Gasification of Spruce Wood Chips in a 1.5 MWth Fluidised Bed Reactor
Abstract
:1. Overview
2. Materials, Equipment, and Experimental Procedures
2.1. Biomass
2.2. Fluidised Bed Gasifier
2.3. Analytical Equipment for Gasification Products Characterisation
2.4. Operating Conditions of the Gasification Tests
3. Results and Discussion
3.1. Production of Syngas and Fines Elutriation
3.2. Tar Production and Characterisation
- Naphthalene, a 2-rings polycyclic aromatic hydrocarbon (PAH), along with small amounts of 1- and 2-methylnaphthalene, accounted for the most relevant fraction (60.77%);
- Other PAH (from C9 to C16), prevailingly composed by indane (2-rings), acenaphthylene (3-rings), phenanthrene (3-rings) and pyrene (4-rings), accounted for 20.79%;
- 15.52% was characterised by phenol;
- Styrene and dibenzofuran (a 3-rings PAH containing oxygen) accounted for 1.56% and 1.36%, respectively.
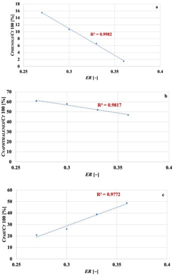
- The amount of phenols steadily decreases, down to 1.49% (on the basis of the value of CT) for ER = 0.36; starting from ER = 0.33, 3- and 4-methylphenol are observed as minor compounds in this class; the same happens for the three naphthalene-based compounds (whose total concentration steadily decreases to 46.92% at ER = 0.36);
- Correspondingly, the higher temperatures associated with higher ER values favour the formation of other (and, also, more complex) PAH (up to C16, C20 and C22 for ER = 0.30, 0.33 and 0.36, respectively), whose total concentration steadily increases up to 48.75% for ER = 0.36; starting from ER = 0.30 on, biphenyl (2-rings), fluorene (3-rings) and anthracene (3-rings) appear as other relevant species, together with a plethora of minor compounds.
4. Conclusions
Author Contributions
Funding
Acknowledgments
Conflicts of Interest
Abbreviations
| CNAPHTHALENES | Concentration of naphthalenes in tar | [g/Nm3] |
| CPAH | Concentration of other PAH in tar | [g/Nm3] |
| CPHENOLS | Concentration of phenols in tar | [g/Nm3] |
| CT | Tar concentration in syngas | [g/Nm3] |
| ER | Air/fuel equivalence ratio | [–] |
| LHV | Lower heating value | [kJ/Nm3] |
| n | Number of measurements | [–] |
| QSG | Syngas volumetric flow rate | [Nm3/h] |
| TB | Bed temperature | [°C] |
| UG | Superficial fluidisation velocity | [m/s] |
| WA | Air inlet mass flow rate | [kg/h] |
| WF | Fuel (biomass) inlet mass flow rate | [kg/h] |
| WT | Tar mass flow rate | [kg/h] |
| YSG | Syngas specific mass yield | [Nm3/kg] |
| Syngas specific energetic yield | [kJ/kg] | |
| δ | Average absolute deviation | |
| µ | Average value for a given parameter over n measures | |
| ξ | Measurement value of a given parameter |
References
- Stiegel, G.J.; Maxwell, R.C. Gasification technologies: The path to clean, affordable energy in the 21st century. Fuel Process. Technol. 2001, 71, 79–97. [Google Scholar] [CrossRef]
- Kalpokaitė-Dičkuvienė, R.; Lukošiūtė, I.; Brinkienė, K.; Striūgas, N.; Baltušnikas, A.; Lukauskaitė, R.; Čėsnienė, J. Utilization of sewage sludge-biomass gasification residue in cement-based materials: Effect of pozzolant type. Environ. Technol. 2018, 39, 2937–2950. [Google Scholar] [CrossRef] [PubMed]
- Maneerung, T.; Li, X.; Li, C.; Dai, Y.; Wang, C. Integrated downdraft gasification with power generation system and gasification bottom ash reutilization for clean waste-to-energy and resource recovery system. J. Clean. Prod. 2018, 188, 69–79. [Google Scholar] [CrossRef]
- Ribeiro, P.B.; de Freitas, V.O.; Machry, K.; Muniz, A.R.C.; da Rosa, G.S. Evaluation of the potential of coal fly ash produced by gasification as hexavalent chromium adsorbent. Environ. Sci. Pollut. Res. 2019, 26, 28603–28613. [Google Scholar] [CrossRef]
- Dudyński, M. Gasification of selected biomass waste for energy production and chemicals recovery. Chem. Eng. Trans. 2018, 65, 391–396. [Google Scholar]
- Wang, L.; Maziarka, P.; Skreiberg, Ø.; Løvås, T.; Wądrzyk, M.; Sevault, A. Study of CO2 gasification reactivity of biocarbon produced at different conditions. Energy Procedia 2017, 142, 991–996. [Google Scholar] [CrossRef]
- Pollex, A.; Lesche, S.; Kuptz, D.; Zeng, T.; Kuffer, G.; Mühlenberg, J.; Hartmann, H.; Lenz, V. Influence of screening and drying on low-quality wood chips for application in small-scale gasification plants. Chem. Eng. Technol. 2020, 43, 1493–1505. [Google Scholar] [CrossRef]
- Cerone, N.; Zimbardi, F. Effect of oxygen and steam equivalence ratios on updraft gasification of biomass. Energies 2021, 14, 2675. [Google Scholar] [CrossRef]
- Korus, A.; Ravenni, G.; Loska, K.; Korus, I.; Samson, A.; Szlęk, A. The importance of inherent inorganics and the surface area of wood char for its gasification reactivity and catalytic activity towards toluene conversion. Renew. Energy 2021, 173, 479–497. [Google Scholar] [CrossRef]
- Baratieri, M.; Baggio, P.; Fiori, L.; Grigiante, M. Biomass as an energy source: Thermodynamic constraints on the performance of the conversion process. Bioresour. Technol. 2008, 99, 7063–7073. [Google Scholar] [CrossRef]
- Arena, U.; Zaccariello, L.; Mastellone, M.L. Gasification of natural and waste biomass in a pilot scale fluidized bed reactor. Combust. Sci. Technol. 2010, 182, 625–639. [Google Scholar] [CrossRef]
- Arena, U.; Zaccariello, L.; Mastellone, M.L. Fluidized bed gasification of waste-derived fuels. Waste Manag. 2010, 30, 1212–1219. [Google Scholar] [CrossRef]
- Mastellone, M.L.; Zaccariello, L.; Arena, U. Co-gasification of coal, plastic waste and wood in a bubbling fluidized bed reactor. Fuel 2010, 89, 2991–3000. [Google Scholar] [CrossRef]
- Kern, S.; Pfeifer, C.; Hofbauer, H. Gasification of wood in a dual fluidized bed gasifier: Influence of fuel feeding on process performance. Chem. Eng. Sci. 2013, 90, 284–298. [Google Scholar] [CrossRef]
- Zaccariello, L.; Mastellone, M.L. Fluidized-bed gasification of plastic waste, wood, and their blends with coal. Energies 2015, 8, 8052–8068. [Google Scholar] [CrossRef]
- Liu, Z.; Mayer, B.K.; Venkiteshwaran, K.; Seyedi, S.; Raju, A.S.K.; Zitomer, D.; McNamara, P.J. The state of technologies and research for energy recovery from municipal wastewater sludge and biosolids. Curr. Opin. Environ. Sci. Health 2020, 14, 31–36. [Google Scholar] [CrossRef]
- Migliaccio, R.; Brachi, P.; Montagnaro, F.; Papa, S.; Tavano, A.; Montesarchio, P.; Ruoppolo, G.; Urciuolo, M. Sewage sludge gasification in a fluidized bed: Experimental investigation and modeling. Ind. Eng. Chem. Res. 2021, 60, 5034–5047. [Google Scholar] [CrossRef]
- Coppola, A.; Sattari, A.; Montagnaro, F.; Scala, F.; Salatino, P. Performance of limestone-based sorbent for sorption-enhanced gasification in dual interconnected fluidized bed reactors. AIChE J. 2022, in press. [CrossRef]
- Kozlov, A.; Marchenko, O.; Solomin, S. The modern state of wood biomass gasification technologies and their economic efficiency. Energy Procedia 2019, 158, 1004–1008. [Google Scholar] [CrossRef]
- Lan, W.; Chen, G.; Zhu, X.; Wang, X.; Wang, X.; Xu, B. Research on the characteristics of biomass gasification in a fluidized bed. J. Energy Inst. 2019, 92, 613–620. [Google Scholar] [CrossRef]
- Agu, C.E.; Moldestad, B.M.E.; Pfeifer, C. Assessment of combustion and gasification behavior in a bubbling fluidized bed reactor: A comparison between biomass with and without chemical additives. Energy Fuels 2020, 34, 9654–9663. [Google Scholar] [CrossRef]
- Bandara, J.C.; Jaiswal, R.; Nielsen, H.K.; Moldestad, B.M.E.; Eikeland, M.S. Air gasification of wood chips, wood pellets and grass pellets in a bubbling fluidized bed reactor. Energy 2021, 233, 121149. [Google Scholar] [CrossRef]
- Rapagnà, S.; Jand, N.; Kiennemann, A.; Foscolo, P.U. Steam-gasification of biomass in a fluidised bed of olivine particles. Biomass Bioenergy 2000, 19, 187–197. [Google Scholar] [CrossRef]
- Hu, G.; Xu, S.; Li, S.; Xiao, C.; Liu, S. Steam gasification of apricot stones with olivine and dolomite as downstream catalysts. Fuel Process. Technol. 2006, 87, 375–382. [Google Scholar] [CrossRef]
- Soomro, A.; Chen, S.; Ma, S.; Xiang, W. Catalytic activites of nickel, dolomite, and olivine for tar removal and H2-enriched gas production in biomass gasification process. Energy Environ. 2018, 29, 839–867. [Google Scholar] [CrossRef]
- NETL-DOE. Available online: https://www.netl.doe.gov/research/coal/energy-systems/gasification/gasifipedia/syngas-composition-igcc (accessed on 7 July 2022).
- Saxena, R.C.; Seal, D.; Kumar, S.; Goyal, H.B. Thermo-chemical routes for hydrogen rich gas from biomass: A review. Renew. Sustain. Energy Rev. 2008, 12, 1909–1927. [Google Scholar] [CrossRef]
- Huang, J.; Schmidt, K.G.; Bian, Z. Removal and conversion of tar in syngas from woody biomass gasification for power utilization using catalytic hydrocracking. Energies 2011, 4, 1163–1177. [Google Scholar] [CrossRef]







| Dry Basis | Wet Basis | |
|---|---|---|
| C | 48.16 | 43.67 |
| H | 6.38 | 5.79 |
| N | 0.20 | 0.18 |
| S | n.d. | n.d. |
| Ash | 0.16 | 0.15 |
| Moisture | – | 9.32 |
| O (by difference) | 45.10 | 40.89 |
| Test ER27 | Test ER30 | Test ER33 | Test ER36 | |
|---|---|---|---|---|
| Bed material | Olivine, 0.2–0.3 mm, inventory = 1000 kg | |||
| Fuel biomass | Spruce wood chips | |||
| WF [kg/h] | 478.0 | 434.0 | 391.0 | 359.0 |
| TB [°C] | 957 | 976 | 991 | 1032 |
| Fluidising gas | Air, WA = 680 kg/h | |||
| UG (@TB) [m/s] | 0.59 | 0.59 | 0.60 | 0.62 |
| ER | 0.27 | 0.30 | 0.33 | 0.36 |
| Test ER27 | Test ER30 | Test ER33 | Test ER36 | |
|---|---|---|---|---|
| LHV (dry basis) [kJ/Nm3] | 6352 ± 217 | 5519 ± 194 | 5195 ± 185 | 4607 ± 172 |
| YSG [Nm3/kg of fuel], Equation (2) | 1.81 ± 0.04 | 1.91 ± 0.04 | 2.09 ± 0.04 | 2.14 ± 0.03 |
| [kJ/kg of fuel], Equation (3) | 11525 ± 619 | 10537 ± 561 | 10852 ± 576 | 9845 ± 514 |
| WT [kg/h] | 3.35 ± 0.07 | 2.47 ± 0.05 | 2.04 ± 0.04 | 1.32 ± 0.02 |
| CT [g/Nm3], Equation (6) | 3.86 ± 0.00 | 2.98 ± 0.00 | 2.50 ± 0.00 | 1.72 ± 0.00 |
| Test ER27 | Test ER30 | Test ER33 | Test ER36 | |
|---|---|---|---|---|
| CT [g/Nm3], Equation (6) | 3.86 | 2.98 | 2.50 | 1.72 |
| of which | ||||
| Phenol (C6H6O) | 15.52% | 10.68% | 6.10% | 1.44% |
| 3-Methylphenol (C7H8O) | - | - | 0.15% | - |
| 4-Methylphenol (C7H8O) | - | - | 0.37% | 0.05% |
| Total phenols | 15.52% | 10.68% | 6.62% | 1.49% |
| Benzofuran (C8H6O) | - | 2.68% | 0.65% | 0.96% |
| Dibenzofuran (C12H8O) | 1.36% | - | - | - |
| Total furans | 1.36% | 2.68% | 0.65% | 0.96% |
| Naphthalene (C10H8) | 59.84% | 53.54% | 45.91% | 29.47% |
| 1-Methylnaphthalene (C11H10) | 0.34% | 1.62% | 2.28% | 9.60% |
| 2-Methylnaphthalene (C11H10) | 0.59% | 2.80% | 3.75% | 7.85% |
| Total naphthalenes | 60.77% | 57.96% | 51.94% | 46.92% |
| Toluene (C7H8) | - | 0.61% | 0.36% | 0.38% |
| Styrene (C8H8) | 1.56% | 2.03% | 1.52% | 1.50% |
| Total (other) aromatics | 1.56% | 2.64% | 1.88% | 1.88% |
| Indane (C9H10) | 10.48% | 5.02% | 10.62% | 15.09% |
| Acenaphthylene (C12H8) | 3.10% | 3.93% | 9.09% | 11.92% |
| Biphenyl (C12H10) | 0.35% | 1.25% | 2.99% | 2.93% |
| Acenaphthene (C12H10) | - | 0.50% | 1.10% | 1.17% |
| Fluorene (C13H10) | 0.77% | 1.09% | 2.16% | 3.18% |
| Phenanthrene (C14H10) | 2.93% | 0.66% | 5.64% | 5.28% |
| Anthracene (C14H10) | 0.37% | 10.95% | 3.74% | 4.35% |
| Cyclopenta[d,e,f]phenanthrene (C15H10) | 0.17% | 0.25% | 0.43% | 0.51% |
| Fluoranthene (C16H10) | 0.37% | 1.01% | 1.27% | 1.19% |
| Pyrene (C16H10) | 2.25% | 1.12% | 1.40% | 1.39% |
| 2-Phenylnaphthalene (C16H12) | - | 0.26% | 0.38% | 0.37% |
| Benzo[g,h,i]fluoranthene (C18H10) | - | - | 0.01% | 0.12% |
| Benzo[a]anthracene (C18H12) | - | - | 0.01% | 0.27% |
| Chrysene (C18H12) | - | - | 0.02% | 0.24% |
| Benzo[c]phenanthrene (C18H12) | - | - | - | 0.02% |
| Benzo[b]fluoranthene (C20H12) | - | - | 0.05% | 0.11% |
| Benzo[j]fluoranthene (C20H12) | - | - | - | 0.01% |
| Benzo[k]fluoranthene (C20H12) | - | - | - | 0.03% |
| Benzo[a]pyrene (C20H12) | - | - | - | 0.07% |
| Benzo[e]pyrene (C20H12) | - | - | - | 0.03% |
| Indeno[c,d,e]pyrene (C22H12) | - | - | - | 0.13% |
| Benzo[g,h,i]perylene (C22H12) | - | - | - | 0.26% |
| Dibenzo[a,h]anthracene (C22H14) | - | - | - | 0.08% |
| Total (other) PAH | 20.79% | 26.04% | 38.91% | 48.75% |
Publisher’s Note: MDPI stays neutral with regard to jurisdictional claims in published maps and institutional affiliations. |
© 2022 by the authors. Licensee MDPI, Basel, Switzerland. This article is an open access article distributed under the terms and conditions of the Creative Commons Attribution (CC BY) license (https://creativecommons.org/licenses/by/4.0/).
Share and Cite
Montagnaro, F.; Zaccariello, L. Gasification of Spruce Wood Chips in a 1.5 MWth Fluidised Bed Reactor. Energies 2022, 15, 5883. https://doi.org/10.3390/en15165883
Montagnaro F, Zaccariello L. Gasification of Spruce Wood Chips in a 1.5 MWth Fluidised Bed Reactor. Energies. 2022; 15(16):5883. https://doi.org/10.3390/en15165883
Chicago/Turabian StyleMontagnaro, Fabio, and Lucio Zaccariello. 2022. "Gasification of Spruce Wood Chips in a 1.5 MWth Fluidised Bed Reactor" Energies 15, no. 16: 5883. https://doi.org/10.3390/en15165883
APA StyleMontagnaro, F., & Zaccariello, L. (2022). Gasification of Spruce Wood Chips in a 1.5 MWth Fluidised Bed Reactor. Energies, 15(16), 5883. https://doi.org/10.3390/en15165883

