Heat Transfer Enhancement through Thermodynamical Activity of H2O/Clay Nanofluid Flow over an Infinite Upright Plate with Caputo Fractional-Order Derivative
Abstract
:1. Introduction
2. Mathematical Formulation
3. Solution of the Problem
3.1. Energy Equation
3.2. Concentration Equation
3.3. Velocity Equation
3.4. Nusselt Number
3.5. Sherwood Number
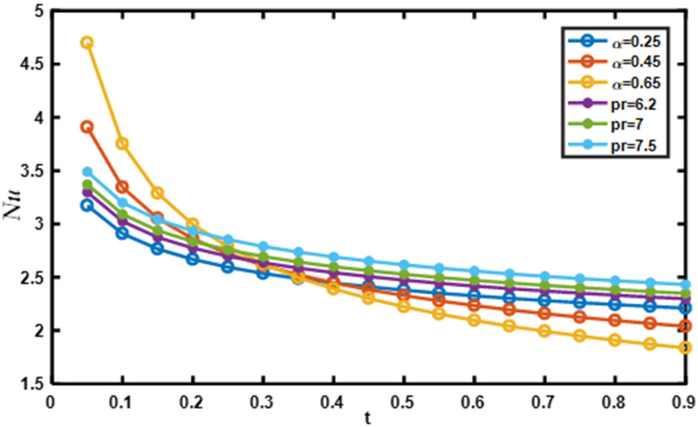
4. Results and Discussion
5. Conclusions
- For fractional model solutions, the considered hybrid transformation method is more reliable. Using this transformation, it is much simpler to solve the fractional model;
- Fluid velocity increases as the mass grashof number or thermal grashof number increases;
- The velocity, temperature and concentration profiles show an incremental behavior for increasing values of ;
- The concentration boundary layer reduces with an increase in nanoparticle volume fraction while the energy boundary layer and momentum boundary layer increase with the volume fraction;
- Temperature decreases with increasing due to the diffusivity of the nanofluid;
- Concentration decreases with an increase in Schmidt number ;
- As the fractional parameter increases, the Sherwood number or Nusselt number diminishes.
Author Contributions
Funding
Institutional Review Board Statement
Informed Consent Statement
Data Availability Statement
Conflicts of Interest
Nomenclature
| Free stream Temperature [K] | |
| Temperature of the wall [K] | |
| Velocity [ms−1] | |
| Concentration | |
| Free stream Concentration [kg m−3] | |
| Concentration at the wall [kg m−3] | |
| specific heat (J/g C) | |
| Mass diffusivity [m2 s−1] | |
| Mittag–Leffler function | |
| Fourier Sine Transform | |
| Gravitational acceleration | |
| Grashof number (Dimensionless) | |
| Grashof number of mass transfer (Dimensionless) | |
| Base fluid thermal conductivity [W m−1 K−1] | |
| Thermal conductivity of nanofluid [W m−1 K−1] | |
| Thermal conductivity of solid nanoparticle [W m−1 K−1] | |
| Laplace Transform | |
| Inverse Laplace Transform | |
| Radiation parameter | |
| Nusselt number | |
| Prandtl number (Dimensionless) | |
| Sherwood number | |
| Schmidt number (Dimensionless) | |
| Dimension Velocity components (m/s) | |
| Cartesian coordinates (m) | |
| Fractional Parameter | |
| Volumetric coefficient (m3 kg−1) | |
| Dynamic Viscosity of nanofluid (Ns m−2) | |
| Density of nanofluid (kg m−3) | |
| Density of nanoparticle (kg m−3) | |
| Volume fraction of nanoparticles | |
| Heat capacity of base fluid (J m−3 K−1) | |
| Nanofluid heat capacity (J m−3 K−1) | |
| Nanoparticle heat capacity (J m−3 K−1) | |
| a, b, c | Functions variables |
| a, b, c | Constants |
| Subscripts | |
| Base fluid | |
| Nanofluid | |
| Nano-particles | |
| Wall surface | |
| Infinity |
References
- Choi, S.U.S.; Eastman, J.A. Enhancing thermal conductivity of fluids with nanoparticles. In Proceedings of the 1995 ASME International Mechanical Engineering Congress and Exposition, San Francisco, CA, USA, 12–17 November 1995; Volume 66, pp. 99–105. [Google Scholar]
- Kaufui, V.W.; Omar, D.L. Applications of nanofluids: Current and future. Adv. Mech. Eng. 2010, 11, 105–132. [Google Scholar]
- Mahian, O.; Kolsi, L.; Amani, M.; Estellé, P.; Ahmadi, G.; Kleinstreuer, C.; Marshall, J.S.; Siavashi, M.; Taylor, R.A.; Niazmand, H.; et al. Recent advances in modeling and simulation of nanofluid flows-Part I: Fundamentals and theory. Phys. Rep. 2019, 790, 1–48. [Google Scholar] [CrossRef]
- Eastman, A.; Jeffery, U.S.; Choi; Shaoping, L.J.; Thompson, S.L. Enhanced thermal conductivity through the development of nanofluids. MRS Online Proc. Libr. (OPL) 1996, 457. [Google Scholar] [CrossRef] [Green Version]
- Eastman, J.A.; Choi, S.U.S.; Li, S.; Yu, W.; Thompson, L.J. Anomalously increased effective thermal conductivities of ethylene glycol-based nanofluids containing copper nanoparticles. Appl. Phys. Lett. 2001, 78, 718–720. [Google Scholar] [CrossRef]
- Mandal, G.; Pal, D. Entropy generation analysis of radiated magnetohydrodynamic flow of carbon nanotubes nanofluids with variable conductivity and diffusivity subjected to chemical reaction. J. Nanofluids 2021, 10, 491–505. [Google Scholar] [CrossRef]
- Pal, D.; Mandal, G. Magnetohydrodynamic nonlinear thermal radiative heat transfer of nanofluids over a flat plate in a porous medium in existence of variable thermal conductivity and chemical reaction. Int. J. Ambient. Energy 2021, 42, 1167–1177. [Google Scholar]
- Pal, D.; Mandal, G. Effects of aligned magnetic field on heat transfer of water-based carbon nanotubes nanofluid over a stretching sheet with homogeneous–heterogeneous reactions. Int. J. Ambient Energy 2021, 1–13. [Google Scholar] [CrossRef]
- Pal, D.; Mandal, G. Magnetohydrodynamic stagnation-point flow of Sisko nanofluid over a stretching sheet with suction, Propuls. Power Res. 2020, 9, 408–422. [Google Scholar]
- Pal, D.; Mandal, G. Mixed convection–radiation on stagnation-point flow of nanofluids over a stretching/shrinking sheet in a porous medium with heat generation and viscous dissipation. J. Pet. Sci. Eng. 2015, 126, 16–25. [Google Scholar] [CrossRef]
- Mandal, G. Convective-radiative heat transfer of micropolar nanofluid over a vertical non-linear stretching sheet. J. Nanofluids 2016, 5, 852–860. [Google Scholar]
- Asjad Imran, M.; Basit, A.; Ahmad, H.; Askar, S.; Botmart, T. Unsteady thermal transport flow of Maxwell clay nanoparticles with generalized Mittag-Leffler kernel of Prabhakar’s kind, Case Stud. Therm. Eng. 2021, 28, 101585. [Google Scholar]
- Isede, H.A.; Adeniyan, A. Mixed convection flow and heat transfer of chemically reactive drilling liquids with clay nanoparticles subject to radiation absorption. Ain Shams Eng. J. 2021, 12, 4167–4180. [Google Scholar] [CrossRef]
- Mukherjee, S.; Aljuwayhel, N.F.; Bal, S.; Mishra, P.C.; Ali, N. Modelling, Analysis and Entropy Generation Minimization of Al2O3-Ethylene Glycol Nanofluid Convective Flow inside a Tube. Energies 2022, 15, 3073. [Google Scholar] [CrossRef]
- Alfannakh, H.; Souayeh, B.; Hdhiri, N.; Al Nuwairan, M.; Al-Shaeli, M. Entropy Generation and Natural Convection Heat Transfer of (MWCNT/SWCNT) Nanoparticles around Two Spaced Spheres over Inclined Plates: Numerical Study. Energies 2022, 15, 2618. [Google Scholar] [CrossRef]
- Abbas, N.; Wasfi, S. Heat and Mass Transfer of Micropolar-Casson Nanofluid over Vertical Variable Stretching Riga Sheet. Energies 2022, 15, 4945. [Google Scholar] [CrossRef]
- Podlubny, I. Fractional Differential Equations, Mathematics in Science and Engineering; Academic Press: San Diego, CA, USA, 1999. [Google Scholar]
- Sene, N. Fractional SIRI model with delay in context of the generalized Liouville–Caputo fractional derivative. In Mathematical Modeling and Soft Computing in Epidemiology; CRC Press: Boca Raton, FL, USA, 2020; pp. 107–125. [Google Scholar]
- Imran, M.A.; Shah, N.A.; Khan, I.; Aleem, M. Applications of non-integer Caputo time fractional derivatives to natural convection flow subject to arbitrary velocity and Newtonian heating. Neural Comput. Appl. 2018, 30, 1589–1599. [Google Scholar] [CrossRef]
- Khan, I.; Shah, N.A.; Vieru, D. Unsteady flow of generalized Casson fluid with fractional derivative due to an infinite plate. Eur. Phys. J. Plus 2016, 131, 181. [Google Scholar] [CrossRef]
- Khalid, A.; Khan, I.; Khan, A.; Shafie, S. Unsteady MHD free convection flow of Casson fluid past over an oscillating vertical plate embedded in a porous medium. Eng. Sci. Technol. Int. J. 2015, 18, 309–317. [Google Scholar] [CrossRef] [Green Version]
- Ali, F.; Saqib, M.; Khan, I.; Sheikh, N.A. Nadeem Ahmad Sheikh, Application of Caputo-Fabrizio derivatives to MHD free convection flow of generalized Walters’-B fluid model. Eur. Phys. J. Plus 2016, 131, 377. [Google Scholar] [CrossRef]
- Qureshi, S.; Yusuf, A.; Shaikh, A.A.; Inc, M. Transmission dynamics of varicella zoster virus modeled by classical and novel fractional operators using real statistical data. Phys. A Stat. Mech. Appl. 2019, 534, 122149. [Google Scholar] [CrossRef]
- Ali, F.; Sheikh, N.A.; Khan, I.; Saqib, M. Magnetic field effect on blood flow of Casson fluid in axisymmetric cylindrical tube: A fractional model. J. Magn. Magn. Mater. 2017, 423, 327–336. [Google Scholar] [CrossRef]
- Steinfeld, B.; Scott, J.; Vilander, G.; Marx, L.; Quirk, M.; Lindberg, J.; Koerner, K. The role of lean process improvement in implementation of evidence-based practices in behavioral health care. J. Behav. Health Serv. Res. 2015, 42, 504–518. [Google Scholar] [CrossRef] [PubMed]
- Caputo, M.; Mauro, F. A new definition of fractional derivative without singular kernel. Prog. Fract. Differ. Appl. 2015, 1, 73–85. [Google Scholar]
- Badr Saad, T.A.; Abdon, A. Analysis of non-homogeneous heat model with new trend of derivative with fractional order. Chaos Solitons Fractals 2016, 89, 566–571. [Google Scholar]
- Diethelm, K.; Ford, N.; Freed, A.; Luchko, Y. Algorithms for the fractional calculus: A selection of numerical methods. Comput. Methods Appl. Mech. Eng. 2005, 194, 743–773. [Google Scholar] [CrossRef] [Green Version]
- Aman, S.; Khan, I.; Ismail, Z.; Salleh, M.Z.; Tlili, I. A new Caputo time fractional model for heat transfer enhancement of water based graphene nanofluid: An application to solar energy. Results Phys. 2018, 9, 1352–1362. [Google Scholar] [CrossRef]
- Shah, N.A.; Wakif, A.; Shah, R.; Yook, S.J.; Salah, B.; Mahsud, Y.; Hussain, K. Effects of fractional derivative and heat source/sink on MHD free convection flow of nanofluids in a vertical cylinder: A generalized Fourier’s law model. Case Stud. Therm. Eng. 2021, 28, 101518. [Google Scholar] [CrossRef]
- Raza, A.; Khan, I.; Farid, S.; My, C.A.; Khan, A.; Alotaibi, H. Non-singular fractional approach for natural convection nanofluid with Damped thermal analysis and radiation. Case Stud. Therm. Eng. 2021, 28, 101373. [Google Scholar] [CrossRef]
- Ikram, M.D.; Asjad, M.I.; Akgül, A.; Baleanu, D. Effects of hybrid nanofluid on novel fractional model of heat transfer flow between two parallel plates. Alex. Eng. J. 2021, 60, 3593–3604. [Google Scholar] [CrossRef]
- Sheikh, N.A.; Ching, D.L.; Sakidin, H.B.; Khan, I. Fractional Model for the Flow of Brinkman-Type Fluid with Mass Transfer. J. Adv. Res. Fluid Mech. Therm. Sci. 2022, 93, 76–85. [Google Scholar] [CrossRef]
- Sene, N. Analytical investigations of the fractional free convection flow of Brinkman type fluid described by the Caputo fractional derivative. Results Phys. 2022, 37, 105555. [Google Scholar] [CrossRef]
- Rehman, A.U.; Riaz, M.B.; Awrejcewicz, J.; Baleanu, D. Exact solutions for thermomagetized unsteady non-singularized jeffrey fluid: Effects of ramped velocity, concentration with newtonian heating. Results Phys. 2021, 26, 104367. [Google Scholar] [CrossRef]
- Rehman, A.U.; Riaz, M.B.; Akgül, A.; Saeed, S.T.; Baleanu, D. Heat and mass transport impact on MHD second-grade fluid: A comparative analysis of fractional operators. Heat Transf. 2021, 50, 7042–7064. [Google Scholar] [CrossRef]
- Rehman, A.U.; Riaz, M.B.; Rehman, W.; Awrejcewicz, J.; Baleanu, D. Fractional Modeling of Viscous Fluid over a Moveable Inclined Plate Subject to Exponential Heating with Singular and Non-Singular Kernels. Math. Comput. Appl. 2022, 27, 8. [Google Scholar] [CrossRef]
- Riaz, M.B.; Rehman, A.U.; Awrejcewicz, J.; Jarad, F. Double diffusive magneto-free-convection flow of Oldroyd-B fluid over a vertical plate with heat and mass flux. Symmetry 2022, 14, 209. [Google Scholar] [CrossRef]
- Sene, N. Analytical solutions of a class of fluids models with the Caputo fractional derivative. Fractal Frac. 2022, 6, 35. [Google Scholar] [CrossRef]
- Anwar, T.; Kumam, P.; Shah, Z.; Watthayu, W.; Thounthong, P. Unsteady radiative natural convective MHD nanofluid flow past a porous moving vertical plate with heat source/sink. Molecules 2020, 25, 854. [Google Scholar] [CrossRef] [Green Version]
- Shen, F.; Tan, W.; Zhao, Y.; Masuoka, T. The Rayleigh–Stokes problem for a heated generalized second grade fluid with fractional derivative model. Nonlinear Anal. Real World Appl. 2006, 7, 1072–1080. [Google Scholar] [CrossRef]
- Gorenflo, R.; Kilbas, A.A.; Mainardi, F.; Rogosin, S.V. Mittag-Leffler Functions, Related Topics and Applications; Springer: New York, NY, USA, 2020. [Google Scholar]
- Raza, A.; Khan, S.U.; Farid, S.; Khan, M.I.; Sun, T.-C.; Abbasi, A.; Malik, M. Thermal activity of conventional Casson nanoparticles with ramped temperature due to an infinite vertical plate via fractional derivative approach. Case Stud. Therm. Eng. 2021, 27, 101191. [Google Scholar] [CrossRef]
- Fares, R.; Mebarek-Oudina, F.; Aissa, A.; Bilal, S.M.; Öztop, H.F. Optimal entropy generation in Darcy-Forchheimer magnetized flow in a square enclosure filled with silver based water nanoliquid. J. Therm. Anal. Calorim. 2022, 147, 1571–1581. [Google Scholar] [CrossRef]
- Aman, S.; Ilyas, K.; Zulkhibri, I.; Mohd, Z.S. Applications of fractional derivatives to nanofluids: Exact and numerical solutions. Math. Model. Nat. Phenom. 2018, 13, 2. [Google Scholar] [CrossRef]















| Thermophysical Property | ||||
|---|---|---|---|---|
| 997.1 | 4179 | 0.613 | 21 × 10−5 | |
| Clay | 6320 | 531.8 | 76.5 | 1.80 × 10−5 |
| t | Nodolane Sene [34] | Present Results | ||
|---|---|---|---|---|
| 1 | 0.84 | 12 | 2.2539 | 2.25672 |
| 1 | 18 | 2.7605 | 2.7564 | |
| 0.94 | 3.1875 | 3.1645 |
Publisher’s Note: MDPI stays neutral with regard to jurisdictional claims in published maps and institutional affiliations. |
© 2022 by the authors. Licensee MDPI, Basel, Switzerland. This article is an open access article distributed under the terms and conditions of the Creative Commons Attribution (CC BY) license (https://creativecommons.org/licenses/by/4.0/).
Share and Cite
Kayalvizhi, J.; Vijaya Kumar, A.G.; Öztop, H.F.; Sene, N.; Abu-Hamdeh, N.H. Heat Transfer Enhancement through Thermodynamical Activity of H2O/Clay Nanofluid Flow over an Infinite Upright Plate with Caputo Fractional-Order Derivative. Energies 2022, 15, 6082. https://doi.org/10.3390/en15166082
Kayalvizhi J, Vijaya Kumar AG, Öztop HF, Sene N, Abu-Hamdeh NH. Heat Transfer Enhancement through Thermodynamical Activity of H2O/Clay Nanofluid Flow over an Infinite Upright Plate with Caputo Fractional-Order Derivative. Energies. 2022; 15(16):6082. https://doi.org/10.3390/en15166082
Chicago/Turabian StyleKayalvizhi, J., A. G. Vijaya Kumar, Hakan F. Öztop, Ndolane Sene, and Nidal H. Abu-Hamdeh. 2022. "Heat Transfer Enhancement through Thermodynamical Activity of H2O/Clay Nanofluid Flow over an Infinite Upright Plate with Caputo Fractional-Order Derivative" Energies 15, no. 16: 6082. https://doi.org/10.3390/en15166082
APA StyleKayalvizhi, J., Vijaya Kumar, A. G., Öztop, H. F., Sene, N., & Abu-Hamdeh, N. H. (2022). Heat Transfer Enhancement through Thermodynamical Activity of H2O/Clay Nanofluid Flow over an Infinite Upright Plate with Caputo Fractional-Order Derivative. Energies, 15(16), 6082. https://doi.org/10.3390/en15166082

