Numerical Investigations of a Non-Uniform Stator Dihedral Design Strategy for a Boundary Layer Ingestion (BLI) Fan
Abstract
:1. Introduction
2. Study Case and Numerical Method
2.1. Study Case
2.2. Computational Methods
2.3. CFD Validation
3. Problem Descriptions
4. Non-Uniform Stator Dihedral Design
4.1. Stator Blade Parameterization
4.2. Dihedral Design Scheme
5. Results and Discussion
5.1. Flow Field Analysis in Stator
5.2. Aerodynamic Loss Analysis in Stator
5.3. Performance Comparison
6. Summary and Conclusions
- A circumferentially non-uniform additional loss distribution has been induced in the stator blade passage due to the BLI inflow distortion. In the radial direction, the additional loss is mainly located in the span fractions above 70% blade height. In the circumferential direction, the BLI inflow distortion has caused a large aerodynamic loss in the annulus locations covering from −120 deg to 60 deg where the rotor blade is in the process of moving from the distorted region to the undistorted region.
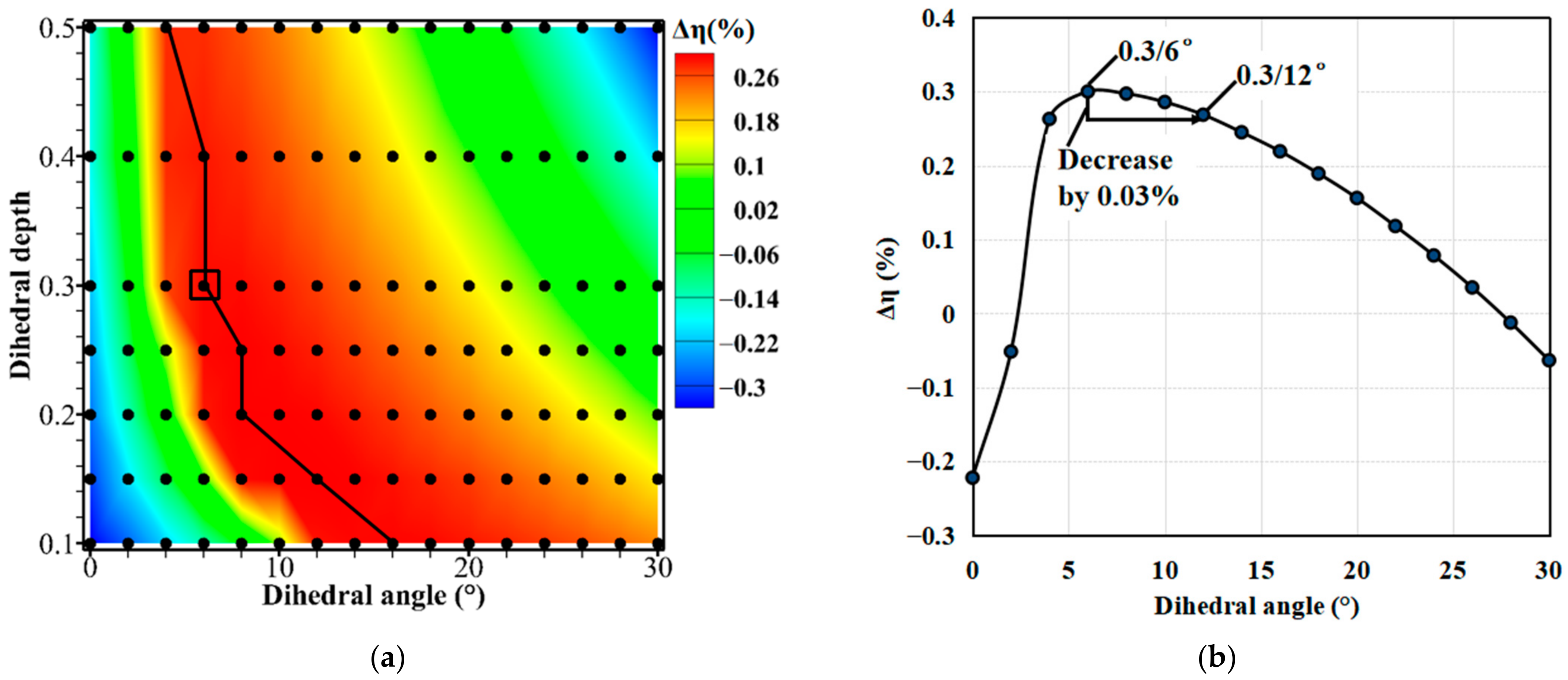
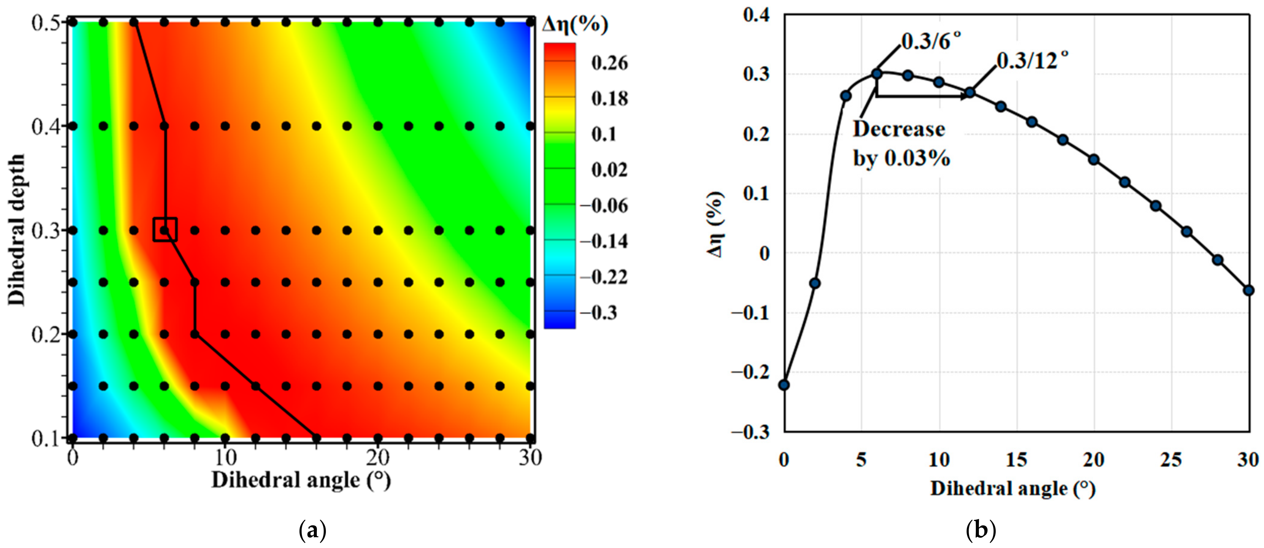
- The full-annulus BLI fan was discretized into different portions along the annulus according to the rotor blade number, and the dihedral parameter (dihedral angle and depth) investigations were conducted at the portion with the largest inflow distortion through steady single-blade-passage simulations. There were three main results: (1) For the same dihedral depth, there was an optimal dihedral angle. (2) The optimal dihedral angle under each dihedral depth could achieve approximately the same adiabatic efficiency improvement. (3) The optimal dihedral design parameters for the largest inflow distortion were also applicable for other weaker inflow distortions. Based on these results, a non-uniform stator dihedral design strategy was developed. The optimal combinational dihedral design parameter (dihedral depth 0.3/dihedral angle 6 deg) was applied to the stator blades located from −120 deg to 60 deg annulus positions, while the stator blades in other annulus locations were unchanged.
- With the non-uniform stator dihedral design, the blade load near the trailing edge became lower than that of the baseline design in the tip region. The reduced blade load near the trailing edge had a positive effect on suppressing the flow separations. Specifically, the separation loss in the annulus locations from −120 deg to 60 deg was notably reduced and the stator aerodynamic loss decreased by about 7.7%. Meanwhile, the fan stage improved in adiabatic efficiency by about 0.48% without sacrificing the total pressure ratio.
- After the application of a non-uniform stator dihedral design, a notable performance improvement was achieved over the whole operating range. In one aspect, the aerodynamic loss of the dihedral-designed stator was lower than that of the baseline stator. Moreover, the reduction of loss was more notable as the operating mass flow decreased. In another aspect, over the whole operating range, the redesigned BLI fan showed higher adiabatic efficiency than the baseline fan while the total pressure ratio was maintained. The results suggest that the non-uniform stator dihedral design is capable of reducing the separation loss in the stator and enhancing the aerodynamic performances of the BLI fan.
Author Contributions
Funding
Institutional Review Board Statement
Informed Consent Statement
Data Availability Statement
Conflicts of Interest
References
- Hileman, J.I.; Spakovszky, Z.S.; Drela, M. Airframe Design for Silent Aircraft. In Proceedings of the 45th AIAA Aerospace Sciences Meeting and Exhibit, Reno, NV, USA, 8–11 January 2007. [Google Scholar]
- Felder, J.; Kim, H.; Brown, G. Turboelectric Distributed Propulsion Engine Cycle Analysis for Hybrid-Wing-Body Aircraft. In Proceedings of the 47th AIAA Aerospace Sciences Meeting including the New Horizons Forum and Aerospace Exposition, Orlando, FL, USA, 5–8 January 2009. [Google Scholar]
- Ko, A.; Leifsson, L.T.; Mason, W.H.; Schetz, J.A.; Grossman, B. MDO of a Blended-Wing-Body Transport Aircraft with Distributed Propulsion. In Proceedings of the AIAA’s 3rd Annual Aviation Technology, Integration, and Operations (ATIO) Tech, Denver, CO, USA, 17–19 November 2003. [Google Scholar]
- Kim, H.; Liou, M.S. Flow Simulation of N2B Hybrid Wing Body Configuration. In Proceedings of the 50th AIAA Aerospace Sciences Meeting including the New Horizons Forum and Aerospace Exposition, Nashville, TN, USA, 9–12 January 2012. [Google Scholar]
- Felder, J.L.; Brown, G.V.; Kim, H.D.; Chu, J. Turboelectric Distributed Propulsion in a Hybrid Wing Body Aircraft. In Proceedings of the 20th International Society for Airbreathing Engines, Gothenburg, Sweden, 12–16 September 2011. [Google Scholar]
- Plas, A.P.; Sargeant, M.A.; Madani, V.; Crichton, D.; Greitzer, E.M.; Hynes, T.P.; Hall, C.A. Performance of a Boundary Layer Ingesting (BLI) Propulsion System. In Proceedings of the 45th AIAA Aerospace Sciences Meeting and Exhibit, Reno, NV, USA, 8–11 January 2007. [Google Scholar]
- Hall, C.A.; Schwartz, E.; Hileman, J.I. Assessment of Technologies for the Silent Aircraft Initiative. AIAA J. Propuls. Power 2009, 25, 1153–1162. [Google Scholar] [CrossRef] [Green Version]
- Kirner, R.; Raffaelli, L.; Rolt, A.; Laskaridis, P.; Doulgeris, G.; Singh, R. An Assessment of Distributed Propulsion: Part B-Advanced Propulsion System Architectures for Blended Wing Body Aircraft Configurations. Aerosp. Sci. Technol. 2006, 50, 212–219. [Google Scholar] [CrossRef]
- Uranga, A.; Drela, M.; Greitzer, E.M.; Titchener, N.A.; Lieu, M.K.; Siu, N.M.; Huang, A.C.; Gatlin, G.M.; Hannon, J.A. Preliminary Experimental Assessment of the Boundary Layer Ingestion Benefit for the D8 Aircraft. In Proceedings of the 52nd Aerospace Sciences Meeting, National Harbor, MD, USA, 13–17 January 2014. [Google Scholar]
- Uranga, A.; Drela, M.; Greitzer, E.M.; Hall, D.K.; Titchener, N.A.; Lieu, M.K.; Siu, N.M.; Casses, C.; Huang, A.C.; Gatlin, G.M.; et al. Boundary Layer Ingestion Benefit of the D8 Transport Aircraft. AIAA J. 2017, 55, 3693–3708. [Google Scholar] [CrossRef] [Green Version]
- Kim, H.; Liou, M.S. Flow Simulation and Optimal Shape Design of N3-X Hybrid Wing Body Configuration Using a Body Force Method. Aerosp. Sci. Technol. 2017, 71, 661–674. [Google Scholar] [CrossRef]
- Florea, R.V.; Matalanis, C.; Hardin, L.W.; Stucky, M.; Shabbir, A. Parametric Analysis and Design for Embedded Engine Inlets. AIAA J. Propuls. Power 2015, 31, 843–850. [Google Scholar] [CrossRef]
- Mennicken, M.; Schoenweitz, D.; Schnoes, M.; Schnell, R. Conceptual Fan Design for Boundary Layer Ingestion. In Proceedings of the ASME Turbo Expo: Turbomachinery Technical Conference and Exposition, Phoenix, AZ, USA, 17–21 June 2019. [Google Scholar]
- Cousins, W.T.; Voytovych, D.; Tillman, G. Design of a Distortion-Tolerant Fan for a Boundary-Layer Ingesting Embedded Engine Application. In Proceedings of the 53rd AIAA/SAE/ASEE Joint Propulsion Conference, Atlanta, GA, USA, 10–12 July 2017. [Google Scholar]
- Giuliani, J.; Chen, J.P. Numerical Simulation of Boundary Layer Ingesting (BLI) Inlet/Fan Interaction. In Proceedings of the 50th AIAA/ASME/SAE/ASEE Joint Propulsion Conference, Cleveland, OH, USA, 28–30 July 2014. [Google Scholar]
- Florea, R.V.; Voytovych, D.; Tillman, G.; Stucky, M.; Shabbir, A.; Sharma, O.; Arend, D.J. Aerodynamic Analysis of a Boundary-Layer-Ingesting Distortion-Tolerant Fan. In Proceedings of the ASME Turbo Expo: Turbine Technical Conference and Exposition, San Antonio, TX, USA, 3–7 June 2013. [Google Scholar]
- Li, D.; Lu, H.; Yang, Z.; Pan, T.; Du, H.; Li, Q. Optimization of a Transonic Axial-Flow Compressor under Inlet Total Pressure Distortion to Enhance Aerodynamic Performance. Eng. Appl. Comput. Fluid Mech. 2020, 14, 1002–1020. [Google Scholar] [CrossRef]
- Gunn, E.J.; Hall, C.A. Aerodynamics of Boundary Layer Ingesting Fans. In Proceedings of the ASME Turbo Expo: Turbine Technical Conference and Exposition, Düsseldorf, Germany, 16–20 June 2014. [Google Scholar]
- Gunn, E.J.; Hall, C.A. Non-Axisymmetric Stator Design for Boundary Layer Ingesting Fans. ASME J. Turbomach. 2019, 141, 071010. [Google Scholar] [CrossRef] [Green Version]
- Shang, E.; Wang, Z.Q.; Su, J.X. The Experimental Investigations on the Compressor Cascades with Leaned and Curved Blades. In Proceedings of the ASME Turbo Expo: Power for Land, Sea, and Air, Cincinnati, OH, USA, 24–27 May 1993. [Google Scholar]
- Fischer, A.; Riess, W.; Seume, J.R. Performance of Strongly Bowed Stators in a 4-Stage High Speed Compressor. In Proceedings of the ASME Turbo Expo: Power for Land, Sea, and Air, Atlanta, GA, USA, 16–19 June 2003. [Google Scholar]
- Wellborn, S.R.; Delaney, R.A. Redesign of a 12-Stage Axial-Flow Compressor Using Multistage CFD. In Proceedings of the ASME Turbo Expo: Power for Land, Sea, and Air, New Orleans, LA, USA, 4–7 June 2001. [Google Scholar]
- Wang, Z.; Su, J.; Zhong, J. The Effect of the Distribution in a Three-Dimensional Flow Field of a Cascade on the Type of Curved Blade. In Proceedings of the ASME Turbo Expo: Power for Land, Sea, and Air, The Hague, The Netherlands, 13–16 June 1994. [Google Scholar]
- Weingold, H.D.; Neubert, R.J.; Behlke, R.F.; Potter, G.E. Bowed Stator: An Example of CFD Applied to Improve Multistage Compressor Efficiency. ASME J. Turbomach. 1997, 119, 161–168. [Google Scholar] [CrossRef]
- Breugelmans, F.A.E. Influence of Incidence Angle on the Secondary Flow in Compressor Cascade with Different Dihedral Distribution. In Proceedings of the 7th International Symposium on Air-breathing Engines, Beijing, China, 2–6 September 1985. [Google Scholar]
- Takahashi, Y.; Hamatake, H.; Katoh, Y.; Toda, M.; Kashiwabara, Y. Experimental and Numerical Investigations of Endwall Flow in a Bowed Compressor Cascade. In Proceedings of the 41st AIAA/ASME/SAE/ASEE Joint Propulsion Conference & Exhibit, Tucson, AZ, USA, 10–13 July 2005. [Google Scholar]
- Gümmer, V.; Wenger, U.; Kau, H.P. Using Sweep and Dihedral to Control Three Dimensional Flow in Transonic Stators of Axial Compressor. ASME J. Turbomach. 2001, 123, 40–48. [Google Scholar] [CrossRef]
- Gallimore, S.J.; Bolger, J.J.; Compsty, N.A.; Taylor, M.J.; Wright, P.I.; Place, J.M. The Use of Sweep and Dihedral in Multistage Axial Flow Compressor Blading: Part I-University Research and Methods Development. ASME J. Turbomach. 2002, 124, 521–532. [Google Scholar] [CrossRef]
- Gallimore, S.J.; Bolger, J.J.; Compsty, N.A.; Taylor, M.J.; Wright, P.I.; Place, J.M. The Use of Sweep and Dihedral in Multistage Axial Flow Compressor Blading: Part II-Low and High Speed Designs and Test Verification. ASME J. Turbomach. 2002, 124, 533–541. [Google Scholar] [CrossRef]
- Hathaway, M.D. Unsteady Flows in a Single-Stage Transonic Axial-Flow Fan Stator Row. Ph.D. Thesis, Iowa State University, Ames, IA, USA, 1986. [Google Scholar]
- Spalart, P.; Allmaras, S.R. A One Equation Turbulence Model for Aerodynamic Flows. In Proceedings of the 30th Aerospace Sciences Meeting and Exhibit, Reno, NV, USA, 6–9 January 1992. [Google Scholar]
- Mohsen, M.; Owis, F.M.; Hashim, A.A. The Impact of Tandem Rotor Blades on the Performance of Transonic Axial Compressors. Aerosp. Sci. Technol. 2017, 67, 237–248. [Google Scholar] [CrossRef]
- Sun, S.; Chen, S.; Liu, W.; Gong, Y.; Wang, S. Effect of Axisymmetric Endwall Contouring on the High-Load Low-Reaction Transonic Compressor Rotor with a Substantial Meridian Contraction. Aerosp. Sci. Technol. 2018, 81, 78–87. [Google Scholar] [CrossRef]



























| Parameters | Values |
|---|---|
| Rotor aspect ratio | 1.56 |
| Rotor solidity at tip and hub | 1.29/3.114 |
| Rotor tip speed (m/s) | 429 |
| Rotor hub-to-tip ratio at inlet | 0.375 |
| Stator solidity at tip and hub | 1.271/2.485 |
| Stator hub-to-tip ratio at inlet | 0.5 |
| Stage Efficiency | Stator Loss | |
|---|---|---|
| Baseline design | 87.57% | 0.052 |
| Dihedral design | 88.05% | 0.048 |
| Relative change | 0.48% | 7.7% |
Publisher’s Note: MDPI stays neutral with regard to jurisdictional claims in published maps and institutional affiliations. |
© 2022 by the authors. Licensee MDPI, Basel, Switzerland. This article is an open access article distributed under the terms and conditions of the Creative Commons Attribution (CC BY) license (https://creativecommons.org/licenses/by/4.0/).
Share and Cite
Pan, T.; Shi, K.; Lu, H.; Li, Z.; Zhang, J. Numerical Investigations of a Non-Uniform Stator Dihedral Design Strategy for a Boundary Layer Ingestion (BLI) Fan. Energies 2022, 15, 5791. https://doi.org/10.3390/en15165791
Pan T, Shi K, Lu H, Li Z, Zhang J. Numerical Investigations of a Non-Uniform Stator Dihedral Design Strategy for a Boundary Layer Ingestion (BLI) Fan. Energies. 2022; 15(16):5791. https://doi.org/10.3390/en15165791
Chicago/Turabian StylePan, Tianyu, Kaikai Shi, Hanan Lu, Zhiping Li, and Jian Zhang. 2022. "Numerical Investigations of a Non-Uniform Stator Dihedral Design Strategy for a Boundary Layer Ingestion (BLI) Fan" Energies 15, no. 16: 5791. https://doi.org/10.3390/en15165791
APA StylePan, T., Shi, K., Lu, H., Li, Z., & Zhang, J. (2022). Numerical Investigations of a Non-Uniform Stator Dihedral Design Strategy for a Boundary Layer Ingestion (BLI) Fan. Energies, 15(16), 5791. https://doi.org/10.3390/en15165791
