135. [Google Scholar] [CrossRef]
- Barthelmie, R.J.; Frandsen, S.T.; Nielsen, M.N.; Pryor, S.C.; Rethore, P.-E.; Jørgensen, H.E. Modelling and Measurements of Power Losses and Turbulence Intensity in Wind Turbine Wakes at Middelgrunden Offshore Wind Farm. Wind Energy 2007, 10, 517–528. [Google Scholar] [CrossRef]
- Ge, M.; Wu, Y.; Liu, Y.; Li, Q. A Two-Dimensional Model Based on the Expansion of Physical Wake Boundary for Wind-Turbine Wakes. Appl. Energy 2019, 233–234, 975–984. [Google Scholar] [CrossRef]
- Wu, Y.-T.; Porté-Agel, F. Atmospheric Turbulence Effects on Wind-Turbine Wakes: An LES Study. Energies 2012, 5, 5340–5362. [Google Scholar] [CrossRef]
- Crespo, A.; Hernández, J. Turbulence Characteristics in Wind-Turbine Wakes. J. Wind Eng. Ind. Aerodyn. 1996, 61, 71–85. [Google Scholar] [CrossRef]
- Larsen, G.C.; Højstrup, J.; Madsen, H.A. Wind Fields in Wakes. In Proceedings of the 1996 European Wind Energy Conference and Exhibition, Göteborg, Sweden, 20–24 May 1996. [Google Scholar]
- IEC 61400-1; Wind Turbine Generator Systems Part 1: Safety Requirements. International Electrotechnical Commission: Geneva, Switzerland, 2019.
- Gao, X.; Yang, H.; Lu, L. Optimization of Wind Turbine Layout Position in a Wind Farm Using a Newly-Developed Two-Dimensional Wake Model. Appl. Energy 2016, 174, 192–200. [Google Scholar] [CrossRef]
- Renkema, D.J. Validation of Wind Turbine Wake Models. Master’s Thesis, TU Delft, Delft, The Netherlands, 2007. [Google Scholar]
- Wu, Y.-T.; Porté-Agel, F. Modeling Turbine Wakes and Power Losses within a Wind Farm Using LES: An Application to the Horns Rev Offshore Wind Farm. Renew. Energy 2015, 75, 945–955. [Google Scholar] [CrossRef]
- Schreiber, J.; Balbaa, A.; Bottasso, C.L. Brief Communication: A Double-Gaussian Wake Model. Wind Energ. Sci. 2020, 5, 237–244. [Google Scholar] [CrossRef]
- Bastankhah, M.; Porté-Agel, F. A New Miniature Wind Turbine for Wind Tunnel Experiments. Part II: Wake Structure and Flow Dynamics. Energies 2017, 10, 923. [Google Scholar] [CrossRef]
- Oettl, D. Quality Assurance of the Prognostic, Microscale Wind-Field Model GRAL 14.8 Using Wind-Tunnel Data Provided by the German VDI Guideline 3783-9. J. Wind Eng. Ind. Aerodyn. 2015, 142, 104–110. [Google Scholar] [CrossRef]
- VDI. Environmental Meteorology—Prognostic Microscale Windfield Models—Evaluation for Flow around Buildings and Obstacles; Tech. Rep., VDI guideline 3783, Part 9; Beuth Verlag: Berlin, Germany, 2005. [Google Scholar]

















| Model | Expression | Wake Boundary Expansion | Application | 
|---|---|---|---|
| Jensen [2] | Linear | WFLO [23] | |
| Frandsen et al. [3] | Non-linear | N/A | |
| Bastankhah and Porté-Agel [4] | Linear | WFLO [22] | |
| Ishihara and Qian [5] | Linear | Wind farm power generation [20] | |
| Zhang et al. [7] | Non-linear | N/A | 
| Ref | Principle | Expression | Parameters | 
|---|---|---|---|
| Jensen [2] | Linear | ||
| Frandsen et al. [3] | Non-linear | ||
| Ishihara and Qian [5] | Linear | ||
| Zhang et al. [7] | Non-linear | 
| Ref | Expression | Parameters | 
|---|---|---|
| Crespo and Hernandez [30] | ||
| Frandsen et al. [3] | ||
| Larsen et al. [31] | N/A | |
| IEC 61400-1 [32] | N/A | 
| Ref | Principle | Expression | 
|---|---|---|
| Frandsen et al. [3] | Square and root | |
| Tian et al. [21] | Linear | |
| Gao et al. [33] | Root and square | 
| Wake Superposition Principle | Multiple Wake | Single Wake | 
|---|---|---|
| Ambient-based velocity deficit linear sum (AVDLS) [14] | ||
| Rotor-based velocity deficit linear sum (RVDLS) [15] | ||
| Ambient-based velocity deficit root sum square (AVDRSS) [16] | ||
| Rotor-based velocity deficit root sum square (RVDRSS) [17] | ||
| Ambient-based energy deficit linear sum (AEDLS) [34] | ||
| Rotor-based energy deficit linear sum (REDLS) [13] | 
| Basic Parameters | Values | |
|---|---|---|
| The Vestas V-80 2 MW wind turbine | Rotor diameter | |
| Hub height | ||
| Cut-in wind velocity | 4 m/s | |
| Cut-off wind velocity | 25 m/s | |
| The Horn Rev 1 wind farm | Inflow wind velocity | 8 m/s | 
| Ambient turbulence intensity | 0.077 | |
| Aerodynamic surface roughness | 0.0002 m | |
| Minimum turbine spacing | 7D | 
| Ref | ||||||
|---|---|---|---|---|---|---|
| [-] | [-] | [m] | [m] | [m] | [-] | |
| Wu and Porté-Agel [29] | 0.134 | 0.8 | 0.5 | 70 | 80 | 5/7/10 | 
| 0.094 | 0.8 | 0.05 | 70 | 80 | 5/7/10 | |
| 0.069 | 0.8 | 0.005 | 70 | 80 | 5/7/10 | |
| 0.048 | 0.8 | 0.00005 | 70 | 80 | 5/7/10 | |
| Ishihara and Qian [5] | 0.035 | 0.36 | 0.00005 | 80 | 76.5 | 6/8 | 
| 0.035 | 0.84 | 0.00005 | 80 | 76.5 | 6/8 | |
| 0.137 | 0.36 | 0.5 | 80 | 76.5 | 6/8 | |
| 0.137 | 0.84 | 0.5 | 80 | 76.5 | 6/8 | |
| Keane [11] | 0.05 | 0.828 | 0.0002 | 91.5 | 116 | 5.03/5.3 | 
| Schreiber et al. [36] | 0.05 | 0.75 | 0.0002 | 0.8 | 1.1 | 6/9 | 
| Gao et al. [33] | 0.14 | 0.7 | 0.5 | 65 | - | 5/6 | 
| Zhang et al. [7] | 0.13 | 0.62 | 0.075 | 50 | 43.2 | 5/7.5/10 | 
| 0.13 | 0.85 | 0.075 | 50 | 43.2 | 5/7.5 | |
| Tian et al. [6] | 0.1 | 0.85 | 0.07 | 45 | 40 | 7.5 | 
| 0.1 | 0.75 | 0.07 | 45 | 40 | 5.5/8 | |
| Bastankhah and Porté-Agel [37] | 0.067 | 0.78 | 0.000019 | 0.125 | 0.15 | 5/6/7/8 | 
| No. | Spanwise Distribution | Streamwise Function | Wake Boundary Expansion | Added Turbulence Intensity | Turbulence Intensity | Hit Rate | 
|---|---|---|---|---|---|---|
| 3 | Cosine | Zhang model | Non-linear (Z) | Crespo and Hernandez model | Square and root | 0.92 | 
| 9 | Cosine | Zhang model | Non-linear (Z) | Larsen model | Square and root | 0.92 | 
| 29 | Gaussian | BP model | Linear (IQ) | N/A | N/A | 0.91 | 
| 13 | Cosine | Zhang model | Non-linear (Z) | IEC model | Linear sum | 0.9 | 
| 34 | Gaussian | BP model | Non-linear (Z) | Frandsen model | Square and root | 0.9 | 
| 12 | Cosine | Zhang model | Non-linear (Z) | IEC model | Square and root | 0.89 | 
| 35 | Gaussian | BP model | Non-linear (Z) | Frandsen model | Linear sum | 0.89 | 
| 17 | Gaussian | IQ model | Non-linear (Z) | Crespo and Hernandez model | Square and root | 0.88 | 
| 20 | Gaussian | IQ model | Non-linear (Z) | Frandsen model | Square and root | 0.88 | 
| 21 | Gaussian | IQ model | Non-linear (Z) | Frandsen model | Linear sum | 0.88 | 
| 23 | Gaussian | IQ model | Non-linear (Z) | Larsen model | Square and root | 0.88 | 
| 28 | Gaussian | IQ model | Non-linear (Z) | IEC model | Root and square | 0.88 | 
| Publisher’s Note: MDPI stays neutral with regard to jurisdictional claims in published maps and institutional affiliations. | 
© 2022 by the authors. Licensee MDPI, Basel, Switzerland. This article is an open access article distributed under the terms and conditions of the Creative Commons Attribution (CC BY) license (https://creativecommons.org/licenses/by/4.0/).
Share and Cite
Zhang, D.; Liang, Y.; Li, C.; Xiao, Y.; Hu, G. Applicability of Wake Models to Predictions of Turbine-Induced Velocity Deficit and Wind Farm Power Generation. Energies 2022, 15, 7431. https://doi.org/10.3390/en15197431
Zhang D, Liang Y, Li C, Xiao Y, Hu G. Applicability of Wake Models to Predictions of Turbine-Induced Velocity Deficit and Wind Farm Power Generation. Energies. 2022; 15(19):7431. https://doi.org/10.3390/en15197431
Chicago/Turabian StyleZhang, Dongqin, Yang Liang, Chao Li, Yiqing Xiao, and Gang Hu. 2022. "Applicability of Wake Models to Predictions of Turbine-Induced Velocity Deficit and Wind Farm Power Generation" Energies 15, no. 19: 7431. https://doi.org/10.3390/en15197431
APA StyleZhang, D., Liang, Y., Li, C., Xiao, Y., & Hu, G. (2022). Applicability of Wake Models to Predictions of Turbine-Induced Velocity Deficit and Wind Farm Power Generation. Energies, 15(19), 7431. https://doi.org/10.3390/en15197431
 
        





 
       