Numerical Investigation on Thermal–Hydraulic Performance of a Printed Circuit Heat Exchanger for Liquid Air Energy Storage System
Abstract
:1. Introduction
2. Physical Model and Computational Method
2.1. Physical Model and Boundary Condition
2.2. Numerical Method
2.3. Simulation Conditions
2.4. Grid Independence Test and Model Validation
3. Results and Discussion
3.1. The Characteristics of Internal Flow and Heat Transfer
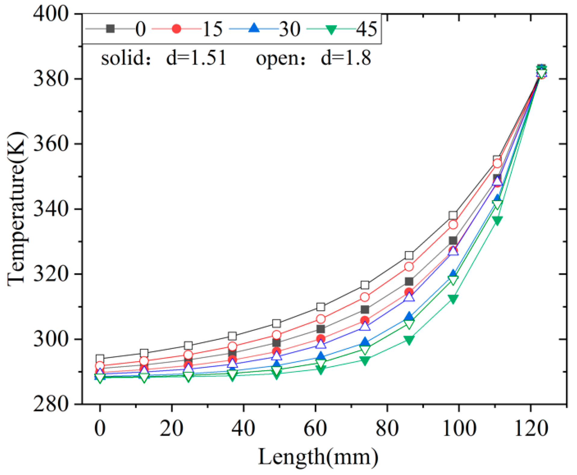
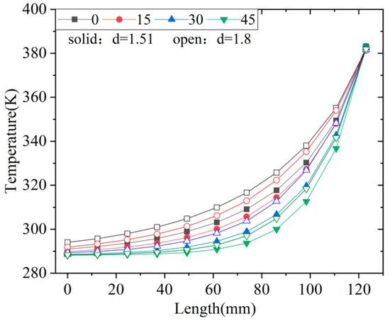
3.2. Effect of Hydraulic Diameter on the Performance of PCHE
3.3. Local Heat Transfer Behavior of PCHE
3.4. The Comprehensive Performance of the Wavy Channel
4. Conclusions
- It is feasible to adopt PCHE to realize the intermediate cooling of compressed air in the LNG–LAES system. The hydraulic diameter influenced the heat transfer performance of the wavy channel, and the heat flux increased when the flow direction changes.
- The pressure variation of air had a limited effect on PCHE heat transfer. The temperature distributions of the cold and hot fluids were almost the same for the four-stage intercooled heat exchanger, but the flow resistance distribution showed a great difference; a higher air pressure led to a smaller flow resistance.
- The incline angle had a significant effect on heat transfer and flow resistance. The best performance in terms of heat transfer and resistance was realized when the bending angle was 15° in this study.
Author Contributions
Funding
Institutional Review Board Statement
Informed Consent Statement
Data Availability Statement
Conflicts of Interest
References
- Qi, M.; Park, J.; Kim, J.; Lee, I.; Moon, I. Advanced integration of LNG regasification power plant with liquid air energy storage: Enhancements in flexibility, safety, and power generation. Appl. Energy 2020, 269, 115049. [Google Scholar] [CrossRef]
- She, X.; Zhang, T.; Cong, L.; Peng, X.; Li, C.; Luo, Y.; Ding, Y. Flexible integration of liquid air energy storage with liquefied natural gas regasification for power generation enhancement. Appl. Energy 2019, 251, 113355. [Google Scholar] [CrossRef]
- Park, J.; Lee, I.; Moon, I. A Novel Design of LNG Regasification Power Plant Integrated with Cryogenic Energy Storage System. Ind. Eng. Chem. Res. 2017, 56, 1288–1296. [Google Scholar] [CrossRef]
- Lee, I.; Park, J.; Moon, I. Conceptual design and exergy analysis of combined cryogenic energy storage and LNG regasification processes: Cold and power integration. Energy 2017, 140, 106–115. [Google Scholar] [CrossRef]
- Park, J.; You, F.; Cho, H.; Lee, I.; Moon, I. Novel massive thermal energy storage system for liquefied natural gas cold energy recovery. Energy 2020, 195, 117022. [Google Scholar] [CrossRef]
- Ma, T.; Li, L.; Xu, X.-Y.; Chen, Y.-T.; Wang, Q.-W. Study on local thermal–hydraulic performance and optimization of zigzag-type printed circuit heat exchanger at high temperature. Energy Convers. Manag. 2015, 104, 55–66. [Google Scholar] [CrossRef]
- Natesan, K.; Moisseytsev, A.; Majumdar, S. Preliminary issues associated with the next generation nuclear plant intermediate heat exchanger design. J. Nucl. Mater. 2009, 392, 307–315. [Google Scholar] [CrossRef]
- Saeed, M.; Kim, M.-H. Thermal and hydraulic performance of SCO2 PCHE with different fin configurations. Appl. Therm. Eng. 2017, 127, 975–985. [Google Scholar] [CrossRef]
- Yang, Y.; Li, H.; Xie, B.; Zhang, L.; Zhang, Y. Experimental study of the flow and heat transfer performance of a PCHE with rhombic fin channels. Energy Convers. Manag. 2022, 254, 115137. [Google Scholar] [CrossRef]
- Wang, Q.; Xu, B.; Huang, X.; Chen, Q.; Wang, H. Heat transfer and flow characteristics of straight-type PCHEs with rectangular channels of different widths. Nucl. Eng. Des. 2022, 391, 111734. [Google Scholar] [CrossRef]
- Baik, Y.-J.; Jeon, S.; Kim, B.; Jeon, D.; Byon, C. Heat transfer performance of wavy-channeled PCHEs and the effects of waviness factors. Int. J. Heat Mass Transf. 2017, 114, 809–815. [Google Scholar] [CrossRef]
- Zhang, Y.; Peng, M.; Xia, G.; Cong, T. Numerical investigation on local heat transfer characteristics of S-CO2 in horizontal semicircular microtube. Appl. Therm. Eng. 2019, 154, 380–392. [Google Scholar] [CrossRef]
- Ngo, T.L.; Kato, Y.; Nikitin, K.; Ishizuka, T. Heat transfer and pressure drop correlations of microchannel heat exchangers with S-shaped and zigzag fins for carbon dioxide cycles. Exp. Therm. Fluid Sci. 2007, 32, 560–570. [Google Scholar] [CrossRef]
- Tsuzuki, N.; Kato, Y.; Nikitin, K.; Ishizuka, T. Advanced Microchannel Heat Exchanger with S-shaped Fins. J. Nucl. Sci. Technol. 2009, 46, 403–412. [Google Scholar] [CrossRef]
- Lee, S.-M.; Kim, K.-Y. Optimization of zigzag flow channels of a printed circuit heat exchanger for nuclear power plant application. J. Nucl. Sci. Technol. 2012, 49, 343–351. [Google Scholar] [CrossRef]
- Aneesh, A.M.; Sharma, A.; Srivastava, A.; Chaudhury, P. Effects of wavy channel configurations on thermal-hydraulic characteristics of Printed Circuit Heat Exchanger (PCHE). Int. J. Heat Mass Transf. 2018, 118, 304–315. [Google Scholar] [CrossRef]
- Xu, X.; Ma, T.; Li, L.; Zeng, M.; Chen, Y.; Huang, Y.; Wang, Q. Optimization of fin arrangement and channel configuration in an airfoil fin PCHE for supercritical CO2 cycle. Appl. Therm. Eng. 2014, 70, 867–875. [Google Scholar] [CrossRef]
- Kim, I.H.; No, H.C. Physical model development and optimal design of PCHE for intermediate heat exchangers in HTGRs. Nucl. Eng. Des. 2012, 243, 243–250. [Google Scholar] [CrossRef]
- Lee, S.-M.; Kim, K.-Y. Comparative study on performance of a zigzag printed circuit heat exchanger with various channel shapes and configurations. Heat Mass Transf. 2013, 49, 1021–1028. [Google Scholar] [CrossRef]
- Zhao, Z.; Chen, X.; Zhang, X.; Ma, X.; Yang, S. Experimental and numerical study on thermal-hydraulic performance of printed circuit heat exchanger for liquefied gas vaporization. Energy Sci. Eng. 2020, 8, 426–440. [Google Scholar] [CrossRef]
- Zhao, Z.; Zhou, Y.; Ma, X.; Chen, X.; Li, S.; Yang, S. Numerical Study on Thermal Hydraulic Performance of Supercritical LNG in Zigzag-Type Channel PCHEs. Energies 2019, 12, 548. [Google Scholar] [CrossRef]
- Zhao, Z.; Zhou, Y.; Ma, X.; Chen, X.; Li, S.; Yang, S. Effect of Different Zigzag Channel Shapes of PCHEs on Heat Transfer Performance of Supercritical LNG. Energies 2019, 12, 2085. [Google Scholar] [CrossRef]
- Zhao, Z.; Chen, X.; Li, S.; Yang, S.; Huang, L. Methodology of design and analysis on the thermal hydraulic performance of the cross-flow printed circuit heat exchanger. Int. J. Heat Mass Transf. 2020, 156, 119756. [Google Scholar] [CrossRef]
- Bai, J.; Pan, J.; He, X.; Wang, K.; Tang, L.; Yang, R. Numerical investigation on thermal hydraulic performance of supercritical LNG in sinusoidal wavy channel based printed circuit vaporizer. Appl. Therm. Eng. 2020, 175, 115379. [Google Scholar] [CrossRef]
- NIST Standard Reference Database 23. The US Secretary of Commerce 2013. Available online: https://webbook.nist.gov/chemistry/name-ser/ (accessed on 21 June 2021).
- Kim, I.H.; No, H.C. Thermal hydraulic performance analysis of a printed circuit heat exchanger using a helium–water test loop and numerical simulations. Appl. Therm. Eng. 2011, 31, 4064–4073. [Google Scholar] [CrossRef]
- Pan, J.; Wang, J.; Tang, L.; Bai, J.; Li, R.; Lu, Y.; Wu, G. Numerical investigation on thermal-hydraulic performance of a printed circuit LNG vaporizer. Appl. Therm. Eng. 2020, 165, 114447. [Google Scholar] [CrossRef]
- Kim, I. Experimental and Numerical Investigations of Thermal-Hydraulic Characteristics for the Design of a Printed Circuit Heat Exchanger (PCHE) in HTGRs; Korea Advanced Institute of Science and Technology: Daejeon, Korea, 2011. [Google Scholar]
- Khan, H.H.; Sharma, A.; Srivastava, A.; Chaudhuri, P. Thermal-hydraulic characteristics and performance of 3D wavy channel based printed circuit heat exchanger. Appl. Therm. Eng. 2015, 87, 519–528. [Google Scholar] [CrossRef]












| Air | Flowrate (kg/s) | Temperature (°C) | Pressure (MPa) |
|---|---|---|---|
| S1 | 139.7 | 15 | 0.1013 |
| S2 | 110.1 | 0.2499 | |
| S3 | 20.0 | 0.2499 | |
| S4 | 116.4 | 0.6145 | |
| S5 | 20.0 | 0.6145 | |
| S6 | 116.5 | 1.5100 | |
| S7 | 20.0 | 1.5100 | |
| S8 | 116.7 | 3.7000 | |
| S9 | 20.0 | 3.7000 |
| Parameter | Grid 1 (1.51 M) | Grid 2 (2.21 M) | Grid 3 (2.64 M) | Deviation 1 (%) | Deviation 2 (%) |
|---|---|---|---|---|---|
| (K) | 3.4 | 3.4 | 3.5 | −0.028 | −0.028 |
| (K) | 91.5 | 91.5 | 91.5 | 0 | 0 |
| (Pa) | 1353.9 | 1356.9 | 1358.9 | −0.3679 | −0.1472 |
| (Pa) | 2266.5 | 2273.9 | 2306.9 | −1.7513 | −1.4305 |
| Parameter | Experimental Data | Numerical Data | Error (%) |
|---|---|---|---|
| (K) | 24.95 | 25.08 | 0.52 |
| (K) | 143.98 | 144.01 | 0.02 |
| (Pa) | 5450 | 4822 | −11.52 |
| (Pa) | 10165 | 9078 | −10.69 |
| Incline Angle | 0 | 15 | 30 | 45 | |
|---|---|---|---|---|---|
| d = 1.51 mm | Average Nu | 8.1366 | 9.3479 | 12.2068 | 15.6657 |
| Pressure drop (Pa) | 1537.2 | 2280.9 | 5307.6 | 13,765.7 | |
| d = 1.8 mm | Average Nu | 8.3811 | 9.0204 | 11.0493 | 13.0880 |
| Pressure drop (Pa) | 1197.3 | 1960.9 | 4554.6 | 12,109.3 | |
| Incline Angle | P = 0.2499 | P = 0.6145 | P = 1.51 | P = 3.7 |
|---|---|---|---|---|
| 15o | 0.750227 | 0.75679 | 0.752774 | 0.747944 |
| 30o | 0.448855 | 0.445173 | 0.443299 | 0.446126 |
| 45o | 0.270365 | 0.266512 | 0.268238 | 0.271713 |
Publisher’s Note: MDPI stays neutral with regard to jurisdictional claims in published maps and institutional affiliations. |
© 2022 by the authors. Licensee MDPI, Basel, Switzerland. This article is an open access article distributed under the terms and conditions of the Creative Commons Attribution (CC BY) license (https://creativecommons.org/licenses/by/4.0/).
Share and Cite
Liu, H.; Zhang, Y.; Yu, P.; Xue, J.; Zhang, L.; Che, D. Numerical Investigation on Thermal–Hydraulic Performance of a Printed Circuit Heat Exchanger for Liquid Air Energy Storage System. Energies 2022, 15, 6347. https://doi.org/10.3390/en15176347
Liu H, Zhang Y, Yu P, Xue J, Zhang L, Che D. Numerical Investigation on Thermal–Hydraulic Performance of a Printed Circuit Heat Exchanger for Liquid Air Energy Storage System. Energies. 2022; 15(17):6347. https://doi.org/10.3390/en15176347
Chicago/Turabian StyleLiu, Hu, Yankang Zhang, Pengfei Yu, Jingwen Xue, Lei Zhang, and Defu Che. 2022. "Numerical Investigation on Thermal–Hydraulic Performance of a Printed Circuit Heat Exchanger for Liquid Air Energy Storage System" Energies 15, no. 17: 6347. https://doi.org/10.3390/en15176347
APA StyleLiu, H., Zhang, Y., Yu, P., Xue, J., Zhang, L., & Che, D. (2022). Numerical Investigation on Thermal–Hydraulic Performance of a Printed Circuit Heat Exchanger for Liquid Air Energy Storage System. Energies, 15(17), 6347. https://doi.org/10.3390/en15176347

