Thermodynamic Performance of Geothermal Energy Cascade Utilization for Combined Heating and Power Based on Organic Rankine Cycle and Vapor Compression Cycle
Abstract
1. Introduction
2. Physical Modeling
3. Mathematical Modeling
- (1)
- The systems are modeled under steady state conditions [42];
- (2)
- The heat loss of the system and the flow resistance loss of working fluid are ignored [42];
- (3)
- The changes in kinetic and potential energy in the system are not considered [41];
- (4)
- The isentropic efficiency of the working fluid pump and turbine remain unchanged [43].
3.1. Thermodynamic Modeling
3.2. Techno-Economic Modeling
3.3. System Parameters
3.4. Validation
4. Results and Discussion
4.1. Thermodynamic Performance
4.1.1. The Influence of Volume Flow Rate
4.1.2. The Influence of Evaporation Temperature
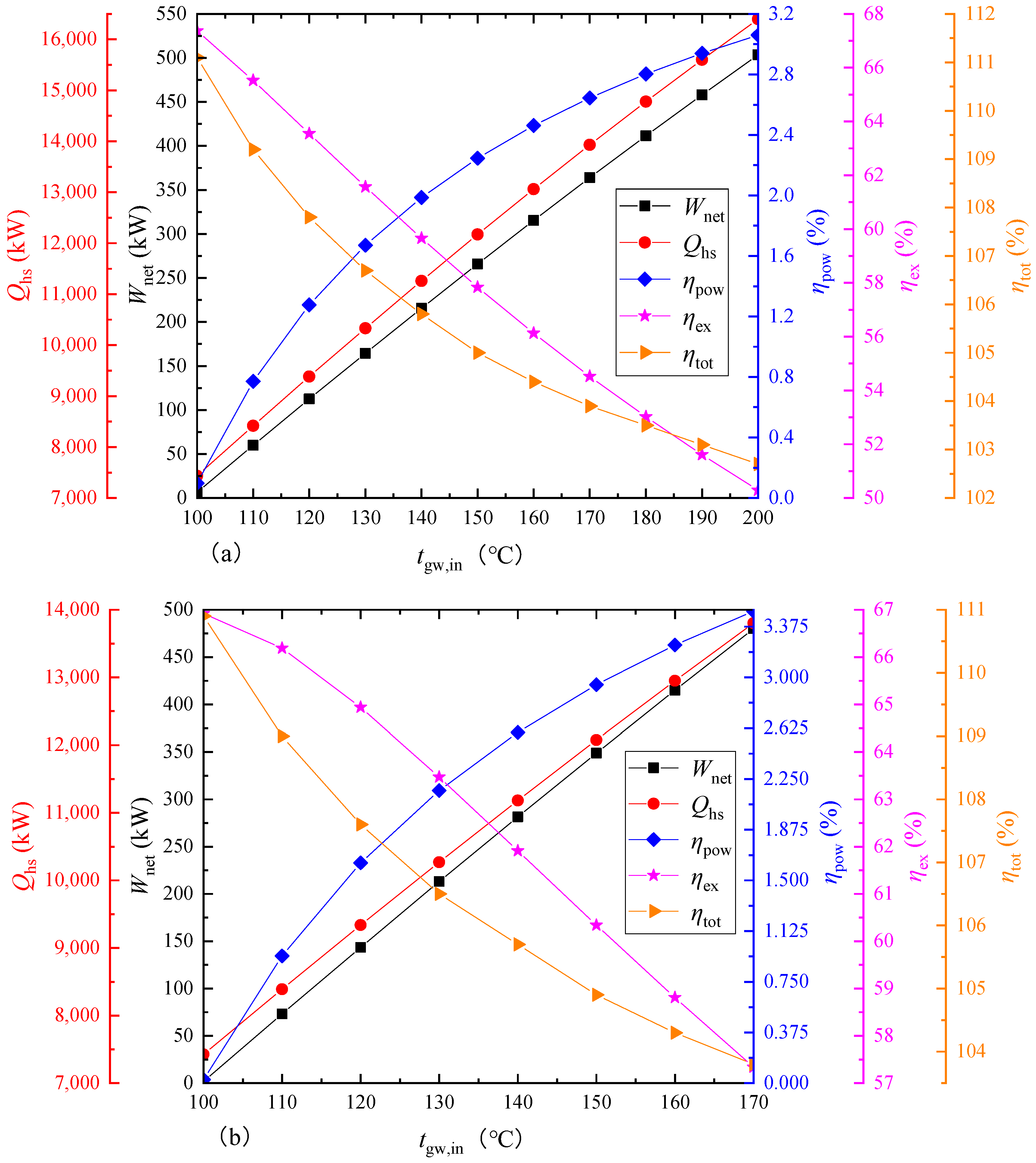
4.1.3. The Influence of Heat Source Temperature
4.2. Techno-Economic Performance
4.2.1. The Influence of Volume Flow Rate
4.2.2. The Influence of Evaporation Temperature
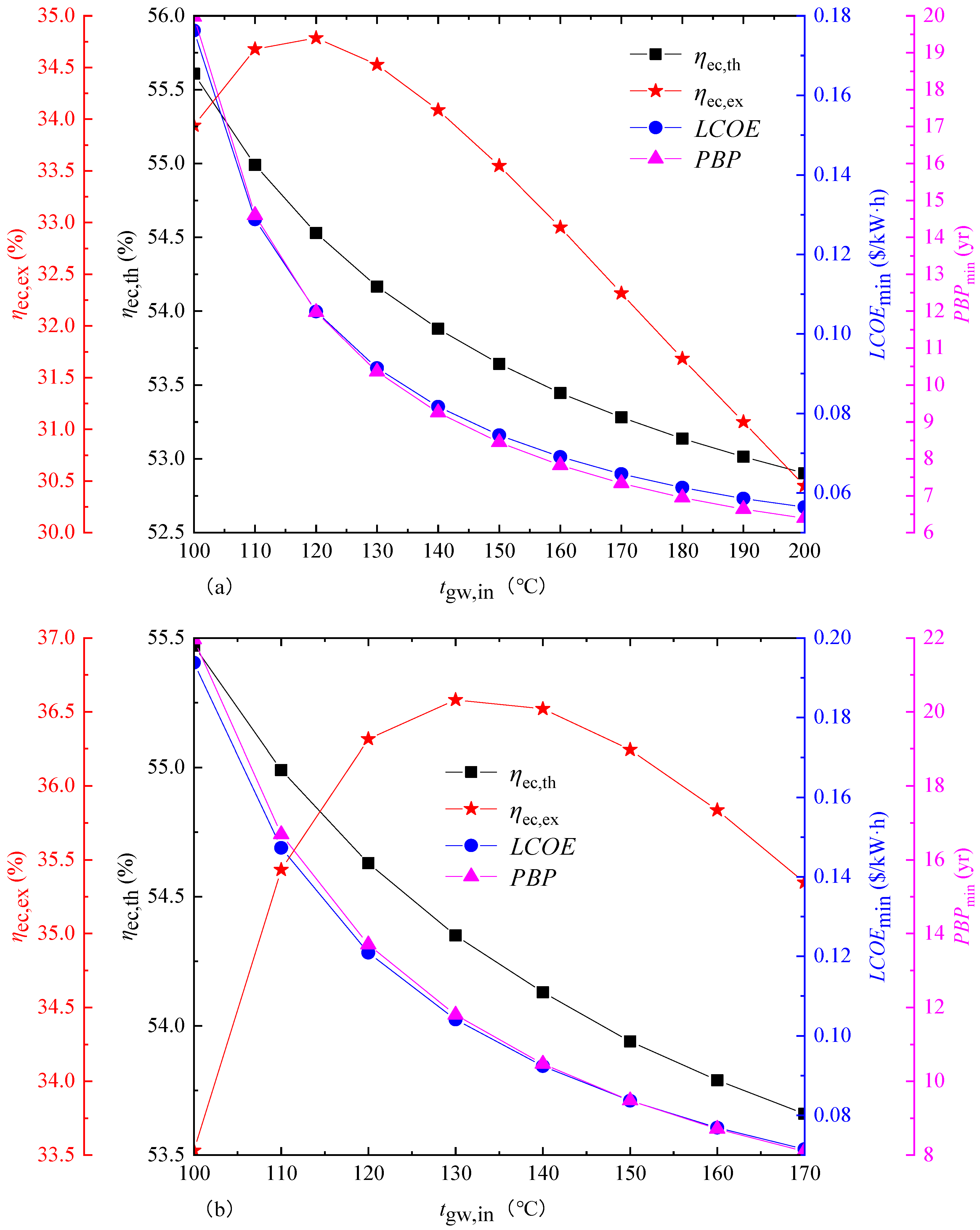
4.2.3. The Influence of Heat Source Temperature
5. Conclusions
- (1)
- The increase of volume flow will make the net power output and heating supply quantity of the system increase and LCOE and PBP decrease. Hence, the system performance will be better. In addition, when the heat source parameters are optimal, the system possesses excellent thermo-economic performance with the evaporation temperature that varies in the range 130–140 °C depending on the optimization objective function chosen.
- (2)
- The condition with lower heat source temperature has higher exergy efficiency and total efficiency, while the condition with higher heat source temperature has lower LCOE and PBP. Therefore, it is not only necessary to pursue whether the performance of a certain aspect is optimal in practical engineering applications, but two aspects of thermodynamics and economic performance should be considered comprehensively.
- (3)
- Both systems can achieve high energy utilization, and the exergetic efficiency can reach more than 60%. However, by comparing the exergetic efficiency and economic evaluation indicators of the two systems, the thermodynamic and economic performance of the TORC-VCC-CHP system is better than that of the ORC-VCC-CHP system.
- (4)
- There is a conflicting relationship between the net power output and heating supply quantity for both systems, the higher the net power output, the lower the heating supply quantity, vice versa. Therefore, in engineering applications, it is necessary to allocate between them according to the actual needs of users.
Author Contributions
Funding
Data Availability Statement
Conflicts of Interest
Nomenclature
| W | Power output (kW) |
| m | Mass flow rate (kg/s) |
| h | Specific enthalpy (kJ/kg) |
| g | Acceleration of gravity (m/s2) |
| H | Head of pump (m) |
| Q | Heat quantity (kW) |
| E | Exergy (kW) |
| s | Specific entropy (kJ/(kg·°C)) |
| T | Temperature (K) |
| C | Cost ($) |
| i | Annual loan interest rate (%) |
| S | Electricity sales revenue ($) |
| t | Temperature (°C) |
| M | Molar mass |
| Greek symbols | |
| η | Efficiency (%) |
| α | Ratio of heating price to electricity price |
| Subscripts | |
| c | Condenser |
| e | Evaporator |
| wf1 | Working fluid of primary ORC |
| wf2 | Working fluid of secondary ORC |
| wf3 | Working fluid of VCC |
| rc | Recooler |
| hs | Heating supply |
| cp | Cooling water pump |
| cw | Cooling water |
| gw | Geothermal water |
| in | Inlet |
| out | Outlet |
| t | turbine |
| net | Net |
| com | Compressor |
| pow | Power generation |
| tot | Total |
| ex | Exergetic |
| ec | Economic |
| ev | Expansion valve |
| startup | Plant startup |
| TDC | Total depreciable capital |
| cont | contractor’s fee |
| DPI | Direct permanent investment |
| site | Site preparation |
| sf | Service facilities |
| ise | Isentropic |
| sh | Super heat |
| sc | Super cooling |
| m | Mechanical |
| g | Generator |
| pp | Pinch point |
| cri | Critical |
| b | Boiling point |
| 0 | Environment |
| 1~21 | State points |
| Superscript | |
| T | Life cycle time |
| Acronyms | |
| ORC | Organic Rankine cycle |
| TORC | Two-stage ORC |
| VCC | Vapor compression cycle |
| CHP | Combined heating and power |
| COP | Coefficient of performance |
| CEPCI | Chemical engineering plant cost index |
| CRF | Capital recovery factors |
| LCOE | Levelized cost of electricity |
| PBP | Payback period |
References
- Shortall, R.; Kharrazi, A. Cultural factors of sustainable energy development: A case study of geothermal energy in Iceland and Japan. Renew. Sustain. Energy Rev. 2017, 79, 101–109. [Google Scholar] [CrossRef]
- Zhu, J.L.; Hu, K.Y.; Lu, X.L.; Huang, X.X.; Liu, K.T.; Wu, X.J. A review of geothermal energy resources, development, and applications in China: Current status and prospects. Energy 2015, 93, 466–483. [Google Scholar] [CrossRef]
- Moya, D.; Aldas, C.; Kaparaju, P. Geothermal energy: Power plant technology and direct heat applications. Renew. Sustain. Energy Rev. 2018, 94, 889–901. [Google Scholar] [CrossRef]
- Aslan, A.; Yuksel, B.; Akyol, T. Energy analysis of different types of buildings in Gonen geothermal district heating system. Appl. Therm. Eng. 2011, 31, 2726–2734. [Google Scholar] [CrossRef]
- Kyriakis, S.A.; Younger, P.L. Towards the increased utilisation of geothermal energy in a district heating network through the use of a heat storage. Appl. Therm. Eng. 2016, 94, 99–110. [Google Scholar] [CrossRef]
- Meliss, A.C.; Sarah, D.M.; Brian, W. A history of geothermal direct use development in the Taupo Volcanic Zone, New Zealand. Geothermics 2016, 59, 215–224. [Google Scholar]
- Vaccari, M.; Pannocchia, G.; Tognotti, L.; Paci, M.; Bonciani, R. A rigorous simulation model of geothermal power plants for emission control. Appl. Energy 2020, 263, 114563. [Google Scholar] [CrossRef]
- Basosi, R.; Bonciani, R.; Frosali, D.; Manfrida, G.; Parisi, M.L.; Sansone, F. Life Cycle Analysis of a Geothermal Power Plant: Comparison of the Environmental Performance with Other Renewable Energy Systems. Sustainability 2020, 12, 2786. [Google Scholar] [CrossRef]
- An, Q.S.; Wang, Y.Z.; Zhao, J.; Luo, C.; Wang, Y. Direct utilization status and power generation potential of low-medium temperature hydrothermal geothermal resources in Tianjin, China: A review. Geothermics 2016, 64, 426–438. [Google Scholar] [CrossRef]
- Zeinab, A.; Hajizadeh, A.A. Thermoeconomic analysis of a novel combined cooling, heating and power system based on solar organic Rankine cycle and cascade refrigeration cycle. Renew. Energy 2021, 164, 1267–1283. [Google Scholar]
- Salhi, K.; Korichi, M.; Ramadan, K.M. Thermodynamic and thermo-economic analysis of compressionabsorption cascade refrigeration system using low-GWP HFO refrigerant powered by geothermal energy. Int. J. Refrig. 2018, 94, 214–229. [Google Scholar] [CrossRef]
- Hu, B.; Guo, J.J.; Yang, Y.; Shao, Y.Y. Optimization of low temperature geothermal organic Rankine power generation system. Energy Rep. 2022, 08, 129–138. [Google Scholar] [CrossRef]
- Reyhaneh, L.; Omid, M.; Gholamhassan, N.; Ahmet, S.Z.; Fatemeh, R.; Alibakhsh, K.; Mehdi, M.; Evangelos, B.; Willem, L.R.G. A critical review of power generation using geothermal-driven organic Rankine cycle. Therm. Sci. Eng. Prog. 2021, 25, 101028. [Google Scholar]
- Lee, H.Y.; Park, S.H.; Kim, K.H. Comparative analysis of thermodynamic performance and optimization of organic flash cycle (OFC) and organic Rankine cycle (ORC). Appl. Therm. Eng. 2016, 100, 680–690. [Google Scholar] [CrossRef]
- Wang, Q.; Wu, W.F.; Li, D.T.; Wang, J.F.; He, Z.L. Thermodynamic analysis and optimization of four organic flash cycle systems for waste heat recovery. Energy Convers. Manag. 2020, 221, 113171. [Google Scholar] [CrossRef]
- Liu, X.; Li, H.S.; Bu, X.B.; Wang, L.B.; Xie, N.; Zeng, J. Performance characteristics and working fluid selection for low-temperature binary-flashing cycle. Appl. Therm. Eng. 2018, 141, 51–60. [Google Scholar] [CrossRef]
- Paixão, V.P.; Franco, L.F.M.; Dangelo, J.V.H. Thermoeconomic analysis of conventional and recuperative ORC for heat recovery of exothermic reactions. Therm. Sci. Eng. Prog. 2022, 33, 101347. [Google Scholar] [CrossRef]
- Zheng, Z.Y.; Cao, J.Y.; Wu, W.; Leung, M.K.H. Parallel and in-series arrangements of zeotropic dual-pressure Organic Rankine Cycle (ORC) for low-grade waste heat recovery. Energy Rep. 2022, 8, 2630–2645. [Google Scholar] [CrossRef]
- White, M.T. Cycle and turbine optimisation for an ORC operating with two-phase expansion. Appl. Therm. Eng. 2021, 192, 116852. [Google Scholar] [CrossRef]
- Sindu, D.; Piotr, K.; Attila, R.I. Thermodynamic efficiency of trilateral flash cycle, organic Rankine cycle and partially evaporated organic Rankine cycle. Energy Convers. Manag. 2021, 249, 114731. [Google Scholar]
- Wang, Q.L.; Li, T.L.; Jia, Y.N.; Zhang, W.M. Thermodynamic performance comparison of series and parallel two-stage evaporation vapor compression refrigeration cycle. Energy Rep. 2021, 7, 1616–1626. [Google Scholar] [CrossRef]
- Grauberger, A.; Young, D.; Bandhauer, T. Off-design performance of an organic Rankine-vapor compression cooling cycle using R1234ze(E). Appl. Energy 2022, 321, 119421. [Google Scholar] [CrossRef]
- Grauberger, A.; Young, D.; Bandhauer, T. Experimental validation of an organic rankine-vapor compression cooling cycle using low GWP refrigerant R1234ze(E). Appl. Energy 2022, 307, 118242. [Google Scholar] [CrossRef]
- Ashwni; Sherwani, A.F. Analysis of organic Rankine cycle integrated multi evaporator vapor-compression refrigeration (ORC-mVCR) system. Int. J. Refrig. 2022, 138, 233–243. [Google Scholar]
- Zhang, S.J.; Wang, H.X.; Guo, T. Theoretical investigation on working fluids of two-stage vapor compression high temperature heat pump. J. Eng. Thermophys. 2010, 31, 1635–1638. (in Chinese). [Google Scholar]
- Liu, J.; Lu, Y.L.; Tian, X.; Niu, J.L.; Lin, Z. Performance analysis of a dual temperature heat pump based on ejector-vapor compression cycle. Energy Build. 2021, 248, 111194. [Google Scholar] [CrossRef]
- Subha, M.; Sudipta, D. Performance assessment of a low-grade heat driven dual ejector vapour compression refrigeration cycle. Appl. Therm. Eng. 2020, 179, 115782. [Google Scholar]
- Wang, K.; Cao, F.; Wang, S.G.; Xing, Z.W. Investigation of the performance of a high temperature heat pump using parallel cycles with serial heating on the water side. Int. J. Refrig. 2010, 33, 1142–1151. [Google Scholar] [CrossRef]
- Self, S.J.; Reddy, B.V.; Rosen, M.A. Ground source heat pumps for heating: Parametric energy analysis of a vapor compression cycle utilizing an economizer arrangement. Appl. Therm. Eng. 2013, 52, 245–254. [Google Scholar] [CrossRef]
- Jin, T. The effectiveness of combined heat and power (CHP) plant for carbon mitigation: Evidence from 47 countries using CHP plants. Sustain. Energy Technol. Assess. 2022, 50, 101809. [Google Scholar] [CrossRef]
- Liao, C.H.; Ertesvåg, I.S.; Zhao, J.N. Energetic and exergetic efficiencies of coal-fired CHP (combined heat and power) plants used in district heating systems of China. Energy 2013, 57, 671–681. [Google Scholar] [CrossRef]
- Ryszard, B.; Zbigniew, B.; Anna, H.S.; Tomasz, K. Thermodynamic and economic comparative analyses of a hierarchic gas-gas combined heat and power (CHP) plant coupled with a compressor heat pump. Energy 2022, 244, 123116. [Google Scholar]
- Braimakis, K.; Despina, M.S.; Dimitrios, G.; Sotirios, K. Energy-exergy analysis of ultra-supercritical biomass-fuelled steam power plants for industrial CHP, district heating and cooling. Renew. Energy 2020, 154, 252–269. [Google Scholar] [CrossRef]
- Wang, J.Y.; Wang, J.F.; Zhao, P.; Dai, Y.P. Proposal and thermodynamic assessment of a new ammonia-water based combined heating and power (CHP) system. Energy Convers. Manag. 2019, 184, 277–289. [Google Scholar] [CrossRef]
- Wang, X.W.; Duan, L.Q. Peak regulation performance study of the gas turbine combined cycle based combined heating and power system with gas turbine interstage extraction gas method. Energy Convers. Manag. 2022, 269, 116103. [Google Scholar] [CrossRef]
- Liu, M.M.; Liu, M.; Wang, Y.; Chen, W.X.; Yan, J.J. Thermodynamic optimization of coal-fired combined heat and power (CHP) systems integrated with steam ejectors to achieve heat–power decoupling. Energy 2021, 229, 120707. [Google Scholar] [CrossRef]
- Ebadollahi, M.; Rostamzadeh, H.; Pedram, M.Z.; Ghaebi, H.; Amidpour, M. Proposal and multi-criteria optimization of two new combined heating and power systems for the Sabalan geothermal source. J. Clean. Prod. 2019, 229, 1065–1081. [Google Scholar] [CrossRef]
- Sun, F.T.; Fu, L.; Sun, J.; Zhang, S.G. A new waste heat district heating system with combined heat and power (CHP) based on ejector heat exchangers and absorption heat pumps. Energy 2014, 69, 516–524. [Google Scholar] [CrossRef]
- Mehregan, M.; Abbasi, M.; Majid, H.S. Technical, economic and environmental analyses of combined heat and power (CHP) system with hybrid prime mover and optimization using genetic algorithm. Sustain. Energy Technol. Assess. 2022, 49, 101697. [Google Scholar] [CrossRef]
- Benalcazar, P. Optimal sizing of thermal energy storage systems for CHP plants considering specific investment costs: A case study. Energy 2021, 234, 121323. [Google Scholar] [CrossRef]
- Bao, Z.J.; Ye, Y.L.; Liu, R.J.; Cheng, W.D.; Zhao, Q.; Wu, T. Scheduling coordination of back pressure CHP coupled electricity-heat energy system with adaptive constraint strategy to accommodate uncertain wind power. Energy 2022, 240, 122791. [Google Scholar] [CrossRef]
- Xu, T.F.; Yuan, Y.L.; Jia, X.F.; Lei, Y.D.; Li, S.T.; Feng, B.; Hou, Z.Y.; Jiang, Z.J. Prospects of power generation from an enhanced geothermal system by water circulation through two horizontal wells: A case study in the Gonghe Basin, Qinghai Province, China. Energy 2018, 148, 196–207. [Google Scholar] [CrossRef]
- Wang, E.H.; Zhang, H.G.; Fan, B.Y.; Ouyang, M.G.; Zhao, Y.; Mu, Q.H. Study of working fluid selection of organic Rankine cycle (ORC) for engine waste heat recovery. Energy 2011, 36, 3406–3418. [Google Scholar] [CrossRef]
- Zhu, Y.L.; Li, W.Y.; Li, J.; Li, H.J.; Wang, Y.Z.; Li, S. Thermodynamic analysis and economic assessment of biomass-fired organic Rankine cycle combined heat and power system integrated with CO2 capture. Energy Convers. Manag. 2020, 204, 112310. [Google Scholar] [CrossRef]
- Oliveira, N.R.D.; Rodriguez, S.C.A.; Coronado, C.J.R. Off-design model of an ORC system for waste heat recovery of an internal combustion engine. Appl. Therm. Eng. 2021, 195, 117188. [Google Scholar]
- Meng, F.X.; Wang, E.H.; Zhang, B.; Zhang, F.J.; Zhao, C.L. Thermo-economic analysis of transcritical CO2 power cycle and comparison with Kalina cycle and ORC for a low-temperature heat source. Energy Convers. Manag. 2019, 195, 1295–1308. [Google Scholar] [CrossRef]
- Meng, N.; Li, T.L.; Gao, X.; Liu, Q.H.; Li, X.L.; Gao, H.Y. Thermodynamic and techno-economic performance comparison of two-stage series organic Rankine cycle and organic Rankine flash cycle for geothermal power generation from hot dry rock. Appl. Therm. Eng. 2022, 200, 117715. [Google Scholar] [CrossRef]
- Ghaebi, H.; Saidi, M.H.; Ahmadi, P. Exergoeconomic optimization of a trigeneration system for heating, cooling and power production purpose based on TRR method and using evolutionary algorithm. Appl. Therm. Eng. 2012, 36, 113–125. [Google Scholar] [CrossRef]
- Kolahi, M.; Yari, M.; Mahmoudi, S.M.S.; Mohammadkhani, F. Thermodynamic and economic performance improvement of ORCs through using zeotropic mixtures: Case of waste heat recovery in an offshore platform. Case Stud. Therm. Eng. 2016, 8, 51–70. [Google Scholar] [CrossRef]
- Hong, G. Evaluate and Optimize to Combined Heating and Power-Organic Rankine Cycle System with Low Grade Heat Source. Master’s Thesis, Chongqing University, Chongqing, China, 2012. (In Chinese). [Google Scholar]
- Dai, X.Y.; Shi, L.; An, Q.S.; Qian, W.Z. Thermal stability of some hydrofluorocarbons as supercritical ORCs working fluids. Appl. Therm. Eng. 2018, 128, 1095–1101. [Google Scholar] [CrossRef]
- Li, T.L.; Jia, Y.N.; Wang, J.Q.; Meng, N.; Liu, Q.H.; Qin, H.S. Energy, economic and environmental evaluation of a novel combined cooling and power system characterized by temperature and humidity independent control. Energy Convers. Manag. 2020, 215, 112929. [Google Scholar] [CrossRef]
- Lo Basso, G.; Nastasi, B.; Salata, F.; Golasi, I. Energy retrofitting of residential buildings—How to couple Combined Heat and Power (CHP) and Heat Pump (HP) for thermal management and off-design operation. Energy Build. 2017, 151, 293–305. [Google Scholar] [CrossRef]











| Components | ORC-VCC-CHP | TORC-VCC-CHP | ||
|---|---|---|---|---|
| Primary ORC Sub-Cycle | Secondary ORC Sub-Cycle | |||
| ORC sub-cycle | Evaporator | |||
| turbine | ||||
| Condenser | ||||
| Working fluid pump | ||||
| VCC sub-cycle | Evaporator | |||
| Compressor | ||||
| Condenser | ||||
| Recooler | ||||
| Components | Exergy/kW |
|---|---|
| Condenser Ⅰ | |
| Condenser Ⅱ | |
| Recooler | |
| Condenser Ⅲ (Only for TORC-VCC-CHP) | |
| Heating supply exergy |
| Parameters | ORC-VCC-CHP | TORC-VCC-CHP |
|---|---|---|
| Power consumption of cooling water pump/kW | (i = 1,2,3) | (i = 1,2,3,4) |
| Heating supply quantity/kW | ||
| Power output of turbine/kW | ||
| Net power output/kW | ||
| Geothermal water heat release/kW | ||
| Power generation efficiency/% | ||
| Total efficiency/% | ||
| Geothermal water exergy/kW | ||
| Exergetic efficiency/% | ||
| Components | Components Module Cost Models | ||
|---|---|---|---|
| Evaporator (plate heat exchanger) | |||
| Condenser (plate heat exchanger) | |||
| Working fluid pump | |||
| Recooler (plate heat exchanger) | |||
| Cooling water pump | |||
| turbine | |||
| Compressor | |||
| Expansion valve | |||
| Components | Coefficients | |||||||||
|---|---|---|---|---|---|---|---|---|---|---|
| K1 | K2 | K3 | C1 | C2 | C3 | B1 | B2 | FM | Fbm | |
| Evaporator | 4.3247 | −0.3030 | 0.1634 | 0.03881 | −0.11272 | 0.08183 | 1.63 | 1.66 | 1.0 | / |
| Condenser | 4.3247 | −0.3030 | 0.1634 | 0.03881 | −0.11272 | 0.08183 | 1.63 | 1.66 | 1.0 | / |
| Working fluid pump | 3.3892 | 0.0536 | 0.1538 | −0.3935 | 0.3957 | −0.00226 | 1.89 | 1.35 | 1.5 | / |
| Recooler | 4.3247 | −0.3030 | 0.1634 | 0 | 0 | 0 | 1.63 | 1.66 | 1.0 | / |
| Cooling water pump | 3.3892 | 0.0536 | 0.1538 | 0 | 0 | 0 | 1.89 | 1.35 | 1.5 | / |
| turbine | 2.7051 | 1.4398 | −0.1776 | / | / | / | / | / | / | 3.5 |
| Parameters | Expressions |
|---|---|
| Total investment cost, Ctotal | |
| Total depreciable capital, CTDC | |
| Cost of contingencies and contractor’s fee, Ccont | |
| Total direct permanent investment, CDPI | |
| Cost of site preparation, Csite | |
| Cost of service facilities, Csf | |
| Cost of plant startup, Cstartup |
| Parameter | tgw/°C | Vgw/m3·h−1 | tcw,in/°C | tcw,out/°C | ηiso,t/% | ηise,com/% | ηise,p/% | tsh/°C | tsc/°C | Δtpp/°C | ηm/% | ηg/% | T0/K | P0/kPa |
|---|---|---|---|---|---|---|---|---|---|---|---|---|---|---|
| value | 100–200 | 50–100 | 35 | 45 | 75 | 75 | 60 | 3 | 3 | 5 | 95 | 95 | 277.25 | 72.19 |
| Substance | Physical Data | Environmental Date | Source | ||||
|---|---|---|---|---|---|---|---|
| R245fa | M/g·mol−1 | Tb/°C | Tcri/°C | Pcri/Mpa | ODP | GWP/100yr | [51,52] |
| 72.15 | 36.10 | 196.60 | 3.37 | 0 | −20 | ||
| Parameter | ηtot/% | ηex/% | ηec,ex/% |
|---|---|---|---|
| Reference value | 154.7 | 81.68 | 32.10 |
| Validation value | 158.3 | 77.94 | 33.10 |
| tgw,in/°C | ORC-VCC-CHP System | TORC-VCC-CHP System | ||||||||
|---|---|---|---|---|---|---|---|---|---|---|
| Wnet,max /kW | Qgr,max /kW | ηpow,max /% | ηex,max /% | ηtot,max /% | Wnet,max /kW | Qgr,max /kW | ηpow,max /% | ηex,max /% | ηtot,max /% | |
| 100 | 10.41 | 7443 | 0.1554 | 67.57 | 111.2 | 31.29 | 7439 | 0.4672 | 68.96 | 111.2 |
| 110 | 60.07 | 8510 | 0.7739 | 65.55 | 109.7 | 91.59 | 8506 | 1.180 | 67.28 | 109.6 |
| 120 | 121.0 | 9555 | 1.374 | 64.01 | 108.5 | 161.7 | 9545 | 1.835 | 65.88 | 108.4 |
| 130 | 193.3 | 10,577 | 1.964 | 62.81 | 107.5 | 242.8 | 10,603 | 2.468 | 64.77 | 107.5 |
| 140 | 277.2 | 11,584 | 2.555 | 61.89 | 106.8 | 333.4 | 11,582 | 3.073 | 63.82 | 106.7 |
| 150 | 372.9 | 12,552 | 3.149 | 61.21 | 106.1 | 433.0 | 12,554 | 3.657 | 63.02 | 106.1 |
| 160 | 480.8 | 13,525 | 3.754 | 60.72 | 105.6 | 541.9 | 13,505 | 4.230 | 62.35 | 105.6 |
| 170 | 601.5 | 14,447 | 4.737 | 60.41 | 105.2 | 660.5 | 14,434 | 4.801 | 61.83 | 105.1 |
| 180 | 735.9 | 15,381 | 5.013 | 60.27 | 104.8 | 789.4 | 15,343 | 5.378 | 61.43 | 104.7 |
| 190 | 885.3 | 16,248 | 5.683 | 60.30 | 104.5 | 930.0 | 16,238 | 5.970 | 61.19 | 104.4 |
| 200 | 1052 | 17,138 | 6.393 | 60.50 | 104.2 | 1087 | 16,989 | 6.606 | 61.13 | 104.0 |
| tgw,in/°C | ORC-VCC-CHP System | TORC-VCC-CHP System | ||||||
|---|---|---|---|---|---|---|---|---|
| ηec,th,max /% | ηec,ex,max /% | LCOEmin /$·(kW·h)−1 | PBPmin /yr | ηec,th,max /% | ηec,ex,max /% | LCOEmin /$·(kW·h)−1 | PBPmin /yr | |
| 100 | 55.60 | 34.19 | 0.1692 | 19.17 | 55.72 | 35.69 | 0.1571 | 17.80 |
| 110 | 55.02 | 34.70 | 0.1288 | 14.60 | 55.18 | 36.57 | 0.1186 | 13.44 |
| 120 | 54.64 | 35.24 | 0.1029 | 11.65 | 54.84 | 37.26 | 0.09425 | 10.68 |
| 130 | 54.40 | 35.82 | 0.08482 | 9.609 | 54.62 | 37.92 | 0.07743 | 8.772 |
| 140 | 54.25 | 36.43 | 0.07157 | 8.108 | 54.49 | 38.50 | 0.06509 | 7.375 |
| 150 | 54.18 | 37.08 | 0.06144 | 6.961 | 54.43 | 39.04 | 0.05575 | 6.316 |
| 160 | 54.17 | 37.81 | 0.05345 | 6.055 | 54.43 | 39.56 | 0.04847 | 5.491 |
| 170 | 54.20 | 38.57 | 0.04700 | 5.325 | 54.48 | 40.09 | 0.04267 | 4.835 |
| 180 | 54.28 | 39.40 | 0.04168 | 4.722 | 54.56 | 40.66 | 0.03803 | 4.309 |
| 190 | 54.39 | 40.32 | 0.03722 | 4.217 | 54.68 | 41.27 | 0.03438 | 3.895 |
| 200 | 54.54 | 41.35 | 0.03342 | 3.786 | 54.80 | 42.04 | 0.03191 | 3.615 |
Publisher’s Note: MDPI stays neutral with regard to jurisdictional claims in published maps and institutional affiliations. |
© 2022 by the authors. Licensee MDPI, Basel, Switzerland. This article is an open access article distributed under the terms and conditions of the Creative Commons Attribution (CC BY) license (https://creativecommons.org/licenses/by/4.0/).
Share and Cite
Li, T.; Li, X.; Gao, H.; Gao, X.; Meng, N. Thermodynamic Performance of Geothermal Energy Cascade Utilization for Combined Heating and Power Based on Organic Rankine Cycle and Vapor Compression Cycle. Energies 2022, 15, 7294. https://doi.org/10.3390/en15197294
Li T, Li X, Gao H, Gao X, Meng N. Thermodynamic Performance of Geothermal Energy Cascade Utilization for Combined Heating and Power Based on Organic Rankine Cycle and Vapor Compression Cycle. Energies. 2022; 15(19):7294. https://doi.org/10.3390/en15197294
Chicago/Turabian StyleLi, Tailu, Xuelong Li, Haiyang Gao, Xiang Gao, and Nan Meng. 2022. "Thermodynamic Performance of Geothermal Energy Cascade Utilization for Combined Heating and Power Based on Organic Rankine Cycle and Vapor Compression Cycle" Energies 15, no. 19: 7294. https://doi.org/10.3390/en15197294
APA StyleLi, T., Li, X., Gao, H., Gao, X., & Meng, N. (2022). Thermodynamic Performance of Geothermal Energy Cascade Utilization for Combined Heating and Power Based on Organic Rankine Cycle and Vapor Compression Cycle. Energies, 15(19), 7294. https://doi.org/10.3390/en15197294
