Recent Developments in Optical and Thermal Performance of Direct Absorption Solar Collectors
Abstract
1. Introduction
2. Working Fluid Properties
2.1. Base Fluid Type
2.2. Nanoparticles Type
2.3. Particle Size
2.4. Particle Shape
2.5. Particle Concentraion
3. Geometrical Parameters
3.1. Collector Length
3.2. Collector Depth
3.3. Collector Design
4. Operating Parameters
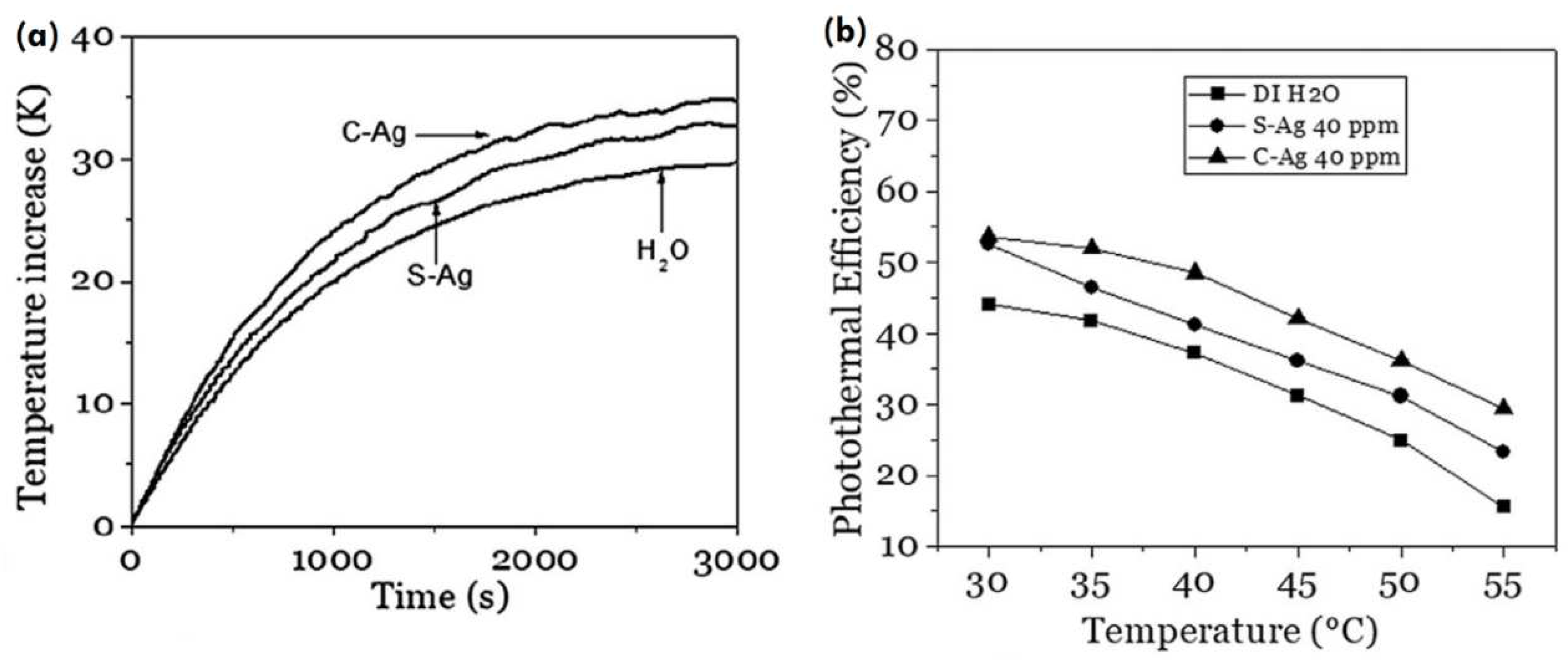
4.1. Temperature
4.2. Flow Rate
4.3. Flow Regime
4.4. Penetration Depth
4.5. Irradiation Position
5. Conclusions and Future Challenges
Author Contributions
Funding
Data Availability Statement
Conflicts of Interest
References
- Shah, T.R.; Babar, H.; Ali, H.M. Energy Harvesting: Role of Hybrid Nanofluids. In Emerging Nanotechnologies for Renewable Energy; Elsevier: Amsterdam, The Netherlands, 2021; pp. 173–211. ISBN 9780128212059. [Google Scholar]
- Sharaf, O.Z.; Taylor, R.A.; Abu-Nada, E. On the Colloidal and Chemical Stability of Solar Nanofluids: From Nanoscale Interactions to Recent Advances. Phys. Rep. 2020, 867, 1–84. [Google Scholar] [CrossRef]
- Sharaf, O.Z.; Rizk, N.; Munro, C.J.; Joshi, C.P.; Anjum, D.H.; Abu-Nada, E.; Martin, M.N.; Alazzam, A. Radiation Stability and Photothermal Performance of Surface-Functionalized Plasmonic Nanofluids for Direct-Absorption Solar Applications. Sol. Energy Mater. Sol. Cells 2021, 227, 111115. [Google Scholar] [CrossRef]
- Sharaf, O.Z.; Rizk, N.; Munro, C.J.; Joshi, C.P.; Waheed, W.; Abu-Nada, E.; Alazzam, A.; Martin, M.N. Thermal Stability and Plasmonic Photothermal Conversion of Surface-Modified Solar Nanofluids: Comparing Prolonged and Cyclic Thermal Treatments. Energy Convers. Manag. 2021, 244, 114463. [Google Scholar] [CrossRef]
- Sharaf, O.Z.; Rizk, N.; Joshi, C.P.; Abi Jaoudé, M.; Al-Khateeb, A.N.; Kyritsis, D.C.; Abu-Nada, E.; Martin, M.N. Ultrastable Plasmonic Nanofluids in Optimized Direct Absorption Solar Collectors. Energy Convers. Manag. 2019, 199, 112010. [Google Scholar] [CrossRef]
- Mahesh, A. Solar Collectors and Adsorption Materials Aspects of Cooling System. Renew. Sustain. Energy Rev. 2017, 73, 1300–1312. [Google Scholar] [CrossRef]
- Yan, S.; Wang, F.; Shi, Z.G.; Tian, R. Heat Transfer Property of SiO2/Water Nanofluid Flow inside Solar Collector Vacuum Tubes. Appl. Therm. Eng. 2017, 118, 385–391. [Google Scholar] [CrossRef]
- Li, S.; Wang, H.; Meng, X.; Wei, X. Comparative Study on the Performance of a New Solar Air Collector with Different Surface Shapes. Appl. Therm. Eng. 2017, 114, 639–644. [Google Scholar] [CrossRef]
- Touaba, O.; Ait Cheikh, M.S.; Slimani, M.E.A.; Bouraiou, A.; Ziane, A.; Necaibia, A.; Harmim, A. Experimental Investigation of Solar Water Heater Equipped with a Solar Collector Using Waste Oil as Absorber and Working Fluid. Sol. Energy 2020, 199, 630–644. [Google Scholar] [CrossRef]
- Ahmadlouydarab, M.; Ebadolahzadeh, M.; Muhammad Ali, H. Effects of Utilizing Nanofluid as Working Fluid in a Lab-Scale Designed FPSC to Improve Thermal Absorption and Efficiency. Phys. A Stat. Mech. Its Appl. 2020, 540, 123109. [Google Scholar] [CrossRef]
- Goel, N.; Taylor, R.A.; Otanicar, T. A Review of Nanofluid-Based Direct Absorption Solar Collectors: Design Considerations and Experiments with Hybrid PV/Thermal and Direct Steam Generation Collectors. Renew. Energy 2020, 145, 903–913. [Google Scholar] [CrossRef]
- Deng, Z.; Zhou, J.; Miao, L.; Liu, C.; Peng, Y.; Sun, L.; Tanemura, S. The Emergence of Solar Thermal Utilization: Solar-Driven Steam Generation. J. Mater. Chem. A 2017, 5, 7691–7709. [Google Scholar] [CrossRef]
- Bårdsgård, R.; Kuzmenkov, D.M.; Kosinski, P.; Balakin, B.V. Eulerian CFD Model of Direct Absorption Solar Collector with Nanofluid. J. Renew. Sustain. Energy 2020, 12, 033701. [Google Scholar] [CrossRef]
- Chen, M.; He, Y.; Zhu, J. Preparation of Au–Ag Bimetallic Nanoparticles for Enhanced Solar Photothermal Conversion. Int. J. Heat Mass Transf. 2017, 114, 1098–1104. [Google Scholar] [CrossRef]
- Esmaeili, M.; Karami, M.; Delfani, S. Performance Enhancement of a Direct Absorption Solar Collector Using Copper Oxide Porous Foam and Nanofluid. Int. J. Energy Res. 2020, 44, 5527–5544. [Google Scholar] [CrossRef]
- Won, K.H.; Lee, B.J. Effect of Light Scattering on the Performance of a Direct Absorption Solar Collector. Front. Energy 2018, 12, 169–177. [Google Scholar] [CrossRef]
- Zeiny, A.; Jin, H.; Lin, G.; Song, P.; Wen, D. Solar Evaporation via Nanofluids: A Comparative Study. Renew. Energy 2018, 122, 443–454. [Google Scholar] [CrossRef]
- Gorji, T.B.; Ranjbar, A.A. Thermal and Exergy Optimization of a Nanofluid-Based Direct Absorption Solar Collector. Renew. Energy 2017, 106, 274–287. [Google Scholar] [CrossRef]
- Chen, W.; Zou, C.; Li, X. An Investigation into the Thermophysical and Optical Properties of SiC/Ionic Liquid Nanofluid for Direct Absorption Solar Collector. Sol. Energy Mater. Sol. Cells 2017, 163, 157–163. [Google Scholar] [CrossRef]
- Chamsa-ard, W.; Brundavanam, S.; Fung, C.; Fawcett, D.; Poinern, G. Nanofluid Types, Their Synthesis, Properties and Incorporation in Direct Solar Thermal Collectors: A Review. Nanomaterials 2017, 7, 131. [Google Scholar] [CrossRef]
- Qin, C.; Kang, K.; Lee, I.; Lee, B.J. Optimization of the Spectral Absorption Coefficient of a Plasmonic Nanofluid for a Direct Absorption Solar Collector. Sol. Energy 2018, 169, 231–236. [Google Scholar] [CrossRef]
- Mallah, A.R.; Mohd Zubir, M.N.; Alawi, O.A.; Salim Newaz, K.M.; Mohamad Badry, A.B. Plasmonic Nanofluids for High Photothermal Conversion Efficiency in Direct Absorption Solar Collectors: Fundamentals and Applications. Sol. Energy Mater. Sol. Cells 2019, 201, 110084. [Google Scholar] [CrossRef]
- Campos, C.; Vasco, D.; Angulo, C.; Burdiles, P.A.; Cardemil, J.; Palza, H. About the Relevance of Particle Shape and Graphene Oxide on the Behavior of Direct Absorption Solar Collectors Using Metal Based Nanofluids under Different Radiation Intensities. Energy Convers. Manag. 2019, 181, 247–257. [Google Scholar] [CrossRef]
- Sarafraz, M.M.; Tian, Z.; Tlili, I.; Kazi, S.; Goodarzi, M. Thermal Evaluation of a Heat Pipe Working with N-Pentane-Acetone and n-Pentane-Methanol Binary Mixtures. J. Therm. Anal. Calorim. 2019 1394 2019, 139, 2435–2445. [Google Scholar] [CrossRef]
- Abdelrazik, A.S.; Tan, K.H.; Aslfattahi, N.; Arifutzzaman, A.; Saidur, R.; Al-Sulaiman, F.A. Optical, Stability and Energy Performance of Water-Based MXene Nanofluids in Hybrid PV/Thermal Solar Systems. Sol. Energy 2020, 204, 32–47. [Google Scholar] [CrossRef]
- Babar, H.; Ali, H.M. Towards Hybrid Nanofluids: Preparation, Thermophysical Properties, Applications, and Challenges. J. Mol. Liq. 2019, 281, 598–633. [Google Scholar] [CrossRef]
- Menni, Y.; Chamkha, A.J.; Massarotti, N.; Ameur, H.; Kaid, N.; Bensafi, M. Hydrodynamic and Thermal Analysis of Water, Ethylene Glycol and Water-Ethylene Glycol as Base Fluids Dispersed by Aluminum Oxide Nano-Sized Solid Particles. Int. J. Numer. Methods Heat Fluid Flow 2020, 30, 4349–4386. [Google Scholar] [CrossRef]
- Gholinia, M.; Hosseinzadeh, K.; Ganji, D.D. Investigation of Different Base Fluids Suspend by CNTs Hybrid Nanoparticle over a Vertical Circular Cylinder with Sinusoidal Radius. Case Stud. Therm. Eng. 2020, 21, 100666. [Google Scholar] [CrossRef]
- Gao, Y.; Wang, H.; Sasmito, A.P.; Mujumdar, A.S. Measurement and Modeling of Thermal Conductivity of Graphene Nanoplatelet Water and Ethylene Glycol Base Nanofluids. Int. J. Heat Mass Transf. 2018, 123, 97–109. [Google Scholar] [CrossRef]
- Cao, P.; Li, Y.; Wu, Y.; Chen, H.; Zhang, J.; Cheng, L.; Niu, T. Role of Base Fluid on Enhancement Absorption Properties of Fe3O4/Ionic Liquid Nanofluids for Direct Absorption Solar Collector. Sol. Energy 2019, 194, 923–931. [Google Scholar] [CrossRef]
- Abbas, N.; Awan, M.B.; Amer, M.; Ammar, S.M.; Sajjad, U.; Ali, H.M.; Zahra, N.; Hussain, M.; Badshah, M.A.; Jafry, A.T. Applications of Nanofluids in Photovoltaic Thermal Systems: A Review of Recent Advances; Elsevier B.V.: Amsterdam, The Netherlands, 2019; Volume 536, p. 122513. [Google Scholar]
- Ahmad, H.; Al-Khaled, K.; Sowayan, A.S.; Abdullah, M.; Hussain, M.; Hammad, A.; Khan, S.U.; Tlili, I. Experimental Investigation for Automotive Radiator Heat Transfer Performance with ZnO–Al2O3/Water-Based Hybird Nanoparticles: An Improved Thermal Model. Int. J. Mod. Phys. B 2022, 36, 2350050. [Google Scholar] [CrossRef]
- Hu, G.; Ning, X.; Hussain, M.; Sajjad, U.; Sultan, M.; Ali, H.M.; Shah, T.R.; Ahmad, H. Potential Evaluation of Hybrid Nanofluids for Solar Thermal Energy Harvesting: A Review of Recent Advances. Sustain. Energy Technol. Assess. 2021, 48, 101651. [Google Scholar] [CrossRef]
- Wang, H.; Li, X.; Luo, B.; Wei, K.; Zeng, G. The MXene/Water Nanofluids with High Stability and Photo-Thermal Conversion for Direct Absorption Solar Collectors: A Comparative Study. Energy 2021, 227, 120483. [Google Scholar] [CrossRef]
- Vakili, M.; Yahyaei, M.; Ramsay, J.; Aghajannezhad, P.; Paknezhad, B. Adaptive Neuro-Fuzzy Inference System Modeling to Predict the Performance of Graphene Nanoplatelets Nanofluid-Based Direct Absorption Solar Collector Based on Experimental Study. Renew. Energy 2021, 163, 807–824. [Google Scholar] [CrossRef]
- Zheng, N.; Yan, F.; Wang, L.; Sun, Z. Photo-Thermal Conversion Performance of Mono MWCNT and Hybrid MWCNT-TiN Nanofluids in Direct Absorption Solar Collectors. Int. J. Energy Res. 2022, 46, 8313–8327. [Google Scholar] [CrossRef]
- Joseph, A.; Thomas, S. Energy, Exergy and Corrosion Analysis of Direct Absorption Solar Collector Employed with Ultra-High Stable Carbon Quantum Dot Nanofluid. Renew. Energy 2022, 181, 725–737. [Google Scholar] [CrossRef]
- Kumar, P.G.; Vigneswaran, S.; Meikandan, M.; Sakthivadivel, D.; Salman, M.; Thakur, A.K.; Sathyamurthy, R.; Kim, S.C. Exploring the Photo-Thermal Conversion Behavior and Extinction Coefficient of Activated Carbon Nanofluids for Direct Absorption Solar Collector Applications. Environ. Sci. Pollut. Res. 2022, 29, 13188–13200. [Google Scholar] [CrossRef]
- Hazra, S.K.; Ghosh, S.; Nandi, T.K. Photo-Thermal Conversion Characteristics of Carbon Black-Ethylene Glycol Nanofluids for Applications in Direct Absorption Solar Collectors. Appl. Therm. Eng. 2019, 163, 114402. [Google Scholar] [CrossRef]
- Warjri, M.; Narayan, J. Synthesis, Characterization and Physicochemical Properties of Cupric Oxide Nanoparticles and Their Nanofluids. In Proceedings of the Materials Today: Proceedings; Elsevier Ltd.: Amsterdam, The Netherlands, 2019; Volume 18, pp. 1176–1184. [Google Scholar]
- Suganthi, K.S.; Rajan, K.S. Metal Oxide Nanofluids: Review of Formulation, Thermo-Physical Properties, Mechanisms, and Heat Transfer Performance. Renew. Sustain. Energy Rev. 2017, 76, 226–255. [Google Scholar] [CrossRef]
- Hu, Y.P.; Li, Y.R.; Lu, L.; Mao, Y.J.; Li, M.H. Natural Convection of Water-Based Nanofluids near the Density Maximum in an Annulus. Int. J. Therm. Sci. 2020, 152, 106309. [Google Scholar] [CrossRef]
- Sarafraz, M.M.; Tlili, I.; Tian, Z.; Bakouri, M.; Safaei, M.R.; Goodarzi, M. Thermal Evaluation of Graphene Nanoplatelets Nanofluid in a Fast-Responding HP with the Potential Use in Solar Systems in Smart Cities. Appl. Sci. 2019, 9, 2101. [Google Scholar] [CrossRef]
- Wen, J.; Li, X.; Chen, W.; Liu, J. Systematical Investigation on the Solar-Thermal Conversion Performance of TiN Plasmonic Nanofluids for the Direct Absorption Solar Collectors. Colloids Surf. A Physicochem. Eng. Asp. 2021, 624, 126837. [Google Scholar] [CrossRef]
- Borode, A.; Ahmed, N.; Olubambi, P. A Review of Solar Collectors Using Carbon-Based Nanofluids. J. Clean. Prod. 2019, 241, 118311. [Google Scholar] [CrossRef]
- Said, Z.; Abdelkareem, M.A.; Rezk, H.; Nassef, A.M.; Atwany, H.Z. Stability, Thermophysical and Electrical Properties of Synthesized Carbon Nanofiber and Reduced-Graphene Oxide-Based Nanofluids and Their Hybrid along with Fuzzy Modeling Approach. Powder Technol. 2020, 364, 795–809. [Google Scholar] [CrossRef]
- Taherialekouhi, R.; Rasouli, S.; Khosravi, A. An Experimental Study on Stability and Thermal Conductivity of Water-Graphene Oxide/Aluminum Oxide Nanoparticles as a Cooling Hybrid Nanofluid. Int. J. Heat Mass Transf. 2019, 145, 118751. [Google Scholar] [CrossRef]
- Verma, S.K.; Tiwari, A.K.; Tiwari, S.; Chauhan, D.S. Performance Analysis of Hybrid Nanofluids in Flat Plate Solar Collector as an Advanced Working Fluid. Sol. Energy 2018, 167, 231–241. [Google Scholar] [CrossRef]
- Said, Z.; Sajid, M.H.; Saidur, R.; Mahdiraji, G.A.; Rahim, N.A. Evaluating the Optical Properties of TiO2 Nanofluid for a Direct Absorption Solar Collector. Numer. Heat Transf. Part A Appl. 2015, 67, 1010–1027. [Google Scholar] [CrossRef]
- Howe, M.L.; Paul, T.C.; Khan, J.A. Radiative Properties of Al2O3 Nanoparticles Enhanced Ionic Liquids (NEILs) for Direct Absorption Solar Collectors. Sol. Energy Mater. Sol. Cells 2021, 232, 111327. [Google Scholar] [CrossRef]
- Ambreen, T.; Kim, M.H. Influence of Particle Size on the Effective Thermal Conductivity of Nanofluids: A Critical Review. Appl. Energy 2020, 264, 114684. [Google Scholar] [CrossRef]
- Goshayeshi, H.R.; Safaei, M.R.; Goodarzi, M.; Dahari, M. Particle Size and Type Effects on Heat Transfer Enhancement of Ferro-Nanofluids in a Pulsating Heat Pipe. Powder Technol. 2016, 301, 1218–1226. [Google Scholar] [CrossRef]
- Motevasel, M.; Nazar, A.R.S.; Jamialahmadi, M. The Effect of Nanoparticles Aggregation on the Thermal Conductivity of Nanofluids at Very Low Concentrations: Experimental and Theoretical Evaluations. Heat Mass Transf. und Stoffuebertragung 2018, 54, 125–133. [Google Scholar] [CrossRef]
- Maheshwary, P.B.; Handa, C.C.; Nemade, K.R. A Comprehensive Study of Effect of Concentration, Particle Size and Particle Shape on Thermal Conductivity of Titania/Water Based Nanofluid. Appl. Therm. Eng. 2017, 119, 79–88. [Google Scholar] [CrossRef]
- Nikkam, N.; Ghanbarpour, M.; Khodabandeh, R.; Toprak, M.S. The Effect of Particle Size and Base Liquid on Thermo-Physical Properties of Ethylene and Diethylene Glycol Based Copper Micro- and Nanofluids. Int. Commun. Heat Mass Transf. 2017, 86, 143–149. [Google Scholar] [CrossRef]
- Abbasi, M.; Heyhat, M.M.; Rajabpour, A. Study of the Effects of Particle Shape and Base Fluid Type on Density of Nanofluids Using Ternary Mixture Formula: A Molecular Dynamics Simulation. J. Mol. Liq. 2020, 305, 112831. [Google Scholar] [CrossRef]
- Qin, C.; Kim, J.B.; Gonome, H.; Lee, B.J. Absorption Characteristics of Nanoparticles with Sharp Edges for a Direct-Absorption Solar Collector. Renew. Energy 2020, 145, 21–28. [Google Scholar] [CrossRef]
- Song, D.; Yang, Y.; Jing, D. Insight into the Contribution of Rotating Brownian Motion of Nonspherical Particle to the Thermal Conductivity Enhancement of Nanofluid. Int. J. Heat Mass Transf. 2017, 112, 61–71. [Google Scholar] [CrossRef]
- Bahiraei, M.; Monavari, A.; Moayedi, H. Second Law Assessment of Nanofluid Flow in a Channel Fitted with Conical Ribs for Utilization in Solar Thermal Applications: Effect of Nanoparticle Shape. Int. J. Heat Mass Transf. 2020, 151, 119387. [Google Scholar] [CrossRef]
- Bahiraei, M.; Monavari, A.; Naseri, M.; Moayedi, H. Irreversibility Characteristics of a Modified Microchannel Heat Sink Operated with Nanofluid Considering Different Shapes of Nanoparticles. Int. J. Heat Mass Transf. 2020, 151, 119359. [Google Scholar] [CrossRef]
- Afrand, M. Experimental Study on Thermal Conductivity of Ethylene Glycol Containing Hybrid Nano-Additives and Development of a New Correlation. Appl. Therm. Eng. 2017, 110, 1111–1119. [Google Scholar] [CrossRef]
- Esfahani, N.N.; Toghraie, D.; Afrand, M. A New Correlation for Predicting the Thermal Conductivity of ZnO–Ag (50%–50%)/Water Hybrid Nanofluid: An Experimental Study. Powder Technol. 2018, 323, 367–373. [Google Scholar] [CrossRef]
- Hemmat Esfe, M.; Behbahani, P.M.; Arani, A.A.A.; Sarlak, M.R. Thermal Conductivity Enhancement of SiO2–MWCNT (85:15%)–EG Hybrid Nanofluids: ANN Designing, Experimental Investigation, Cost Performance and Sensitivity Analysis. J. Therm. Anal. Calorim. 2017, 128, 249–258. [Google Scholar] [CrossRef]
- Shahsavar, A.; Bahiraei, M. Experimental Investigation and Modeling of Thermal Conductivity and Viscosity for Non-Newtonian Hybrid Nanofluid Containing Coated CNT/Fe3O4 Nanoparticles. Powder Technol. 2017, 318, 441–450. [Google Scholar] [CrossRef]
- Kannaiyan, S.; Boobalan, C.; Umasankaran, A.; Ravirajan, A.; Sathyan, S.; Thomas, T. Comparison of Experimental and Calculated Thermophysical Properties of Alumina/Cupric Oxide Hybrid Nanofluids. J. Mol. Liq. 2017, 244, 469–477. [Google Scholar] [CrossRef]
- Koca, H.D.; Doganay, S.; Turgut, A.; Tavman, I.H.; Saidur, R.; Mahbubul, I.M. Effect of Particle Size on the Viscosity of Nanofluids: A Review. Renew. Sustain. Energy Rev. 2018, 82, 1664–1674. [Google Scholar] [CrossRef]
- Murshed, S.M.S.; Estellé, P. A State of the Art Review on Viscosity of Nanofluids. Renew. Sustain. Energy Rev. 2017, 76, 1134–1152. [Google Scholar] [CrossRef]
- Motahari, K.; Abdollahi Moghaddam, M.; Moradian, M. Experimental Investigation and Development of New Correlation for Influences of Temperature and Concentration on Dynamic Viscosity of MWCNT-SiO2 (20–80)/20W50 Hybrid Nano-Lubricant. Chinese J. Chem. Eng. 2018, 26, 152–158. [Google Scholar] [CrossRef]
- Zareie, A.; Akbari, M. Hybrid Nanoparticles Effects on Rheological Behavior of Water-EG Coolant under Different Temperatures: An Experimental Study. J. Mol. Liq. 2017, 230, 408–414. [Google Scholar] [CrossRef]
- Alirezaie, A.; Saedodin, S.; Esfe, M.H.; Rostamian, S.H. Investigation of Rheological Behavior of MWCNT (COOH-Functionalized)/MgO—Engine Oil Hybrid Nanofluids and Modelling the Results with Artificial Neural Networks. J. Mol. Liq. 2017, 241, 173–181. [Google Scholar] [CrossRef]
- Asadi, M.; Asadi, A.; Aberoumand, S. An Experimental and Theoretical Investigation on the Effects of Adding Hybrid Nanoparticles on Heat Transfer Efficiency and Pumping Power of an Oil-Based Nanofluid as a Coolant Fluid. Int. J. Refrig. 2018, 89, 83–92. [Google Scholar] [CrossRef]
- Huminic, G.; Huminic, A. Hybrid Nanofluids for Heat Transfer Applications—A State-of-the-Art Review. Int. J. Heat Mass Transf. 2018, 125, 82–103. [Google Scholar] [CrossRef]
- Sharaf, O.Z.; Al-Khateeb, A.N.; Kyritsis, D.C.; Abu-Nada, E. Four-Way Coupling of Particle-Wall and Colloidal Particle-Particle Interactions in Direct Absorption Solar Collectors. Energy Convers. Manag. 2019, 195, 7–20. [Google Scholar] [CrossRef]
- Sharaf, O.Z.; Al-Khateeb, A.N.; Kyritsis, D.C.; Abu-Nada, E. Numerical Investigation of Nanofluid Particle Migration and Convective Heat Transfer in Microchannels Using an Eulerian–Lagrangian Approach. J. Fluid Mech. 2019, 878, 62–97. [Google Scholar] [CrossRef]
- Sharaf, O.Z.; Al-Khateeb, A.N.; Kyritsis, D.C.; Abu-Nada, E. Energy and Exergy Analysis and Optimization of Low-Flux Direct Absorption Solar Collectors (DASCs): Balancing Power- and Temperature-Gain. Renew. Energy 2019, 133, 861–872. [Google Scholar] [CrossRef]
- Gorji, T.B.; Ranjbar, A.A. Geometry Optimization of a Nanofluid-Based Direct Absorption Solar Collector Using Response Surface Methodology. Sol. Energy 2015, 122, 314–325. [Google Scholar] [CrossRef]
- Vital, C.V.P.; Farooq, S.; de Araujo, R.E.; Rativa, D.; Gómez-Malagón, L.A. Numerical Assessment of Transition Metal Nitrides Nanofluids for Improved Performance of Direct Absorption Solar Collectors. Appl. Therm. Eng. 2021, 190, 116799. [Google Scholar] [CrossRef]
- Struchalin, P.G.; Yunin, V.S.; Kutsenko, K.V.; Nikolaev, O.V.; Vologzhannikova, A.A.; Shevelyova, M.P.; Gorbacheva, O.S.; Balakin, B.V. Performance of a Tubular Direct Absorption Solar Collector with a Carbon-Based Nanofluid. Int. J. Heat Mass Transf. 2021, 179, 121717. [Google Scholar] [CrossRef]
- Struchalin, P.G.; Kuzmenkov, D.M.; Yunin, V.S.; Wang, X.; He, Y.; Balakin, B.V. Hybrid Nanofluid in a Direct Absorption Solar Collector: Magnetite vs. Carbon Nanotubes Compete for Thermal Performance. Energies 2022, 15, 1604. [Google Scholar] [CrossRef]
- Wang, D.; Liang, W.; Zheng, Z.; Jia, P.; Yan, Y.; Xie, H.; Wang, L.; Yu, W. Highly Efficient Energy Harvest via External Rotating Magnetic Field for Oil Based Nanofluid Direct Absorption Solar Collector. Green Energy Environ. 2021, 6, 298–307. [Google Scholar] [CrossRef]
- Hooshmand, A.; Zahmatkesh, I.; Karami, M.; Delfani, S. Porous Foams and Nanofluids for Thermal Performance Improvement of a Direct Absorption Solar Collector: An Experimental Study. Environ. Prog. Sustain. Energy 2021, 40, e13684. [Google Scholar] [CrossRef]
- Zhang, H.; Wang, K.; Yu, W.; Wang, L.; Xie, H. Ternary Molten Salt Energy Storage Coupled with Graphene Oxide-TiN Nanofluids for Direct Absorption Solar Collector. Energy Build. 2021, 253, 111481. [Google Scholar] [CrossRef]
- Peng, W.; Sadaghiani, O.K. Thermal Performance Enhancement of Direct Absorption Solar Collector Using Nanoparticle in Sunray Trap. Appl. Therm. Eng. 2021, 187, 116578. [Google Scholar] [CrossRef]
- Qin, C.; Lee, J.; Lee, B.J. A Hybrid Direct-Absorption Parabolic-Trough Solar Collector Combining Both Volumetric and Surface Absorption. Appl. Therm. Eng. 2021, 185, 116333. [Google Scholar] [CrossRef]
- Kumar, R.; Bharadwaj, G.; Kharub, M.; Goel, V.; Kumar, A. Performance Analysis of Nanofluid Based Direct Absorption Solar Collector of Different Configurations: A Two-Phase CFD Modeling. Energy Sources Part A Recovery Util. Environ. Eff. 2022. [Google Scholar] [CrossRef]
- Karami, M.; Somayeh, S.; Gahraz, N. Improving Thermal Performance of a Solar Thermal/Desalination Combisystem Using Nanofluid-Based Direct Absorption Solar Collector. Sci. Iran. 2021, 29, 1288–1300. [Google Scholar] [CrossRef]
- Bhalla, V.; Khullar, V.; Tyagi, H. Investigation of Factors Influencing the Performance of Nanofluid-Based Direct Absorption Solar Collector Using Taguchi Method. J. Therm. Anal. Calorim. 2018, 135, 1493–1505. [Google Scholar] [CrossRef]
- Gorji, T.B.; Ranjbar, A.A. A Numerical and Experimental Investigation on the Performance of a Low-Flux Direct Absorption Solar Collector (DASC) Using Graphite, Magnetite and Silver Nanofluids. Sol. Energy 2016, 135, 493–505. [Google Scholar] [CrossRef]
- Thakur, P.P.; Khapane, T.S.; Sonawane, S.S. Comparative Performance Evaluation of Fly Ash-Based Hybrid Nanofluids in Microchannel-Based Direct Absorption Solar Collector. J. Therm. Anal. Calorim. 2021, 143, 1713–1726. [Google Scholar] [CrossRef]
- Parvin, S.; Nasrin, R.; Alim, M.A. Heat Transfer and Entropy Generation through Nanofluid Filled Direct Absorption Solar Collector. Int. J. Heat Mass Transf. 2014, 71, 386–395. [Google Scholar] [CrossRef]
- Sharaf, O.Z.; Al-Khateeb, A.N.; Kyritsis, D.C.; Abu-Nada, E. Direct Absorption Solar Collector (DASC) Modeling and Simulation Using a Novel Eulerian-Lagrangian Hybrid Approach: Optical, Thermal, and Hydrodynamic Interactions. Appl. Energy 2018, 231, 1132–1145. [Google Scholar] [CrossRef]
- Hazra, S.K.; Michael, M.; Nandi, T.K. Investigations on Optical and Photo-Thermal Conversion Characteristics of BN-EG and BN/CB-EG Hybrid Nanofluids for Applications in Direct Absorption Solar Collectors. Sol. Energy Mater. Sol. Cells 2021, 230, 111245. [Google Scholar] [CrossRef]
- Wang, K.; He, Y.; Zheng, Z.; Gao, J.; Kan, A.; Xie, H.; Yu, W. Experimental Optimization of Nanofluids Based Direct Absorption Solar Collector by Optical Boundary Conditions. Appl. Therm. Eng. 2021, 182, 116076. [Google Scholar] [CrossRef]
- Shen, C.; Yang, Q.; Zhang, C.; Ma, S.; Dong, Y. Optimized Optical Properties of Au Nanorods with Flow Regulation to Enhance the Performance of Direct Absorption Solar Collectors. Sol. Energy 2021, 218, 611–620. [Google Scholar] [CrossRef]
- Zhu, Y.; Li, P.; Ruan, Z.; Yuan, Y. A Model and Thermal Loss Evaluation of a Direct-Absorption Solar Collector under the Influence of Radiation. Energy Convers. Manag. 2022, 251, 114933. [Google Scholar] [CrossRef]
- Sharaf, O.Z.; Kyritsis, D.C.; Abu-Nada, E. Impact of Nanofluids, Radiation Spectrum, and Hydrodynamics on the Performance of Direct Absorption Solar Collectors. Energy Convers. Manag. 2018, 156, 706–722. [Google Scholar] [CrossRef]
- Fang, J.; Xuan, Y. Investigation of Optical Absorption and Photothermal Conversion Characteristics of Binary CuO/ZnO Nanofluids. RSC Adv. 2017, 7, 56023–56033. [Google Scholar] [CrossRef]
- Bhalla, V.; Khullar, V.; Tyagi, H. Experimental Investigation of Photo-Thermal Analysis of Blended Nanoparticles (Al2O3/Co3O4) for Direct Absorption Solar Thermal Collector. Renew. Energy 2018, 123, 616–626. [Google Scholar] [CrossRef]
- Mehrali, M.; Ghatkesar, M.K.; Pecnik, R. Full-Spectrum Volumetric Solar Thermal Conversion via Graphene/Silver Hybrid Plasmonic Nanofluids. Appl. Energy 2018, 224, 103–115. [Google Scholar] [CrossRef]
- Qu, J.; Zhang, R.; Wang, Z.; Wang, Q. Photo-Thermal Conversion Properties of Hybrid CuO-MWCNT/H2O Nanofluids for Direct Solar Thermal Energy Harvest. Appl. Therm. Eng. 2019, 147, 390–398. [Google Scholar] [CrossRef]
- Khashan, S.; Dagher, S.; Al Omari, S.; Tit, N.; Elnajjar, E.; Mathew, B.; Hilal-Alnaqbi, A. Photo-Thermal Characteristics of Water-Based Fe3O4@SiO2 Nanofluid for Solar-Thermal Applications. Mater. Res. Express 2017, 4, 055701. [Google Scholar] [CrossRef]
- Zeiny, A.; Jin, H.; Bai, L.; Lin, G.; Wen, D. A Comparative Study of Direct Absorption Nanofluids for Solar Thermal Applications. Sol. Energy 2018, 161, 74–82. [Google Scholar] [CrossRef]
- Karami, M. Experimental Investigation of First and Second Laws in a Direct Absorption Solar Collector Using Hybrid Fe3O4 /SiO2 Nanofluid. J. Therm. Anal. Calorim. 2019, 136, 661–671. [Google Scholar] [CrossRef]
- Wang, X.; He, Y.; Chen, M.; Hu, Y. ZnO-Au Composite Hierarchical Particles Dispersed Oil-Based Nanofluids for Direct Absorption Solar Collectors. Sol. Energy Mater. Sol. Cells 2018, 179, 185–193. [Google Scholar] [CrossRef]
- Sharaf, O.Z.; Kyritsis, D.C.; Al-Khateeb, A.N.; Abu-Nada, E. Effect of Bottom Surface Optical Boundary Conditions on Nanofluid-Based DASC: Parametric Study and Optimization. Sol. Energy 2018, 164, 210–223. [Google Scholar] [CrossRef]
- Karami, M.; Bozorgi, M.; Delfani, S.; Akhavan-Behabadi, M.A. Empirical Correlations for Heat Transfer in a Silver Nanofluid-Based Direct Absorption Solar Collector. Sustain. Energy Technol. Assessments 2018, 28, 14–21. [Google Scholar] [CrossRef]
















| Ref. | Solar System | Working Fluid Properties | Operating Parameters | Collector Design Parameters | Results |
|---|---|---|---|---|---|
| [97] | DASC | Base fluid—Water Nanoparticle Type—CuO/ZnO Particle size—30/50 nm Particle concentration—0.01 vol% (70:30) | Irradiance—1000 W/m2 | Panel Type—Quartz cuvette Size—2.5 × 12.5 × 45 mm | Thermal conductivity—+10% Transmittance—−100% Rise in temperature—15% Extinction coefficient—+100% Photo Thermal efficiency—97.35% |
| [98] | DASC | Base fluid—DI water Nanoparticle Type—Al2O3/Co3O4 Sample Thickness—10–30 mm Mass fraction—40 mg/L | Incident flux—8.5 W/cm2 | Diameter—20 mm Height—30 mm | Solar Absorptivity—+80% Penetration depth—20 mm Temperature rise—+5.4% |
| [99] | DASC | Base fluid—DI water Nanoparticle Type—Ag/rGO Ag particle size—25 to 45 nm Particle concentration—40 ppm | Irradiance—1326 W/m2 | Inner diameter—30 mm Collector Height—20 mm | Enhancement in collector efficiency—2.7 Times Collector efficiency—+77% Transmittance—−21% Extinction coefficient—+20% |
| [16] | DASC | Base fluid—water Nanoparticle type—SiO2/Au Particle size—10 nm core radius & 10 nm shell thickness Particle concentration—0.01 vol% | Mass flow rate—0.004 kg/ms | Collector length—1 m Collector height—1.5 cm Height variation—1–2 cm | Collector Efficiency—25% |
| [100] | DASC | Base fluid—water Nanoparticle type—CuO/MWCNT Particle size Ag—25–45 nm Particle concentration—0.0015 wt.% | — | Inner diameter—30 mm Outer diameter—45 mm Length—200 mm | Rise in temperature—+13.3% Transmittance—−530% Solar weighted absorption fraction—+233% Extinction coefficient—+500% |
| [101] | DASC | Base fluid—water Nanoparticle type—Fe3O4/SiO2 Particle size—400–500 nm Mass fraction—1 mg/mL | Irradiance—1000 W/m2 | Tube diameter—3.6 cm Collector height—5 cm | Temperature rise—+108% Enhancement in photothermal conversion efficiency—32.9% Efficiency—98.5% |
| [102] | DASC | Base fluid—DI Water Nanoparticle type—Au/Cu Particle size—2 to 3 nm Particle concentration—150/2000 mg/L | Irradiance—1000 W/m2 | — | Temperature Rise—+60–100% |
| [14] | DASC | Base fluid—DI Water Nanoparticle type—Au/Ag Particle size—29 ± 7 nm Volume fraction—0.00025% | — | — | Photothermal conversion efficiency—+41.37% |
| [103] | DASC | Base fluid—DI Water Nanoparticle type—Fe3SO4/SiO2 Particle size—30/15 nm Volume fraction—500 ppm, 1000 ppm & 2000 ppm Volume ratio—25:75, 50:50 & 75:25 | — | Collector size—60 × 60 × 1 cm | Exergy efficiency—+63.7% Collector efficiency—+16.6% Extinction coefficient—+800% |
| [104] | DASC | Base fluid—Silicone oil Nanoparticle type—ZnO/Au Particle size—80/13.3 nm Particle concentration—0.1, 0.5 & 1.0 mg/mL | Irradiance—10 k W/m2 | — | Photothermal Efficiency—+240% |
| [87] | DASC | Base fluid—DI water Nanoparticle type—Al2O3 Particle size—5 nm Mass fraction—20 to 100 mg/L | Irradiance—1000 W/m2 Mass flow rate—0.010 kg/s | Collector length—1 m Collector width—1 m Height of collector—6 to 12 m | Collector efficiency—38–85% Outlet temperature—28 to 80 °C |
| [105] | DASC | Base fluid—water Nanoparticle Type—Al, Au, Cu & Graphite | Irradiance—1000 W/m2 | Length—5 cm Width—3 cm Height—150 µm | — |
| [106] | DASC | Base fluid—DI water Nanoparticle Type—PVP (polyvinylpyrrolidone) coated silver Density 10.5 g/cm3 Volume fraction—250 ppm, 500 ppm & 1000 ppm | Tilt angle—20°, 35°, 50° Flow rate—0.0075 kg/s, 0.015 kg/s & 0.0225 kg/s | 60 × 60 × 1 cm | — |
| [18] | DASC | Base fluid—water Nanoparticle Type—Graphite Particle size–30 nm | 1000 W/m2 | Collector size—3 × 5 cm2 Collector depth—150 μm | Efficiency—84% Exergy efficiencies—94.3% |
Publisher’s Note: MDPI stays neutral with regard to jurisdictional claims in published maps and institutional affiliations. |
© 2022 by the authors. Licensee MDPI, Basel, Switzerland. This article is an open access article distributed under the terms and conditions of the Creative Commons Attribution (CC BY) license (https://creativecommons.org/licenses/by/4.0/).
Share and Cite
Hussain, M.; Shah, S.K.H.; Sajjad, U.; Abbas, N.; Ali, A. Recent Developments in Optical and Thermal Performance of Direct Absorption Solar Collectors. Energies 2022, 15, 7101. https://doi.org/10.3390/en15197101
Hussain M, Shah SKH, Sajjad U, Abbas N, Ali A. Recent Developments in Optical and Thermal Performance of Direct Absorption Solar Collectors. Energies. 2022; 15(19):7101. https://doi.org/10.3390/en15197101
Chicago/Turabian StyleHussain, Muzamil, Syed Khawar Hussain Shah, Uzair Sajjad, Naseem Abbas, and Ahsan Ali. 2022. "Recent Developments in Optical and Thermal Performance of Direct Absorption Solar Collectors" Energies 15, no. 19: 7101. https://doi.org/10.3390/en15197101
APA StyleHussain, M., Shah, S. K. H., Sajjad, U., Abbas, N., & Ali, A. (2022). Recent Developments in Optical and Thermal Performance of Direct Absorption Solar Collectors. Energies, 15(19), 7101. https://doi.org/10.3390/en15197101

