Analysis of Employees’ Competencies in the Context of Industry 4.0
Abstract
:1. Introduction
2. Materials and Methods
2.1. Human Competencies and Management
- threshold competencies—these are common and do not affect work,
- differential competencies—these are typical, specific to a given person, and rare or unique,
- general competencies—required by everyone (e.g., ambition, professional aspirations, organisational skills, personal learning, self-development, creativity or time management),
- functional competencies—specific to a particular type of position,
- technical competencies—the knowledge and skills necessary to perform a specific task,
- business competencies—the knowledge and skills necessary to run a business and make decisions,
- interpersonal competencies—knowledge and skills in the field of effective communication,
- intellectual competencies—necessary for organisation leaders,
- workplace competencies, leadership competencies and firm-wide competencies—treated jointly and concern, among others, strategic planning, future orientation, building relationships, fostering partnerships and leadership,
- generic and specific competencies—generic competencies apply to most positions, while specific competencies apply only to a specific job in a given industry.
2.2. Industry 4.0. as Demand for New Competencies in Employees
- Knowledge in:
- areas in which knowledge will be essential, and many new jobs involving these areas will be created by 2030. The areas with the most significant number of anticipated new jobs include Customer and Personal Service, English Language, Education and Training, Computers and Electronics and Mathematics. Around 600,000 new jobs will be created in each of the first two areas;
- niche knowledge areas, resulting in an increase in new jobs of 30% by 2030. These include psychology, sociology and anthropology, which show less capacity for automation. Areas such as manufacturing, mechanics and the food-related sector are likely to decline in employment.
- Skills:
- creative skills (e.g., complex problem solving, social skills);
- niche skills (e.g., systems skills, such as data analysis).
- Abilities:
- basic abilities (the basis for the development of other abilities);
- logical and creative abilities. These abilities have low automation potential and will be needed in almost 50% of jobs.
2.3. Research Methodology
- the questionnaire addressed to the employees contained questions about their education, an assessment of their level of knowledge about Industry 4.0 (with a scale from 1—low to 5—very good), the size of their company, position, employment period, and the industry in which the company operated.
- the questionnaire addressed to students included questions about their education, their assessment of the level of knowledge about Industry 4.0 (with scale, as mentioned above), their field, and their year of study.
3. Results and Discussion
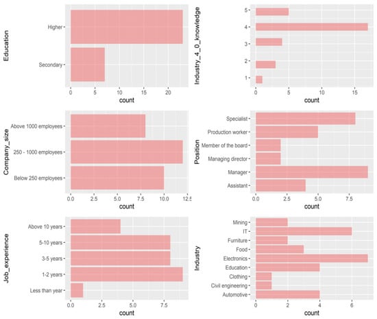
3.1. Characteristics of Trials
3.2. Digital Competencies
3.3. Technical Competencies
3.4. Personal Competencies
3.5. Social Competencies
4. Conclusions
Author Contributions
Funding
Informed Consent Statement
Acknowledgments
Conflicts of Interest
References
- Saniuk, S.; Grabowska, S.; Grebski, W. Knowledge and Skills Development in the Context of the Fourth Industrial Revolution Technologies: Interviews of Experts from Pennsylvania State of the USA. Energies 2022, 15, 2677. [Google Scholar] [CrossRef]
- Kagermann, H.; Wahlster, W.; Helbig, J. Recommendations for Implementing the Strategic Initiative INDUSTRIE 4.0, Final Report of the Industrie 4.0 Working Group, ACATECH—National Academy of Science and Engineering, Sponsored by: Federal Ministry of Education and Research. 2013. Available online: https://www.acatech.de/publikation/umsetzungsempfehlungen-fuer-das-zukunftsprojekt-industrie-4-0-abschlussbericht-des-arbeitskreises-industrie-4-0/ (accessed on 10 May 2022).
- Becker, T.; Stern, H. Future trends in human work area design for cyber-physical production systems. Procedia CIRP 2016, 57, 404–409. [Google Scholar] [CrossRef]
- Kadir, B.A.; Broberg, O. Human well-being and system performance in the transition to industry 4.0. Int. J. Ind. Ergon. 2020, 76, 102936. [Google Scholar] [CrossRef]
- Popov, V.V.; Kudryavtseva, E.V.; Katiyar, N.K.; Shishkin, A.; Stepanov, S.I.; Goel, S. Industry 4.0 and Digitalisation in Healthcare. Materials 2022, 15, 2140. [Google Scholar] [CrossRef] [PubMed]
- Balaji, S.; Nathani, K.; Santhakumar, R. IoT technology applications and challenges: A contemporary survey. Wireless Pers. Commun. 2019, 108, 363–388. Available online: https://link.springer.com/article/10.1007/s11277-019-06407-w (accessed on 22 March 2022). [CrossRef]
- Zhang, Y.; Kasahara, S.; Shen, Y.; Jiang, X.; Wan, J. Smartcontract-based access control for the internet of things. IEEE Internet Things J. 2019, 6, 1594–1605. [Google Scholar] [CrossRef]
- Stoyanova, M.; Nikoloudakis, Y.; Panagiotakis, S.; Pallis, E.; Markakis, E.K. A Survey on the Internet of Things (IoT) Forensics: Challenges, Approaches and Open Issues. IEEE Commun. Surv. Tutor. 2020, 22, 1191–1221. [Google Scholar] [CrossRef]
- Nikoloudakis, Y.; Panagiotakis, S.; Markakis, E.; Mastorakis, G.; Mavromoustakis, C.; Pallis, E. Towards a FOG-enabled navigation system with advanced cross-layer management features and IoT equipment. In Cloud and Fog Computing in 5G Mobile Networks: Emerging Advances and Applications; Project: EMYNOS: Next Generation Emergency Communications; Markakis, E., Mastoraki, G., Mavromoustakis, C.X., Pallis, E., Eds.; Institution of Engineering & Technology: London, UK, 2017; ISBN 9781785610837. [Google Scholar] [CrossRef]
- Manoj, M.; Dhilip Kumar, V.; Arif, M.; Raluca Bulai, E.; Bulai, P.; Geman, O. State of the Art Techniques for Water Quality Monitoring Systems for Fish Ponds Using IoT and Underwater Sensors: A Review. Sensors 2022, 22, 2088. [Google Scholar] [CrossRef]
- Ramachandran, V.; Ramalakshmi, R.; Kavin, B.P.; Hussain, I.; Almaliki, A.H.; Almaliki, A.A.; Elnaggar, A.Y.; Hussein, E.E. Exploiting IoT and Its Enabled Technologies for Irrigation Needs in Agriculture. Water 2022, 14, 719. [Google Scholar] [CrossRef]
- Razmjoo, A.; Gandomi, A.; Mahlooji, M.; Garcia, D.A.; Mirjalili, S.; Rezvani, A.; Ahmadzadeh, S.; Memon, S. An Investigation of the Policies and Crucial Sectors of Smart Cities Based on IoT Application. Appl. Sci. 2022, 12, 2672. [Google Scholar] [CrossRef]
- Wójcicki, K.; Biegańska, M.; Paliwoda, B.; Górna, J. Internet of Things in Industry: Research Profiling, Application, Challenges and Opportunities—A Review. Energies 2022, 15, 1806. [Google Scholar] [CrossRef]
- Mohanty, S.; Chatterjee, J.M.; Satpathy, S. Internet of Things and Its Applications; EAI/Springer Innovations in Communication and Computing; Springer: Cham, Switzerland, 2020; ISBN 978-3-030-77530-8. [Google Scholar] [CrossRef]
- Gackowiec, P.; Podobińska-Staniec, M. IoT platforms for the Mining Industry: An Overview. J. Pol. Miner. Eng. Soc. 2019, 1, 267–272. [Google Scholar] [CrossRef]
- Wittbrodt, P.; Łapuńka, I. Industry 4.0—A Challenge for Modern Production Companies. Available online: http://ptzp.org.pl/files/konferencje/kzz/artyk_pdf_2017/T2/t2_793.pdf (accessed on 10 May 2022).
- Kamiński, A. Smart factory—New trends in the development of IT systems for industry, Management and Finance. J. Manag. Financ. 2018, 16. Available online: http://www.wzr.ug.edu.pl/.zif/11_9.pdf (accessed on 14 May 2022). (In Polish).
- Ma, S.; Zhang, Y.; Lv, J.; Yang, H.; Wu, J. Energy-cyber-physical system enabled management for energy-intensive manufacturing industries. J. Clean. Prod. 2019, 226, 892–903. [Google Scholar] [CrossRef]
- Lee, J.; Azamfar, M.; Singh, J. A blockchain enabled Cyber-Physical System architecture for Industry 4.0 manufacturing systems. Manuf. Lett. 2019, 20, 34–39. [Google Scholar] [CrossRef]
- Broy, M. Cyber-Phisical Systems. Innovation Durch Software-Intensive Eingebettete Systeme; Springer: Monachium, Germany, 2010; ISBN 978-3-642-14498-1. Available online: https://link.springer.com/book/10.1007/978-3-642-14901-6 (accessed on 14 May 2022).
- Geisberger, E.; Broy, M. Agenda CPS Integrierte Forschungsagenda Cyber-Physical Systems; Acatech—Deutsche Akademie der Technikwissenschaften: München, Germany, 2012; Available online: https://www.researchgate.net/publication/277310481_Agenda_CPS_Integrierte_Forschungsagenda_Cyber-Physical_Systems (accessed on 28 July 2022).
- Bauernhansl, T. Die vierte industrielle Revolution. Der Weg in ein wertschaffendes Produktionsparadigma. In Industrie 4.0 in Produktion, Automatisierung und Logistik. Anwendung, Technologien und Migration; Bauernhansl, T., ten Hompel, M., Vogel-Heuser, B., Eds.; Springer Vieweg: Wiesbaden, Germany, 2014; pp. 5–35. ISBN 978-3-658-04682-8. [Google Scholar]
- Kagermann, H. Chancen von Industrie 4.0 nutzen. In Industrie 4.0 in Produktion, Automatisierung und Logistik. Anwendung, Technologien und Migration; Bauernhansl, T., ten Hompel, M., Vogel-Heuser, B., Eds.; Springer Vieweg: Wiesbaden, Germany, 2014; pp. 603–614. ISBN 978-3-658-04682-8. [Google Scholar]
- Smith, M.J. Getting value from artificial intelligence in agriculture. Anim. Prod. Sci. 2018, 60, 46–54. [Google Scholar] [CrossRef]
- Strusani, D.; Houngbonon, G.V. The Role of Artificial Intelligence in Supporting Development in Emerging Markets. 2019. Available online: https://openknowledge.worldbank.org/handle/10986/32365 (accessed on 25 March 2022).
- Chua, C.; Valencia, L. The Role of Artificial Intelligence in Education Amidst of the COVID-19 Pandemic. 2020. Available online: https://www.researchgate.net/publication/343691393_The_Role_of_Artificial_Intelligence_in_Education_Amidst_of_the_COVID-19_Pandemic (accessed on 25 March 2022).
- Chopra, R.; Deep Sharma, G. Application of Artificial Intelligence in Stock Market Forecasting: A Critique, Review, and Research Agenda. J. Risk Financ. Manag. 2021, 14, 526. [Google Scholar] [CrossRef]
- Jean, N.; Burke, M.; Xie, M.; Davis, W.M.; Lobell, D.B.; Ermon, S. Combining satellite imagery and machine learning to predict poverty. Science 2016, 80, 790–794. [Google Scholar] [CrossRef]
- Chan, C.W.; Huang, G.H. Artificial intelligence for management and control of pollution minimisation and mitigation processes. Eng. Appl. Artif. Intell. 2003, 16, 75–90. [Google Scholar] [CrossRef]
- Goralski, M.A.; Tan, T.K. Artificial intelligence and sustainable development. Int. J. Manag. Educ. 2020, 18, 100330. [Google Scholar] [CrossRef]
- Romeral Martínez, L.; Osornio Rios, R.A.; Prieto, M.D. (Eds.) New Trends in the Use of Artificial Intelligence for the Industry 4.0; IntechOpen: London, UK, 2020; Available online: https://www.intechopen.com/books/9428 (accessed on 17 May 2022).
- Doroshuk, H. Prospects and efficiency measurement of artificial intelligence in the management of enterprises in the energy sector in the era of Industry 4.0. Energy Policy J. 2021, 24, 61–76. [Google Scholar] [CrossRef]
- Mhlanga, D. Artificial Intelligence in the Industry 4.0, and Its Impact on Poverty, Innovation, Infrastructure Development, and the Sustainable Development Goals: Lessons from Emerging Economies? Sustainability 2021, 13, 5788. [Google Scholar] [CrossRef]
- Sony, M. Pros and cons of implementing Industry 4.0 for the organizations: A review and synthesis of evidence. Prod. Manuf. Res. 2020, 8, 244–272. [Google Scholar] [CrossRef]
- Fareri, S.; Fantoni, G.; Chiarello, F.; Coli, E.; Binda, A. Estimating Industry 4.0 impact on job profiles and skills using text mining. Comput. Ind. 2020, 118, 103222. [Google Scholar] [CrossRef]
- Dworschak, B.; Zaiser, H. Competences for Cyber-physical Systems in Manufacturing—First Findings and Scenarios. Procedia CIRP 2014, 25, 345–350. [Google Scholar] [CrossRef]
- Kadir, B.A. Designing New Ways of Working in Industry 4.0. Aligning Humans, Technology, and Organization in the Transition to Industry 4.0. Ph.D. Thesis, Department of Technology, Management and Economics, Technical University of Denmark, Lyngby, Denmark, 2020. Available online: https://www.researchgate.net/profile/Bzhwen-Kadir/publication/346901544_Designing_new_ways_of_working_in_Industry_40/links/5fd1fef292851c00f862f975/Designing-new-ways-of-working-in-Industry-40.pdf (accessed on 20 May 2022).
- Schwab, K. The Fourth Industrial Revolution; Studio EMKA: Warsaw, Poland, 2018. (In Polish) [Google Scholar]
- Dictionary Cambridge, Competence. Available online: https://dictionary.cambridge.org/pl/dictionary/english/competence (accessed on 23 March 2022).
- Madsen, E.S.; Bilberg, A.; Hansen, G.D. Industry 4.0 and Digitalisation Call for Vocational Skills, Applied Industrial Engineering, and Less for Pure Academics, Published in: Proceedings of the 5th P&OM World Conference. 2016. Available online: https://findresearcher.sdu.dk:8443/ws/portalfiles/portal/135381699/Industry_4.0_and_digitalization_call_for_vocational_skills_applied_industrial_engineering_and_less_for_pure_academics.pdf (accessed on 24 March 2022).
- Zuehlke, D. SmartFactory—Towards a factory-of-things. Annu. Rev. Control 2010, 34, 129–138. [Google Scholar] [CrossRef]
- Burnett, K.; Thrift, N. The Future of Higher Vocational Education, University of Warwick and University of Sheffield. 2014. Available online: https://www.sheffield.ac.uk/polopoly_fs/1.447745!/file/AMRC_REPORT_VOCATIONAL.pdf (accessed on 20 May 2022).
- Miśkiewicz, R. Industry 4.0 in Poland—Selected Aspects of Its Implementation, Scientific Papers of Silesian University of Technology 2019, Organization and Management Series No. 136, Silesian University of Technology Publishing House, pp. 403–413. Available online: https://www-arch.polsl.pl/wydzialy/ROZ/ZN/Documents/zeszyt%20136/Mi+%c5%a4kiewicz.pdf (accessed on 14 May 2022).
- Chesbrough, H. The Future of Open Innovation: The future of open innovation is more extensive, more collaborative, and more engaged with a wider variety of participants. Res.-Technol. Manag. 2017, 60, 35–38. [Google Scholar] [CrossRef]
- Popkova, E.G.; Ragulina, Y.V.; Bogoviz, A.V. Industry 4.0: Industrial Revolution of the 21st Century; Springer International Publishing: Berlin, Germany, 2019. [Google Scholar]
- Czakon, W.; Smyczek, S.; Niemczyk, J.; Dyduch, W.; Stańczyk-Hugiet, E.I.; Stanczyk, S.; Czernek-Marszałek, K.; Wachowicz, T.; Struzyna, J.A.; Klimas, P.; et al. Fundamentals of Research Methodology in Management Sciences; Czakon, W., Ed.; Wolters Kluwer Polska: Warsaw, Poland, 2015. (In Polish) [Google Scholar]
- Ligarski, M.J.; Rożałowska, B.; Kalinowski, K. A Study of the Human Factor in Industry 4.0 Based on the Automotive Industry. Energies 2021, 14, 6833. [Google Scholar] [CrossRef]
- Neumann, W.P.; Dul, J. Human factors: Spanning the gap between OM and HRM. Int. J. Oper. Prod. Manag. 2010, 30, 923–950. [Google Scholar] [CrossRef]
- Grosse, E.H.; Glock, C.H.; Jaber, M.Y.; Neuman, W.P. Incorporating human factors in order picking planning models: Framework and research opportunities. Int. J. Prod. Res. 2015, 53, 695–717. [Google Scholar] [CrossRef]
- Grosse, E.H.; Glock, C.H.; Neuman, W.P. Human factors in order picking: A content analysis of the literature. Int. J. Prod. Res. 2017, 55, 1260–1276. [Google Scholar] [CrossRef]
- Docherty, P.; Forslin, J.; Shani, A.B. Creating Sustainable Work Systems: Emerging Perspectives and Practice; Routledge: London, UK, 2002. [Google Scholar]
- Neumann, W.P.; Winkelhaus, S.; Grosse, E.H.; Glock, C.H. Industry 4.0 and the human factor—A systems framework and analysis methodology for successful development. Int. J. Prod. Econ. 2021, 233, 107992. [Google Scholar] [CrossRef]
- Nelles, J.; Kuz, S.; Mertens, A.; Schlick, C.M. Human-centered design of assistance systems for production planning and control: The role of the human in Industry 4.0. In Proceedings of the IEEE International Conference on Industrial Technology, Taipei, Taiwan, 14–17 March 2016; pp. 2099–2104. [Google Scholar] [CrossRef]
- Kadir, B.A.; Broberg, O.; Souza da Conceição, C. Current research and future perspectives on human factors and ergonomics in Industry 4.0. Comput. Ind. Eng. 2019, 137, 106004. [Google Scholar] [CrossRef]
- Kadir, B.A.; Broberg, O.; Souza da Conceição, C. A framework for aligning humans, technology and organisation in Industry 4.0. In Proceedings of the 50th Nordic Ergonomics and Human Factors Society Conference, Elsinore, Denmark, 25–28 August 2019; Project: Designing new ways of working in Industry 4.0. pp. 317–319. [Google Scholar] [CrossRef]
- Bai, C.; Dallasega, P.; Orzes, G.; Sarkis, J. Industry 4.0 technologies assessment: A sustainability perspective. Int. J. Prod. Econ. 2020, 229, 107776. [Google Scholar] [CrossRef]
- Pinzone, M.; Albè, F.; Orlandelli, D.; Barletta, I.; Berlin, C.; Johansson, B.; Taisch, M. A framework for operative and social sustainability functionalities in Human-Centric Cyber-Physical Production Systems. Comput. Ind. Eng. 2020, 139, 105132. [Google Scholar] [CrossRef]
- Deloitte. The Fourth Industrial Revolution—At the Intersection of readiness and responsibility. In Deloitte Insights; Edward Elgar Publishing: Cheltenham, UK, 2020. [Google Scholar]
- Lewicka, D. Human Capital Management and Employee Involvement; Seria: Ekonomia Zarządzania; C.H. BECK: Ponad, 2019. (In Polish) [Google Scholar]
- Christos, M. How Human Capital Management Can Improve Employee Engagement. 2019. Available online: https://www.techfunnel.com/hr-tech/how-human-capital-management-can-improve-employee-engagement/ (accessed on 14 May 2022).
- Clark, G. Industrial Revolution. Macmillan Publishers Ltd. (eds) The New Palgrave Dictionary of Economics. Palgrave Macmillan, London, 2018; pp. 6344–6355. Available online: https://link.springer.com/referenceworkentry/10.1057/978-1-349-95189-5_1034 (accessed on 28 July 2022).
- Owen, R. Business and Management. Available online: https://www.bl.uk/people/robert-owen (accessed on 23 March 2022).
- Armstrong, M. Human Resource Management—Strategy and Action; Dom Wydawniczy ABC: Kraków, Poland, 2001; pp. 14–15. (In Polish) [Google Scholar]
- Dictionary Cambridge, Human Resource Management. Available online: https://dictionary.cambridge.org/pl/dictionary/english/human-resource-management (accessed on 10 May 2022).
- Bailey, C.; Mankin, D.; Kelliher, C.; Garavan, T. Strategic Human Resource Management, 2nd ed.; Oxford University Press: Oxford, UK, 2018; ISBN 9780198705406. [Google Scholar]
- Boon, C.; Eckardt, R.; Lepak, D.P.; Boselie, P. Integrating strategic human capital and strategic human resource management. Int. J. Hum. Resour. Manag. 2017, 29, 34–67. [Google Scholar] [CrossRef]
- Karaszewska, H. Place and Role of Human Resources Development in Strategic Human Resource Management; Ekonomia XLI-nauki humanistyczno-społeczne, Zeszyt 397: Toruń, Poland, 2010; pp. 123–132. Available online: http://www.aunc.ekonomia.umk.pl/Pliki/2010/09_Karaszewska.pdf (accessed on 16 May 2022). (In Polish)
- Bonesso, S.; Gerli, F.; Zampieri, R.; Boyatzis, R.E. Updating the Debate on Behavioral Competency Development: State of the Art and Future Challenges. Front Psychol. 2020, 11, 1267. [Google Scholar] [CrossRef]
- Boyatzis, R.E. The behavioral level of emotional intelligence and its measurement. Front. Psychol. 2018, 9, 1438. [Google Scholar] [CrossRef]
- Sampaio, S.; Wu, Q.; Cormican, K.; Varajão, J. Reach for the sky: Analysis of behavioral competencies linked to project success. Int. J. Manag. Proj. Bus. 2021, 15, 192–215. [Google Scholar] [CrossRef]
- Campos, C.R.; Perin, A.P. About critical and behavioral competences in Statistics Education. Zetetiké 2020, 28, 1–18. [Google Scholar] [CrossRef]
- Krchova, H. Research on behavioral competencies of project managers in Slovakia. In Proceedings of the International May Conference on Strategic Management (IMCSM), Bor, Serbia, 24–26 May 2019; Volume XV, pp. 233–242. Available online: https://www.researchgate.net/publication/335910599_RESEARCH_ON_BEHAVIORAL_COMPETENCIES_OF_PROJECT_MANAGERS_IN_SLOVAKIA (accessed on 28 March 2022).
- Wang, J.; Taylor, H.; Wolfer, J.P. Critical Behavioral Competencies for IT Project Managers. In Project Management Techniques and Innovations in Information Technology; IGI Global: Hershey, PA, USA, 2012; Chapter 10; pp. 165–184. [Google Scholar] [CrossRef]
- Kulbashna, Y.; Skrypnyk, I. Basic principles of praxeological competence formation in future masters of dentistry. Sci. Pedagog. Educ. 2020, 5, 23–27. [Google Scholar] [CrossRef]
- Guiding Principles for Higher Education. Available online: https://www.cois.org/colleges-and-universities/guiding-principles-for-higher-education (accessed on 28 March 2022).
- Kulbashna, Y.; Skrypnyk, I. The structure of master’s in dentistry praxeological competence. Contin. Prof. Educ. Theory Pract. 2020, 3, 71–77. [Google Scholar] [CrossRef]
- Turner, P. The Making of the Modern Manager: Core Management Competencies and Their Attributes. In The Making of the Modern Manager; Palgrave Macmillan: Cham, Switzerland, 2021; pp. 359–384. [Google Scholar] [CrossRef]
- Park, J. Drawing a Conceptual Map of Competency, Attribute, and Capabilities. Grafiati 2021, 2, 55–81. [Google Scholar] [CrossRef]
- Jemielniak, D.; Latusek, D. Management. Theory and Practice from Scratch. Exercises; WSPiZ: Warszawa, Poland, 2005; ISBN 83-89437-50-3. Available online: http://otworzksiazke.pl/images/ksiazki/zarzadzanie_teoria_i_praktyka_od_podstaw/zarzadzanie_teoria_i_praktyka_od_podstaw.pdf (accessed on 28 March 2022). (In Polish)
- Rozkwitalska, M.; Boguszewicz-Kreft, M. The Country of Origin Effect and the Functioning of Multinational Enterprises—Concept Analysis. 2014. Available online: https://www.academia.edu/7479562/Efekt_kraju_pochodzenia_a_funkcjonowanie_przedsi%C4%99biorstw_wielonarodowych_analiza_koncepcji (accessed on 28 March 2022). (In Polish).
- Spencer, L.M.; Spencer, S.M. Competence at Work; Wiley: New York, NY, USA, 1993. [Google Scholar]
- Moczydłowska, J. Managing professional competencies and motivating employees. Difin sp. z o.o, Warszawa 2008. Available online: http://moczydlowska.pl/files/ksi--ka-pdf---zarz-dzanie-kompetencjami-a-motywowanie-pracownikow.pdf (accessed on 24 April 2022). (In Polish).
- Competency. Meaning & Definition. Available online: https://explore.darwinbox.com/hr-glossary/competency (accessed on 29 March 2022).
- Types of Competency. Available online: https://www.businessmanagementideas.com/human-resources-management/types-of-competency/20895 (accessed on 29 March 2022).
- Rostkowski, T. Zarządzanie kompetencjami jako przyszłość zzl w Polsce. Zarządzanie Zasobami Ludzkimi 2002, 6, 65–76. (In Polish) [Google Scholar]
- Bakhshi, H.; Downing, J.; Osborne, M.; Schneider, P. The Future of Skills: Employment in 2030; Pearson and Nesta: London, UK, 2017. [Google Scholar]
- Piątek, Z. How to Develop Engineer 4.0 Competencies? 2018. Available online: https://przemysl-40.pl/index.php/2018/04/11/jak-rozwijac-kompetencje-inzyniera-4-0/ (accessed on 24 March 2022).
- Horňáková, N.; Cagáňová, D.; Štofková, J.; Jurenka, R. Industry 4.0 Future Prospects and Its Impact on Competencies. In Advanced Manufacturing Processes; Ivanov, V., Trojanowska, J., Oborskyi, G., Edl, M., Kuric, I., Pavlenko, I., Dasic, P., Eds.; Lecture Notes in Mechanical Engineering; Springer: Cham, Switzerland, 2019. [Google Scholar]
- Deloitte AG: What Key Competencies Are Needed in the Digital Age? The Impact of Automation on Employees, Companies and Education. Deloitte Creative Studio. 2017. Available online: https://www2.deloitte.com/ch/en/pages/innovation/articles/competencies-in-the-digital-age.html (accessed on 7 March 2022).
- Hr40.digital- What Type of Competencies Will Industry 4.0 Require? Available online: https://www.hr40.digital/en/what-type-of-competencies-will-industry-4-0-require/ (accessed on 7 March 2022).
- Leinweber, S. Etappe 3: Kompetenzmanagement. In Strategische Personalentwicklung—Ein Programm in Acht Etappen, 3rd ed.; Meifert, M.T., Ed.; Springer Fachmedien: Wiesbaden, Germany, 2013; pp. 145–178. [Google Scholar]
- Włodarz, D. An Analysis and Selection of Employee Competencies in Industry 4.0 Enterprises. Master’s Thesis, Faculty of Civil Engineering and Resource Management, AGH University of Science and Technology, Kraków, Poland, 2021. not published. [Google Scholar]
- Perolat, J.; Couso, I.; Loquin, K.; Strauss, O. Generalising the Wilcoxon rank-sum test for interval data. Int. J. Approx. Reason. 2015, 56 Pt A, 108–121. [Google Scholar] [CrossRef]
- SMART INDUSTRY POLAND 2019, Research report, Engineers in the Era of the Fourth Industrial Revolution, Ministry of Entrepreneurship and Technology, Siemens, Warsaw, May 2019. Available online: https://przemysl-40.pl/wp-content/uploads/2019-Smart-Industry-Polska.pdf (accessed on 8 June 2022). (In Polish).
- Młody, M.; Weinert, A. INDUSTRY 4.0 IN POLAND, Needs of Enterprises in Terms of Managerial Competences—Research Report, Poznań, January 2020. Available online: https://fundacja-altum.pl/wp-content/uploads/2020/05/Przemys%C5%82-4.0-w-Polsce-Potrzeby-przedsi%C4%99biorstw-w-zakresie-kompetencji-Raport-z-badania-2020.pdf (accessed on 8 June 2022). (In Polish).
- Dębkowska, K.; Kłosiewicz-Górecka, U.; Szymańska, A.; Ważniewski, P.; Zybertowicz, K. Employees’ Competences Today and Tomorrow; Polish Economic Institute: Warsaw, Poland, 2020; Available online: https://www.pulshr.pl (accessed on 8 June 2022). (In Polish)
- Shamim, S.; Cang, S.; Yu, H.; Li, Y. Management approaches for Industry 4.0: A human resource management perspective. In Proceedings of the IEEE Congress on Evolutionary Computation (CEC), Vancouver, BC, Canada, 24–29 July 2016. [Google Scholar] [CrossRef]
- Chen, C.J.; Huang, J.W. Strategic humanresource practices and innovation per-formance—The mediating role of knowledge managementcapacity. J. Bus. Res. 2009, 62, 104–114. [Google Scholar] [CrossRef]
- Ma Prieto, I.; Pilar Perez-Santana, M. Managing innovative work behavior: The role of human resource practices. Pers. Rev. 2014, 43, 184–208. [Google Scholar] [CrossRef]
- Ortiz, J.M.; Marroquin, W.G.; Cifuentes, L.Z. Industry 4.0: Current Status and Future Trends; Ortiz, J.M., Ed.; Open Access Peer-Reviewed Chapter; IntechOpen: London, UK, 2020. [Google Scholar] [CrossRef]
- Saniuk, S.; Caganova, D.; Saniuk, A. Knowledge and Skills of Industrial Employees and Managerial Staff for the Industry 4.0 Implementation. Mob. Netw. Appl. 2021, 2, 1–11. [Google Scholar] [CrossRef]
- Leśniak, G.J. The World after the Pandemic—Company Expectations versus Employee Skills. 2020. Available online: https://www.prawo.pl/kadry/nowe-kompetencje-pracownikow-potrzebne-w-pracy-zdalnej-nowa,501788.html (accessed on 28 March 2022). (In Polish).
- Deloitte, Raport: Trendy HR 2020, Polska. 2020. Available online: https://www2.deloitte.com/pl/pl/pages/human-capital/articles/raport-trendy-hr-2020.html (accessed on 28 March 2022).
- PARP, COVID-19 Business Pulse Survey—Polska. 2020. Available online: https://www.parp.gov.pl/publications/publication/covid-19-business-pulse-survey-polska (accessed on 28 March 2022).
- Iwański, T. Industry 4.0 and Everything Is Clear, Drives and Controls; 2017; Volume 1. Available online: https://nis.com.pl/ (accessed on 28 July 2022). (In Polish).
- Dobrowolska, M.; Knop, L. Fit to Work in the Business Models of the Industry 4.0 Age. Sustainability 2020, 12, 4854. [Google Scholar] [CrossRef]
- Demir, K.A.; Döven, G.; Sezen, B. Industry 5.0 and Human-Robot Co-working. Procedia Comput. Sci. 2019, 158, 688–695. [Google Scholar] [CrossRef]







| Competencies | Description |
|---|---|
| Technical | Knowledge of the discipline (basic and specific) |
| Digital | Data control, evaluation and analysis, data security and protection, data utilisation |
| Social | Interdisciplinary collaboration, teamwork skills, communication skills, decision-making, organisational and leadership competencies, project management |
| Personal | Analytical thinking, problem solving, flexibility, abstract thinking, continuous learning ability |
| Variables | Wilcoxon Rank-Sum Test | |
|---|---|---|
| Digital | Data analysis and modelling | W = 514, p-value = 0.314 |
| IT systems operation | W = 567.5, p-value = 0.066 | |
| Programming skills | W = 443.5, p-value = 0.926 | |
| Cloud computing processing | W = 432.5, p-value = 0.790 | |
| Work with AI | W = 434, p-value = 0.810 | |
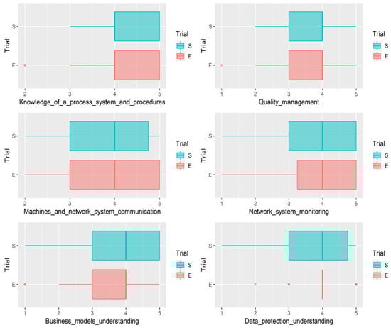
| Technical | Knowledge of processes, systems and procedures | W = 506, p-value = 0.376 |
| Quality management | W = 434, p-value = 0.808 | |
| Machines and network system communication | W = 504, p-value = 0.406 | |
| Network-system monitoring | W = 432, p-value = 0.785 | |
| Business-model understanding | W = 432.5, p-value = 0.794 | |
| Data-protection understanding | W = 502.5, p-value = 0.414 | |
| Personal | Conscientiousness/reliability | W = 496.5, p-value = 0.458 |
| Willingness to engage in constant learning | W = 456, p-value = 0.925 | |
| Innovation | W = 451, p-value = 0.993 | |
| Flexibility and the ability to work under pressure | W = 455, p-value = 0.943 | |
| Entrepreneurship | W = 394.5, p-value = 0.394 | |
| Creativity | W = 382.5, p-value = 0.293 | |
| Social | Communication and teamwork skills | W = 618, p-value = 0.007 |
| Conflict-resolution ability | W = 481.5, p-value = 0.634 | |
| Presentation skills | W = 492, p-value = 0.517 | |
| Knowledge and experience sharing in an organization | W = 640, p-value = 0.002 | |
| Language skills and intercultural communication | W = 506.5, p-value = 0.379 | |
| Leadership and project management | W = 538, p-value = 0.175 | |
| Competencies | Selected | Mean Value/ Median of Scores |
|---|---|---|
| Digital | IT systems operation | 4.16/4 |
| Data analysis and modelling | 4.16/4 | |
| Technical | Knowledge of processes, systems and procedures | 4.26/4 |
| Machines and network system communication | 3.93/4 | |
| Data-protection understanding | 3.93/4 | |
| Personal | Willingness to engage in constant learning | 4.53/5 |
| Conscientiousness/reliability | 4.33/4.5 | |
| Social | Communication and teamwork skills | 4.5/5 |
| Knowledge and experience sharing in an organisation | 4.5/5 |
| Competencies | Selected | Mean Value/Median of Scores |
|---|---|---|
| Digital | IT systems operation | 3.76/4 |
| Data analysis and modelling | 3.96/4 | |
| Technical | Knowledge of processes, systems and procedures | 4.13/4 |
| Network system monitoring | 3.93/4 | |
| Personal | Willingness to engage in constant learning | 4.5/5 |
| Conscientiousness/reliability | 4.23/4 | |
| Innovation | 4.23/4 | |
| Social | Communication and teamwork skills | 3.9/4 |
| Language skills and intercultural communication | 3.96/4 |
Publisher’s Note: MDPI stays neutral with regard to jurisdictional claims in published maps and institutional affiliations. |
© 2022 by the authors. Licensee MDPI, Basel, Switzerland. This article is an open access article distributed under the terms and conditions of the Creative Commons Attribution (CC BY) license (https://creativecommons.org/licenses/by/4.0/).
Share and Cite
Kowal, B.; Włodarz, D.; Brzychczy, E.; Klepka, A. Analysis of Employees’ Competencies in the Context of Industry 4.0. Energies 2022, 15, 7142. https://doi.org/10.3390/en15197142
Kowal B, Włodarz D, Brzychczy E, Klepka A. Analysis of Employees’ Competencies in the Context of Industry 4.0. Energies. 2022; 15(19):7142. https://doi.org/10.3390/en15197142
Chicago/Turabian StyleKowal, Barbara, Daria Włodarz, Edyta Brzychczy, and Andrzej Klepka. 2022. "Analysis of Employees’ Competencies in the Context of Industry 4.0" Energies 15, no. 19: 7142. https://doi.org/10.3390/en15197142
APA StyleKowal, B., Włodarz, D., Brzychczy, E., & Klepka, A. (2022). Analysis of Employees’ Competencies in the Context of Industry 4.0. Energies, 15(19), 7142. https://doi.org/10.3390/en15197142

