Progress of Performance, Emission, and Technical Measures of Hydrogen Fuel Internal-Combustion Engines
Abstract
1. Opportunities for Hydrogen Internal-Combustion Engines
2. Research on Performance Improvement of Hydrogen Internal-Combustion Engines
3. Port Injection and Direct Injection of Hydrogen
4. Formation of the Hydrogen–Air Mixture
4.1. The Influence of the Structure and the Layout of the Hydrogen Injector on the Formation and Combustion of the Hydrogen–Air Mixture
4.2. The Influence of Hydrogen-Injection Timing on Hydrogen–Air Mixture Formation and Combustion
5. Combustion Feature and Performance of Hydrogen Engines
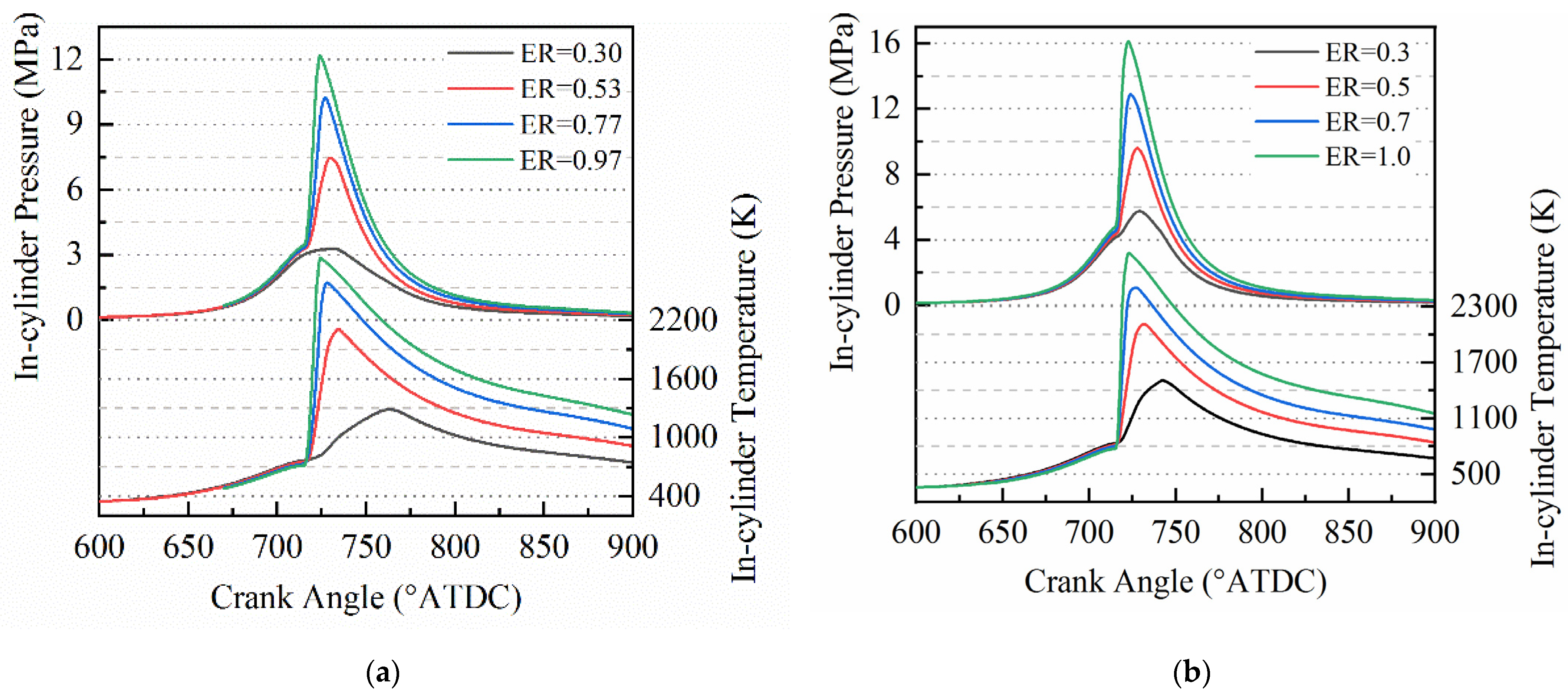
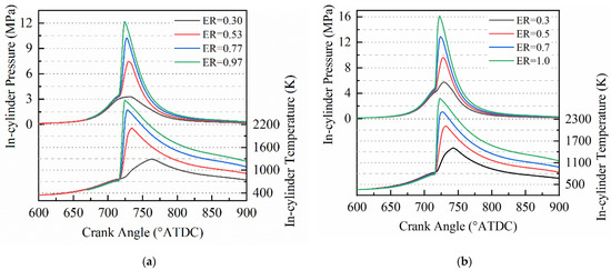
5.1. Effects of Equivalence Ratio on Combustion and Performance
5.2. Effects of Intake Pressure on Combustion and Performance
5.3. Effects of Exhaust Gas Recirculation on the Combustion and Performance of Hydrogen Engines
6. Knock of Hydrogen Internal-Combustion Engines
6.1. Knock Characteristics and Influence Factors of Hydrogen Internal-Combustion Engines
6.2. The Natural Mechanism of the Knock Formation of the Hydrogen Internal-Combustion Engines
6.3. Knock Control Strategy of Hydrogen Internal-Combustion Engines
7. Conclusions
Author Contributions
Funding
Institutional Review Board Statement
Informed Consent Statement
Data Availability Statement
Conflicts of Interest
Nomenclature
| ITE | Indicated Thermal Efficiency |
| BTE | Brake Thermal Efficiency |
| IMEP | Indicated Mean Effective Pressure |
| CA10 | Crank Angle When Cumulative Heat Release Reaches 10% |
| CA50 | Crank Angle When Cumulative Heat Release Reaches 50% |
| CA90 | Crank Angle When Cumulative Heat Release Reaches 90% |
| ppm | Part Per Million |
| SOI | Start of Injection |
| ATDC | After Top Dead Center |
| BTDC | Before Top Dead Center |
| EGR | Exhaust Gas Recirculation |
References
- Hydrogen Energy: New Race Track for World Energy Pattern. Shenzhen Special Zone Daily, 1 December 2021.
- Chen, H.C.; Pei, P.C. A study on the economical lifetime of the proton exchange membrane fuel cells for vehicles. Automot. Eng. 2015, 37, 998–1004. [Google Scholar]
- Verhelst, S.; Wallner, T. Hydrogen-fueled internal combustion engines. Prog. Energy Combust. Sci. 2009, 35, 490–527. [Google Scholar] [CrossRef]
- Chitragar, P.R.; Shivaprasad, K.V.; Nayak, V.; Bedar, P.; Kumar, G.N. An experimental study on combustion and emission analysis of four cylinder 4-stroke gasoline engine using pure hydrogen and LPG at idle condition. Energy Procedia 2016, 90, 525–534. [Google Scholar] [CrossRef]
- Das, L.M. Hydrogen-fueled internal combustion engines. Compend. Hydrog. Energy 2016, 3, 177–217. [Google Scholar]
- Liu, F.S.; Hao, L.J.; Heitz, P.B. Technical status quo and development prospect of hydrogen IC engine. Automot. Eng. 2006, 28, 621–625. [Google Scholar]
- Mazloomi, K.; Gomes, C. Hydrogen as an energy carrier: Prospects and challenges. Renew. Sustain. Energy Rev. 2012, 16, 3024–3033. [Google Scholar] [CrossRef]
- Sun, B.; Bao, L.; Luo, Q. Development and trends of direct injection hydrogen internal combustion engine technology. Automot. Saf. Energy 2021, 12, 265–278. [Google Scholar]
- Sun, N.; Ma, F.H. Developing situation and direction of hydrogen internal combustion engine. Veh. Engine 2006, 2, 1–5. [Google Scholar]
- Li, X.R.; Wei, R.; Sun, B.G. Combustion Science and Technology of Internal Combustion Engine; Beijing University of Aeronautics and Astronautics Press: Beijing, China, 2012. [Google Scholar]
- Mathur, H.B.; Das, L.M. Performance characteristics of a hydrogen fuelled S.I. engine using timed manifold injection. Int. J. Hydrog. Energy 1991, 16, 115–127. [Google Scholar] [CrossRef]
- Rana, K.K.; Natarajan, S.; Jilakara, S. Potential of hydrogen fuelled IC engine to achieve the future performance and emission norms. SAE 2015, No. 2015-26-0050. [Google Scholar] [CrossRef]
- Berckmϋller, M.; Rottengruber, H.; Eder, A.; Brehm, N.; Elsässer, G.; Müller-Alander, G.; Schwarz, C. Potential of a charged SI-hydrogen engine. SAE 2003, No. 2003-01-3210. [Google Scholar] [CrossRef]
- Rottengruber, H.; Berckmϋller, M.; Elsässer, G.; Brehm, N.; Schwarz, C. Direct-injection hydrogen SI-engine operation strategy and power density potentials. SAE 2004, 113, 1749–1761. [Google Scholar]
- Thomas, W.; Hennning, L.B.; Stephen, G.; Mike, D.; Wolfgang, T.; Dieter, M.; Thomas, K. Fuel economy and emissions evaluation of BMW hydrogen 7 mono-fuel demonstration vehicles. Int. J. Hydrog. Energy 2008, 33, 7607–7618. [Google Scholar]
- Szwabowski, S.J.; Hashemi, S.; Stockhausen, W.F.; Natkin, R.J.; Reams, L.; Kabat, D.M.; Potts, C. Ford hydrogen engine powered P2000 vehicle. SAE 2002, No. 2002-01-0243. [Google Scholar] [CrossRef]
- Tang, X.; Kabat, D.M.; Natkin, R.J. Ford P2000 hydrogen engine dynamometer development. SAE 2002, 111, 631–642. [Google Scholar]
- Wallner, T.; Scarcelli, R.; Nande, A.M.; Naber, J.D. Assessment of multiple injection strategies in a direct-injection hydrogen research engine. SAE 2009, 2, 1701–1709. [Google Scholar] [CrossRef]
- Nicholas, S.M.; Thomas, W.; Riccardo, S. A hydrogen direct injection engine concept that exceeds U.S. DOE light-duty efficiency targets. SAE 2012, 5, 838–849. [Google Scholar]
- Kawamura, A.; Sato, Y.; Naganuma, K.; Yamane, K.; Takagi, Y. Development project of a multi-cylinder DISI hydrogen ICE system for heavy duty vehicles. SAE 2010, No. 2010-01-2175. [Google Scholar] [CrossRef]
- Taku, T.; Yasumasa, S. Development of a large-sized direct injection hydrogen engine for a stationary power generator. Int. J. Hydrog. Energy 2019, 44, 11355–11369. [Google Scholar]
- Verhelst, S.; Maesschalck, P.; Rombaut, N.; Sierens, R. Increasing the power output of hydrogen internal combustion engines by means of supercharging and exhaust gas recirculation. Int. J. Hydrog. Energy 2009, 34, 4406–4412. [Google Scholar] [CrossRef]
- Verhelst, S.; Demuynck, J.; Martin, S.; Vermeir, M.; Sierens, R. Investigation of supercharging strategies for PFI hydrogen engines. In Proceedings of the SAE 2010 World Congress, Detroit, MI, USA, 13–15 April 2010. No. 2010-01-0582. [Google Scholar]
- Shiro, T.; Yasushi, I.; Ryo, M.; Mikio, N. High-efficiency and low-NOx hydrogen combustion by high pressure direct injection. SAE 2010, 3, 259–268. [Google Scholar]
- Unni, J.K.; Bhatia, D.; Dutta, V.; Mohan Das, L.; Jilakara, S.; Subash, G.P. Development of hydrogen fueled low NOx engine with exhaust gas recirculation and exhaust after treatment. SAE 2017, 10, 46–54. [Google Scholar]
- Mohammadi, A.; Shioji, M.; Nakai, Y.; Ishikura, W.; Tabo, E. Performance and combustion characteristics of a direct injection SI hydrogen engine. Int. J. Hydrog. Energy 2007, 32, 296–304. [Google Scholar] [CrossRef]
- Zhang, C.; Sun, B.G.; Wang, X.; Bao, L.; Chai, H. Direct-Injection Hydrogen Jet Characteristics of Outward-Opening Nozzle. Veh. Engine 2020, 7–12, 24. [Google Scholar]
- Hamada, K.I.; Rahman, M.M.; Abdullah, M.A.; Bakar, B.A.; Aziz, R.A. Effect of mixture strength and injection timing on combustion characteristics of a direct injection hydrogen-fueled engine. Int. J. Hydrog. Energy 2013, 38, 3793–3801. [Google Scholar] [CrossRef]
- Yip, H.L.; Srna, A.; Yuen, A.C.Y.; Kook, S.; Taylor, R.A.; Yeoh, G.H.; Medwell, P.R.; Chan, Q.N. A review of hydrogen direct injection for internal combustion engines: Towards carbon-free combustion. Appl. Sci. 2019, 9, 4842. [Google Scholar] [CrossRef]
- Takagi, Y.; Mihara, Y.; Konagaya, R.; Takagi, Y.; Mihara, Y. Unsteady three-dimensional computations of the penetration length and mixing process of various single high-speed gas jets for engines. SAE 2017, No. 2017-01-0817. [Google Scholar] [CrossRef]
- Wallner, T.; Ciatti, S.; Bihari, B. Investigation of injection parameters in a hydrogen di engine using an endoscopic access to the combustion chamber. SAE 2007, No. 2007-01-1464. [Google Scholar] [CrossRef]
- Wang, L.; Yang, Z.; Huang, Y.; Huang, Y.; Liu, D.; Duan, J.; Guo, S.; Qin, Z. The effect of hydrogen injection parameters on the quality of hydrogen–air mixture formation for a PFI hydrogen internal combustion engine. Int. J. Hydrog. Energy 2017, 42, 23832–23845. [Google Scholar] [CrossRef]
- Wallner, T.; Nande, A.M.; Naber, J. Evaluation of injector location and nozzle design in a direct-injection hydrogen research engine. In Proceedings of the 2008 SAE International Powertrains, Fuels and Lubricants Congress, Shanghai, China, 23–25 June 2008. No. 2008-01-1785. [Google Scholar]
- Eichlseder, H.; Wallner, T.; Freymann, R.; Ringler, J. The potential of hydrogen internal combustion engines in a future mobility scenario. SAE 2003, No. 2003-01-2267. [Google Scholar] [CrossRef]
- Salazar, V.M.; Kaiser, S.A. An optical study of mixture preparation in a hydrogen-fueled engine with direct injection using different nozzle designs. SAE 2009, 2, 119–131. [Google Scholar] [CrossRef]
- Takagi, Y.; Oikawa, M.; Sato, R.; Kojiya, Y.; Mihara, Y. Near-zero emissions with high thermal efficiency realized by optimizing jet plume location relative to combustion chamber wall, jet geometry and injection timing in a direct-injection hydrogen engine. Int. J. Hydrog. Energy 2019, 44, 9456–9465. [Google Scholar] [CrossRef]
- Koyanagi, K.; Hiruma, M.; Yamane, K.; Furuhama, S. Effect of hydrogen jet on mixture formation in a high-pressure injection hydrogen fueled engine with spark ignition. SAE 1993, No. 931811. [Google Scholar] [CrossRef]
- Sukumaran, S.; Kong, S. Numerical study on mixture formation characteristics in a direct-injection hydrogen engine. Int. J. Hydrog. Energy 2010, 35, 7991–8007. [Google Scholar] [CrossRef]
- Verhelst, S.; Demuynck, J.; Sierens, R.; Scarcelli, R.; Matthias, N.S.; Wallner, T. Update on the progress of hydrogen-fueld internal combustion engines. In Renewable Hydrogen Technologies; Elsevier: Amsterdam, The Netherlands, 2013; pp. 381–400. [Google Scholar]
- Yang, J.; Ji, C.; Wang, S.; Wang, D.; Shi, C.; Ma, Z.; Zhang, B. Numerical study of hydrogen direct injection strategy on mixture formation and combustion process in a partially premixed gasoline Wankel rotary engine. Energy Convers. Manag. 2018, 176, 184–193. [Google Scholar] [CrossRef]
- Fan, B.; Zhang, Y.; Pan, J.; Liu, Y.; Chen, W.; Otchere, P.; Wei, A.; He, R. The influence of hydrogen injection strategy on mixture formation and combustion process in a port injection (PI) rotary engine fueled with natural gas/hydrogen blends. Energy Convers. Manag. 2018, 173, 527–538. [Google Scholar] [CrossRef]
- Kaiser, S.; White, C.M. PIV and PLIF to evaluate mixture formation in a direct-injection hydrogen-fuelled engine. SAE 2008, 1, 657–668. [Google Scholar] [CrossRef]
- Wimmer, A.; Wallner, T.; Ringler, J.; Gerbig, F. H2-direct injection—A highly promising combustion concept. SAE 2005, No. 2005-01-0108. [Google Scholar] [CrossRef]
- Messner, D.; Wimmer, A.; Udo, G.; Gerbig, F. Application and validation of the 3D CFD method for a hydrogen fueled IC engine with internal mixture formation. SAE 2006, No. 2006-01-0448. [Google Scholar] [CrossRef]
- White, C.M. A qualitative evaluation of mixture formation in a direct-injection hydrogen-fuelled engine. SAE 2007, No. 2007-01-1467. [Google Scholar] [CrossRef]
- Keskinen, K.; Kaario, O.; Nuutinen, M.; Vuorinen, V.; Künsch, Z.; Liavåg, O.L.; Larmi, M. Mixture formation in a direct injection gas engine: Numerical study on nozzle type, injection pressure and injection timing effects. Energy 2016, 94, 542–556. [Google Scholar] [CrossRef]
- Li, Y. Research on Combustion and Knock Formation Mechanism of Hydrogen Direct Injection Internal Combustion Engine; Tianjin University School of Mechanical and Engineering: Tianjin, China, 2022. [Google Scholar]
- Nande, A.M.; Szwaja, S.; Naber, J.D. Impact on EGR on combustion processes in a hydrogen fuelled SI engine. SAE 2008, No. 2008-01-1039. [Google Scholar] [CrossRef]
- Wallner, T.; Nande, A.M.; Naber, J. Influence of water injection on performance and emissions of a direct-injection hydrogen research engine. In Proceedings of the SAE Powertrains, Fuels and Lubricants Meeting, Rosemont, IL, USA, 6–9 October 2008. No. 2008-01-2377. [Google Scholar]
- Xu, P.Y.; Ji, C.W.; Wang, S.D.; Cong, X.; Ma, Z.; Tang, C.; Meng, H.; Shi, C. Effects of direct water injection on engine performance in a hydrogen (H2)-fueled engine at varied amounts of injected water and water injection timing. Int. J. Hydrog. Energy 2020, 45, 13523–13534. [Google Scholar] [CrossRef]
- Wang, X.; Sun, B.G.; Luo, Q.H. Energy and exergy analysis of a turbocharged hydrogen internal combustion engine. Int. J. Hydrog. Energy 2019, 44, 5551–5563. [Google Scholar] [CrossRef]
- Szwaja, S.N.J. Exhaust gas recirculation strategy in the hydrogen SI engine. J. KONES Powertrain Transp. 2007, 14, 457–464. [Google Scholar]
- Marcus, F.; Stefan, S.; Stefan, P.; Jorg, S.; Ulrich, K.; Thomas, L. Operation principles for hydrogen spark ignited direct injection engines for passenger car application. International. J. Hydrog. Energy 2022, 47, 5638–5649. [Google Scholar]
- Scholl, F.; Gerisch, P.; Neher, D.; Kettner, M.; Langhorst, T.; Koch, T.; Klaissle, M. Development of a NOx storage-reduction catalyst based min-NOx strategy for small-scale NG-fueled gas engines. SAE Int. J. Fuels Lubr. 2016, 9, 734–749. [Google Scholar] [CrossRef]
- Borchers, M.; Keller, K.; Lott, P.; Deutschmann, O. Selective catalytic reduction of NOx with H2 for cleaning exhausts of hydrogen engines: Impact of H2O, O2, and NO/H2 ratio. Ind. Eng. Chem. Res. 2021, 60, 6613–6626. [Google Scholar] [CrossRef]
- Zhang, Y.Y.; Zeng, H.; Jia, B.; Wang, Z.H.; Liu, Z.M. Selective catalytic reduction of NOx by H2 over Pd/TiO2 catalyst. Chin. J. Catal. 2019, 40, 849–855. [Google Scholar] [CrossRef]
- Zhao, X.; Wang, H.; Liu, D.; Zheng, Z.; Yao, M. Effects of octane sensitivity on knocking combustion under modern SI engine operating conditions. Proc. Combust. Inst. 2021, 38, 5897–5904. [Google Scholar] [CrossRef]
- Rahmouni, C.; Brecq, G.; Tazerout, M.; Le Corre, O. Knock rating of gaseous fuels in a single cylinder spark ignition engine. Fuel 2004, 83, 327–336. [Google Scholar] [CrossRef]
- Klimstra, J.; Hernaez, A.B.; Bouwman, W.H.; Gerard, A.; Karll, b.; Quinto, V.; Roberts, G.R.; Schollmeyer, H. Classification methods for the knock resistance of gaseous fuels e an attempt toward unification. ASME ICE 1999, 33, 127–135. [Google Scholar]
- Attar, A.A.; Karim, G.A. Knock rating of gaseous fuels. J. Eng. Gas Turbines Power 2003, 125, 500–504. [Google Scholar] [CrossRef]
- Karim, G.A. Hydrogen as a spark ignition engine fuel. Int. J. Hydrog. Energy 2003, 28, 569–577. [Google Scholar] [CrossRef]
- Li, H.; Karim, G.A. Knock in spark ignition hydrogen engines. Int. J. Hydrog. Energy 2004, 29, 859–865. [Google Scholar] [CrossRef]
- Szwaja, S.; Naber, J.D. Dual nature of hydrogen combustion knock. Int. J. Hydrog. Energy 2013, 38, 12489–12496. [Google Scholar] [CrossRef]
- Feng, H.; Wei, J.; Zhang, J. Numerical analysis of knock combustion with methanol-isooctane blends in downsized SI engine. Fuel 2019, 236, 394–403. [Google Scholar] [CrossRef]
- Ye, Y.; Gao, W.; Li, Y.; Zhang, P.; Cao, X. Numerical study of the effect of injection timing on the knock combustion in a direct-injection hydrogen engine. Int. J. Hydrog. Energy 2020, 45, 27904–27919. [Google Scholar] [CrossRef]
- Chen, L.; Wei, H.; Zhang, R.; Pan, J.; Zhou, L.; Liu, C. Effects of late injection on lean combustion characteristics of methane in a high compression ratio optical engine. Fuel 2019, 255, 115718. [Google Scholar] [CrossRef]
- Zhu, Z.; Zhong, X.; Zhao, X.; Wang, Y.; Zheng, Z.; Yao, M.; Wang, H. Numerical investigation on combustion system optimization of stoichiometric operation natural gas engine based on knocking boundary extension. Fuel 2021, 290, 120092. [Google Scholar] [CrossRef]
- Antunes GJ, M.; Mikalsen, R.; Roskilly, A.P. An experimental study of a direct injection compression ignition hydrogen engine. Int. J. Hydrog. Energy 2009, 34, 6516–6522. [Google Scholar] [CrossRef]
- Taghavifar, H.; Anvari, S.; Parvishi, A. Benchmarking of water injection in a hydrogen-fueled diesel engine to reduce emissions. Int. J. Hydrog. Energy 2017, 42, 11962–11975. [Google Scholar] [CrossRef]
- Xu, H.; Ni, X.; Su, X.; Xiao, B.; Luo, Y.; Zhang, F.; Weng, C.; Yao, C. Experimental and numerical investigation on effects of pre-ignition positions on knock of hydrogen fuel. Int. J. Hydrog. Energy 2021, 46, 26631–26645. [Google Scholar] [CrossRef]
- Xue, Y.; Wang, B.; Lu, X.C.; Zhu, Y.; Cao, Y. A study of knock in engine fueled with hydrogen. Renew. Energy 2007, 25, 53–56. [Google Scholar]
- He, X.; Qi, Y.; Wang, Z.; Wang, J.; Shuai, S.; Tao, L. Visualization of the mode shapes of pressure oscillation in a cylindrical cavity. Combust. Sci. Technol. 2015, 187, 1610–1619. [Google Scholar] [CrossRef]
- Luo, Q.; Sun, B. Inducing factors and frequency of combustion knock in hydrogen internal combustion engines. Int. J. Hydrog. Energy 2016, 41, 16296–16305. [Google Scholar] [CrossRef]
- Towers, J.; Hoekstra, R. Engine knock, a renewed concern in motorsports—A literature review. SAE 1998, 107, 2329–2343. [Google Scholar]
- Russ, S. A review of the effect of engine operating conditions on borderline knock. SAE 1996, No. 960497. [Google Scholar] [CrossRef]
- Brusca, S.; Galvagno, A.; Lanzafame, R.; Mauro, M.; Messina, M. Fuels with low octane number: Water injection as knock control method. Heliyon 2019, 5, e01259. [Google Scholar] [CrossRef]
- Liu, Y.; Zhang, Y.; Liu, X.; Liu, Z.; Che, D. Experimental and numerical investigation on premixed H2/air combustion. Int. J. Hydrog. Energy 2016, 41, 10496–10506. [Google Scholar] [CrossRef]
- Dharamshi, K.; Srivastava, D.K.; Agarwal, A.K. Combustion characteristics and flame-kernel development of a laser ignited hydrogen–air mixture in a constant volume combustion chamber. Int. J. Hydrog. Energy 2014, 39, 593–601. [Google Scholar] [CrossRef]
- Salvi, B.L.; Subramanian, K.A. Experimental investigation on effects of compression ratio and exhaust gas recirculation on backfire, performance and emission characteristics in a hydrogen fuelled spark ignition engine. Int. J. Hydrog. Energy 2016, 41, 5842–5855. [Google Scholar] [CrossRef]
- Duan, J.F. Combustion and Emission Formation Mechanisms of Hydrogen Fueled Internal Combustion Engine Under Diluted Conditions; Beijing Institute of Technology School of Mechanical Engineering: Beijing, China, 2015. [Google Scholar]
- Shrestha, S.B.; Rodrigues, R. Effects of diluents on knock rating of gaseous fuels. Proc. Inst. Mech. Eng. Part A J. Power Energy 2008, 222, 587–597. [Google Scholar] [CrossRef]
- Gadallah, A.; Elshenawy, E.; Elzahaby, A.; El-Salmawy, H.A.; Bawady, A.H. Effect of in cylinder water injection strategies on performance and emissions of a hydrogen fuelled direct injection engine. SAE 2006, No. 2009-01-1925. [Google Scholar] [CrossRef]
- Subramanian, V.; Mallikarjuna, J.; Ramesh, A. Effect of water injection and spark timing on the nitric oxide emission and combustion parameters of a hydrogen fuelled spark ignition engine. Int. J. Hydrog. Energy 2007, 32, 1159–1173. [Google Scholar] [CrossRef]
- Wu, X.; Liu, K.; Liu, Q.; Fu, J.; Liu, J. Effects of direct water injection timings on knock suppression, combustion, and emission performance of high compression ratio hydrogen-enriched natural gas engine. Energy Convers. Manag. 2021, 250, 114887. [Google Scholar] [CrossRef]
- Fan, Y.; Wu, T.; Xiao, D.; Xu, H.; Xu, M. Effect of port water injection on the characteristics of combustion and emissions in a spark ignition direct injection engine. Fuel 2021, 283, 119271. [Google Scholar] [CrossRef]
- Millo, F.; Mirzaeian, M.; Rolando, L.; Bianco, A.; Poatrioti, L. A methodology for the assessment of the knock mitigation potential of a port water injection system. Fuel 2021, 283, 119251. [Google Scholar] [CrossRef]












| Fuel Characteristics | Gasoline | Diesel | Methane | Hydrogen | |
|---|---|---|---|---|---|
| Condition (normal temperature and pressure) | liquid | liquid | gas | gas | |
| Atomic ratio | C | 85 | 86 | 75 | 0 |
| H | 15 | 14 | 25 | 100 | |
| O | 0 | 0 | 0 | 0 | |
| Density (kg/m3) | 720–780 | 830–855 | 0.65 | 0.071 | |
| Mass diffusivity in air (cm2/s) | 0.005 | - | 0.16 | 0.61 | |
| Lower heating value (MJ/kg) | 44.5 | 42.5 | 55.5 | 120 | |
| Auto-ignition temperature (℃) | 228–541 | 210 | 540 | 585 | |
| Flashpoint (℃) | −45 | 62 | −188 | −231 | |
| Minimum ignition energy (mJ) | 0.24 | 0.24 | 0.29 | 0.02 | |
| Flammability limits (Lambda) | 0.4–1.4 | 0.5–1.3 | 0.7–2.1 | 0.14–10 | |
| Stoichiometric air-to-fuel ratio (kg/kg) | 14.7 | 14.3 | 17.24 | 34.2 | |
| Laminar burning velocity (m/s) | 0.37–0.43 | 0.37–0.43 | 0.37–0.43 | 2.65–3.25 | |
| quenching distance (cm) | 0.2 | - | 0.203 | 0.064 | |
| Injection Timing | Advantages | Disadvantages |
|---|---|---|
| Early injection | Uniform mixture and reduced sensitivity to SOI and injection pressure. | High negative compression work, combustion instability at lean burn. |
| Late injection | Low negative compression work, stratified mixture, high turbulence intensity, and high combustion rate. | Increased NOx emission, high injection pressure required, and high combustion temperature. |
| Parameter | Value |
|---|---|
| Speed (rpm) | 2000 |
| Compression Ratio | 12, 15 |
| Intake Pressure (MPa) | 0.1 |
| Hydrogen-Injection Pressure (MPa) | 10 |
| Injection Timing (°BTDC) | 125 |
| Ignition Timing (°BTDC) | 5 |
| Equivalence Ratio | 0.3, 0.5, 0.7, 0.9, 1.1 |
| Parameter | Value | |
|---|---|---|
| Speed (rpm) | 2000 | |
| Compression Ratio | 15 | |
| Intake Temperature (K) | 309.15 | |
| Case 1 | Intake Pressure (MPa) | 0.1, 0.12, 0.15,0.2 |
| Equivalence Ratio | 0.5 | |
| Case 2 | Intake Pressure (MPa) | 0.1, 0.12, 0.15, 0.2 |
| Equivalence Ratio | 0.5, 0.41, 0.33, 0.25 | |
| Hydrogen Mass (mg) | 14.88 | |
Publisher’s Note: MDPI stays neutral with regard to jurisdictional claims in published maps and institutional affiliations. |
© 2022 by the authors. Licensee MDPI, Basel, Switzerland. This article is an open access article distributed under the terms and conditions of the Creative Commons Attribution (CC BY) license (https://creativecommons.org/licenses/by/4.0/).
Share and Cite
Gao, W.; Fu, Z.; Li, Y.; Li, Y.; Zou, J. Progress of Performance, Emission, and Technical Measures of Hydrogen Fuel Internal-Combustion Engines. Energies 2022, 15, 7401. https://doi.org/10.3390/en15197401
Gao W, Fu Z, Li Y, Li Y, Zou J. Progress of Performance, Emission, and Technical Measures of Hydrogen Fuel Internal-Combustion Engines. Energies. 2022; 15(19):7401. https://doi.org/10.3390/en15197401
Chicago/Turabian StyleGao, Wenzhi, Zhen Fu, Yong Li, Yuhuai Li, and Jiahua Zou. 2022. "Progress of Performance, Emission, and Technical Measures of Hydrogen Fuel Internal-Combustion Engines" Energies 15, no. 19: 7401. https://doi.org/10.3390/en15197401
APA StyleGao, W., Fu, Z., Li, Y., Li, Y., & Zou, J. (2022). Progress of Performance, Emission, and Technical Measures of Hydrogen Fuel Internal-Combustion Engines. Energies, 15(19), 7401. https://doi.org/10.3390/en15197401
