Fault Detection Method via k-Nearest Neighbor Normalization and Weight Local Outlier Factor for Circulating Fluidized Bed Boiler with Multimode Process
Abstract
:1. Introduction
2. kNS-WLOF-Based Fault Detection
2.1. Weighted Local Outlier Factor
- We assumed that the training data ( with n samples and m variables) were collected from a target system operating under normal conditions. The query sample ( with m variables) calculates the similarity with using the Euclidean distance as in Equation (1), and then selects k neighbors of close to :
- The k-distance means the radius of its local neighborhood () of , and it is the kth distance value after sorting the distance values calculated in Equation (1) in ascending order. Given a k-distance, the neighbors of satisfy Equation (2):where the k-distance is the kth neighbor of the query sample. LOF is significantly affected by the distance because it calculates the density using neighbors. To address this limitation, as in Equation (3), a weight () is assigned to each neighbor to readjust the distance between the neighbors:where is calculated as a value between zero and one, and the sum of the weights is one. If there are more neighbors greater than the average distance of the query sample, the penalty is calculated by multiplying only the weight greater than the average distance calculated in Equation (3). Consequently, neighbors smaller than the average distance are reduced to a distance nearer than the current distance by dividing the weight calculated in Equation (3). By contrast, neighbors farther than the average distance are readjusted to a greater distance. For example, when the query sample is fault data, the LOF increases owing to the high weight assignment of distant neighbors.
- When the distance values calculated in Equation (1) are the same, the number of neighbors may be greater than k defined in advance. prevents the calculated distance from being greater than k and calculates the reachability distance of , as shown in Equation (4):where and are the k-distance and Euclidean distance functions between and , respectively. means the reachability distance from to , and the larger value among and is determined as .
- The local reachability distance (lrd) is the reciprocal of the average and is calculated using Equation (5):
2.2. k-Nearest Neighbor Normalization
- (1)
- We assume that the training data ( with n samples and m variables) and a neighbor () for each training sample are the same as in Equation (8):where represents k neighbors () for a sample of the training data (). The value of should be set to be smaller than that of at least one single-mode subset among the multimode data.
- (2)
- The weight of , selected in Equation (8), is determined by Equation (9):where is the weight corresponding to each neighbor, and the sum of the weights is one. is the qth neighbor of . The weight calculated in Equation (9) represents a penalty based on the distance of the neighbor. For example, the smaller the calculated distance value between the query sample and neighbors, the greater the weight; thus, more information about the neighbor with a small distance is used.
- (3)
- Data is normalized as in Equation (10), using the mean of the neighbors of the , selected in Equation (8), and the weight of Equation (9):where and are the weights and averages of each neighbor, respectively. After calculating Equation (10), the mean and unit variance of the preprocessed data are zero, and approximately follow a uniform Gaussian distribution. The data () is preprocessed using the aforementioned process for all training data.
2.3. Setting Threshold Value by KDE
2.4. Detection Performance Indices for Fault Detection Validation
3. Case Study
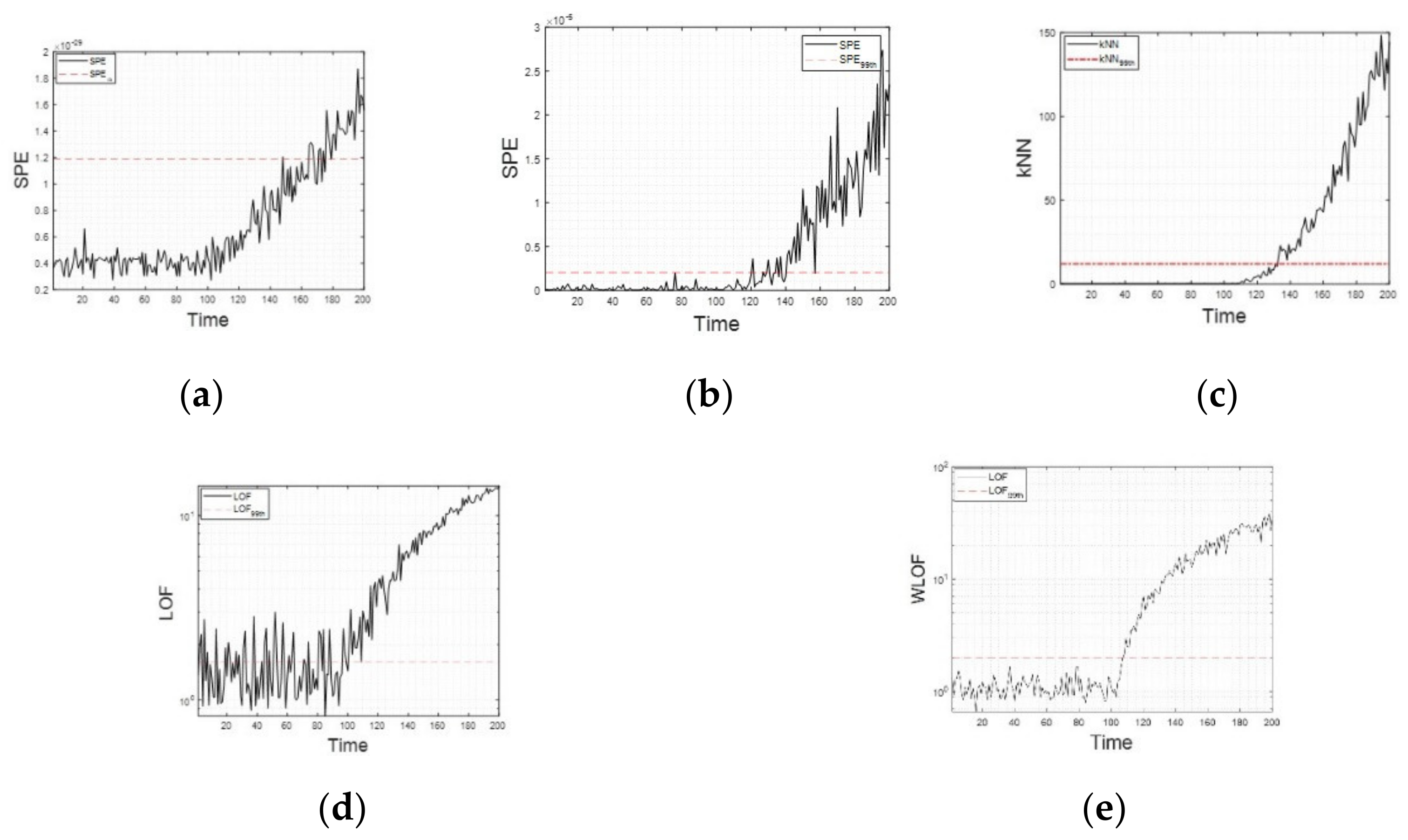
3.1. Multimode Numerical Example
- Case 1. The system was initially running in mode 2, and then, a drift error of 0.1 was added to from the 101st through to the 200th samples.
- Case 2. The system was initially running in mode 2, with 5 (k-100) applied to the 101st to 150th samples with a bias error of 5, where k denotes the serial number of the test sample, and a bias error of 15 from the 151st to 200th samples was applied.
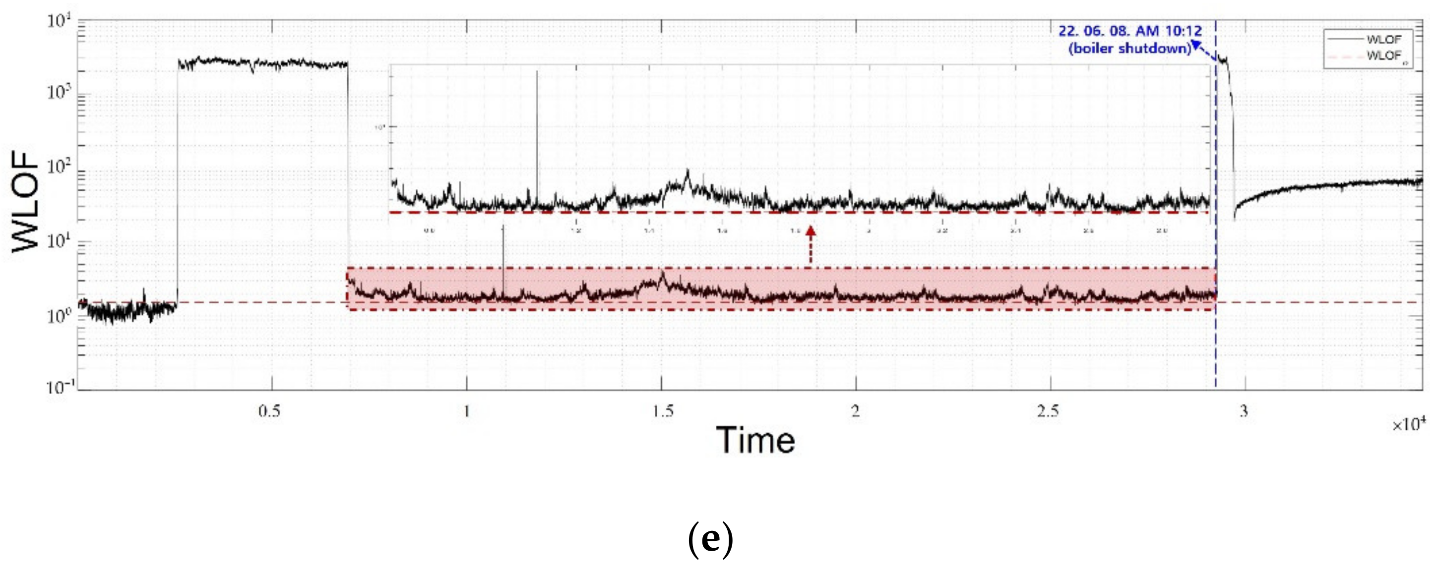
3.2. Circulating Fluidized Bed Combustion Boiler (CFBC)
4. Conclusions
Author Contributions
Funding
Institutional Review Board Statement
Informed Consent Statement
Data Availability Statement
Conflicts of Interest
References
- Wang, G.; Liu, J.; Zhang, Y.; Li, Y. A novel multi-mode data processing method and its application in industrial process monitoring. J. Chemom. 2015, 29, 126–138. [Google Scholar] [CrossRef]
- Yu, J.; Qin, S.J. Multimode process monitoring with Bayesian inference-based finite Gaussian mixture models. AIChE J. 2008, 54, 1811–1829. [Google Scholar] [CrossRef]
- Ge, Z.; Song, Z. Multimode process monitoring based on Bayesian method. J. Chemom. A J. Chemom. Soc. 2009, 23, 636–650. [Google Scholar] [CrossRef]
- Tan, S.; Wang, F.; Peng, J.; Chang, Y.; Wang, S. Multimode process monitoring based on mode identification. Ind. Eng. Chem. Res. 2012, 51, 374–388. [Google Scholar] [CrossRef]
- Ma, H.; Hu, Y.; Shi, H. A novel local neighborhood standardization strategy and its application in fault detection of multimode processes. Chemom. Intell. Lab. Syst. 2012, 118, 287–300. [Google Scholar] [CrossRef]
- Guo, J.; Yuan, T.; Li, Y. Fault detection of multimode process based on local neighbor normalized matrix. Chemom. Intell. Lab. Syst. 2016, 154, 162–175. [Google Scholar] [CrossRef]
- Ge, Z.; Gao, F.; Song, Z. Two-dimensional Bayesian monitoring method for nonlinear multimode processes. Chem. Eng. Sci. 2011, 66, 5173–5183. [Google Scholar] [CrossRef]
- Yu, J. A nonlinear kernel Gaussian mixture model based inferential monitoring approach for fault detection and diagnosis of chemical processes. Chem. Eng. Sci. 2012, 68, 506–519. [Google Scholar] [CrossRef]
- Harrou, F.; Saidi, A.; Sun, Y.; Khadraoui, S. Monitoring of photovoltaic systems using improved kernel-based learning schemes. IEEE J. Photovolt. 2021, 11, 806–818. [Google Scholar] [CrossRef]
- Khaldi, B.; Harrou, F.; Cherif, F.; Sun, Y. Monitoring a robot swarm using a data-driven fault detection approach. Robot. Auton. Syst. 2017, 97, 193–203. [Google Scholar] [CrossRef] [Green Version]
- Rostek, K.; Morytko, Ł.; Jankowska, A. Early detection and prediction of leaks in fluidized-bed boilers using artificial neural networks. Energy 2015, 89, 914–923. [Google Scholar] [CrossRef]
- Zhang, S.; Shen, G.; An, L.; Gao, X. Power station boiler furnace water-cooling wall tube leak locating method based on acoustic theory. Appl. Therm. Eng. 2015, 77, 12–19. [Google Scholar] [CrossRef]
- An, L.; Wang, P.; Sarti, A.; Antonacci, F.; Shi, J. Hyperbolic boiler tube leak location based on quaternary acoustic array. Appl. Therm. Eng. 2011, 31, 3428–3436. [Google Scholar] [CrossRef]
- Zhang, J.; Fariborz, H. Development of Artificial Neural Network based heat convection algorithm for thermal simulation of large rectangular cross-sectional area Earth-to-Air Heat Exchangers. Energy Build. 2010, 42, 435–440. [Google Scholar] [CrossRef]
- Ji, H.; He, X.; Shang, J.; Zhou, D. Incipient sensor fault diagnosis using moving window reconstruction-based contribution. Ind. Eng. Chem. Res. 2016, 55, 2746–2759. [Google Scholar] [CrossRef]
- Song, B.; Tan, S.; Shi, H. Key principal components with recursive local outlier factor for multimode chemical process monitoring. J. Process Control 2016, 47, 136–149. [Google Scholar] [CrossRef]
- Ge, Z.; Song, Z. Online monitoring of nonlinear multiple mode processes based on adaptive local model approach. Control Eng. Pract. 2008, 16, 1427–1437. [Google Scholar] [CrossRef]
- Guo, J.; Wang, X.; Li, Y.; Wang, G. Fault detection based on weighted difference principal component analysis. J. Chemom. 2017, 31, e2926. [Google Scholar] [CrossRef]
- Rashid, M.M.; Yu, J. Hidden Markov model based adaptive independent component analysis approach for complex chemical process monitoring and fault detection. Ind. Eng. Chem. Res. 2012, 51, 5506–5514. [Google Scholar] [CrossRef]
- Zhao, S.J.; Zhang, J.; Xu, Y.M. Monitoring of processes with multiple operating modes through multiple principle component analysis models. Ind. Eng. Chem. Res. 2004, 43, 7025–7035. [Google Scholar] [CrossRef]
- Zhu, J.; Ge, Z.; Song, Z. Robust supervised probabilistic principal component analysis model for soft sensing of key process variables. Chem. Eng. Sci. 2015, 122, 573–584. [Google Scholar] [CrossRef]
- Beaver, S.; Palazoğlu, A. A cluster aggregation scheme for ozone episode selection in the San Francisco, CA Bay Area. Atmos. Environ. 2006, 40, 713–725. [Google Scholar] [CrossRef]
- Tong, C.; Palazoglu, A.; Yan, X. An adaptive multimode process monitoring strategy based on mode clustering and mode unfolding. J. Process Control 2013, 23, 1497–1507. [Google Scholar] [CrossRef]
- Cai, D.; He, X.; Han, J. Document clustering using locality preserving indexing. IEEE Trans. Knowl. Data Eng. 2005, 17, 1624–1637. [Google Scholar] [CrossRef]
- Ge, Z.; Yang, C.; Song, Z.; Wang, H. Robust online monitoring for multimode processes based on nonlinear external analysis. Ind. Eng. Chem. Res. 2008, 47, 4775–4783. [Google Scholar] [CrossRef]
- Zhu, Z.; Song, Z.; Palazoglu, A. Process pattern construction and multi-mode monitoring. J. Process Control 2012, 22, 247–262. [Google Scholar] [CrossRef]
- Feng, J.; Li, K. MRS-kNN fault detection method for multirate sampling process based variable grouping threshold. J. Process Control 2020, 85, 149–158. [Google Scholar] [CrossRef]
- Ng, Y.S.; Srinivasan, R. An adjoined multi-model approach for monitoring batch and transient operations. Comput. Chem. Eng. 2009, 33, 887–902. [Google Scholar] [CrossRef]
- Lu, N.; Gao, F.; Wang, F. Sub-PCA modeling and on-line monitoring strategy for batch processes. AIChE J. 2004, 50, 255–259. [Google Scholar] [CrossRef]
- Hwang, D.H.; Han, C. Real-time monitoring for a process with multiple operating modes. Control Eng. Pract. 1999, 7, 891–902. [Google Scholar] [CrossRef]
- Zhao, C.; Wang, F.; Lu, N.; Jia, M. Stage-based soft-transition multiple PCA modeling and on-line monitoring strategy for batch processes. J. Process Control 2007, 17, 728–741. [Google Scholar] [CrossRef]
- Yao, Y.; Gao, F. Phase and transition based batch process modeling and online monitoring. J. Process Control 2009, 19, 816–826. [Google Scholar] [CrossRef]
- Ge, Z.; Song, Z. A distribution-free method for process monitoring. Expert Syst. Appl. 2011, 38, 9821–9829. [Google Scholar] [CrossRef]
- Zhang, C.; Gao, X.; Xu, T.; Li, Y. Nearest neighbor difference rule–based kernel principal component analysis for fault detection in semiconductor manufacturing processes. J. Chemom. 2017, 31, e2888. [Google Scholar] [CrossRef]
- Breunig, M.M.; Kriegel, H.P.; Ng, R.T.; Sander, J. LOF: Identifying density-based local outliers. In Proceedings of the 2000 ACM SIGMOD International Conference on Management of Data, Philadelphia, PA, USA, 16–18 June 2000; pp. 93–104. [Google Scholar] [CrossRef]
- Lee, J.; Kang, B.; Shin, K.; Kang, S. Online process monitoring scheme for fault detection based on independent component analysis (ICA) and local outlier factor (LOF). In Proceedings of the 40th International Conference on Computers & Industrial Engineering, Awaji Island, Japan, 25–28 July 2010; pp. 1–6. [Google Scholar]
- Alghushairy, O.; Alsini, R.; Soule, T.; Ma, X. A review of local outlier factor algorithms for outlier detection in big data streams. Big Data Cogn. Comput. 2020, 5, 1. [Google Scholar] [CrossRef]
- Guo, J.; Wang, X.; Li, Y. kNN based on probability density for fault detection in multimodal processes. J. Chemom. 2018, 32, e3021. [Google Scholar] [CrossRef]
- Ma, H.; Hu, Y.; Shi, H. Fault detection and identification based on the neighborhood standardized local outlier factor method. Ind. Eng. Chem. Res. 2013, 52, 2389–2402. [Google Scholar] [CrossRef]
- Rosenblatt, M. Curve estimates. Ann. Math. Stat. 1971, 42, 1815–1842. [Google Scholar] [CrossRef]
- Parzen, E. On estimation of a probability density function and mode. Ann. Math. Stat. 1962, 33, 1065–1076. [Google Scholar] [CrossRef]
- Lee, J.; Kang, B.; Kang, S.H. Integrating independent component analysis and local outlier factor for plant-wide process monitoring. J. Process Control 2011, 21, 1011–1021. [Google Scholar] [CrossRef]
- Hsu, C.C.; Chen, L.S.; Liu, C.H. A process monitoring scheme based on independent component analysis and adjusted outliers. Int. J. Prod. Res. 2010, 48, 1727–1743. [Google Scholar] [CrossRef]
- Odiowei, P.E.P.; Cao, Y. Nonlinear dynamic process monitoring using canonical variate analysis and kernel density estimations. IEEE Trans. Ind. Inform. 2009, 6, 36–45. [Google Scholar] [CrossRef]
- Chen, Q.; Wynne, R.J.; Goulding, P.; Sandoz, D. The application of principal component analysis and kernel density estimation to enhance process monitoring. Control Eng. Pract. 2000, 8, 531–543. [Google Scholar] [CrossRef]
- Mori, J.; Yu, J. Quality relevant nonlinear batch process performance monitoring using a kernel based multiway non-Gaussian latent subspace projection approach. J. Process Control 2014, 24, 57–71. [Google Scholar] [CrossRef]
- Basu, P.; Fraser, S.A. Circulating Fluidized Bed Boilers: Design and Operation, 1st ed.; Elsevier Science: Amsterdam, The Netherlands; Butterworth-Heinemann: Oxford, UK, 1991; ISBN 0-7506-9226-X. [Google Scholar]
- Li, Y.S.; Sanchez-Pasten, M.; Spiegel, M. High temperature interaction of pure Cr with KCl. In Materials Science Forum; Trans Tech Publications, Ltd.: Schwyz, Switzerland, 2004; Volume 461, pp. 1047–1054. [Google Scholar]
- Back, S.K.; Yoo, H.M.; Jang, H.N.; Joung, H.T.; Seo, Y.C. Effects of alkali metals and chlorine on corrosion of super heater tube in biomass circulating fluidized bed boiler. Appl. Chem. Eng. 2017, 28, 29–34. [Google Scholar]
- Anthony, E.J.; Iribarne, A.P.; Iribarne, J.V. A new mechanism for FBC agglomeration and fouling when firing 100% petroleum coke. In Proceedings of the 13th International Conference on FBC, Orlando, FL, USA, 7–10 May 1995; pp. 523–533. [Google Scholar]
- Anthony, E.J.; Jia, L. Agglomeration and strength development of deposits in CFBC boilers firing high-sulfur fuels. Fuel 2000, 79, 1933–1942. [Google Scholar] [CrossRef]
- Lin, W.; Krusholm, G.; Dam-Johansen, K.; Musahl, E.; Bank, L. Agglomeration phenomena in fluidized bed combustion of straw. In Proceedings of the 14th International Conference on FBC, Vancouver, BC, Canada, 11–16 May 1997; pp. 831–838. [Google Scholar]












| Actual State | |||
|---|---|---|---|
| Decision | True | False | |
| True | True Positive (TP) | False Positive (FP) | |
| False | False Negative (FN) | True Negative (TN) | |
| TN (Type I) | FP (Type II) | Precision (%) | Recall (%) | F1 Score (%) | Accuracy (%) | ||
|---|---|---|---|---|---|---|---|
| PCA (SPE) | Case 1 | 0 | 69 | 59.17 | 100 | 74.35 | 65.5 |
| Case 2 | 2 | 16 | 85.96 | 98 | 91.59 | 91 | |
| KPCA (SPE) | Case 1 | 0 | 35 | 74.07 | 100 | 85.11 | 82.5 |
| Case 2 | 0 | 0 | 100 | 99 | 99.5 | 99.5 | |
| kNN (D2) | Case 1 | 0 | 32 | 75.76 | 100 | 86.21 | 84 |
| Case 2 | 0 | 0 | 100 | 100 | 100 | 100 | |
| LOF (LOF) | Case 1 | 33 | 0 | 100 | 67 | 80.24 | 83.5 |
| Case 2 | 42 | 0 | 100 | 58 | 73.42 | 79 | |
| kNS-WLOF (LOF) | Case 1 | 0 | 7 | 93.45 | 100 | 96.62 | 96.5 |
| Case 2 | 0 | 0 | 100 | 100 | 100 | 100 |
| No. | Description | Unit | No. | Description | Unit | No. | Description | Unit |
|---|---|---|---|---|---|---|---|---|
| x1 | steam output of feedwater pipe 1 (sensor A) | t/h | x39 | inlet temp. of feedwater pipe 1 (sensor B) | °C | x77 | inlet output of feedwater pipe 1 | % |
| x2 | steam output of feedwater pipe 1 (sensor B) | t/h | x40 | inlet temp. of feedwater pipe 2 (sensor A) | x78 | outlet output of feedwater pipe 1 | % | |
| x3 | steam output of feedwater pipe 2 (sensor C) | t/h | x41 | inlet temp. of feedwater pipe 2 (sensor B) | °C | x79 | outlet output of feedwater pipe 2 | % |
| x4 | steam output of fluidized bed material supply | t/h | x42 | outlet temp. of feedwater pipe 1 | °C | x80 | output of feedwater ratio (sensor A) | % |
| x5 | aux steam output of lower feedwater pipe | t/h | x43 | outlet temp. of feedwater pipe 2 | °C | x81 | output of feedwater ratio (sensor B) | % |
| x6 | steam flow of feedwater pipe 1 | t/h | x44 | inlet temp. of fluidized bed material supply | °C | x82 | output of steam ratio (sensor A) | % |
| x7 | steam flow of feedwater pipe 2 | t/h | x45 | inlet temp. of lower place furnace (sensor A) | °C | x83 | output of steam ratio (sensor B) | % |
| x8 | steam flow of fluidized bed material supply | t/h | x46 | inlet temp. of lower place furnace (sensor B) | °C | x84 | output of steam ratio (sensor C) | % |
| x9 | furnace press. of feedwater pipe 2 | mm H2O | x47 | inlet temp. of lower place furnace (sensor C) | °C | x85 | amount of H2O | % |
| x10 | furnace press. of feedwater pipe 2 (sensor A) | mm H2O | x48 | inlet temp. of middle place furnace (sensor A) | °C | x86 | inlet press. of feedwater pipe 2 | mm H2O |
| x11 | furnace press. of feedwater pipe (sensor B) | mm H2O | x49 | inlet temp. of middle place furnace (sensor B) | °C | x87 | diff. press. outlet between feedwater pipe 2 | mm H2O |
| x12 | combustor bed press. of lower furnace feedwater (sensor A) | mm H2O | x50 | outlet temp. of lower place furnace | °C | x88 | steam flow of air pre-heater and dry reactor | mm H2O |
| x13 | combustor bed press. of lower furnace feedwater (sensor B) | mm H2O | x51 | inlet temp. of upper place furnace | °C | x89 | diff. of press. between furnace and top of cyclone | mm H2O |
| x14 | sum of steam output of feedwater pipe 1 and 2 | mm H2O | x52 | outlet temp. of upper place furnace | °C | x90 | diff. of press. 2nd and 1st S/H. | mm H2O |
| x15 | press. of fluidized bed material supply | mm H2O | x53 | inlet temp. of furnace | °C | x91 | diff. of press. 1st S/H and 2nd eco. | mm H2O |
| x16 | press. of lower place furnace | mm H2O | x54 | inlet temp. of cyclone and boiler front-end | °C | x92 | diff. of press. 2nd and 1st eco. | mm H2O |
| x17 | press. of middle place furnace | mm H2O | x55 | inlet temp. of cyclone and boiler terminal | °C | x93 | diff. of press. of 1st and new eco. | mm H2O |
| x18 | press. of upper place furnace | mm H2O | x56 | inlet temp. of cyclone and boiler middle point | °C | x94 | diff. of press. of new eco. | mm H2O |
| x19 | press. between cyclone and boiler | mm H2O | x57 | inlet temp. of 1st S/H | °C | x95 | metering bin A outlet conveyor | rpm |
| x20 | press. of 1st S/H | mm H2O | x58 | inlet temp. of 2nd S/H | °C | x96 | outlet temp. of 1st S/H | °C |
| x21 | press. of 2nd S/H | mm H2O | x59 | inlet temp. of 1st eco. | °C | x97 | outlet temp. of 1st S/H | °C |
| x22 | press. of steam supplied of upper place furnace | MPa | x60 | inlet temp. of 2nd eco. | °C | x98 | inlet temp. of 2nd S/H (sensor A) | °C |
| x23 | press. of 2nd eco. | mm H2O | x61 | outlet temp. of upper place boiler | °C | x99 | inlet temp. of 2nd S/H (sensor B) | °C |
| x24 | press. of lower supply cyclone (sensor A) | mm H2O | x62 | inlet temp. of cyclone fluidized bed material supply | °C | x100 | temp. of steam supplied of boiler silencer | °C |
| x25 | press. of lower supply cyclone (sensor B) | mm H2O | x63 | inlet temp. of dry reactor and bag filter | °C | x101 | inlet temp. of 1st S/H (sensor A) | °C |
| x26 | press. of middle place cyclone | mm H2O | x64 | inlet temp. of SCR and SGR | °C | x102 | inlet temp. of 1st S/H (sensor B) | °C |
| x27 | press. of middle place furnace | mm H2O | x65 | inlet temp. of SGR and combustor | °C | x103 | steam drum level of feedwater tank | rpm |
| x28 | press. of lower place furnace | mm H2O | x66 | inlet temp. of feedwater pipe 1 | °C | x104 | outlet press. 2nd S/H | MPa |
| x29 | steam press. of SCR | mm H2O | x67 | inlet temp. of feedwater pipe 2 | °C | x105 | outlet press. steam supplied of 2nd S/H | MPa |
| x30 | press. of air pre-heater | mm H2O | x68 | outlet temp. of dry reactor front-end | °C | x106 | inlet press. 2nd S/H | MPa |
| x31 | press. of air pre-heater and dry reactor 1 | mm H2O | x69 | outlet temp. of air pre-heater terminal | °C | x107 | amount of outlet steam flow 2nd S/H | t/h |
| x32 | press. of dry reactor and bag filter | mm H2O | x70 | diff. of temp. 2nd and 1st S/H | °C | x108 | amount of steam flow 2nd S/H | t/h |
| x33 | diff. press. between dry reactor and bag filter | mm H2O | x71 | diff. of temp. 1st S/H and 2nd eco. | °C | x109 | steam output of steam drum | t/h |
| x34 | press of upper place combustor | mm H2O | x72 | diff. of temp. 2nd and 1st eco. | °C | x110 | steam drum level of eco. | t/h |
| x35 | press. of SCR terminal | mm H2O | x73 | diff. of temp. 1st S/H and new eco. | °C | x111 | outlet press. of 2nd S/H 1-1 | MPa |
| x36 | diff. press. between feedwater pipe 1 | mm H2O | x74 | diff. of temp. new eco. and bag filter | °C | x112 | outlet press. of S/H 1-2 | MPa |
| x37 | diff. press. of feedwater pipe 1 (sensor A and B) | mm H2O | x75 | diff. of temp. cyclone and boiler | °C | x113 | output of steam drum | % |
| x38 | inlet temp. of feedwater pipe 1 (sensor A) | °C | x76 | amount of O2 in eco. | % |
| TN (Type I) | FP (Type II) | Precision (%) | Recall (%) | F1 Score (%) | Accuracy (%) | |
|---|---|---|---|---|---|---|
| PCA (SPE) | 0.78 | 45.98 | 14.69 | 99.22 | 25.59 | 57.36 |
| KPCA (SPE) | 0.86 | 68.04 | 10.41 | 99.14 | 18.85 | 36.92 |
| kNN (D2) | 1.45 | 22.58 | 25.82 | 98.55 | 40.92 | 78.98 |
| LOF (LOF) | 10.57 | 38.89 | 15.50 | 89.43 | 26.42 | 63.20 |
| kNS-WLOF (LOF) | 5.12 | 0.78 | 90.68 | 94.87 | 92.73 | 98.90 |
Publisher’s Note: MDPI stays neutral with regard to jurisdictional claims in published maps and institutional affiliations. |
© 2022 by the authors. Licensee MDPI, Basel, Switzerland. This article is an open access article distributed under the terms and conditions of the Creative Commons Attribution (CC BY) license (https://creativecommons.org/licenses/by/4.0/).
Share and Cite
Kim, M.; Jung, S.; Kim, B.; Kim, J.; Kim, E.; Kim, J.; Kim, S. Fault Detection Method via k-Nearest Neighbor Normalization and Weight Local Outlier Factor for Circulating Fluidized Bed Boiler with Multimode Process. Energies 2022, 15, 6146. https://doi.org/10.3390/en15176146
Kim M, Jung S, Kim B, Kim J, Kim E, Kim J, Kim S. Fault Detection Method via k-Nearest Neighbor Normalization and Weight Local Outlier Factor for Circulating Fluidized Bed Boiler with Multimode Process. Energies. 2022; 15(17):6146. https://doi.org/10.3390/en15176146
Chicago/Turabian StyleKim, Minseok, Seunghwan Jung, Baekcheon Kim, Jinyong Kim, Eunkyeong Kim, Jonggeun Kim, and Sungshin Kim. 2022. "Fault Detection Method via k-Nearest Neighbor Normalization and Weight Local Outlier Factor for Circulating Fluidized Bed Boiler with Multimode Process" Energies 15, no. 17: 6146. https://doi.org/10.3390/en15176146
APA StyleKim, M., Jung, S., Kim, B., Kim, J., Kim, E., Kim, J., & Kim, S. (2022). Fault Detection Method via k-Nearest Neighbor Normalization and Weight Local Outlier Factor for Circulating Fluidized Bed Boiler with Multimode Process. Energies, 15(17), 6146. https://doi.org/10.3390/en15176146

