Active Disturbance Rejection Control for Wind Turbine Fatigue Load
Abstract
:1. Introduction
2. Wind Turbine Modeling
2.1. Wind Turbine Model
2.2. Load-Reduction Control
3. Design and Optimization of LADRC
3.1. Active Disturbance Rejection Technology
3.2. Optimization of Controller Parameters
- Initialize the random position and velocity of each particle in the particle swarm within the specified interval.
- Calculate the fitness function of each particle to determine this globally optimal solution.
- Update the position and velocity of the particle according to the current globally optimal solution and the historical globally optimal solution.
- Determine whether the set maximum number of iterations is reached and whether the minimum limit is met. If satisfied, end the iteration; otherwise, repeat steps 2–4.
4. Simulation Results and Discussions
4.1. Controller Parameters
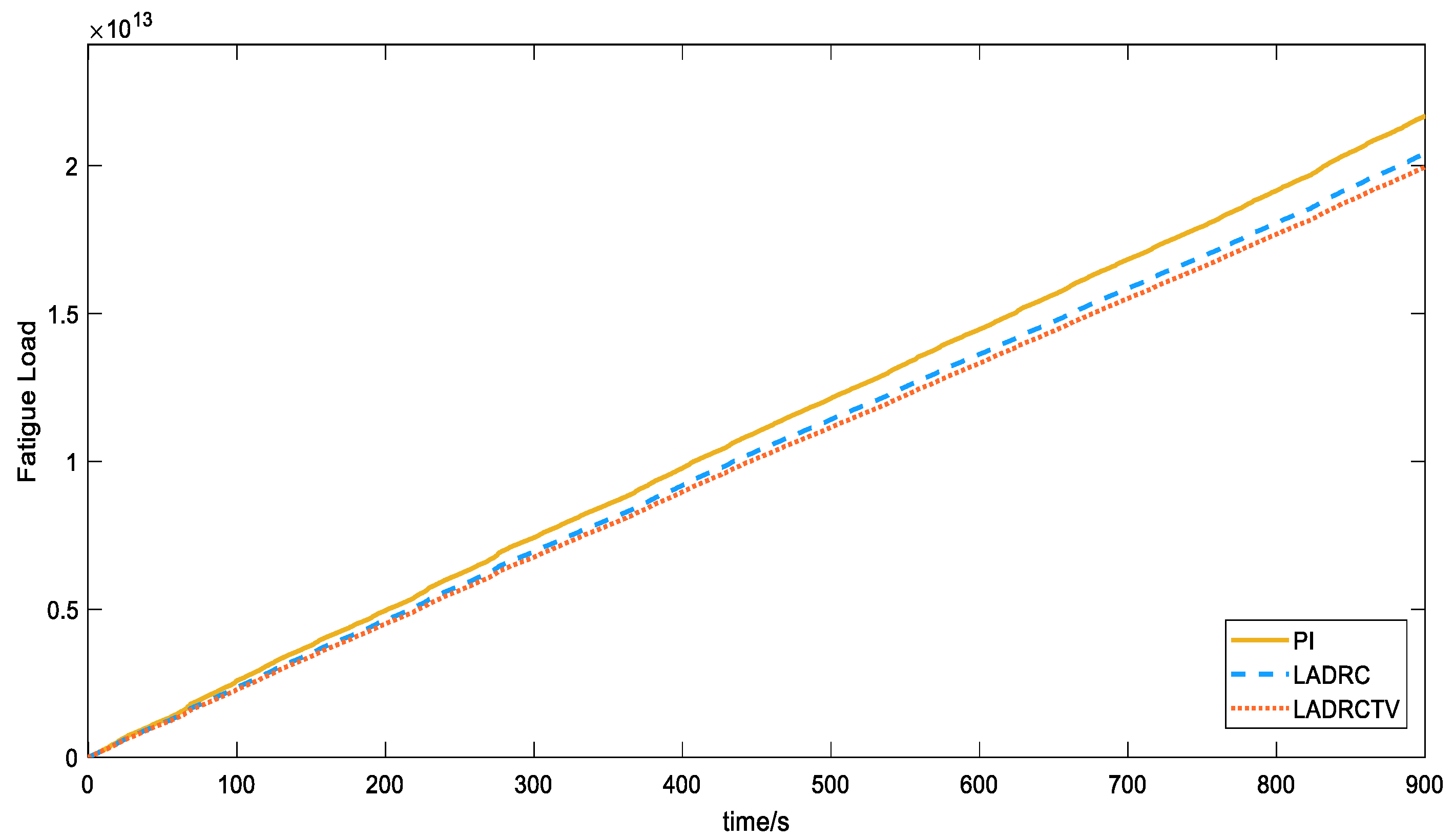
4.2. Analysis Results and Discussion
5. Conclusions
Author Contributions
Funding
Institutional Review Board Statement
Informed Consent Statement
Data Availability Statement
Conflicts of Interest
References
- Datta, U.; Shi, J.; Kalam, A. Primary frequency control of a microgrid with integrated dynamic sectional droop and fuzzy based pitch angle control. Int. J. Electr. Power Energy Syst. 2019, 111, 248–259. [Google Scholar] [CrossRef]
- Prasad, S.; Purwar, S.; Kishor, N. Non-linear sliding mode control for frequency regulation with variable-speed wind turbine systems. Int. J. Electr. Power Energy Syst. Accept. 2019, 107, 19–33. [Google Scholar] [CrossRef]
- Baccino, F.; Conte, F.; Grillo, S.; Massucco, S.; Silvestro, F. An optimal model-based control technique to improve wind farm participation to frequency regulation. In Proceedings of the 2015 IEEE Power & Energy Society General Meeting, Denver, CO, USA, 26–30 July 2015; pp. 993–1003. [Google Scholar] [CrossRef]
- Haces-Fernandez, F.; Li, H.; Ramirez, D. Improving wind farm power output through deactivating selected wind turbines. Energy Convers. Manag. 2020, 187, 407–422. [Google Scholar] [CrossRef]
- Liu, Y.; Wang, Y.; Wang, X.; Zhu, J.; Lio, W.H. Active Power Dispatch for Supporting Grid Frequency Regulation in Wind Farms Considering Fatigue Load. Energies 2019, 12, 1508. [Google Scholar] [CrossRef]
- Camblong, H.; Nourdine, S.; Vechiu, I.; Tapia, G. Control of wind turbines for fatigue loads reduction and contribution to the grid primary frequency regulation. Energy 2012, 48, 284–291. [Google Scholar] [CrossRef]
- Liu, Y.; Gracia, J.R.; King, T.J.; Liu, Y. Frequency Regulation and Oscillation Damping Contributions of Variable-Speed Wind Generators in the U.S. Eastern Interconnection (EI). IEEE Trans. Sustain. Energy 2017, 6, 951–958. [Google Scholar] [CrossRef]
- Wang, R.; Xie, Y.; Zhang, H.; Li, C.; Li, W.; Terzija, V. Dynamic Power Flow Algorithm Considering Frequency Regulation of Wind Power Generators. Iet Renew. Power Gener. 2017, 11, 1218–1225. [Google Scholar] [CrossRef]
- Xu, Z.; Zha, X.; Yue, S.; Chen, Y. A Frequency Regulation Strategy for Wind Power Based on Limited Over-Speed De-Loading Curve Partitioning. IEEE Access 2018, 6, 22938–22951. [Google Scholar]
- Morren, J.; de Haan, S.W.H.; Kling, W.L.; Ferreira, J.A. Wind Turbines Emulating Inertia and Supporting Primary Frequency Control. IEEE Trans. Power Syst. 2006, 21, 433–434. [Google Scholar] [CrossRef]
- Qin, S.; Chang, Y.; Xie, Z.; Li, S. Improved Virtual Inertia of PMSG-Based Wind Turbines Based on Multi-Objective Model-Predictive Control. Energies 2021, 14, 3612. [Google Scholar] [CrossRef]
- Ekanayake, J.; Jenkins, N. Comparison of the response of doubly fed and fixed-speed induction generator wind turbines to changes in network frequency. IEEE Trans. Energy Convers. 2004, 19, 800–802. [Google Scholar] [CrossRef]
- Gonzalez-Longatt, F.; Chikuni, E.; Rashayi, E. Effects of the Synthetic Inertia from wind power on the total system inertia after a frequency disturbance. In Proceedings of the 2013 IEEE International Conference on Industrial Technology (ICIT), Cape Town, South Africa, 25–28 February 2013; pp. 826–832. [Google Scholar]
- Huang, L.; Xin, H.; Zhang, L.; Wang, Z.; Wu, K.; Wang, H. Synchronization and Frequency Regulation of DFIG-Based Wind Turbine Generators With Synchronized Control. IEEE Trans. Energy Convers. 2017, 32, 1251–1262. [Google Scholar] [CrossRef]
- Bashetty, S.; Guillamon, J.I.; Mutnuri, S.S.; Ozcelik, S. Design of a Robust Adaptive Controller for the Pitch and Torque Control of Wind Turbines. Energies 2020, 13, 1195. [Google Scholar] [CrossRef]
- Pathak, D.; Gaur, P. A fractional order fuzzy-proportional-integral-derivative based pitch angle controller for a direct-drive wind energy system. Comput. Electr. Eng. 2019, 78, 420–436. [Google Scholar] [CrossRef]
- Xu, B.; Yuan, Y.; Liu, H.; Jiang, P.; Gao, Z.; Shen, X.; Cai, X. A Pitch Angle Controller Based on Novel Fuzzy-PI Control for Wind Turbine Load Reduction. Energies 2020, 13, 6086. [Google Scholar] [CrossRef]
- Leith, D.J.; Leithead, W.E. Appropriate realization of gain-scheduled controllers with application to turbine regulation. Int. J. Control 1996, 65, 223–248. [Google Scholar] [CrossRef]
- Stol, K.; Rigney, B.; Balas, M. Disturbance Accommodating Control of a variable-speed turbine using a symbolic dynamics structural model. In Proceedings of the ASME Wind Energy Symposium, Reno, NV, USA, 10–13 January 2000. [Google Scholar]
- Balas, M.J.; Yuan, Y.; Liu, H.; Jiang, P.; Gao, Z.; Shen, X.; Cai, X. Dynamics and control of horizontal axis wind turbines. In Proceedings of the 2003 American Control Conference, Denver, CO, USA, 4–6 June 2003; IEEE: New York, NY, USA, 2003. [Google Scholar]
- Cao, Z.; Wang, X.; Jin, T. Control strategy of large-scale DFIG-based wind farm for power grid frequency regulation. In Proceedings of the 31st Chinese Control Conference IEEE, Hefei, China, 25–27 July 2012. [Google Scholar]
- Tielens, P.; de Rijcke, S.; Srivastava, K.; Reza, M.; Marinopoulos, A.; Driesen, J. Frequency Support by Wind Power Plants in Isolated Grids with Varying Generation Mix. In Proceedings of the Power & Energy Society General Meeting IEEE, San Diego, CA, USA, 22–26 July 2012. [Google Scholar]
- Yao, Q.; Liu, J.; Hu, Y. Optimized Active Power Dispatching Strategy Considering Fatigue Load of Wind Turbines During De-Loading Operation. IEEE Access 2019, 7, 17439–17449. [Google Scholar] [CrossRef]
- Mancinial, S.; Sarzo, F.; Ferrari-Trecate, G. Model Predictive Controllers for Reduction of Mechanical Fatigue in Wind Farms. IEEE Trans. Control. Syst. Technol. 2016, 25, 535–549. [Google Scholar]
- Torben, K.; Thomas, B.; Mikael, S. Survey of wind farm control-power and fatigue optimization. Wind Energy 2014, 18, 1333–1351. [Google Scholar]
- Buhl, M.L. MCrunch User’s Guide for Version 1.00. 2008; p. 16. Available online: https://www.nrel.gov/wind/nwtc/mcrunch.html (accessed on 15 March 2022).
- Han, J. Auto-disturbances-rejection Controller and Its Applications. Control. Decis. 1998, 13, 19–23. [Google Scholar]
- Liu, Y.; Liu, J.; Zhou, S. Linear active disturbance rejection control for pressurized water reactor power. Ann. Nucl. Energy 2018, 111, 22–30. [Google Scholar] [CrossRef]
- Jonkman, J.M.; Butterfield, S.; Musial, W.; Scott, G. Definition of a 5-MW Reference Wind Turbine for Offshore System Development; National Renewable Energy Lab: Lakewood, CO, USA, 2009. [Google Scholar]
- Heier, S. Grid Integration of Wind Energy Conversion Systems; John Wiley&Sons Inc.: Hoboken, NJ, USA, 2006; Available online: https://book.douban.com/subject/2853278/ (accessed on 11 September 2019).
- Iov, F. Wind Turbine Blockset in Matlab Simulink; Aalborg University: Aalborg, Denmark, 2004. [Google Scholar]
- Spudic, V. Coordinated Optimal Control of Wind Farm Active Power; University of Zagreb: Agram, Croatia, 2012. [Google Scholar]
- Zhang, J.; Liu, Y.; Tian, D.; Yan, J. Optimal power dispatch in wind farm based on reduced blade damage and generator losses. Renew. Sustain. Energy Rev. 2015, 44, 64–77. [Google Scholar] [CrossRef]
- Biegel, B.; Madjidian, D.; Spudic, V.; Rantzer, A.; Stoustrup, J. Distributed low-complexity controller for wind power plant in derated operation. In Proceedings of the 2013 IEEE International Conference on Control Applications (CCA), Hyderabad, India, 28–30 August 2013; pp. 146–151. [Google Scholar] [CrossRef] [Green Version]
- Poli, R.; Kennedy, J.; Blackwell, T. Particle swarm optimization. Swarm Intell 2007, 1, 33–57. [Google Scholar] [CrossRef]
- Aalborg University. SimWindFarm Toolbox, n.d. Available online: https://www.ict-aeolus.eu/SimWindFarm/index.html (accessed on 7 March 2022).
- Grunnet, J.D.; Soltani, M.; Knudsen, T.; Kragelund, M.N.; Bak, T. Aeolus Toolbox for Dynamics Wind Farm Model, Simulation and Control. In Proceedings of the European Wind Energy Conference&Exhibition, Warsaw, Poland, 2–4 April 2010. [Google Scholar]













| Parameter | Name | Value |
|---|---|---|
| ρ | Air density | 63 m |
| R | Radius of blade | 1.22 kg/m3 |
| Rotor inertia | 3.5 × 107 kg · m2 | |
| Generator inertia | 5.3 × 102 kg · m2 | |
| H | Tower height | 87.6 m2 |
| Gearbox ratio | 97 | |
| Time inertia of generator | 0.1 | |
| Rated power | 5 MW |
| Percentage/% | ||
|---|---|---|
| 0 | 1.3534 × 1012 | 0 |
| 500 | 1.2866 × 1012 | −4.94 |
| 1000 | 1.2204 × 1012 | −9.83 |
| 1500 | 1.1303 × 1012 | −16.5 |
| 2000 | 1.1078 × 1012 | −18.2 |
| Controller | ||||||
|---|---|---|---|---|---|---|
| PI | −0.2143 | −0.0918 | ||||
| LADRC for | −47.81 | 179.75 | 5187.73 | 333.37 | ||
| LADRC for | −18.81 | 261.75 | 823.17 | 139.84 |
Publisher’s Note: MDPI stays neutral with regard to jurisdictional claims in published maps and institutional affiliations. |
© 2022 by the authors. Licensee MDPI, Basel, Switzerland. This article is an open access article distributed under the terms and conditions of the Creative Commons Attribution (CC BY) license (https://creativecommons.org/licenses/by/4.0/).
Share and Cite
Jin, X.; Tan, W.; Zou, Y.; Wang, Z. Active Disturbance Rejection Control for Wind Turbine Fatigue Load. Energies 2022, 15, 6178. https://doi.org/10.3390/en15176178
Jin X, Tan W, Zou Y, Wang Z. Active Disturbance Rejection Control for Wind Turbine Fatigue Load. Energies. 2022; 15(17):6178. https://doi.org/10.3390/en15176178
Chicago/Turabian StyleJin, Xingkang, Wen Tan, Yarong Zou, and Zijian Wang. 2022. "Active Disturbance Rejection Control for Wind Turbine Fatigue Load" Energies 15, no. 17: 6178. https://doi.org/10.3390/en15176178
APA StyleJin, X., Tan, W., Zou, Y., & Wang, Z. (2022). Active Disturbance Rejection Control for Wind Turbine Fatigue Load. Energies, 15(17), 6178. https://doi.org/10.3390/en15176178

