Next Article in Journal
Tail Dependency and Risk Spillover between Oil Market and Chinese Sectoral Stock Markets—An Assessment of the 2013 Refined Oil Pricing Reform
Next Article in Special Issue
The Economic Viability of PV Power Plant Based on a Neural Network Model of Electricity Prices Forecast: A Case of a Developing Market
Previous Article in Journal
An Examination of Consumers’ Opinions toward Adopting Electric Vehicles in the United Arab Emirates: On the Effects of Functional and Symbolic Values
Previous Article in Special Issue
Tools for Network Smart City Management—The Case Study of Potential Possibility of Managing Energy and Associated Emissions in Metropolitan Areas
 
 
Font Type:
Arial Georgia Verdana
Font Size:
Aa Aa Aa
Line Spacing:
Column Width:
Background:
Article

Quantum Energy Storage in Dielectric<Ionic Liquid> Porous Clathrates

Faculty of Electrical Engineering, Czestochowa University of Technology, ul. J.H. Dąbrowskiego 69, 42-201 Częstochowa, Poland
Energies 2022, 15(16), 6069; https://doi.org/10.3390/en15166069
Submission received: 18 July 2022 / Revised: 12 August 2022 / Accepted: 18 August 2022 / Published: 21 August 2022
(This article belongs to the Special Issue Technical, Economic and Managerial Aspects of the Energy Transition)

Abstract

:
The current work represents results for the encapsulation of 1-Allyl-3-methylimidazolium bis(trifluoromethylsulfonyl)imide ionic liquid (IL) in the cavities of the SBA-15 mesoporous dielectric matrix for the first time to our knowledge. Obtained SBA-15<IL> clathrate is a structure with a nanodimensional phase of IL matrix-ordered and isolated by dielectric SiO2. The character of frequency dependent impedance, loss tangent, and dielectric constant for obtained clathrate was investigated under normal conditions, under illumination, and in constant magnetic field. Current-voltage characterisation revealed the capacitive properties of the obtained nanohybrid structure and Cole-Cole diagrams confirmed the Jonscher mechanism of charge relaxation in it. The conditions of the synthesised SBA-15<IL> accumulating the electric energy at a quantum level were determined. The results presented in this work are unique and they prove that the synthesised substance is promising for application in quantum accumulators.

1. Introduction

The remarkable interest of researchers is attached to the investigation of physical properties of substances of nanoscale size and 3-dimensional structuring nowadays. One of the most efficient ways to synthesise nanohybrids with nanoscale structure elements is the encapsulation technique. Different types of inorganic/organic, organic/inorganic, and bio/inorganic composites with practically unlimited variability of components can be synthesised by application of this technique. Structures and properties of substances placed in host positions of crystalline matrices demonstrate the novel phenomena associated with the quantum nature of physical processes. An important role in the complex structure formation process plays the level of guest position occupancy, the interaction of guest components with matrix, and the interparticle interaction. At the same time, the properties of composite materials change too.
Quite wide classes of guest components, such as ions, atoms, molecules, and complex molecular clusters are well known today. They could exist in between quantum layers of matrices in 3 main phases lattice gas [1,2], quasiliquid [3,4], and solid phase [5,6,7,8]. But the 4th type of phase, the quasiplasma state of the encapsulated guest component, has been not investigated yet and it could be a field for wide spectrum of novel properties and, as a consequence, novel application ideas.
The first attempt to synthesise 2D nanostructure with cationic-anionic phase in between layers of semiconductor has been made in the work [9] and giant values of dielectric constant were achieved. The observed phenomenon could be applied in quantum batteries which enable the energy release of the level of petrol engines. Such a release could provoke the drastic development of renewable energy systems [10,11,12]. With the purpose to improve results obtained in [9], the layered semiconductive matrix was replaced by a dielectric mesoporous matrix in the current work.

2. Materials and Methods

The regular mesoporous dielectric matrix was used as an ordered structure based on the SiO2 matrix labelled SBA-15 (Santa Barbara Amorphous-15, Sigma Aldrich, St. Louis, MO, USA). It is the matrix with ordered hexagonal nonintersecting canals (Figure 1). The calibrated radius of canals could vary in a 1.5–10 nm range because of preselected template and synthesis conditions [13,14,15,16].
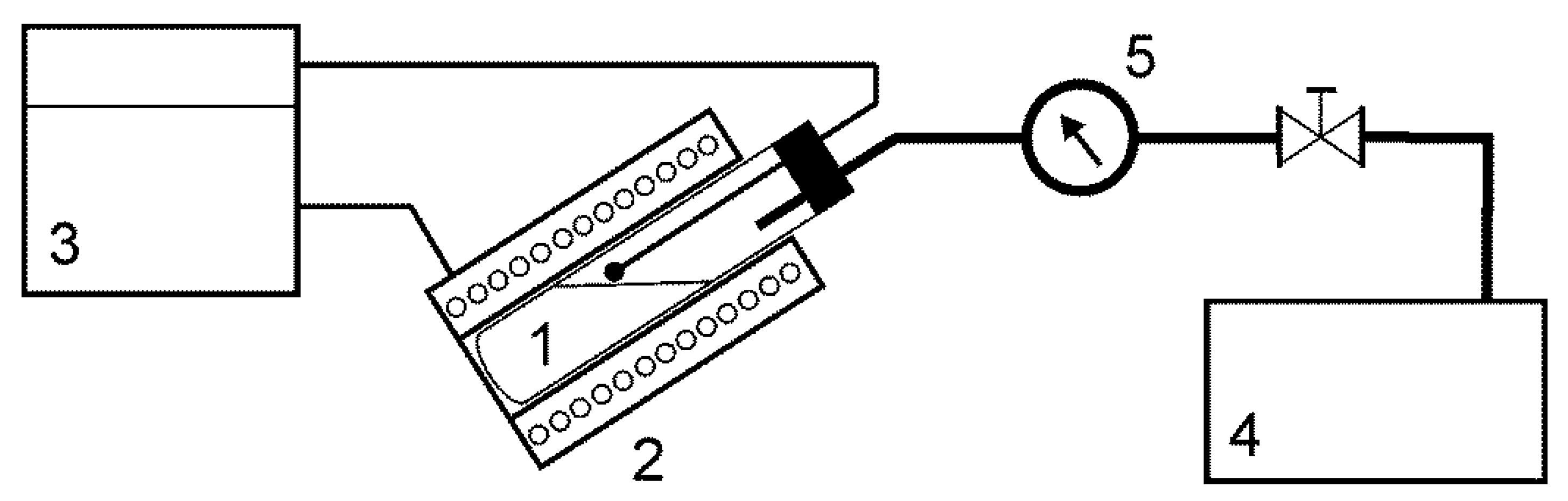
The ionic liquid 1-Allyl-3-methylimidazolium Bis(trifluoromethanesulfonyl)imide C9H11F6N3O4S2 (IL; 98% purity, M = 403.31 g/mol; Sigma Aldrich) demonstrated good properties as electrolyte for energy application [17,18] and was used in the experiments (Figure 2). The insertion of IL into the pores of the SBA-15 matrix was made by the thermo vacuum soaking technique shortly described in [19,20] and the scheme of the process is presented in Figure 3. The powder of SBA-15 was placed into a hermetic container 1 which was placed in an oven 2. The temperature was controlled with regulator 3. The backing pump 4 with pressure gauge 5 was used to degas the system and control the vacuum level. Sample 1 was heated up to 140 °C and kept at this temperature and low pressure for 2 h to degas the pores, then the powder was cooled down to 45–55 °C at the constant low pressure and after this temperature was reached the container was sealed with the sample inside. The sealed container was placed into the dry glove box with an inert atmosphere and after unsealing the flask IL was poured into it with matrix powder inside. After most parts of the IL were soaked by the SBA-15 powder the sample was replaced from the flask onto the filtering paper and washed consequently with absolute ethanol and dried till the constant mass was achieved. As prepared SBA-15<IL> sample was used for further experiments.
The porous structure of the SBA-15 matrix before and after IL encapsulation was evaluated by the N2 sorption/desorption method at the N2 boiling temperature (77 K). The measurements were performed by the automatic analyser of specific surface and porosity Quantachrome NOVAtouch LX2.
The structural properties of synthesised SBA-15<IL> clathrate were investigated by use of the X-ray diffraction method with the use of DRON-3 diffractometer and Cu-irradiation (λ = 0.1542 nm) reflected from (111) plane of Ge monocrystal in X-ray beam propagation mode. Diffractograms were collected in a constant scan mode with a 2 grad/min scan rate in the 2θ = 5–120° range.
Small angle X-ray spectra (SAXS) were measured with the same diffractometer DRON-3 and irradiation source but (200) surface of single crystal LiF was used as monochromator in this case and the X-ray beam transmission through the sample. Such set up of the system and application of collimators for initial and scattered rays enables small angle spectra registration starting from the wave vector s = 0.1 nm−1. The scan rate was 0.05° and the time of exposure τ = 125 s.
The electroconductivity and polarisation properties were investigated by the impedance spectroscopy measurements in a dry inert atmosphere. The 83 mg of SBA-15<IL> nanocomposite powder was pressed into a 1.9 mm thick tablet of 3.1 mm in radius. The parallel facets of the tablet were covered with Ag ohmic contacts and a prepared tablet sample was used for further investigations. The potentiostat-galvanostat Autolab (EcoChemie) equipped with FRA-2 and GPES software was used for impedance spectra detection in a 10−3−106 Hz frequency range.
Questionable data points were removed by employing Dirichlet filtering [21]. Frequency dependences of complex impedance Z were analysed by a graph-analytic method in the ZView 2.3 (Scribner Associates, Southern Pines, NC, USA) software package with errors not higher than 5%. Impedance spectra were recorded under normal conditions, as well as in a constant magnetic field of 2.75 kOe field strength that was applied perpendicularly to the sheets. The measurements under illumination with a solar simulator for standard solar spectrum AM 1.5G (982 W/m2 of total power) (Figure 4b) were made for the tablet facets placed perpendicularly to illumination. The constant magnetic field as well as the illumination was applied along the current flow in a sample, as it is shown in Figure 4a, to avoid the Lorentz force influence on charge carriers.
The energy impurity spectra were investigated by the means of thermostimulated depolarization method in the short-circuit mode with a linear heating rate of 5 °C/min in a 25 ÷ 70 °C temperature range.

3. Results and Discussion

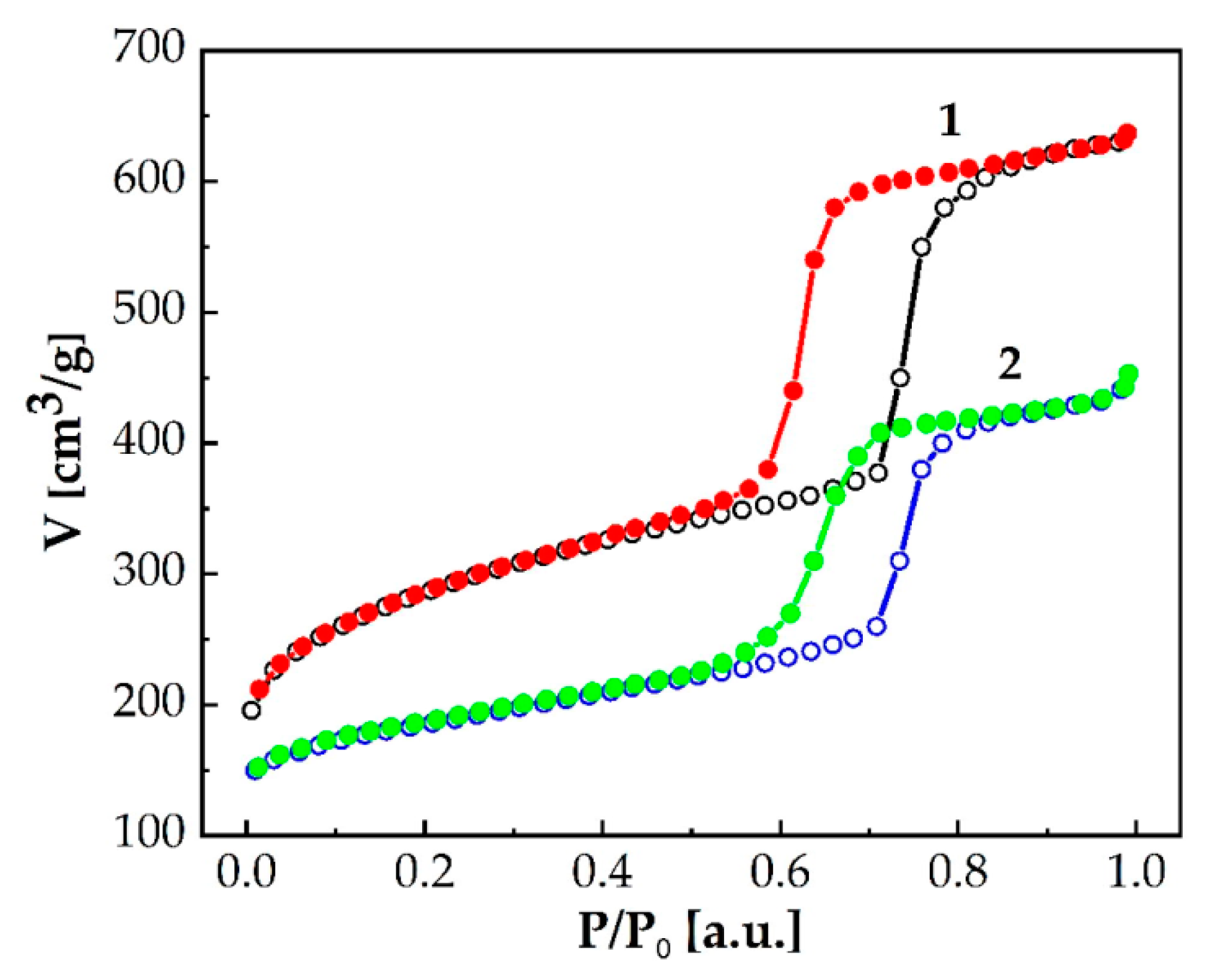
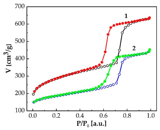
The results of the initial SBA-15 and synthesised SBA-15<IL> samples investigation by the N2 absorption/desorption method revealed close to the IV type isotherm character [22] and are presented in Figure 5. These types of isotherms are typical for porous solid phases with absorption limited by the volume of mesopores (2–50 nm) and maximal absorption is reached under pressure P values close to P/P0 << 1. The hysteresis character of these isotherms indicates the additional absorption of vapour as a result of capillary condensation of absorbed gas, which usually appears at a lower pressure than saturation vapour pressure over the flat liquid interface. The necessary condition for capillary condensation in mesopores is the film of liquid absorbate with negative curvature which has to wet the walls of pores. The first stage of absorption in mesopores is the formation of a layer of absorbate through polymolecular absorption. Because of pore geometry or joining of the polymolecular films the curved surface is formed. The isotherm character reflects the pores forms [23] and how it was shown both investigated samples consist of open cylindrical pores where meniscus form is cylindrical with radius R, which is twice radius 2R of the pore and then the capillary condensation starts. When the pore radius is decreased the equilibrium pressure is decreased and as a result, a spontaneous absorption appears. Desorption flows from a completely fulfilled pore when the meniscus is spherical of R radius at a lower pressure which is illustrated in Figure 5 by the capillary condensational hysteresis.
The pore-size distribution was evaluated by the desorption branch of isotherm with the application of the Barrett-Joyner-Halenda (BJH) model for porosity evaluation in materials with cylindrical and fissure pore types. The results of the evaluation are presented in Figure 6 which demonstrates mesoporous structure for both samples SBA-15 and SBA-15<IL>. The pore distribution maximum for the initial SBA-15 sample is 9.6 nm. Some minor porosity of lower and larger diameter appears during the synthesis procedure and is typical for the SBA-15 matrix [13,24,25]. In the case of SBA-15<IL>, pore size distribution maximum appears at 9.2 nm which could be provoked by the encapsulation process’s influence on interfacial properties of pores.
Application of Brunauer-Emmett-Teller (BET) model for analysis of absorption at relative pressure 0.05–0.35 P/P0 demonstrated a good correlation between model and experimental data (correlation factor r = 0.986). It was determined that the specific surface area of SBA-15 is 618 m2/g and the specific pore volume is 1.01 cm3/g. For SBA-15<IL> sample these values are 326 m2/g of specific surface area and 0.62 cm3/g of specific pore volume respectively, which means that ionic liquid fulfilled about 40% of the pore volume of the initial SBA-15 matrix. Similar results were obtained in [26], where the initial SBA-15 matrix was fulfilled up to 35% by pore volume with an imidazole functionalised component.
The diffraction pattern for the initial SBA-15 sample is presented in Figure 7 as the dependence of scattering intensity on the modulus of wave vector s:
s = 4 π λ · sin ( θ )
where λ = 0.1542 nm—the wavelength of Cu-irradiation, θ—scattering angle.
As it is presented in Figure 7, the sample is of an amorphous structure with local atomic order and if compare with crystalline α-SiO2 the main maximum of the amorphous phase of SBA-15 is asymmetrical. The position of the main maximum (s1 = 14.3 nm−1) is shifted towards lower scattering angles and the form and position of a shoulder coincides with the position of the strongest maximum for crystalline SiO2 which confirms the increase in the average distance between the centres of tetrahedral units of SiO4 as a result of structural disordering [27].
Figure 8 demonstrates diffraction patterns for two investigated samples and after ionic liquid encapsulation into the initial SBA-15 matrix the second maximum appears at small scattering angles (s2 = 8.15 nm−1) and corresponds to the phase of ionic liquid in pores of SBA-15. The main maximum for SBA-15 also undergoes some transformation and its half-width became wider, and the position is shifted left (s1 = 13.4 nm−1) which confirms the structural disordering in an amorphous SiO2 and is provoked by an increase in distance between centres of tetrahedral units of SiO4 and decrease in sizes of coherent scattering regions.
The SAXS spectra are presented in Figure 9a,b. The positions of maxima for the initial SBA-15 sample are s1 ≈ 0.6 nm−1 and s2 ≈ 0.95 nm−1 and they correspond to interplanar distance d1 = 2π/s1 ≈ 10, 5 nm, and d2 = 2π/s2 ≈ 6, 6 nm respectively and reflect the ordered structure of pores. These maxima can be marked with Miller indexes as (100) and (110) respectively for 2-dimensional hexagonal pore structure because the ratio between interplanar distances is around d1/d2 3 . It is worth mentioning that the value d1 ≈ 10.5 nm is very close to the average pore diameter obtained from nitrogen absorption data and represents the distance between the pore centres in parallel planes. The regions of ordered pore structures L in a perpendicular to (100) plane direction can be evaluated with the half-width β of (100) maximum:
L 2 π β 75   nm
Figure 9b shows the weak maximum for the SBA-15<IL> sample at s1 ≈ 0.6 nm−1 which also corresponds to the interplanar distance d1 ≈ 10.5 nm and confirms the fulfilling of a large volume of SBA-15 pores by the ionic liquid. The insertion of IL into the SBA-15 matrix induces less contrast of spectra because of electron density between solid SBA-15 matrix and pores is lower in the case of IL insertion and pore disordering in comparison with the initial SBA-15 sample. Thus, both adsorption data and SAXS spectra prove the IL encapsulation in pores of the initial SBA-15 matrix.
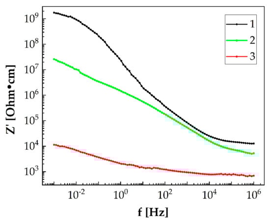
After confirmation of SBA_15<IL> clathrate synthesis its conductive and polarization properties were investigated using impedance spectroscopy. As a result of the conducted experiments under normal conditions, under illumination, and in a constant magnetic field, the impedance spectra for SBA-15<IR> clathrate were obtained. To determine the conductive properties of synthesised clathrate the analysis of frequency dependence for the real component of complex impedance Z′(f) (see Figure 10) under normal conditions should be made first. The frequency dependent Z′(f) drops down monotonously in the whole frequency range. In this case, the conductivity of SBA-15<IL> clathrate can be evaluated by the Formula [28]:
σ = σ d c + A ω m
where σ d c is a specific conductivity measured with direct current and is caused by band charge carriers, A and m are parameters of temperature and composition respectively. The first term in Formula (3) is determined by the formula:
σ d c = e n μ
where e is the charge of an electron, n is electron concentration, and μ is electron mobility. The second term of Formula (3) represents the polarisation component of complex conductivity, which is formed by a hopping mechanism along the localised states near the Fermi level or excitation- trapping processes in band tails or delocalised states bands [29,30]. Therefore, the first term of Equation (3) and considering Equation (4) reflects the conductivity which does not depend on the frequency and is formed by band carriers. The second term of Formula (3) reflects the conductivity formed by the hopping mechanism which is frequency dependent. In the case of SBA-15<IL> clathrate, the frequency dependent character of the real component of complex impedance Z′(f) reveals the prevalent influence of the hopping mechanism over the band conductivity. If assumed that the initial SBA-15 matrix is a dielectric one, then the main impact on hopping conduction by the IL guest component becomes obvious.
The investigated system demonstrates high values of resistance under low frequencies and this resistance drops sharply with frequency increase which is caused by the low electron conductivity of IL where the tunnelling effects are possible only. Therefore, IL encapsulation into pores of SBA-15 leads to an increase in the concentration of impurity states localized near the Fermi level. The spectrum of thermostimulated discharge for the SBA_15<IL> sample (Figure 11) serves as additional proof for the presented assumption and depicts the homocharge relaxation within the quasicontinuous impurity spectrum. The maximum for charge relaxation was observed at 320 K in investigated temperature region. It is worth mentioning, that the corresponding thermostimulated current—temperature I(T) maximum was observed at 325 K for GaSe<IL> clathrate described in the work [9] too.
The illumination of the SBA-15<IL> sample by light leads to Z ( f ) decrease in the low frequency region (Figure 10, plot 2) because of the photoexcitation of charge carriers from impurity states [31]. Photosensitivity in this case most probably is caused by the guest energy subsystem formed in some way. The photoresistance ρ D / ρ L which is the ration between resistance in the dark ρ D and resistance under illumination ρ L reaches the value about 67 times. This particular feature makes the synthesised clathrate a very promising material for highly-sensible light sensors and converters of light signals into electric ones.
The investigation of conductivity under an applied magnetic field (Figure 10, plot 3) demonstrates a giant drop of Z′(f) caused by the character of SBA-15<IP> clathrate architecture [32] which provides the modification of impurity states spectrum under applied magnetic field in the way of a combination of supermagnetic state and spin-polarised transfer through magnetic tunnel junctions under room temperature through Zeeman effect. The fact of concentration increase in free charge carriers caused by guest subsystem under applied magnetic field becomes obvious. It is also worth mentioning, that magnetoresistance reveals itself not only at low frequencies but in the whole frequency range. The value for magnetoresistance is ρ 0 / ρ H ≈ 1.5 × 105 times at low frequencies and ≈ 18 times at high frequencies, where ρ 0 and ρ H are resistances without and with applied electric field respectively. This effect was not observed for GaSe<IL> and InSe<IL> clathrates before [9] which proves the participation of the SBA-15 dielectric matrix and its porous surface in the formation of the impurity spectrum. This material can be applied in highly sensitive magnetic field sensors.
So promising behaviour of active resistance Z′(f) for synthesised clathrate under different conditions predicts the unusual behaviour of the imaginary component of complex impedance Z″(f), which is presented in Figure 12 for synthesised sample measured under normal conditions, under illumination and in the applied magnetic field.
The relaxation maximum (Figure 12, plot 1) appears for SBA-15<IL> clathrate around 5 mHz shifts to the infra-low frequencies and goes out of measured frequency range in a case of illumination and in the applied magnetic field.
The Nyquist plot for synthesised SBA-15<IL> clathrate measured under normal conditions (Figure 13) is the superimposition of three semicircles which reflect three charge transfer stages through the dielectric SBA-15 matrix, through matrix/ionic liquid interface, and through the SBA-15<IL> clathrate particles.
The corresponding equivalent electric circuit for the presented process is depicted in Figure 14. The R1/CPE1 unit represents the low frequency part of impedance for current flow between clathrate particles. The centre of this semicircle is not positioned on the axes of the real term of complex impedance which is caused by the capacitive nature of charge accumulation with different times of relaxation. And because of the same reason instead of a classical capacitor, the constant phase element is used in the scheme (Figure 14). The impedance for the CPE is ZCPE = K1(jω)−γ, where K is the coefficient of proportionality, γ is the coefficient that describes the phase shift and ZCPE reflects the distribution of capacitance for every relaxation process. The next R2/CPE2 unit represents the middle frequency part of the impedance and describes the current flow through the matrix/ionic liquid interface. The last R3/C3 unit reflects high frequency impedance and is caused by the current flow through the SBA-15 matrix. The fitting plot for the described process is presented in Figure 13.
The Nyquist plots for the clathrate sample measured under illumination and in a magnetic field (Figure 15) undergo a transformation and demonstrate more capacitive behaviour with a decrease in dissipation of energy in the applied magnetic field. Parameters for equivalent electric circuits measured under normal conditions (NC), under illumination (Illum), and in a magnetic field (MF) are listed in Table 1.
The values of charge transfer resistance obtained for measurement under normal conditions are quite different for the matrix/ionic liquid interface and for grain boundaries with relatively similar capacitances for these interfaces. The charge transfer resistance for the matrix/ionic liquid interface is one order less than for the grain boundaries. The CPE1-P parameter is lower than 0.9 when it could be explained as a capacitive element as it is in the case of CPE2-P when it is 1.0 and is clearly expressed as classical capacitance. The decrease in the CPE1-P parameter represents the diffusion processes of charge accumulation which is typical for porous systems. The resistance of charge transfer through the SBA-15 matrix is much lower and with 3 orders lower capacitance. The illumination leads to resistance R1 increase up to infinite value with a simultaneous decrease in CPE1-P down to 0.5 similar to the Warburg element. The same behaviour demonstrates the CPE2 element, but the charge transfer resistance through the SBA-15 matrix decreases with an increase in capacitance.
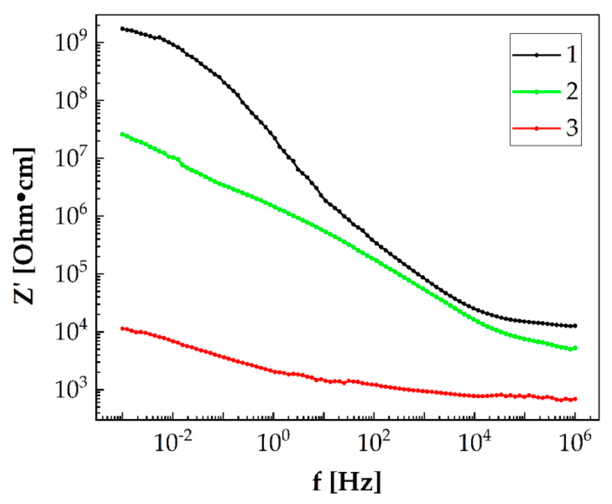
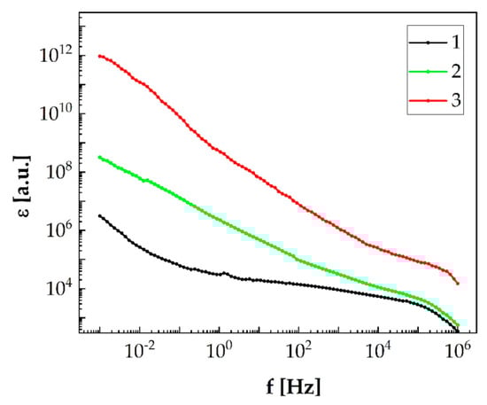
The applied constant magnetic field is characterised by processes of charge accumulation at grain boundaries and matrix/ionic liquid interface too but of much higher density. The CPE1-T element undergoes even 4 orders change because of the dominant character of charge accumulation at grain boundaries. The charge transfer resistance through the SBA-15 matrix drops down too and capacitance increases. The SBA-15<IL> clathrate demonstrates unusual polarisation properties. For this reason, the permittivity behaviour with frequency for SBA-15<IL> clathrate was studied in more detail too (Figure 16). Irrespective of measurement conditions all plots are of typical monotonic decreasing character with the rise in frequency. From the practical point of view, the frequency ranges where the permittivity ε is high and loss tangent tgδ < l (Figure 17). This interval lies between 0.03 Hz and 20 kHz and is a quite wide interval, but the permittivity is not high enough with a maximum of 1.2 × 105, which is less than known from the literature [33,34], especially if compared with values obtained in works [9,35]. In the current case, the permittivity ε(f) is more probably caused by the Maxwell-Wagner segment polarisation [36] and additional polarisation which appears at charge jumping on localised states near the Fermi level. Maxwell-Wagner polarisation appears when the system contains macrodipoles near the charged defect states and at the interfaces. In the aforementioned frequency range, only one group of dipoles able to relax polarisation with one time of relaxation τ was observed with the maximum position in the high frequency range. The most probable explanation could be made if to take into account the structure of synthesised clathrate where the guest component is as coordination defects different from the matrix defect system structure with negative correlation energy. This guest defect system forms a quasicontinuous spectrum of localised states in a band gap. The high values of permittivity can be related to a special state of the electron subsystem, and especially, to the redistribution of charge carriers within nanoclusters under deformational field in a way that neighbouring pairs of different phases are charged with opposite signs. These pairs of phases can be considered as dipoles that influence the permittivity.
The increase in permittivity was observed for the synthesised substance under illumination but the frequency range where the tgδ < 1 was much narrower and shifted to a higher frequency range. tgδ is less than 1 in a 140 Hz–10 kHz frequency range and ε reaches the maximum 8 × 104.
Untypical results were obtained for measurements in a magnetic field. The permittivity ε reaches the giant value ε m a x 10 12 and the loss tangent stays tgδ < 1 in a low frequency range of 10−3–0.1 Hz, which means that the magnetic field causes the drop in energy dissipation with simultaneous charge accumulation. This phenomenon overcame previous results obtained in work [9] (see Table 2) and can be applied in quantum accumulators with activation by a magnetic field.
This phenomenon can be understood better after analysis of loss tangent tgδ behaviour with frequency. The additional middle-frequency wide relaxation maximum was registered for tgδ, which confirms the activation by the magnetic field of many macrodipoles with a continuous distribution of relaxation times. The mechanism of relaxation is of Jonscher character and is confirmed by Cole-Cole diagrams presented in Figure 18.
The current-voltage characteristics (Figure 19) measured for synthesised SBA-15<IL> clathrate confirms the charge accumulation properties for this compound. The CV plot is not linear in this case and depicts a hysteresis which is typical for charge accumulators (Figure 19, plot 1) and appears at grain boundaries because of polarization. The illumination provokes an increase in current (Figure 19, plot 2) and the magnetic field causes the broadening of CV hysteresis (Figure 19, plot 3).
This result opens a perspective for new nonelectrochemical power sources with better parameters and their incorporation into micro- and nanoelectronic devices. A special area of application can be developed because of the sensibility of synthesised structures to a magnetic field.

4. Conclusions

  • The clathrate structure based on dielectric porous SBA-15 matrix was formed by incapsulation of ionic liquid (1-Allyl-3-methylimidazolium bis(trifluoromethanesulfonyl)imide) into it successfully;
  • SBA-15<IL> clathrate demonstrates a quasicontinuous spectrum of impurity states with homocharge relaxation which causes the dominance of the hopping mechanism over the band conductivity and frequency dependant character of the real term of complex impedance;
  • The fitting of impedance spectra measured under normal conditions, under illumination, and in a constant magnetic field confirm the charge accumulation at the grain boundaries and matrix/ionic liquid interface. The experiments show that illumination and magnetic field strengthen the charge accumulation process which is accompanied by a decrease in energy dissipation and in the case of the magnetic field, the permittivity ε reaches a giant value (~1012) in combination with loss tangent less than 1 in the infra-low frequency range (10−3 ÷ 10−1 Hz). This phenomenon surpasses all known results and has been observed for the first time in a magnetic field;
  • The relaxation mechanism in synthesised SBA-15<IL> clathrate is of Jonscher character which is confirmed by Cole-Cole diagrams;
  • The CV dependence for synthesised substance demonstrates sharp hysteresis which is typical for charge accumulation. All results presented in the current work are unique, made for the first time to our knowledge and they confirm that SBA-15<IL> clathrate is the attractive material for application in as advanced a field of scientific research as quantum accumulators.

Funding

This research received no external funding.

Conflicts of Interest

The author declares no conflict of interest.

References

  1. Kim, D.; Kim, D.W.; Lim, H.-K.; Jeon, J.; Kim, H.; Jung, H.-T.; Lee, H. Intercalation of Gas Molecules in Graphene Oxide Interlayer: The Role of Water. J. Phys. Chem. C 2014, 118, 11142–11148. [Google Scholar] [CrossRef]
  2. Motter, J.P.; Koski, K.J.; Cui, Y. General Strategy for Zero-Valent Intercalation into Two-Dimensional Layered Nanomaterials. Chem. Mater. 2014, 26, 2313–2317. [Google Scholar] [CrossRef]
  3. Wan, C.; Gu, X.; Dang, F.; Itoh, T.; Wang, Y.; Sasaki, H.; Kondo, M.; Koga, K.; Yabuki, K.; Snyder, G.J.; et al. Flexible n-type thermoelectric materials by organic intercalation of layered transition metal dichalcogenide TiS2. Nat. Mater. 2015, 14, 622–627. [Google Scholar] [CrossRef] [PubMed]
  4. Zhou, W.; Woll, C.; Heinke, L. Liquid- and Gas-Phase Diffusion of Ferrocene in Thin Films of Metal-Organic Frameworks. Materials 2015, 8, 3767–3775. [Google Scholar] [CrossRef] [Green Version]
  5. Mashtalir, O.; Naguib, M.; Mochalin, V.N.; Dall’Agnese, Y.; Heon, M.; Barsoum, M.W.; Gogotsi, Y. Intercalation and delamination of layered carbides and carbonitrides. Nat. Commun. 2013, 4, 1716-1–1716-7. [Google Scholar] [CrossRef]
  6. Anasori, B.; Lukatskaya, M.R.; Gogotsi, Y. 2D metal carbides and nitrides (MXenes) for energy storage. Nat. Rev. Mater. 2017, 2, 16098-1–16098-27. [Google Scholar] [CrossRef]
  7. Thabet, A.; Salem, N. Experimental Progress in Electrical Properties and Dielectric Strength of Polyvinyl Chloride Thin Films Under Thermal Conditions. Trans. Electr. Electron. Mater. 2020, 21, 165–174. [Google Scholar] [CrossRef]
  8. Thabet, A.; Fouad, M. Dielectric Strength and Patterns of Partial Discharges in Nanocomposites Insulation of Three-Core Belted Power Cables. Trans. Electr. Electron. Mater. 2022, 23, 136–148. [Google Scholar] [CrossRef]
  9. Maksymych, V.; Całus, D.; Ivashchyshyn, F.; Pidluzhna, A.; Chabecki, P.; Shvets, R. Quantum energy accumulation in semiconductor<ionic liquid> layered clathrates. Appl. Nanosci. 2022, 12, 1147–1153. [Google Scholar] [CrossRef]
  10. Szablicki, M.; Rzepka, P.; Sołtysik, M.; Czapaj, R. The idea of non-restricted use of LV networks by electricity consumers, producers, and prosumers. E3S Web Conf. 2019, 84, 02014. [Google Scholar] [CrossRef]
  11. Jasiński, J.; Kozakiewicz, M.; Sołtysik, M. The Effectiveness of Energy Cooperatives Operating on the Capacity Market. Energies 2021, 14, 3226. [Google Scholar] [CrossRef]
  12. Thabet, A. Emerging Nanotechnology Applications in Electrical Engineering; IGI Global: Hershey, PA, USA, 2021; ISBN 13 9781799885368. [Google Scholar]
  13. Kruk, M.; Jaroniec, M.; Chang, H.K.; Ryong, R. Characterization of the porous structure of SBA-15. Chem. Mater. 2000, 12, 1961–1968. [Google Scholar] [CrossRef]
  14. Ravikovitch, P.I.; Neimark, A.V. Characterization of Micro- and Mesoporosity in SBA-15 Materials from Adsorption Data by the NLDFT Method. J. Phys. Chem. B 2001, 105, 6817–6823. [Google Scholar] [CrossRef]
  15. Zholobenko, V.L.; Khodakov, A.Y.; Impéror-Clerc, M.; Durand, D.; Grillo, I. Initial stages of SBA-15 synthesis: An overview. Adv. Colloid Interface Sci. 2008, 142, 67–74. [Google Scholar] [CrossRef]
  16. Thielemann, J.P.; Girgsdies, F.; Schlögl, R.; Hess, C. Pore structure and surface area of silica SBA-15: Influence of washing and scale-up. Beilstein J. Nanotechnol. 2011, 2, 110–118. [Google Scholar] [CrossRef] [Green Version]
  17. Deyab, M.A. 1-Allyl-3-methylimidazolium bis(trifluoromethylsulfonyl)imide as an effective organic additive in aluminum-air battery. Electrochim. Acta 2017, 244, 178–183. [Google Scholar] [CrossRef]
  18. Zarrougui, R.; Hachicha, R.; Rjab, R.; Ghodbane, O. 1-Allyl-3-methylimidazolium-based ionic liquids employed as suitable electrolytes for high energy density supercapacitors based on graphene nanosheets electrodes. J. Mol. Liq. 2018, 249, 795–804. [Google Scholar] [CrossRef]
  19. Popławski, T.; Pidluzhna, A.; Ivashchyshyn, F.; Chabecki, P.; Shvets, R. Properties and Application of Nanoporous Silica Filled with Polyaniline and Iodine. J. Nano Electron. Phys. 2019, 11, 06023. [Google Scholar] [CrossRef]
  20. Grygorchak, I.; Calus, D.; Pidluzhna, A.; Ivashchyshyn, F.; Hryhorchak, O.; Chabecki, P.; Shvets, R. Thermogalvanic and local field effects in SiO2<SmCl3> structure. Appl. Nanosci. 2020, 10, 4725–4731. [Google Scholar] [CrossRef]
  21. Stoynov, Z.; Grafow, B.; Savova-Stoynov, B.; Elkin, V. Electrochemical Impedance; Nauka: Moscow, Russia, 1991; ISBN 5-02-001945-3. (In Russian) [Google Scholar]
  22. Gregg, S.J.; Sing, K.S.W. Adsorption, Surface Area and Porosity, 2nd ed.; Academic Press: London, UK, 1982; ISBN 0-12-300956-1. [Google Scholar]
  23. Karnauchov, A.P. Adsorption. Texture of Dispersed and Porous Materials; Nauka: Novosibirsk, Russia, 1999; ISBN 5-02-031529-X. (In Russian) [Google Scholar]
  24. Wang, Z.; Chen, B.; Quan, G.; Li, F.; Wu, Q.; Dian, L.; Dong, Y.; Li, G.; Wu, C. Increasing the oral bioavailability of poorly water-soluble carbamazepine using immediate-release pellets supported on SBA-15 mesoporous silica. Int. J. Nanomed. 2012, 7, 5807–5818. [Google Scholar] [CrossRef] [Green Version]
  25. Coscolín, C.; Beloqui, A.; Martínez-Martínez, M.; Bargiela, R.; Santiago, G.; Blanco, R.M.; Delaittre, G.; Márquez-Álvarez, C.; Ferrer, M. Controlled manipulation of enzyme specificity through immobilization-induced flexibility constraints. Appl. Catal. A Gen. 2018, 565, 59–67. [Google Scholar] [CrossRef]
  26. Rayati, S.; Nafarieh, P.; Amini, M.M. The synthesis, characterization and catalytic application of manganese porphyrins bonded to novel modified SBA-15. New J. Chem. 2018, 42, 6464–6471. [Google Scholar] [CrossRef]
  27. Mironyuk, I.F.; Kotsyubynsky, V.O.; Dmytrotsa, T.V.; Soltys, L.M.; Gun’ko, V.M. Atomic Structure and Morphology of Fumed Silica. Phys. Chem. Solid State 2020, 21, 325–331. [Google Scholar] [CrossRef]
  28. Olekhnovich, N.M.; Moroz, I.I.; Pushkarev, A.V.; Radyush, Y.V.; Salak, A.N.; Vyshatko, N.P.; Ferreira, V.M. Temperature impedance spectroscopy of (1 − x)Na1/2Bi1/2TiO3-xLaMg1/2Ti1/2O3 solid solutions. Phys. Solid State 2008, 50, 490–495. [Google Scholar] [CrossRef]
  29. Pollak, M.; Geballe, T.H. Low-Frequency Conductivity Due to Hopping Processes in Silicon. Phys. Rev. 1961, 122, 1742–1753. [Google Scholar] [CrossRef]
  30. Kostrobij, P.; Grygorchak, I.; Ivashchyshyn, F.; Markovych, B.; Viznovych, O.; Tokarchuk, M. Generalized Electrodiffusion Equation With Fractality of Space-Time: Theory and Application. J. Phys. Chem. A 2018, 122, 4099–4110. [Google Scholar] [CrossRef]
  31. Anisimova, N.; Bordovskii, V.; Grabko, G.; Castro, R. Specific features of the photodielectric effect in amorphous As2Se3layers. Tech. Phys. Lett. 2013, 39, 98–100. [Google Scholar] [CrossRef]
  32. Grygorchak, I.; Ivashchyshyn, F.; Tokarchuk, M.; Pokladok, N.; Viznovych, O. Modification of properties of GaSe⟨β-cyclodexterin⟨FeSO4⟩⟩ Clathrat by synthesis in superposed electric and light-wave fields. J. Appl. Phys. 2017, 121, 185501. [Google Scholar] [CrossRef]
  33. Krohns, S.; Lunkenheimer, P.; Kant, C.; Pronin, A.V.; Brom, H.B.; Nugroho, A.A.; Diantoro, M.; Loidl, A. Colossal dielectric constant up to gigahertz at room temperature. Appl. Phys. Lett. 2009, 94, 122903-1–122903-3. [Google Scholar] [CrossRef]
  34. Homes, C.C.; Vogt, T.; Shapiro, S.M.; Wakimoto, S.; Ramirez, A.P. Optical Response of High-Dielectric-Constant Perovskite-Related Oxide. Science 2001, 293, 673–676. [Google Scholar] [CrossRef] [Green Version]
  35. Bishchanyuk, T.M.; Grygorchak, I.I.; Ivashchyshyn, F.O.; Matulka, D.V.; Budzulyak, S.I.; Yablon, L.S. Impedance Response and Photodielectric Properties of Nanoporous Silica Matrices with Encapsulated Rhodamine-C and Rhodamine-6G. Phys. Chem. Solid State 2014, 15, 653–660. (In Ukrainian) [Google Scholar]
  36. Prodromakis, T.; Papavassiliou, C. Engineering the Maxwell–Wagner polarization effect. Appl. Surf. Sci. 2009, 255, 6989–6994. [Google Scholar] [CrossRef]
Figure 1. Spatial representation of the structure SBA-15.
Figure 1. Spatial representation of the structure SBA-15.
Energies 15 06069 g001
Figure 2. Molecular structure of 1-Allyl-3-methylimidazolium bis(trifluoromethanesulfonyl)imide.
Figure 2. Molecular structure of 1-Allyl-3-methylimidazolium bis(trifluoromethanesulfonyl)imide.
Energies 15 06069 g002
Figure 3. The scheme of thermo vacuum soaking technique: (1) the sample SBA-15; (2) electric oven; (3) temperature regulator; (4) backing pump; (5) pressure gauge.
Figure 3. The scheme of thermo vacuum soaking technique: (1) the sample SBA-15; (2) electric oven; (3) temperature regulator; (4) backing pump; (5) pressure gauge.
Energies 15 06069 g003
Figure 4. The scheme of measurements under applied magnetic field (a) and under illumination (b).
Figure 4. The scheme of measurements under applied magnetic field (a) and under illumination (b).
Energies 15 06069 g004
Figure 5. Absorption/desorption isotherms for investigated samples: 1-SBA-15; 2-SBA-15<IL>. The hollow dots correspond to the absorption process and fulfilled dots correspond to the desorption mechanism.
Figure 5. Absorption/desorption isotherms for investigated samples: 1-SBA-15; 2-SBA-15<IL>. The hollow dots correspond to the absorption process and fulfilled dots correspond to the desorption mechanism.
Energies 15 06069 g005
Figure 6. Pore size distribution in investigated samples evaluated by BJH model, 1-initial SBA-15; 2-SBA-15<IL>.
Figure 6. Pore size distribution in investigated samples evaluated by BJH model, 1-initial SBA-15; 2-SBA-15<IL>.
Energies 15 06069 g006
Figure 7. X-ray diffraction pattern of initial SBA-15 sample (black) and α-SiO2 (trigonal symmetry, P3221 space group, a = 0.492 nm, c = 0.540 nm). s parameter was calculated according Equation (1).
Figure 7. X-ray diffraction pattern of initial SBA-15 sample (black) and α-SiO2 (trigonal symmetry, P3221 space group, a = 0.492 nm, c = 0.540 nm). s parameter was calculated according Equation (1).
Energies 15 06069 g007
Figure 8. Normalised diffraction patterns for SBA-15 (1) and SBA-15<IL> (2) samples.
Figure 8. Normalised diffraction patterns for SBA-15 (1) and SBA-15<IL> (2) samples.
Energies 15 06069 g008
Figure 9. SAXS spectra for SBA-15 (a) i SBA-15<IP> (b); experimental data (dots), fitting data (lines).
Figure 9. SAXS spectra for SBA-15 (a) i SBA-15<IP> (b); experimental data (dots), fitting data (lines).
Energies 15 06069 g009
Figure 10. Frequency dependences of real part of complex impedance for SBA-15<IL> clathrate measured under normal conditions (1), under illumination (2) and in applied magnetic field (3).
Figure 10. Frequency dependences of real part of complex impedance for SBA-15<IL> clathrate measured under normal conditions (1), under illumination (2) and in applied magnetic field (3).
Energies 15 06069 g010
Figure 11. Thermostimulated discharge spectrum of SBA-15<IL>.
Figure 11. Thermostimulated discharge spectrum of SBA-15<IL>.
Energies 15 06069 g011
Figure 12. The frequency dependence of the imaginary component of complex impedance for SBA-15<IL> measured under normal conditions (1), under illumination (2) and in applied magnetic field (3).
Figure 12. The frequency dependence of the imaginary component of complex impedance for SBA-15<IL> measured under normal conditions (1), under illumination (2) and in applied magnetic field (3).
Energies 15 06069 g012
Figure 13. Nyquist plot for SBA-15<IL> measured under normal conditions (dots) and fitting plot (line).
Figure 13. Nyquist plot for SBA-15<IL> measured under normal conditions (dots) and fitting plot (line).
Energies 15 06069 g013
Figure 14. Equivalent electric circuit.
Figure 14. Equivalent electric circuit.
Energies 15 06069 g014
Figure 15. Nyquist plots for SBA-15<IL> measured under illumination (1) and in an applied magnetic field (2) (dots) and fitting plots (line).
Figure 15. Nyquist plots for SBA-15<IL> measured under illumination (1) and in an applied magnetic field (2) (dots) and fitting plots (line).
Energies 15 06069 g015
Figure 16. Frequency dependence of real component of permittivity for SBA-15<IL> clathrate measured under normal conditions (1), under illumination (2) and in applied magnetic field (3).
Figure 16. Frequency dependence of real component of permittivity for SBA-15<IL> clathrate measured under normal conditions (1), under illumination (2) and in applied magnetic field (3).
Energies 15 06069 g016
Figure 17. Frequency dependence of loss tangent for SBA-15<IL> clathrate measured under normal conditions (1), under illumination (2) and in applied magnetic field (3).
Figure 17. Frequency dependence of loss tangent for SBA-15<IL> clathrate measured under normal conditions (1), under illumination (2) and in applied magnetic field (3).
Energies 15 06069 g017
Figure 18. Cole-Cole diagrams for SBA-15<IL> clathrate measured under normal conditions (1), under illumination (2) and in magnetic field (3).
Figure 18. Cole-Cole diagrams for SBA-15<IL> clathrate measured under normal conditions (1), under illumination (2) and in magnetic field (3).
Energies 15 06069 g018
Figure 19. Current-voltage characteristics for SBA-15<IL> clathrate measured under normal conditions (1), under illumination (2) and in magnetic field (3).
Figure 19. Current-voltage characteristics for SBA-15<IL> clathrate measured under normal conditions (1), under illumination (2) and in magnetic field (3).
Energies 15 06069 g019
Table 1. Parameters of an equivalent electric circuit for SBA-15<IL> clathrate.
Table 1. Parameters of an equivalent electric circuit for SBA-15<IL> clathrate.
SBA-15<IL>R1, OhmCPE1, FR2, OhmCPE2, FR3, OhmC3, F
CPE1-TCPE1-PCPE2-TCPE2-P
NC1.94 × 1096.00 × 10−90.771.53 × 1086.30 × 10−91.001.46 × 1048.50 × 10−12
Illum8.59 × 10−80.474.20 × 1061.42 × 10−70.53349 × 1031.57 × 10−11
MF3.74 × 10−40.507.26 × 1026.79 × 10−60.517.39 × 1022.20 × 10−10
Table 2. Compounds for quantum accumulators.
Table 2. Compounds for quantum accumulators.
CompoundPermittivity εLoss Tangent tgδFrequency Range, HzTemperature Range, K
La15/8Sr1/8NiO4 [33]300 ÷ 1060.05 ÷ 11 ÷ 10645 ÷ 300
CaCu3Ti4O12 [34]1051 ÷ 106100 ÷ 600
MCM-41<P6Ж> [35]1.1 × 109 ÷ 5.5 × 1080.7 ÷ 0.90.001 ÷ 0.004230 ÷ 330
GaSe<IP> [9]1.4 × 1010 ÷ 1.1 × 10110.3 ÷ 0.90.001 ÷ 0.01230 ÷ 330
SBA-15<IP>1012 ÷ 7.5 × 1090.6 ÷ 0.90.001 ÷ 0.1293
Publisher’s Note: MDPI stays neutral with regard to jurisdictional claims in published maps and institutional affiliations.

Share and Cite

MDPI and ACS Style

Chabecki, P. Quantum Energy Storage in Dielectric<Ionic Liquid> Porous Clathrates. Energies 2022, 15, 6069. https://doi.org/10.3390/en15166069

AMA Style

Chabecki P. Quantum Energy Storage in Dielectric<Ionic Liquid> Porous Clathrates. Energies. 2022; 15(16):6069. https://doi.org/10.3390/en15166069

Chicago/Turabian Style

Chabecki, Piotr. 2022. "Quantum Energy Storage in Dielectric<Ionic Liquid> Porous Clathrates" Energies 15, no. 16: 6069. https://doi.org/10.3390/en15166069

APA Style

Chabecki, P. (2022). Quantum Energy Storage in Dielectric<Ionic Liquid> Porous Clathrates. Energies, 15(16), 6069. https://doi.org/10.3390/en15166069

Note that from the first issue of 2016, this journal uses article numbers instead of page numbers. See further details here.

Article Metrics

Back to TopTop