Influence of Multi-Period Tectonic Movement and Faults on Shale Gas Enrichment in Luzhou Area of Sichuan Basin, China
Abstract
1. Introduction
2. Geological Settings
3. Sample Selection and Experimental Method
3.1. Gas Content and X-ray Diffraction Analysis
3.2. Test of Porosity
3.3. Organic Carbon Content
3.4. Simulation of Strata Burial History and Reconstruction Technique of Structural Balance Profile
4. Results and Discussion
4.1. Structural Deformation and Evolution Characteristics
4.1.1. Superimposed Structural Deformation Characteristics
4.1.2. Plane Structural Style
4.1.3. Profile Structural Style
4.1.4. Tectonic Evolution Process
4.2. Fracture Development Characteristics and Main Controlling Factors
4.2.1. Development Characteristics of Faults
4.2.2. Characteristics of Crack Development
Transformational Shear Crack
Bed-Parallel Shear Crack
Intraformational Open Crack
Lamellation Crack
Shrinkage Crack
Abnormal High-Pressure Crack
4.2.3. Main Controlling Factors of Crack Development
Thickness of Shale Mechanical Layer
Brittleness Mineral Content
Organic Content
4.3. Control Factors of Shale Gas Differential Enrichment
4.3.1. Effect of Uplift Erosion on Shale Gas Enrichment
4.3.2. Influence of Tectonic Deformation on Shale Gas Enrichment
4.3.3. Influence of Fracture Characteristics on Shale Gas Enrichment
Influence of Fault Grade on Shale Gas Enrichment
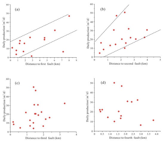
Influence of Distance from Fault and Fault Combination on Shale Gas Enrichment
Effect of Crack Characteristics on Shale Gas Enrichment
4.4. Differential Enrichment Model of Shale Gas
- Syncline type
- 2.
- Anticline type
5. Conclusions
- (1)
- The multi-stage tectonic movement in the Luzhou area has led to the development of NE–SW, NW–SE, E–W, and S–N superimposed structural deformations in the area. Longitudinally, the Luzhou area can be divided into the upper deformation layer, middle deformation layer, and lower deformation layer according to the structural detachment structure. On the plane, the structural form of the Luzhou area is a thin-skinned fold-thrust belt composed of a wide syncline and narrow anticline in the direction of north–south.
- (2)
- NE–SW-trending faults are mainly developed in the Luzhou area and nearly E–W and nearly S–N-trending faults are also developed. The faults are mainly high-angle reverse faults. According to the rock stratum level of the fault and the fault distance of the upper and lower walls, the evaluation criteria for the fault classification in the study area are established and divided into four levels. The number of first level faults in the study area is small, and the second, third, and fourth level faults are mainly developed in the area. Among them, the first and second level faults are mainly developed in the high and steep areas in the region, which have obvious destructive effects on shale gas reservoirs.
- (3)
- The shale of the Wufeng–Longmaxi Formation in the Luzhou area mainly develops NNW–SSE, NE–SW, and nearly S–N cracks. The Fuji syncline crack development degree is highest, where the density is 7.71 strip/ m. The Laisu–Yunjin syncline crack density is 2.06 strip/m. The Desheng–Baozang syncline crack development degree is the lowest, with a crack density of 1.31 strip/m. The types of cracks are divided according to the cause of the cracks: transformational shear cracks, bed-parallel shear cracks, intraformational open cracks, lamellation cracks, shrinkage cracks, and abnormal high-pressure cracks. The thickness of the shale rock mechanical layer, brittle mineral content, and organic matter content jointly control the crack development degree of shale in the Wufeng–Longmaxi Formation.
- (4)
- The influence of the uplift erosion, structural deformation, fault characteristics, and crack characteristics on the shale gas enrichment of the Wufeng–Longmaxi Formation in the Luzhou area is mainly manifested in the destructive behaviors that various factors have on shale gas preservation conditions. The earlier the lifting time, the thicker the denudation thickness and the lower the gas content of the shale. The weaker the tectonic deformation intensity, the better the preservation condition, and the higher the gas content. The closer to the first and second level faults, the worse the preservation conditions, and the lower the gas content. Under the condition of having a far distance from deep faults, the bedding fractures that are developed in the target layer play a positive role in the accumulation of shale gas, and the development of cross-layer high-angle fractures will aggravate the dissipation of shale gas.
- (5)
- Based on the shale gas enrichment factors, two shale gas enrichment models of a syncline and anticline were established in the Luzhou area of southern Sichuan. The syncline structure is relatively stable, the roof and floor conditions are good, there is an overall development of overpressure and shale gas enrichment is affected by uplift erosion and fracture characteristics. The structural styles of the anticlines are mostly narrow and steep anticlines with strong tectonic activity. The enrichment of shale gas is mainly affected by the fault systems.
Author Contributions
Funding
Acknowledgments
Conflicts of Interest
References
- Du, W.; Yang, W.; Li, X.; Shi, F.; Lin, R.; Wang, Y.; Zhang, D.; Chen, Y.; Sun, Z.; Zhao, F. Differential Reservoir-Forming Mechanisms of the Lower Paleozoic Wufeng-Longmaxi and Niutitang Marine Gas Shales in Northern Guizhou Province, SW China: Theories and Models. Energies 2022, 15, 5137. [Google Scholar] [CrossRef]
- Jia, C.; Pang, X.; Song, Y. The mechanism of unconventional hydrocarbon formation: Hydrocarbon self-sealing and intermolecular forces. Petrol. Explor. Dev. 2021, 48, 507–526. [Google Scholar] [CrossRef]
- Jiang, Z.; Song, Y.; Tang, X.; Li, Z.; Wang, X.; Wang, G.; Xue, Z.; Li, X.; Zhang, K.; Chang, J.; et al. Controlling factors of marine shale gas differential enrichment in southern China. Petrol. Explor. Dev. 2020, 47, 617–628. [Google Scholar] [CrossRef]
- Song, Y.; Li, Z.; Jiang, Z.; Luo, Q.; Liu, D.; Gao, Z. Progress and development trend of unconventional oil and gas geological research. Petrol. Explor. Dev. 2017, 44, 638–648. [Google Scholar] [CrossRef]
- Wan, Z.; Huang, T.; Craig, B. Barriers to the development of China’s shale gas industry. J. Clean. Prod. 2014, 84, 818–823. [Google Scholar] [CrossRef]
- Li, X.; Wang, Y.; Lin, W.; Ma, L.; Liu, D.; Zhang, Y. Tectonic Characteristics and its Effect on Shale Gas Preservation Condition in the Jingmen Region. Front. Earth Sci. 2022, 9, 1429. [Google Scholar] [CrossRef]
- Zou, C.; Zhao, Q.; Cong, L.; Wang, H.; Shi, Z.; Wu, J.; Pan, S. Development progress, potential and prospect of shale gas in China. Nat. Gas Ind. 2021, 41, 1–14. [Google Scholar]
- Sun, C.; Nie, H.; Dang, W.; Chen, Q.; Zhang, G.; Li, W.; Lu, Z. Shale Gas Exploration and Development in China: Current Status, Geological Challenges, and Future Directions. Energy Fuels 2021, 35, 6359–6379. [Google Scholar] [CrossRef]
- Dong, D.; Wang, Y.; Li, X.; Zou, C.; Guan, Q.; Zhang, C.; Huang, J.; Wang, S.; Wang, H.; Liu, H.; et al. Breakthrough and prospect of shale gas exploration and development in China. Nat. Gas Ind. 2016, 36, 19–32. [Google Scholar] [CrossRef]
- Shi, X.; Kang, S.; Luo, C.; Wu, W.; Zhao, S.; Zhu, D.; Zhang, H.; Yang, Y.; Xiao, Z.; Li, Y. Shale gas exploration potential and reservoir conditions of the Longmaxi Formation in the Changning area, Sichuan Basin, SW China: Evidence from mud gas isotope logging. J. Asian Earth Sci. 2022, 233, 105239. [Google Scholar] [CrossRef]
- Zhai, G.Y.; Wang, Y.F.; Zhou, Z.; Yu, S.F.; Chen, X.L.; Zhang, Y.X. Exploration and research progress of shale gas in China. China Geol. 2018, 1, 257–272. [Google Scholar] [CrossRef]
- Hu, D.; Xu, S. Opportunity, challenges and policy choices for China on the development of shale gas. Energy Policy 2013, 60, 21–26. [Google Scholar] [CrossRef]
- Yu, S.; Wang, X.; Li, S.; Liu, Y.; Xiao, L.; Liu, X.; Zhao, W.; Zhang, J. Impact of Geological Factors on Marine Shale Gas Enrichment and Reserve Estimation: A Case Study of Jiaoshiba Area in Fuling Gas Field. Geofluids 2021, 2021, 1–9. [Google Scholar] [CrossRef]
- Tonglou, G. The Fuling Shale Gas Field—A highly productive Silurian gas shale with high thermal maturity and complex evolution history, southeastern Sichuan Basin, China. Interpretation 2015, 3, SJ25–SJ34. [Google Scholar]
- Xusheng, G.; Dongfeng, H.U.; Yuping, L.I.; Zhihong, W.; Xiangfeng, W.; Zhujiang, L. Geological factors controlling shale gas enrichment and high production in Fuling shale gas field. Pet. Explor. Dev. Online 2017, 44, 513–523. [Google Scholar]
- He, D.; Li, D.; Zhang, G.; Zhao, L.; Fan, C.; Lu, R.; Wen, Z. Formation and evolution of multi-cycle superposed Sichuan Basin, China. Sci. Geol. Sin. 2011, 46, 589–606. [Google Scholar]
- Wu, J.; Liang, C.; Yang, R.; Xie, J. The significance of organic matter-mineral associations in different lithofacies in the Wufeng and longmaxi shale-gas reservoirs in the Sichuan Basin. Mar. Petrol. Geol. 2021, 126, 104866. [Google Scholar] [CrossRef]
- Tonglou, G.; Hanrong, Z. Formation and enrichment mode of Jiaoshiba shale gas field, Sichuan Basin. Pet. Explor. Dev. 2014, 41, 31–40. [Google Scholar]
- Tian, H.; Zeng, L.; Ma, S.; Li, H.; Mao, Z.; Peng, Y.; Xu, X.; Feng, D. Effects of different types of fractures on shale gas preservation in Lower Cambrian shale of northern Sichuan Basin: Evidence from macro-fracture characteristics and microchemical analysis. J. Petrol. Sci. Eng. 2022, 218, 110973. [Google Scholar] [CrossRef]
- Nie, H.; Li, P.; Dang, W.; Ding, J.; Sun, C.; Liu, M.; Wang, J.; Du, W.; Zhang, P.; Li, D.; et al. Enrichment characteristics and exploration directions of deep shale gas of Ordovician–Silurian in the Sichuan Basin and its surrounding areas, China. Pet. Explor. Dev. Online 2022, 49, 744–757. [Google Scholar] [CrossRef]
- Zhang, G.W.; Guo, A.; Wang, Y.J.; Li, S.Z.; Dong, Y.P.; Liu, S.F.; He, D.F.; Cheng, S.Y.; Lu, R.K.; Yao, A.P. Tectonics of South China continent and its implications. Sci. China Earth Sci. 2013, 56, 1804–1828. [Google Scholar] [CrossRef]
- Chen, S.; Zhu, Y.; Chen, S.; Han, Y.; Fu, C.; Fang, J. Hydrocarbon generation and shale gas accumulation in the Longmaxi Formation, Southern Sichuan Basin, China. Mar. Petrol. Geol. 2017, 86, 248–258. [Google Scholar]
- Xiong, X.; Gao, R.; Guo, L.; Wang, H.; Jiang, Z. The Deep Structure Feature of the Sichuan Basin and Adjacent Orogens. Acta Geol. Sin. Engl. Ed. 2015, 89, 1153–1164. [Google Scholar]
- Liao, J.; Zhao, N.; Chen, Y.; Tang, H.; Zheng, M.; Wu, W.; Luo, C.; Li, C.; Leng, Y. Constraints of sedimentary structures on key parameters of shale gas reservoirs: A case study of the Wufeng and Longmaxi formations of theOrdovician-Silurian transition in Luzhou area, Sichuan Basin, southwestern China. Geol. J. 2021, 56, 5691–5711. [Google Scholar] [CrossRef]
- Zhang, Y.; Jiang, S.; He, Z.; Li, Y.; Xiao, D.; Chen, G.; Zhao, J. Coupling between Source Rock and Reservoir of Shale Gas in Wufeng-Longmaxi Formation in Sichuan Basin, South China. Energies 2021, 14, 2679. [Google Scholar] [CrossRef]
- Xue, H.; Jiang, P.; Xu, R.; Zhao, B.; Shangwen, Z. Characterization of the reservoir in Lower Silurian and Lower Cambrian shale of south Sichuan Basin, China. J. Nat. Gas Sci. Eng. 2016, 29, 150–159. [Google Scholar] [CrossRef]
- Li, J.; Lu, S.; Zhang, P.; Cai, J.; Li, W.; Wang, S.; Feng, W. Estimation of gas-in-place content in coal and shale reservoirs: A process analysis method and its preliminary application. Fuel 2020, 259, 116266. [Google Scholar] [CrossRef]
- Cheng, G.; Jiang, B.; Li, M.; Li, F.; Zhu, M. Structural evolution of southern Sichuan Basin (South China) and its control effects on tectonic fracture distribution in Longmaxi shale. J. Struct. Geol. 2021, 153, 104465. [Google Scholar] [CrossRef]
- Liu, S.; Yang, Y.; Deng, B.; Zhong, Y.; Wen, L.; Sun, W.; Li, Z.; Jansa, L.; Li, J.; Song, J.; et al. Tectonic evolution of the Sichuan Basin, Southwest China. Earth-Sci. Rev. 2021, 213, 103470. [Google Scholar] [CrossRef]
- Feng, Q.; Qiu, N.; Borjigin, T.; Wu, H.; Zhang, J.; Shen, B.; Wang, J. Tectonic evolution revealed by thermo-kinematic and its effect on shale gas preservation. Energy 2022, 240, 122781. [Google Scholar] [CrossRef]
- Tonglou, G.; Ping, Z. The Structural and Preservation Conditions for Shale Gas Enrichment and High Productivity in the Wufeng—Longmaxi Formation, Southeastern Sichuan Basin. Energy Explor. Exploit. 2015, 33, 259–276. [Google Scholar]
- Zeng, L.; Lyu, W.; Li, J.; Zhu, L.; Weng, J.; Yue, F.; Zu, K. Natural fractures and their influence on shale gas enrichment in Sichuan Basin, China. J. Nat. Gas. Sci. Eng. 2016, 30, 1–9. [Google Scholar] [CrossRef]
- Shang, X.; Long, S.; Duan, T. Fracture system in shale gas reservoir: Prospect of characterization and modeling techniques. J. Nat. Gas Geosci. 2021, 6, 157–172. [Google Scholar] [CrossRef]
- Ding, W.; Zhu, D.; Cai, J.; Gong, M.; Chen, F. Analysis of the developmental characteristics and major regulating factors of fractures in marine–continental transitional shale-gas reservoirs: A case study of the Carboniferous–Permian strata in the southeastern Ordos Basin, central China. Mar. Petrol. Geol. 2013, 45, 121–133. [Google Scholar] [CrossRef]
- Hu, D.; Zhang, H.; Ni, K.; Yu, G. Preservation conditions for marine shale gas at the southeastern margin of the Sichuan Basin and their controlling factors. Nat. Gas Ind. B 2014, 1, 178–184. [Google Scholar] [CrossRef][Green Version]
- Fan, C.; Li, H.; Qin, Q.; He, S.; Cheng, Z. Geological conditions and exploration potential of shale gas reservoir in Wufeng and Longmaxi Formation of southeastern Sichuan Basin, China. J. Petrol. Sci. Eng. 2020, 191, 107138. [Google Scholar] [CrossRef]
- Yi, J.; Bao, H.; Zheng, A.; Zhang, B.; Shu, Z.; Li, J.; Wang, C. Main factors controlling marine shale gas enrichment and high-yield wells in South China: A case study of the Fuling shale gas field. Mar. Petrol. Geol. 2019, 103, 114–125. [Google Scholar] [CrossRef]
- Liu, W.; Wu, J.; Jiang, H.; Zhou, Z.; Luo, C.; Wu, W.; Li, X.; Liu, S.; Deng, B. Cenozoic exhumation and shale-gas enrichment of the Wufeng-Longmaxi formation in the southern Sichuan basin, western China. Mar. Petrol. Geol. 2021, 125, 104865. [Google Scholar] [CrossRef]
- Tang, X.L.; Jiang, Z.X.; Jiang, S.; Wang, H.Y.; He, Z.L.; Feng, J. Structure, burial, and gas accumulation mechanisms of lower Silurian Longmaxi Formation shale gas reservoirs in the Sichuan Basin (China) and its periphery. AAPG Bull. 2021, 105, 2425–2447. [Google Scholar] [CrossRef]
- Nie, H.; He, Z.; Wang, R.; Zhang, G.; Chen, Q.; Li, D.; Lu, Z.; Sun, C. Temperature and origin of fluid inclusions in shale veins of Wufeng–Longmaxi Formations, Sichuan Basin, south China: Implications for shale gas preservation and enrichment. J. Petrol. Sci. Eng. 2020, 193, 107329. [Google Scholar] [CrossRef]
- Ge, X.; Hu, W.; Ma, Y.; Li, M.; Tang, J.; Zhao, P. Quantitative evaluation of geological conditions for shale gas preservation based on vertical and lateral constraints in the Songkan area, Northern Guizhou, southern China. Mar. Petrol. Geol. 2021, 124, 104787. [Google Scholar] [CrossRef]
- Zhang, K.; Song, Y.; Jiang, S.; Jiang, Z.; Jia, C.; Huang, Y.; Liu, X.; Wen, M.; Wang, X.; Li, X.; et al. Shale gas accumulation mechanism in a syncline setting based on multiple geological factors: An example of southern Sichuan and the Xiuwu Basin in the Yangtze Region. Fuel 2019, 241, 468–476. [Google Scholar] [CrossRef]
- Zhang, K.; Song, Y.; Jia, C.; Jiang, Z.; Jiang, S.; Huang, Y.; Wen, M.; Liu, X.; Liu, W.; Chen, Z.; et al. Vertical sealing mechanism of shale and its roof and floor and effect on shale gas accumulation, a case study of marine shale in Sichuan basin, the Upper Yangtze area. J. Petrol. Sci. Eng. 2019, 175, 743–754. [Google Scholar] [CrossRef]
- Zhang, K.; Jiang, Z.; Xie, X.; Gao, Z.; Liu, T.; Yin, L.; Jia, C.; Song, Y.; Shan, C.A.; Wu, Y.; et al. Lateral Percolation and Its Effect on Shale Gas Accumulation on the Basis of Complex Tectonic Background. Geofluids 2018, 2018, 1–11. [Google Scholar] [CrossRef]
- Tang, X.; Jiang, Z.; Song, Y.; Luo, Q.; Li, Z.; Wang, G.; Wang, X. Advances on the Mechanism of Reservoir Forming and Gas Accumulation of the Longmaxi Formation Shale in Sichuan Basin, China. Energy Fuels 2021, 35, 3972–3988. [Google Scholar] [CrossRef]
- Dai, J.; Dong, D.; Ni, Y.; Hong, F.; Zhang, S.; Zhang, Y.; Ding, L. Several essential geological and geochemical issues regarding shale gas research in China. J. Nat. Gas Geosci. 2020, 5, 169–184. [Google Scholar] [CrossRef]
- Guo, T. Key geological issues and main controls on accumulation and enrichment of Chinese shale gas. Petrol. Explor. Dev. 2016, 43, 349–359. [Google Scholar] [CrossRef]
- Shi, Y.; Tang, X.; Wu, W.; Jiang, Z.; Xiang, S.; Wang, M.; Zhou, Y.; Xiao, Y. Control of Complex Structural Deformation and Fractures on Shale Gas Enrichment in Southern Sichuan Basin, China. Energy Fuel 2022, 36, 6229–6242. [Google Scholar] [CrossRef]
- Fan, C.; Zhong, C.; Zhang, Y.; Qin, Q.; He, S. Geological Factors Controlling the Accumulation and High Yield of Marine-Facies Shale Gas: Case Study of the Wufeng-Longmaxi Formation in the Dingshan Area of Southeast Sichuan, China. Acta Geol. Sin.-Engl. 2019, 93, 536–560. [Google Scholar] [CrossRef]
- He, S.; Qin, Q.; Li, H.; Wang, S. Deformation Differences in Complex Structural Areas in the Southern Sichuan Basin and Its Influence on Shale Gas Preservation: A Case Study of Changning and Luzhou Areas. Front. Earth Sci. 2022, 9, 1383. [Google Scholar] [CrossRef]
- Li, S.; Li, Y.; He, Z.; Chen, K.; Zhou, Y.; Yan, D. Differential deformation on two sides of Qiyueshan Fault along the eastern margin of Sichuan Basin, China, and its influence on shale gas preservation. Mar. Petrol. Geol. 2020, 121, 104602. [Google Scholar] [CrossRef]
- He, Z.; Nie, H.; Li, S.; Luo, J.; Wang, H.; Zhang, G. Differential enrichment of shale gas in upper Ordovician and lower Silurian controlled by the plate tectonics of the Middle-Upper Yangtze, south China. Mar. Petrol. Geol. 2020, 118, 104357. [Google Scholar] [CrossRef]
- Ma, Y.; Cai, X.; Zhao, P. China’s shale gas exploration and development: Understanding and practice. Petrol. Explor. Dev. 2018, 45, 589–603. [Google Scholar] [CrossRef]
- Guo, X.; Hu, D.; Huang, R.; Wei, Z.; Duan, J.; Wei, X.; Fan, X.; Miao, Z. Deep and ultra-deep natural gas exploration in the Sichuan Basin: Progress and prospect. Nat. Gas Ind. B 2020, 7, 419–432. [Google Scholar] [CrossRef]
















| Number | Well | Formation | Depth/m |
|---|---|---|---|
| 1 | L1 | Longmaxi | 3799.50 |
| 2 | L2 | Longmaxi | 3724.18 |
| 3 | L2 | Wufeng | 3755.60 |
| 4 | L3 | Wufeng | 4036.53 |
| 5 | L4 | Wufeng | 4053.18 |
| 6 | L5 | Longmaxi | 3395.87 |
| 7 | L5 | Wufeng | 3461.67 |
| 8 | L6 | Longmaxi | 4280.80 |
| 9 | Y1 | Longmaxi | 4150.10 |
| 10 | Y2 | Longmaxi | 4146.83 |
| 11 | Z1 | Wufeng | 4108.85 |
| 12 | G1 | Longmaxi | 3679.00 |
| 13 | Y3 | Longmaxi | 3847.70 |
| 14 | H1 | Longmaxi | 4289.60 |
| Fault Level | Principle of Classification | Evaluation |
|---|---|---|
| First fault | A large fault that breaks upward to the surface that controls the structure. | It causes great damage to shale gas preservation. Attention should be paid to such faults in the seismic deployment, and the influence area of such faults should be deduced when calculating the favorable area. |
| Second fault | There are many broken layers (upwardly broken Permian or Triassic), and the drop between the upper and lower plates of the fault is large. | It has some impact on shale gas preservation conditions, but it has a great impact on drilling and other construction projects, which not only causes complex well leakage, but also makes it difficult to enter the target, or the trajectory deviates from the target layer and becomes difficult to recover. |
| Third fault | The internal strata of the Silurian are broken up upward, and the drop between the upper and lower plates of the fault is generally 40–100 m. | It has little effect on shale gas preservation, but to a certain extent, it will lead to trajectory out of the box, resulting in invalid footage, and should thus be avoided as far as possible in the deployment of horizontal wells. |
| Fourth fault | Only the Longmaxi formation is broken, and the difference between the upper and lower plates of the fault is 20–40 m. | It has no effect on shale gas preservation, but it will lead to trajectory out of the box or invalid footage. The horizontal well deployment should be avoided as far as possible, and the fault influence can also be reduced by the well drilling design and geological guidance so as to obtain a high yield. |
| Area | Well | Uplift Rate (m/Ma) | Uplift Time (Ma) | Denudation Thickness (m) | Gas Content (m3/t) | Pressure Coefficient |
|---|---|---|---|---|---|---|
| Fuji syncline | L1 | 36.89 | 61 | 2250 | 6.70 | 2.10 |
| Desheng syncline | Y1 | 35.80 | 69 | 2470 | 4.07 | 1.75 |
| Laisu–Yunjin syncline | L6 | 33.33 | 75 | 2500 | 3.17 | 1.65 |
Publisher’s Note: MDPI stays neutral with regard to jurisdictional claims in published maps and institutional affiliations. |
© 2022 by the authors. Licensee MDPI, Basel, Switzerland. This article is an open access article distributed under the terms and conditions of the Creative Commons Attribution (CC BY) license (https://creativecommons.org/licenses/by/4.0/).
Share and Cite
Shi, X.; Wu, W.; Shi, Y.; Jiang, Z.; Zeng, L.; Ma, S.; Shao, X.; Tang, X.; Zheng, M. Influence of Multi-Period Tectonic Movement and Faults on Shale Gas Enrichment in Luzhou Area of Sichuan Basin, China. Energies 2022, 15, 6846. https://doi.org/10.3390/en15186846
Shi X, Wu W, Shi Y, Jiang Z, Zeng L, Ma S, Shao X, Tang X, Zheng M. Influence of Multi-Period Tectonic Movement and Faults on Shale Gas Enrichment in Luzhou Area of Sichuan Basin, China. Energies. 2022; 15(18):6846. https://doi.org/10.3390/en15186846
Chicago/Turabian StyleShi, Xuewen, Wei Wu, Yuguang Shi, Zhenxue Jiang, Lianbo Zeng, Shijie Ma, Xindi Shao, Xianglu Tang, and Majia Zheng. 2022. "Influence of Multi-Period Tectonic Movement and Faults on Shale Gas Enrichment in Luzhou Area of Sichuan Basin, China" Energies 15, no. 18: 6846. https://doi.org/10.3390/en15186846
APA StyleShi, X., Wu, W., Shi, Y., Jiang, Z., Zeng, L., Ma, S., Shao, X., Tang, X., & Zheng, M. (2022). Influence of Multi-Period Tectonic Movement and Faults on Shale Gas Enrichment in Luzhou Area of Sichuan Basin, China. Energies, 15(18), 6846. https://doi.org/10.3390/en15186846

