Next Article in Journal
Optimal Reconfiguration of Electrical Distribution System Using Heuristic Methods with Geopositioning Constraints
Next Article in Special Issue
Three-Phase Grid-Connected Inverter Power Control under Unbalanced Grid Conditions Using a Time-Domain Symmetrical Components Extraction Method
Previous Article in Journal
Experimental Investigation on the Heat Transfer Characteristics of Multi-Point Heating Microchannels for Simulating Solar Cell Cooling
Previous Article in Special Issue
Power Electronics Programmable Voltage Source with Reduced Ripple Component of Output Signal Based on Continuous-Time Sigma-Delta Modulator
 
 
Font Type:
Arial Georgia Verdana
Font Size:
Aa Aa Aa
Line Spacing:
Column Width:
Background:
Article

The Effect of Replacing Si-MOSFETs with WBG Transistors on the Control Loop of Voltage Source Inverters

by
Krzysztof Bernacki
and
Zbigniew Rymarski
*
Department of Electronics, Electrical Engineering and Microelectronics, Faculty of Automatic Control, Electronics and Computer Science, Silesian University of Technology, Akademicka 16, 44-100 Gliwice, Poland
*
Author to whom correspondence should be addressed.
Energies 2022, 15(15), 5316; https://doi.org/10.3390/en15155316
Submission received: 7 June 2022 / Revised: 17 July 2022 / Accepted: 18 July 2022 / Published: 22 July 2022
(This article belongs to the Special Issue Control and Modeling of Power Converters and Inverters)

Abstract

:
The operation of a voltage source inverter (VSI) depends on its output LC filter and the PWM modulator delay. The VSI model includes serial equivalent resistance based on the resistances of the active inverter bridge transistors, the filter coil winding, and additional PCB elements, such as traces and connectors, in addition to the large equivalent resistances that result from power losses in the coil core and switches. These dynamic power losses depend on the switching frequency and the inverter load. This paper investigates the change in equivalent serial resistance that occurs if the standard Si-MOSFET switches are replaced with wide bandgap (WBG) transistors with correspondingly lower equivalent serial resistance. The paper further investigates how such a change influences the design of the controller, given that replacement of the switches shifts the roots of the closed-loop characteristic equation. Theoretical analyses of the influence of equivalent serial resistance for a multi-input single-output passivity-based controller and a single-input single-output coefficient diagram method are also presented. These analyses are applied to both types of switches. Two methods are used to measure the serial equivalent resistance for a given VSI using Si and WBG switches. The possibility of replacing switches with WBG technology in existing inverters was assessed, and the corresponding controller adjustment that would be required. The theoretical analysis is verified via the use of an experimental VSI.

1. Introduction

Contemporary power converters operate only in switching mode. For this purpose, different types of semiconductor power switches can be used. Power converters of small or medium size most commonly use Si-MOSFET enhancement mode switches. This typically includes converters of up to 10 kW power, although the IEC 62040-3 standards [1] define the boundaries of parameter measurement methods at 3 kW or 4 kW. N-channel switches have a driving threshold voltage of greater than zero, and are much cheaper than wide bandgap (WBG) transistors. They are relatively fast and easy to drive, even when a “current attack” is accounted for. However, n-channel switches have two disadvantages. First, the conduction channel, which is the drain-to-source resistance RDS, has a large resistivity. Second, the inductive load (e.g., the output filter inductance) suffers dynamic power losses when the gate-to-source capacitance Cgs is loaded and, critically, the gate-to-drain capacitance Cgd at the Miller plateau [2,3], which exists while the MOSFET is within the active region. Key MOSFET parameters include the reverse transfer capacitance Crss = Cgd, the input capacitance Ciss = Cgs + Cgd, and the output capacitance Coss = Cgd + Cds. Another relevant parameter [2,4] is the gate charge Qg but the switching power losses occur during loading of the charge Qsw (the charge stored in the gate capacitance from when the gate-source voltage has reached Vth until the end of the Miller plateau), where Qsw < Qg, Qsw > Qgd. The static power losses of the RDS resistance are caused by the vertical structure of power MOSFETs, and are proportional to the maximum drain to source VDS voltage: a larger VDS gives a larger RDS. As such, the static and dynamic power losses of an Si-MOSFET switch are determined by RDS and Ciss (primarily Cgd), which are proportional to the charge Qg (strictly Qsw). The total power losses can be presented as serial equivalent resistance.
This paper examines the use of different switch technologies for voltage source inverters (VSI). For this purpose, the serial equivalent resistance was measured, including the power losses in the switches and in the core of the output filter coil [5,6], and all other serial resistances, including those of the coil winding, PCB connections, and connectors. The equivalent resistances of different switching devices were compared for a given voltage, current, and switching frequency of the inverter. To do this, an experimental model of the inverter was assembled and programmed. Although this approach cannot isolate the equivalent resistance of only the semiconductor switch, the design of the inverter control loop requires total serial equivalent resistance. The objective of this paper is to demonstrate the dependence of complex equivalent resistance on the type of switch technology used, and determine how this influences control loop design.
In recent years, wide bandgap semiconductor devices have been introduced to the market [7,8,9,10]. Many variants of such devices exist, including GaN, GaAs, and SiC technologies. Enhanced channel WBGs have threshold voltages greater than zero; however, certain types of n-channel SiC-MOSFETs require a negative switching-off voltage. Devices with high VDS voltages were chosen because WBG transistors with VDS voltages of less than 100 V have very low RDS resistance, on the order of milliohms. High-electron-mobility transistors (HEMTs), also known as heterostructure FETs (HFET) or modulation-doped FETs (MODFET), are the typical structure of GaAs or GaN technology. Instead of using a doped region as a channel, these FETs incorporate a junction between two materials with different bandgaps—a heterojunction. The primary charge carriers within a MODFET are majority carriers, which have a high speed. GaN-HEMTs can operate with reduced inverter bridge dead times, which results in higher efficiency and lower total harmonic distortion (THD) of the VSI output voltage. Compared to Si-MOSFETs, GaN-HEMTs have lower on-state resistance and smaller capacitances, making them useful for high-speed switching power conversion. One such example of these transistors is Infineon’s CoolGaN™, which operates in a voltage range of up to 600 V. Given their high-power performance, GaN-HEMTs will be one of the options tested for the VSI.
A typical approach to creating a normally off device combines high-voltage GaN-HEMT technology and low-voltage Si-MOSFET technology with a cascade device structure. This combination (Cascode Device Structure) offers high reliability and strong performance. Other contemporary power conversion WBG devices are based on SiC technology. Acceptable junction temperatures are higher for SiC devices than for Si devices, engendering their use in automotive applications. The primary advantage of SiC technology is the reduced energy loss within the body diode of SiC-MOSFETs during the reverse recovery phase. This loss accounts for approximately 1% of all energy lost by Si devices. Insulated-gate bipolar transistors (IGBT) typically feature tail currents. However, such currents are absent in SiC-MOSFETs, allowing for faster turn-off and substantially lower energy losses. Given that there is less energy to dissipate, SiC devices can switch at higher frequencies and with improved efficiency. SiC-MOSFETs are designed to be fast and rugged, offering up to ten times greater dielectric breakdown field strength, double the electron saturation velocity, triple the higher energy bandgap, and triple the thermal conductivity of comparable Si devices. Such performance characteristics qualify SiC-MOSFETs for use in automotive and industrial applications. Further advantages include high power conversion efficiency due to reduced power loss, greater power density, higher operating frequency, increased ranges of acceptable operating temperatures, and reduced electromagnetic interference when compared with Si-MOSFETs. Previous disadvantages of SiC-MOSFETs include the requirement for a negative gate-driving voltage for the off-state (for an n-channel device). However, modern devices can have a positive threshold voltage. This is particularly important for our research, as the equivalent serial resistance will be measured for each type of switching transistor when part of the same 4H bridge VSI experimental model with identical drivers and output filter (a coil with a Super-MSS or FluxSan core [5]). The control changes required due to a reduction in equivalent resistance will be investigated for certain SISO and MISO control methods. There are some papers [11,12] concerning the control in the inverters with WBG transistors, but they do not consider the problem of changing the Si transistors to WBG transistors in the existing inverter. The basic static and dynamic properties of the tested Si, SiC, and GaN transistors are presented in Table 1.
The remainder of this paper is laid out as follows. Section 2 investigates the theoretical influence of equivalent serial resistance on the maximum gains of multi-input single-output passivity-based (MISO-PBC) control. Section 3 investigates the theoretical influence of equivalent serial resistance on the coefficients of single-input single-output coefficient diagram method (SISO-CDM) control, and determines how a change in resistance shifts the poles of the closed-loop system transfer function, designed for different resistances. Section 4 presents Bode plots of measurements of the inverter’s control transfer function for the different switch technologies, different coil core materials, and different switching frequencies. The VSI equivalent dynamic serial resistances are then calculated [13]. The power loss serial resistances for the same cases are calculated using the power efficiency measurements of the VSI, and compared with the dynamic serial resistances. Section 5 presents the experimental testing of the VSI using SISO-CDM control for the different types of switches. Section 6 summarizes the results of the previous sections. Section 7 concludes the paper, and considers the feasibility of changing VSI switch technology when using SISO-CDM control.

2. The Theoretical Influence of Equivalent Serial Resistance on the MISO-PBC Control Loop

As shown in Figure 1, the load current of an MISO controller is treated primarily as an independent disturbance (e.g., [14,15]). Although this approach allows the load impedance to be eliminated from the control law, it also eliminates feedback from the output voltage to the load current. In some cases, this simplification changes the locus of the characteristic equation poles for a closed-loop system [16]. However, this does not usually result in instability. Hence, the modulator model consists of the following: the state variables: inductor current iLF and output voltage vOUT; an independent disturbance, load current iOUT; and delay equal to Ts. For a high switching frequency, the delay can be omitted.
The influence of the equivalent serial resistance Rse must now be determined, which varies with the use of different switching technologies, on the design of the control loop. The system is passive whenever the energy supplied to the system exceeds the stored energy. Within an inverter, energy is stored in two non-dissipative components—the filter coil and the filter capacitor. The energy stored within a system is described by the Hamiltonian function H(x) (also known as the Lyapunov function [17]). The Hamiltonian function of the error vector e is Equation (1).
H ( e ) = 1 2 ( L F ( i L F i L F r e f ) 2 + C F ( v O U T v O U T r e f ) 2 ) = 1 2 e T P 1 e
where
e = [ L F ( i L F i L F r e f ) C F ( v O U T v O U T r e f ) ] ,   P 1 = [ 1 / L F 0 0 1 / C F ]
The equilibrium of a closed-loop system is asymptotically stable [18], and is achieved if H(e) has a minimum at x = xref (3):
H ( e ) x | x = x r e f = 0 , 2 H ( e ) x 2 | x = x r e f > 0 ,   where   x = [ L F i L F C F v O U T ] T .
The system is passive if the time derivative of H(e) is negative Equation (4):
d H ( e ) d t < 0 .
The control law of improved PBC v.2 (IPBC2) in single-phase inverters is based on the creation of a control law for interconnection and damping assignment PBC (IDAPBC) [14,18,19], Equations (9) and (10). The IPBC2 control law can be calculated [20,21] as the difference between the equation for a closed-loop PBC system (5) and the equation for an open-loop PBC system (6).
e ˙ = [ J ( R + R a ) ] P 1 e ,
x ˙ = [ J R ] P 1 x + [ V D C 0 ] m + [ 0 1 ] i O U T
where the interconnection matrix J, the damping matrix R, and the PBC controller matrix Ra, are defined as Equation (7)
J = [ 0 1 1 0 ] ,   R = [ R s e 0 0 0 ] ,   R a = [ R i 0 0 K v ] .
Note that Ra includes the injected damping values—the current error gain Ri and the voltage error conductive gain Kv. Subtracting Equation (6) from Equation (5) gives the control law Equation (8):
e ˙ x ˙ = [ J R ] P 1 ( e x ) R a P 1 e [ V D C 0 ] m [ 0 1 ] i O U T
The PWM registers are set in one period, and the pulse widths are set in the following switching period. If the switching frequency is sufficiently high (25,600 Hz or greater), the switching period delay Ts of the digital PWM modulator can be omitted. The final form of the IPBC2 control law is then Equations (9) and (10):
v C T R L ( t ) = L F d i L F r e f / d t + ( R s e + R i ) i L F r e f + v O U T r e f R i i L F ,
i L F r e f = C F d v O U T r e f / d t K v ( v O U T v O U T r e f ) + i O U T .
IPBC requires that appropriate values of the injected resistance Ri (inductor current gain) and conductance Kv (output voltage gain) be chosen. The values Rse + Ri and the value of Kv should be positive to fulfil the requirements of the negative real components of the roots λ1,2 of the characteristic polynomial of the closed-loop IPBC system [21]: Equation (11)
λ 1 , 2 = { [ ( R s e + R i ) C F + L F K V ] ± [ ( R s e + R i ) C F + L F K v ] 2 4 L F C F [ 1 + ( R s e + R i ) K v ] } 2 L F C F
This equation does not provide the upper boundaries for the current and voltage gains. The higher the gains, the greater the convergence of the error tracking. However, IPBC2 gain values that are too high cause oscillations of the VSI output voltage. This is because the control voltage increases too quickly when compared to the speed of the PWM. This creates a saturation-like effect within the control loop. For a higher switching frequency with correspondingly faster PWM, higher gains can be used [22]. Estimating PWM speed can be difficult. For double-edge symmetrical regular modulation, the PWM signal increases as VDC/(Ts/2) [17]. However, the fastest change of modulation in one switching period is VDC during one Ts (VDC/Ts), what was taken in care of in [22]. All the time, the Ts delay of the modulator is omitted.
The mutual dependency of the two PBC controller gains is highly important. During a single sampling period, the approximation d(vOUTref)/dt ≈ 0 can be made. Therefore, from Equations (10), (12)–(14) were obtained:
i L F r e f ( k T s ) K v [ v O U T ( k T s ) v O U T r e f ( k T s ) ] + i O U T ( k T s ) ,
i L F r e f ( k T s ) ( 1 R L O A D K v ) v O U T ( k T s ) + v O U T r e f ( k T s ) ,
d i L F R E F ( k T s ) d t ( 1 R L O A D K v ) d v O U T ( k T s ) d t .
From Equations (9), (13)–(16) were obtained:
d v C T R L ( k T s ) d t L F d 2 i L F r e f ( k T s ) d t 2 + ( R s e + R i ) d i L F r e f ( k T s ) d t R i d i L F ( k T s ) d t ,
d v C T R L ( k T s ) d t L F ( 1 R L O A D K v ) d 2 v O U T ( k T s ) d t 2 + ( R s e + R i ) ( 1 R L O A D K v ) d v O U T ( k T s ) d t R i d i L F ( k T s ) d t
During a single switching cycle, for RLOAD >> 1/(2πfsCF), the following approximations, Equations (17) and (18), can be made:
d i L F ( k T s ) d t | max , min ± V D C L F ,   d v O U T ( k T s ) d t | max i L F C F ,   d 2 v O U T ( k T s ) d t 2 | max d d t ( i L F C F ) | max ± V D C L F C F ,
| d v C T R L ( k T s ) d t | max K v [ L F + ( R i + R s e ) T s ] V D C L F C F + R i V D C L F .
From Equation (18), the final boundary on PBC gains, Ri and Kv Equation (19), was obtained:
K v [ 1 + ( R i + R s e ) T s L F ] 1 C F + R i 1 L F < f s
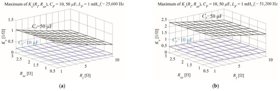
Equation (19) demonstrates the influence of switching frequency fs = 1/Ts and equivalent serial resistance Rse on the maximum values of the IPBC2 gains. These relationships are portrayed in Figure 2. The lower the value of Ts/LF, the lower the influence of the equivalent serial resistance Rse. For high values of fs, the influence of Rse will be negligible, and the maximum voltage and current gains will be higher [22]. This demonstrates the weak influence of equivalent serial resistance on maximum gains.
The presented gain values are derived from simulation models featuring a reference voltage amplitude of unity, a bridge supplied by VDC, and controller input signals from the inverter model output scaled by a factor of 1/VDC. Amplification of the voltage trace was adjusted for the real inverter such that for the nominal amplitude of the output voltage fundamental harmonic for a 50 Ω load, for the ADC range −4095–4095, provided a value of 3000 units. The 3000 output value was adjusted for the unity voltage scaling ratio. For the 50 Ω load resistance, which was assumed to be nominal, the amplification of the current trace was adjusted until the ADC provided a reading of 2000 units. This gave an output current scaling ratio of (3000/2000)/50 = 0.03. For a small output capacitance of 1 μF, it was performed the same adjustment procedure was performed for the inductor current trace, and the same current scaling ratio of 0.03 was obtained. The voltage and current scaling factors require careful adjustment because they are multiplied by the PBC controller gains. For the experimental inverter, reference amplitudes of 1640 and 820 for the 25,600 Hz and 51,200 Hz switching frequencies, respectively, were used. For each set of values, 3000 units were used for the voltage and 2000 units for the current as nominal ADC values. Therefore, the gain scaling factors between simulation and experiment were r(25,600 Hz) = 3000/1640 = 1.829, and r(51,200 Hz) = 3000/820 = 3.659 for 25,600 Hz and 51,200 Hz, respectively. The scaled gains were assigned as Riinverter = Risym/r and Kvinverter = Kvsym/r. The MISO-PBC system is robust against a decrease in serial equivalent resistance. As such, this paper presents no further research on the subject.

3. The Theoretical Influence of Equivalent Serial Resistance Influence on the SISO-CDM Control Loop

A schematic of the SISO system is presented in Figure 3 [23,24,25,26].
The design of the Manabe CDM [23,24,25,26] controller (T, S, and R polynomials) requires the assumed values of the coefficients of the closed-loop characteristic equation. In the simplest case of the Manabe standard form, these coefficients are defined as functions of the time constant τ of the closed-loop system. The output voltage of a closed-loop system is given by Equation (20):
v O U T ( z 1 ) = T N R D + S N v R E F ( z 1 ) Z O U T R D R D + S N I O U T ( z 1 ) ,
where S includes the additional loop delay Ts measured from the Bode plots of the loop. The characteristic equation of a closed-loop system in Manabe standard form is given by Equation (21):
P ( z 1 ) = R ( z 1 ) D ( z 1 ) + S ( z 1 ) N ( z 1 ) = i = 0 n p z i z i .
The VSI is initially modeled as an output LFCF filter, and described by the state equations
x = [ v O U T i L F i O U T ] T ,
x ˙ = A x + B u ,
A = [ 0 1 C F 1 C F 1 L F R L F L F 0 0 0 0 ] ,   B = [ 0 1 L F 0 ] .
The state equations are solved for a single k-th switching period Ts, for double edge 3-level PWM, with a switching-on time period TONk. The dependence of xk+1 on TONk is described by linearized exponential function Equations (25)–(28) [21]:
x k + 1 = A D x k + G D T O N k ,
A D = e A T s = Φ ( T s ) = L 1 [ ( s I A ) 1 ] | t = T s ,
G D = e A T s / 2 B V D C = Φ ( T s / 2 ) B V D C ,
A D = Φ ( T s ) = [ ϕ 11 ϕ 12 ϕ 13 ϕ 21 ϕ 22 ϕ 23 ϕ 31 ϕ 32 ϕ 33 ] , G D = [ g 11 g 21 g 31 ] ,
where
ξ F = 1 2 R s e C F L F ;   ω F 0 = 1 L F L F , ϕ 11 = [ cos ( ω F 0 T s ) + ξ F sin ( ω F 0 T s ) ] exp ( ξ F ω F 0 T s ) , ϕ 12 = 1 ω F 0 C F sin ( ω F 0 T s ) exp ( ξ F ω F 0 T s ) , φ 13 = φ 12 + R L F ( φ 11 1 ) , ϕ 21 = C F L F φ 12 , ϕ 22 = [ cos ( ω F 0 T s ) ξ F sin ( ω F 0 T s ) ] exp ( ξ F ω F 0 T s ) , ϕ 23 = 1 φ 11 ;   ϕ 31 = 0 ;   ϕ 32 = 0 ϕ 33 = 1 , g 11 = V D C ω F 0 sin ( ω F 0 T s 2 ) exp ( ξ F ω F 0 T s 2 ) , g 21 = V D C L F [ cos ( ω F 0 T s 2 ) ξ F sin ( ω F 0 T s 2 ) ] exp ( ξ F ω F 0 T s 2 ) , g 31 = 0 .
The gain of the VSI, with double edge PWM and a digital modulator inserting a switching period delay Ts, is given by Equation (29):
K V S I = N ( z 1 ) D ( z 1 ) = a 2 z 2 + a 3 z 3 1 + b 1 z 1 + b 2 z 2 ,
where
a 2 = T s V D C g 11 ;   a 3 = T s V D C ( φ 12 g 21 φ 22 g 11 ) ;   b 1 = ( φ 11 + φ 22 ) ;   b 2 = φ 11 φ 22 φ 12 φ 21 .
In our system, the load current IOUT was treated as an independent disturbance, although it can be treated as a state variable. For a system with a disturbance, the degrees of R and S are greater than or equal to n − 1, where n is the degree of D. The second degree of S and the third degree of R were assumed because of the additional loop delay in Equation (30):
S ( z 1 ) = z 1 i = 0 2 s i z i ,   R ( z 1 ) = i = 0 3 r i z i ,   r 0 = 1 .
Equation (21) is Diophantine; to obtain equal ri and si coefficients for equal degrees of z, the following equation should be solved with r0 = p0 = 1 Equation (31):
[ 1 0 0 0 0 0 b 1 1 0 0 0 0 b 2 b 1 1 a 2 0 0 0 b 2 b 1 a 3 a 2 0 0 0 b 2 0 a 3 a 2 0 0 0 0 0 a 3 ] [ r 1 r 2 r 3 s 0 s 1 s 2 ] = [ p z 1 b 1 p z 2 b 2 p z 3 p z 4 p z 5 p z 6 ] .
The coefficients pi of Manabe standard form for a continuous system are required for the 6th degree of P(s). They are given by:
p0(s0) = 1, p1(s1) = p0τ, p2(s2) = 0.4 p0τ2, p3(s3) = 0.08 p0τ3, p4(s4) = 0.008 p0τ4,
p5(s5) = 0.0004 p0τ5, p6(s6) = 0.00001 p0τ6,
where τ is the time constant of a closed-loop system. Satisfactory results were obtained for the control of the tested experimental model, with τ = 8Ts.
Using the zero-order hold method, let us define a discrete-time transfer function using the c2d MATLAB function with a discretization cycle Ts = 1/25600 s [14] (32):
K ( z ) = c 2 d ( 1 i = 0 6 p i ( s ) s i , T s ) = i = 0 6 w i ( z ) z i i = 0 6 p z i ( z 1 ) z i .
Consider the case for which τ = 8Ts (Ts = 1/25600 s):
pz0(z0) = 1, pz1(z−1) = −2.3166, pz2(z−2) = 2.0436, pz3(z−3) = −0.8693, pz4(z−4) = 0.2126, pz5(z−5) = −0.0452, pz6(z−6) = 0.0067
The final calculation enables vOUT = vREF to hold in the steady state if the following condition is met (33):
t 0 = P ( z = 1 ) N ( z = 1 ) = V D C T s 1 + p z 1 + p z 2 + p z 3 + p z 4 + p z 5 + p z 6 φ 12 g 21 + ( 1 φ 22 ) g 11 .
For our experimental model, LF = 2 mH, CF = 51 μF, and Rse = 1 Ω was assumed. Using these values, and with τ = 8Ts, the solutions of Equation (31) are:
r0 = 1, r1 = −0.3659, r2 = 0.3644, r3 = 0.0709, s0 = 16.7152, s1 = −16.5485, s2 = 0.9253, t0/VDC = 2.1612
The coefficient t0 can be adjusted individually. The resultant difference control law is:
v C T R L ( k ) = r 1 v C T R L ( k 1 ) r 2 v C T R L ( k 2 ) r 3 v C T R L ( k 3 ) + t 0 v R E F s 0 v O U T ( k 1 ) s 1 v O U T ( k 2 ) s 2 v O U T ( k 3 )
Figure 4 shows the shifts in the poles of the closed-loop CDM system (with LF = 2 mH, CF = 51 μF, and τ = 8Ts) caused by changes in Rse. Figure 4a,b shows a system that was configured for RCDM = Rse = 2 Ω, before Rse was decreased to 0.4 Ω. Figure 4c,d shows a system that was configured for RCDM = 0.4 Ω, before Rse resistance was increased to 2 Ω. Figure 4a,c are for S(z−1) order 2, R(z−1) order 2, Pz(z−1) order 5, while Figure 4b,d for S(z−1) order 2, R(z−1) order 3, Pz(z−1) order 6, which is required if the additional delay of the plant was taken into care. The examples presented in Figure 4a,c show that for the lower order of the controller, SISO-CDM control is not robust to a decrease or increase in the equivalent serial resistance, and the system can be unstable, depending on the time constant τ. Figure 4b,d shows that the system is more robust for the higher order of the controller for the same time constant τ. The SISO-CDM control was chosen for further investigation. The time constant of τ = 8Ts was chosen because lower values caused small oscillations in the nonlinear rectifier RC for all types of transistors. It is difficult to analytically estimate changes in the dynamic properties of the inverter following the replacement of the transistors in the bridge, as the poles are shifted within the unity circle. As such, tests of the experimental model were conducted.

4. The Difference in the Static and Dynamic Equivalent Serial Resistance of the Same VSI When Using Si and WBG Switches

As shown in Figure 5, the elementary VSI model is based on the output filter transfer function and the PWM modulator transfer function. The output filter transfer function is given by Equation (35):
K C T R L ( s ) = F L C ( s ) = ω F 0 2 [ s 2 + 2 ξ F ω F 0 s + ( 1 + R s e / R L O A D ) ω F 0 2 ]
where
ω F 0 = 1 L F C F , ξ F = 1 2 ( R s e C F L F + 1 R L O A D L F C F ) .
A digital PWM modulator introduces a single switching period delay because the pulse width data that are calculated and stored during the current period will be in its output in the next switching period:
K C T R L _ P W M ( s ) = H ( s ) F L C ( s ) = exp ( s n T s ) ω F 0 2 [ s 2 + 2 ξ F ω F 0 s + ( 1 + R s e / R L O A D ) ω F 0 2 ] ,   where   n = 1   or   2
An additional delay can be introduced by double edge modulation [27]. The sum of these delays is relevant for control system design if the switching frequency fs is insufficiently high. However, as shown by Equations (4) and (11), the delay is compensated for during the relative measurement [13] of the control transfer function of the bridge and filter KCTRL, because a delay of period nTs concerns both the fundamental harmonic and the excitation. As presented, the relative appointment of the magnitude and phase cancels this delay.
The equivalent serial resistance of the VSI [25,28] is measured using the resultant power conversion losses. The static and dynamic power losses in the switches and the filter coil core can be measured from the magnitude of a Bode plot of the inverter (operating with the assigned switching frequency fs), within the range of frequencies where a maximum magnitude is located Equation (38):
K C T R L ( ω ) | f s , R L O A D R s e ( P l o s s ) | f s , R L O A D .
Switching frequencies fs of 12,800 Hz, 25,600 Hz, or 51,200 Hz were used for the test inverter. However, the frequency of the coil voltage pulses was double that of fs in the first PWM scheme [29]. The basic sinusoidal waveform had a fundamental frequency fm = 50 Hz. The excitation sinusoidal waveforms had variable frequencies. The load resistance RLOAD and the DC supply voltage VDC were then set for the selected operating point. The generated test signal VCTRL Equation (39) was the sum of the fundamental harmonic and the n-th harmonic [13,28]. For k = 1, …, (fs/fm),
V C T R L ( k ) = r o u n d ( M · f l o o r ( 1 2 f P W M I N P U T f s ) ( A sin ( k 2 π f s / f m ) + ( 1 A ) sin ( n k 2 π f s / f m ) ) ) ,
where M is the modulation depth (typically M ≤ 1, e.g., M = 0.9 to avoid distortions of the fundamental harmonic), fPWMINPUT is the microprocessor PWM unit comparator input frequency (84 MHz for the STM32F407VG), and A is the relative amplitude of the fundamental harmonic (A < 1, typically A = 0.8–0.9 depending on the dumping).
In the case for which the switching frequency fs = nfm, there are fs/50 samples of the sinusoidal reference during the fundamental period Tm = 20 ms. From Equation (10), the number of samples of the n-th harmonic during this period is fs/(n50). The value nmax = 100 was used for both fs = 25,600 Hz and fs = 51,200 Hz to provide a minimum of five and 10 samples per harmonic period, respectively. The possible distortion of the nmax harmonics was not important because of damping for harmonics above the output filter resonance frequency, which was adjusted below the 20th harmonic. Precise measurement of the magnitude of the harmonics was not required across the range of frequencies defined by the filter resonant frequency, where ωF0 = 475 or ωF0 = 498 Hz for the used filter coil inductance of LF = 2 mH or 2.2 mH, although these values can vary by several percent [28] for the coil core consisting of the low power loss materials Super MSS and FluxSan [5]. An MKP CF = 51 μF filter capacitor was used. The filter resonant frequency ωF0, as defined by Equation (36), was calibrated to be much lower than 2πnmax50 Hz.
The accuracy of the search for maximum gain was dependent on the frequency step grid. A low level of damping increases the error caused by the frequency step grid, causing difficulty in finding the exact maximum magnitude between the two measured points. However, a high level of damping can also cause ambiguity in the measurement of the maximum on the Bode plot. The LF and Rse parameters can be calculated directly only when the maximum of the damping coefficient can be found: ξF2 < (1 + Rse/RLOAD)/2, where RLOAD >> Rse. The measured fundamental harmonic amplitude should be equal to 50–75% of the ADC range. Given that a 13-bit bipolar ADC with a range of –4093–4093 units was used, the required amplitude was 2000–3000 units. The excitation amplitude |hnIN| = 1–A was set to the highest possible value (typically 10-20%) that did not cause the output voltage for the filter resonant frequency to exceed the range of the ADC.
The complex test signal vCTRL, defined by Equation (39), has an amplitude of floor(0.5 fPWMINPUT/fs). A higher value of fPWMINPUT corresponds to a more accurate synthesis of the control signal waveform by the STM32F407VG. A frequency fPWMINPUT = 84 MHz is sufficient for fs = 25,600 Hz. It was assumed that the fundamental harmonic is not damped within the inverter, and is delayed by Ts or 2Ts within the PWM modulator, as all components of the control signal are delayed. Hence, this delay is not present in the relevant calculations. Comparison of the output and input signals presents a problem, as the output voltage is measured in volts or ADC units, and the input control voltage is measured in PWM modulator comparator units. This problem is overcome by comparing the input and output excitations relative to the fundamental harmonics of the input and output, respectively. However, this approach is predicated upon the 50 Hz component not being damped. The amplitudes and phases of the harmonic components of the complex input and output signals are calculated using the fast Fourier transform [25]. For n = 1,…, nmax,
K C T R L ( j 2 π f n ) = = | V O U T ( n f m ) | / | V O U T ( f m ) | | V I N ( n f n ) | / | V I N ( f m ) | exp ( j { [ arg ( V O U T ( n f m ) ) arg ( V O U T ( f m ) ) ] [ arg ( V I N ( n f m ) ) arg ( V I N ( f m ) ) ] } )
The magnitude Bode plot is then
| K C T R L ( n f n ) | = 20 log | V O U T ( n f m ) | / | V O U T ( f m ) | | V I N ( n f n ) | / | V I N ( f m ) | .
The phase Bode plot is not required for further calculations.
arg ( n f m ) = [ arg ( V O U T ( n f m ) ) arg ( V O U T ( f m ) ) ] [ arg ( V I N ( n f m ) ) arg ( V I N ( f m ) ) ]
The measuring trace of the system influences the signal. As such, the trace characteristics (both magnitude and phase) were measured and subtracted from the corresponding initially measured data. The trace was subjected to negligible damping of less than 0.5 dB in the range of up to 500 Hz, with a phase shift corresponding to a delay of approximately 2Ts. The corrected data of the control transfer function magnitude and phase were then plotted on a PC using MATLAB. The maximum values of the function |KCTRL| and the frequency ωmax for which |KCTRL|max = |KCTRL(ωmax)| can then be identified to calculate the damping coefficient ζF Equation (43), and the serial equivalent resistance Rse (44) [25,28]. The real value of LF can also be measured; however, this is not necessary for our purposes. Under the assumption that RLOAD >> Rse, ζF and Rse can be calculated as follows Equations (43) and (44):
ξ F 1 2 [ 1 ( 1 1 | K C T R L | max 2 ) ] ,
R s e = ( 2 ξ F ω max 1 2 ξ F 2 1 R L O A D C F ) 1 2 ξ F 2 ω max 2 C F   for   R L O A D > 1 2 ξ F 2 2 ξ F ω max C F   and   ξ F 2 < 0.5
Using a 50 Hz grid (Δω = 25 Hz), the frequency ωmax can be approximated as Equation (45):
ω max 2 ( 1 2 ξ F e 2 ) ω F 0 2 ,   for   ξ F e 2 < 0.5 .
It was assumed that this approximation is the primary source of error in the calculation of Rse. The error Equation (46) in the calculation of the damping coefficient ξF is caused by the Δωmax error associated with appointing ωmax:
Δ ξ F = ξ F e ω max Δ ω max = 1 2 1 2 ξ F 2 ξ F Δ ω max ω max .
Δ R s e = R s e ξ F Δ ξ F + R s e L F Δ L F 2 L F C F Δ ξ F ,
| Δ R s e | = L F C F 1 2 ξ F 2 ξ F Δ ω max ω max = 1 2 ξ F 2 ξ F Δ ω max L F .
The error presented in Equations (47) and (48) is larger for low-load currents because such conditions hamper the determination of a maximum when compared to the two closest measured points. Typically, this error causes higher measured resistance for low-load currents. Another source of error when using a high-load current is a Bode plot magnitude with an insufficiently steep gradient. This makes determining the maximum difficulty. Equations (47) and (48) show that the error of the serial equivalent resistance measurement increases with the damping coefficient, and depends on the test signal frequency grid. As described by Equation (39), the lowest grid frequency used for the generation of the test signal was 50 Hz, which corresponded to Δω = 25 Hz.
At the outset of the experiments, the magnitude and phase Bode plots of the experimental VSI were measured. A digital-to-analogue converter (DAC) was used to generate the test signal connected to the input of the measuring trace. Figure 6 presents the magnitude and phase Bode plots KTRACE(s) of this trace, which can be approximated by the second-order transfer function with an additional 2Ts delay:
K T R A C E ( s ) = K 1 ( s ) K 2 ( s , f s ) = ω 0 2 s 2 + 2 ξ ω 0 s + ω 0 2 e s 2 T s ,   ω 0 = 2 π 5000 ,   ξ = 1.8 .
The delay of the DAC is equivalent to that of the PWM modulator. As such, the pure trace has a delay of a single Ts. The corner frequency of the output filter for LF = 2 mH and CF = 51 μF is 498 Hz, allowing KTRACE Equation (50) to be approximated in the range up to 1000 Hz, using only the delay 2Ts and omitting the second-order transfer function. All the measured signal traces are identical outside of the voltage and current inputs; these measurements are provided by the isolated amplifier and the AC current transducer, respectively. However, across the restricted frequency range, all traces are approximately identical.
K T R A C E ( s ) e s 2 T s for   ω   <   2 π 1000   1 / s .
Three switching frequencies were implemented in the test system: 12,800 Hz, 25,600 Hz, and 51,200 Hz. Three types of transistors were used: the Si-based IRFP360, the SiC-based AIMW120R060M1H, and the GaN-based Cascode Device Structure GAN041-650WSB. Five resistive loads were used in the range of 12.5–100 Ω. This gave us a total of (transistors of 3 types) × (3 switching frequencies) × (5 load resistances) × (2 magnetic materials) = 90 different combinations of variables, and therefore 90 magnitude and phase Bode plots. Figure 7 and Figure 8 present selected examples of the Bode plots. The selection of the examples has to show the influence of the transistor technology on the inverter Bode plots (Figure 7a,b) and finally on the dynamic serial resistances Rse for the two coil core materials (Figure 7c,d). Figure 7a shows that the Si transistors have lower damping than the SiC transistors for RLOAD = 50 Ω and a FluxSan coil core. The same result was observed for the Super MSS core. It was assumed that this was caused by higher power losses in the coil for faster SiC switches. The resultant equivalent resistances are shown in Figure 7c,d for the Super MSS core and FluxSan core, respectively. Figure 7 shows that the lowest equivalent serial resistance Rse was obtained for GaN transistors. However, the differences between the three transistor types are small for the chosen switching frequencies when using the same coil core material and load current. Figure 8a presents the exemplary influence of the load current on the magnitude Bode plot of the inverter with GaN transistors, and Figure 8b shows the exemplary influence of the switching frequency.
Using Equations (43) and (44), the equivalent serial resistances can be calculated from the magnitude Bode plots as a function of the VSI inductor current. The inductor current is higher than the load current, and flows through the bridge switches. The accuracy of the calculations is limited by the resolution by which the maximum magnitude can be found. This is demonstrated in Figure 8a; for the lowest load resistance of 12.5 Ω, the curve maximum is difficult to locate precisely via interpolation between the measured points. The amplitude of the test signal relative to the fundamental must be carefully selected. Figure 9 presents the serial equivalent resistance measurements for test signal amplitudes of 10% and 20% for fs = 12,800 Hz, GaN transistors, and a Super MSS core. All presented calculations used a 10% test signal.
Measurement of the serial resistance Rse is based on the invariability of the fundamental 50 Hz harmonic of both the input and output control trace signals. As such, static serial resistance was not measured. The efficiency of the experimental VSI was measured directly to calculate serial resistance RLOSSES. Figure 10 shows the exemplary measurements of RLOSSES as a function of load current for both core types at fs = 25,600 Hz. This resistance comprises the full losses from the DC source in addition to the dynamic losses and, as such, should be higher than the previously measured dynamic serial resistance Rse of the control trace. It can be assumed that RLOSSES = R50Hz + Rse, where R50Hz represents the losses of the fundamental harmonic at 50 Hz in addition to the static losses.
Figure 11 and Figure 12 show all the measurements of the serial resistances Rse and RLOSSES for the Super MSS and FluxSan core materials, respectively. The resistances were measured from the magnitude Bode plots or input and output powers for each transistor type. The dynamic serial resistance Rse shows a slight dependence on transistor type at a given switching frequency and load current. However, the Rse values are similar for both coil core materials. The full loss resistance RLOSSES displays significant dependence on the transistor type, switching frequency, and type of coil core material.
The results of the two approaches to measure the equivalent serial resistance of the VSI are demonstrated in Figure 11 and Figure 12. The first is based on measuring the magnitude Bode plot of the control transfer function of the VSI (Figure 5). This method is ideal for the estimation of the control loop parameters but has one disadvantage: it requires that the 50 Hz signal—the fundamental harmonic—is subjected to no damping. To correct the row measurements, the Bode plots of the measuring trace must be known (Figure 6). Figure 11 and Figure 12 show that no substantial difference (less than 0.2 Ω) exists between the Rse values of different transistor types at the same switching frequency when using the same coil core material. However, GaN-based transistors always produce the lowest Rse.
The complex equivalent resistance RLOSSES can be calculated from the power losses of the VSI (Figure 10). However, this resistance can include the component of the equivalent resistance that is outside the control loop and does not influence the quality of the output voltage. Both equivalent serial resistances Rse and RLOSSES depend on the type of transistor used (Si, SiC, and GaN), their static and dynamic losses, switching frequency, and the coil core material (Super MSS and FluxSan).

5. Tests of the VSI Using CDM Control for Different Switch Types and Coil Core Materials

The experimental VSI was used to validate the effect of implementing the correct equivalent resistance within the controller. Figure 4b,d shows that for fs = 25,600 Hz and a time constant τ = 8Ts, for the changes of the equivalent serial resistance, when the resistance RCDM in the CDM control law is the same, the system is stable, but the poles of the closed loop system are shifted. For the lower time constant, measuring the unstable system (Figure 4a) is impossible. It is possible to show that keeping the same resistance RCDM in the control law for different transistor technology in the bridge for the same output filter coil core material can increase distortions of the output voltage. The idea behind the experimental verification of the previous theoretical considerations (Section 3) is to find the resistance RCDM in the SISO-CDM control law for which there are the lowest distortions of the output voltage and to show that it is connected with the equivalent serial resistance of the bridge (dependent on the type of switching transistors).
The various resistances RCDM were used in the control law of the CDM controller for the different equivalent serial resistances of the VSI when using the nonlinear rectifier RC load defined in IEC 62040-3 (PF = 0.7) [1]. The THD of the output voltages was measured for SiC transistors at fs = 25,600 Hz using Super MSS coil core material, with both open-loop control and CDM control with τ = 8Ts. Figure 13 shows the output voltage and current.
Figure 14 presents the THDVOUT values for the different types of transistors and different sets of RCDM resistances in the CDM control law. Both types of coil materials are shown with a switching frequency of fs = 25,600 Hz and a time constant τ = 8Ts. The lowest THDVOUT is obtained for the particular RCDM that is comparable with RLOSSES. Table 2 presents the RLOSSES resistances for IOUTRMS ≈ 0.5 A at the THDVOUT minima, for the Si, SiC, and GaN transistors, and the Super MSS and FluxSan core materials. Figure 14 shows that for the high time constant when the system is stable, no matter whether the serial resistance in the control law is, the choice of the proper resistance RCDM for the particular type of transistors and the coil core material improves the quality of the output voltage.
Figure 15 presents our experimental VSI setup for the measurement of Bode plots and RLOSSES resistances.
When changing transistors, gate-driving circuits should be checked for oscillations. WBG transistors can oscillate due to associated parasitic elements. Switching oscillations can be damped using RC snubbers, ferrite beads, a reduction in di/dt, or novel gate driver designs [30]. Printed circuit boards (PCBs), which feature long traces between the gate driver output and the gate source terminal, can lead to high parasitic inductance in the gate loop and cause damage to SiC transistors [31]. Moreover, SiC-MOSFETs are sensitive to parasitic components in the measurement probe. Measuring certain values (e.g., the gate-source voltage) can introduce parasitic inductance between the test point and the ground lead of the probe, thereby decreasing the stability of the SiC-MOSFET. However, if drain-source oscillations are noticed in a previously designed PCB, the simplest solution is often to increase the value of the serial resistor in the gate-driving circuit [32].
Table 2 shows that the RCDM resistance for which THDVOUT was minimal was of comparable size to RLOSSES and was higher than Rse. The relative change in THDVOUT for different values of RCDM was small—between 5 and 10%. GaN and SiC transistors produce the THDVOUT minimum at the same RCDM resistance for both coil core materials. The Si transistors produce the THDVOUT minimum at different RCDM resistance. These results demonstrate that SiC and GaN transistors can be mutually replaced without requiring any change in control, but that the replacement of Si transistors requires the control value of RCDM to be adjusted.

6. Results

The initial theoretical calculations showed that the value of the serial resistance in the control law did not seriously influence the controller gains when using the MISO-PBC control (Figure 2). When using SISO-CDM control and measuring only the output voltage, the difference between the value of RCDM used in the control law and the real value of serial equivalent resistance causes changes in the assigned roots of the closed-loop system characteristic equation (Figure 4). The static RLOSSES and dynamic Rse equivalent serial resistances were measured (Figure 11 and Figure 12) for different types of transistors used (Si, SiC, and GaN), switching frequencies (12,800 Hz, 25,600 Hz, 51,200 Hz), and two coil core materials (Super MSS and FluxSan).
The system SISO-CDM for S(z−1) order 2, R(z−1) order 3, Pz(z−1) order 6, τ = 8Ts (Figure 4b,d) was tested by means of changing the used RCDM value (the equivalent serial resistance used in the control law) to get the lowest THD of the output voltage for the standard (EN 62040-3) rectifier RC load for the 25,600 Hz switching frequency, for Si, SiC and GaN transistors, for two filter coil core materials. The results of the measurements showed (Figure 14a,b and Table 2) that it is possible to get the minimum THD for the adjusted RCDMmin that depends on the type of transistors and the coil core material. This adjusted value is higher than Rse (Figure 11 and Figure 12) and closer to RLOSSES. However, the adjustments RCDMmin for both WBG transistors were the same but different than for Si transistors. According to the theoretical prediction shown in Figure 4b,d, the system was stable for the different RCDM.

7. Conclusions

This paper showed how changing the type of transistor used in a VSI bridge can change the results produced by the controller. Two equivalent serial resistances were measured—the dynamic Rse and the complex RLOSSES. Dynamic Rse was found to be lowest for GaN-based transistors. However, different transistor types show only small differences of approximately 0.2 Ω, at the same switching frequency, load current, and coil core material. Much higher differences were observed in the measurement of RLOSSES. The measurements showed that changes between WBG transistors-SiC and GaN-can be made without any adjustment of the control. However, changing between Si and WBG transistors requires such an adjustment. The best control results were produced for the SiC transistors. However, these superior results could have been due to the driving circuits used. The adjustment of the RCDM resistance to a value close to RLOSSES in the control law of the SISO-CDM controller can slightly reduce the output voltage THD. Oscillations can occur in the transistor gate-driving circuit. For certain values of the additional serial resistance RG, there are oscillations in the gate circuit when using WBG transistors, while no oscillations are present for Si transistors. For the RG = 10 Ω resistor chosen for the Si transistors, the VSI with GaN transistors was oscillated in the experimental model. Increasing the value of the resistor was sufficient to prevent oscillations.

Author Contributions

Conceptualization, Z.R. and K.B.; methodology, Z.R. and K.B.; software, Z.R.; validation, Z.R. and K.B.; formal analysis, Z.R. and K.B.; investigation, Z.R. and K.B.; resources, Z.R. and K.B.; writing—original draft preparation, Z.R.; writing—review and editing, Z.R. and K.B.; visualization, Z.R.; supervision, Z.R.; project administration, Z.R. and K.B.; funding acquisition, Z.R. and K.B. All authors have read and agreed to the published version of the manuscript.

Funding

This research was partially supported by the Polish Ministry of Science and Higher Education funding for statutory activities (BK-246/RAu-11/2022).

Institutional Review Board Statement

Not applicable.

Informed Consent Statement

Not applicable.

Data Availability Statement

Not applicable.

Conflicts of Interest

The authors declare no conflict of interest.

References

  1. IEC 62040-3:2021; Uninterruptible Power Systems (UPS)—Part 3: Method of Specifying the Performance and Test Requirements. IEC: Geneva, Switzerland, 2021.
  2. Jayant, B. Fundamentals of Power Semiconductor Devices, 2nd ed.; Springer International Publishing AG: Berlin/Heidelberg, Germany, 2019. [Google Scholar]
  3. Device Application Note AN608A; Power MOSFET Basics: Understanding Gate Charge and Using It to Assess Switching Performance. VISHAY SILICONIX: San Jose, CA, USA, 2016.
  4. Application Note AN850; Power MOSFET Basics: Understanding the Turn-On Process. VISHAY SILICONIX: San Jose, CA, USA, 2016.
  5. Micrometals Alloy Powder Core Catalog. 2021. Available online: https://www.micrometals.com/design-and-applications/literature/ (accessed on 17 July 2022).
  6. Bernacki, K.; Rymarski, Z.; Dyga, Ł. Selecting the coil core powder material for the output filter of a voltage source inverter. Electron. Lett. 2017, 53, 1068–1069. [Google Scholar] [CrossRef]
  7. Wellmann, P.; Ohtani, N.; Rupp, R. (Eds.) Wide Bandgap Semiconductors for Power Electronics; Wiley-VCH: Hoboken, NJ, USA, 2022. [Google Scholar]
  8. Zulauf, G.; Park, S.; Liang, W.; Surakitbovorn K., N.; Rivas-Davila, J. COSS Losses in 600 V GaN Power Semiconductors in Soft-Switched, High- and Very-High-Frequency Power Converters. IEEE Trans. Power Electron. 2018, 33, 10748–10763. [Google Scholar] [CrossRef]
  9. Sun, R.; Lai, J.; Chen, W.; Zhang, B. GaN Power Integration for High Frequency and High Efficiency Power Applications: A Review. IEEE Access 2020, 8, 15529–15542. [Google Scholar] [CrossRef]
  10. Millán, J.; Godignon, P.; Perpiñà, X.; Pérez-Tomás, A.; Rebollo, J. A Survey of Wide Bandgap Power Semiconductor Devices. IEEE Trans. Power Electron. 2014, 29, 2155–2163. [Google Scholar] [CrossRef]
  11. Duc, H.T.; Cougo, B.; Segond, G. Loss reduction of WBG inverter by PWM techniques for the motion control of PMSM. In Proceedings of the 2019 IEEE 4th International Future Energy Electronics Conference (IFEEC), Singapore, 25–28 November 2019. [Google Scholar]
  12. Torres, R.A.; Dai, H.; Lee, W.; Jahns, T.M.; Sarlioglu, B. A Simple and Robust Controller Design for High-Frequency WBG-Based Current-Source-Inverter-Fed AC Motor Drive. In Proceedings of the 2020 IEEE Transportation Electrification Conference & Expo, Chicago, IL, USA, 23–26 June 2020; pp. 111–117. [Google Scholar] [CrossRef]
  13. Rymarski, Z. Measuring the real parameters of single-phase voltage source inverters for UPS systems. Int. J. Electron. 2017, 104, 1020–1033. [Google Scholar] [CrossRef]
  14. Serra, F.M.; De Angelo, C.H.; Forchetti, D.G. IDA-PBC control of a DC–AC converter for sinusoidal three-phase voltage generation. Int. J. Electron. 2016, 104, 93–110. [Google Scholar] [CrossRef]
  15. Rymarski, Z.; Bernacki, K.; Dyga, Ł. A control for an unbalanced 3-phase load in UPS systems. Elektron. Ir Elektrotechnika 2018, 24, 27–31. [Google Scholar] [CrossRef] [Green Version]
  16. Rymarski, Z. Design Method of Single-Phase Inverters for UPS Systems. Int. J. Electron. 2009, 96, 521–535. [Google Scholar] [CrossRef]
  17. Komurcugil, H. Improved passivity-based control method and its robustness analysis for single-phase uninterruptible power supply inverters. IET Power Electron. 2015, 8, 1558–1570. [Google Scholar] [CrossRef]
  18. Wang, Z.; Goldsmith, P. Modified energy-balancing-based control for the tracking problem. IET Control Theory Appl. 2008, 2, 310–312. [Google Scholar] [CrossRef]
  19. Ortega, R.; Garcıa-Canseco, E. Interconnection and Damping Assignment Passivity-Based Control: A Survey. Eur. J. Control 2004, 10, 432–450. [Google Scholar] [CrossRef]
  20. Rymarski, Z.; Bernacki, K.; Dyga, Ł. Decreasing the single-phase inverter output voltage distortions caused by impedance networks. IEEE Trans. Ind. Appl. 2019, 55, 7586–7594. [Google Scholar] [CrossRef]
  21. Rymarski, Z.; Bernacki, K. Different Features of Control Systems for Single-Phase Voltage Source Inverters. Energies 2020, 13, 4100. [Google Scholar] [CrossRef]
  22. Rymarski, Z.; Bernacki, K. Technical Limits of Passivity-Based Control Gains for a Single-Phase Voltage Source Inverter. Energies 2021, 14, 4560. [Google Scholar] [CrossRef]
  23. Manabe, S. Coefficient diagram method. IFAC Proc. Vol. 1998, 31, 211–222. [Google Scholar] [CrossRef]
  24. Manabe, S. Importance of coefficient diagram in polynomial method. In Proceedings of the 42nd IEEE Conference on Decision and Control, Maui, HI, USA, 9–12 December 2003; pp. 3489–3494. [Google Scholar] [CrossRef]
  25. Coelho, J.P.; Pinho, T.M.; Boaventura-Cunha, J. Controller system design using the coefficient diagram method. Arab. J. Sci. Eng. 2016, 41, 3663–3681. [Google Scholar] [CrossRef]
  26. Hamamci, S.E.; Kaya, I.; Koksal, M. Improving performance for a class of processes using coefficient diagram method. In Proceedings of the 9th Mediterranean Conference on Control and Automation, MED’01, Dubrovnik, Croatia, 27–29 June 2001; pp. 1–6. [Google Scholar]
  27. Rymarski, Z. The discrete model of the power stage of the voltage source inverter for UPS. Int. J. Electron. 2011, 98, 1291–1304. [Google Scholar] [CrossRef]
  28. Rymarski, Z.; Bernacki, K.; Dyga, Ł. Measuring the power conversion losses in voltage source inverters. AEU-Int. J. Electron. Commun. 2020, 124, 153359. [Google Scholar] [CrossRef]
  29. Bernacki, K.; Rymarski, Z. Electromagnetic compatibility of voltage source inverters for uninterruptible power supply system depending on the pulse-width modulation scheme. IET Power Electron. 2015, 8, 1026–1034. [Google Scholar] [CrossRef]
  30. Liu, T.; Wong, Y.; Shen, Z.J. A Survey on Switching Oscillations in Power Converters. IEEE J. Emerg. Sel. Top. Power Electron. 2020, 8, 893–908. [Google Scholar] [CrossRef]
  31. Sadik, D.-P.; Colmenares, J.; Nee, H.-P.; Kostov, K.; Giezendanner, F.; Ranstad, P. Analysis of parasitic elements of SiC power modules with special emphasis on reliability issues. IEEE J. Emerg. Sel. Top. Power Electron. 2016, 4, 1018–1023. [Google Scholar] [CrossRef]
  32. Zeng, Z.; Zhang, X.; Blaabjerg, F.; Miao, L. Impedance-Oriented Transient Instability Modeling of SiC mosfet Intruded by Measurement Probes. IEEE Trans. Power Electron. 2020, 35, 1866–1881. [Google Scholar] [CrossRef]
Figure 1. MISO control of a VSI. Load current iOUT is treated as an independent disturbance.
Figure 1. MISO control of a VSI. Load current iOUT is treated as an independent disturbance.
Energies 15 05316 g001
Figure 2. The dependence of maximum voltage gain Kv on current gain Ri and equivalent serial resistance Rse for (a) fs = 25,600 Hz and (b) fs = 51,200 Hz. In practical terms, the gains do not depend on Rse for the assigned VSI parameters, LF = 1 mH and CF = 50 μF.
Figure 2. The dependence of maximum voltage gain Kv on current gain Ri and equivalent serial resistance Rse for (a) fs = 25,600 Hz and (b) fs = 51,200 Hz. In practical terms, the gains do not depend on Rse for the assigned VSI parameters, LF = 1 mH and CF = 50 μF.
Energies 15 05316 g002
Figure 3. An advanced discretized SISO system.
Figure 3. An advanced discretized SISO system.
Energies 15 05316 g003
Figure 4. Pole shifts of the closed-loop CDM system (with LF = 2 mH, CF = 51 μF, and τ = 8Ts), showing (a,b) a system configured for RCDM = Rse = 2 Ω (black circles) subjected to a decrease in Rse to 0.4 Ω (red crosses), and (c,d) a system configured for RCDM = Rse = 0.4 Ω (red circles) subjected to an increase in Rse to 2 Ω (black crosses); (a) S(z−1) order 2, R(z−1) order 2, Pz(z1) order 5; (b) S(z−1) order 2, R(z1) order 3, Pz(z−1) order 6 (given additional plant delay); (c) S(z−1) order 2, R(z−1) order 2, Pz(z−1) order 5; (d) S(z−1) order 2, R(z−1) order 3, Pz(z−1) order 6 (given additional plant delay).
Figure 4. Pole shifts of the closed-loop CDM system (with LF = 2 mH, CF = 51 μF, and τ = 8Ts), showing (a,b) a system configured for RCDM = Rse = 2 Ω (black circles) subjected to a decrease in Rse to 0.4 Ω (red crosses), and (c,d) a system configured for RCDM = Rse = 0.4 Ω (red circles) subjected to an increase in Rse to 2 Ω (black crosses); (a) S(z−1) order 2, R(z−1) order 2, Pz(z1) order 5; (b) S(z−1) order 2, R(z1) order 3, Pz(z−1) order 6 (given additional plant delay); (c) S(z−1) order 2, R(z−1) order 2, Pz(z−1) order 5; (d) S(z−1) order 2, R(z−1) order 3, Pz(z−1) order 6 (given additional plant delay).
Energies 15 05316 g004
Figure 5. Measurement of VSI power conversion losses using Bode plots.
Figure 5. Measurement of VSI power conversion losses using Bode plots.
Energies 15 05316 g005
Figure 6. The measured and approximated Bode plots (a) magnitude and (b) phase of the voltage-measuring trace.
Figure 6. The measured and approximated Bode plots (a) magnitude and (b) phase of the voltage-measuring trace.
Energies 15 05316 g006
Figure 7. (a) Magnitude and (b) phase Bode plots of the VSI control function with a bridge composed of Si, SiC, and GaN transistors using a FluxSan coil core and a switching frequency fs of 25,600 Hz; (c) the calculated dynamic serial resistances Rse for the Super MSS core with fs = 25,600 Hz; (d) calculated dynamic serial resistances Rse for the FluxSan core with fs = 25,600 Hz.
Figure 7. (a) Magnitude and (b) phase Bode plots of the VSI control function with a bridge composed of Si, SiC, and GaN transistors using a FluxSan coil core and a switching frequency fs of 25,600 Hz; (c) the calculated dynamic serial resistances Rse for the Super MSS core with fs = 25,600 Hz; (d) calculated dynamic serial resistances Rse for the FluxSan core with fs = 25,600 Hz.
Energies 15 05316 g007
Figure 8. (a) Magnitude Bode plots for a bridge composed of GaN transistors, with switching frequency fs = 25,600 Hz and RLOAD = 12.5–100 Ω; (b) magnitude Bode plots for RLOAD = 50 Ω, using SiC transistors and FluxSan core, for fs = 12,800, 25,600, and 51,200 Hz.
Figure 8. (a) Magnitude Bode plots for a bridge composed of GaN transistors, with switching frequency fs = 25,600 Hz and RLOAD = 12.5–100 Ω; (b) magnitude Bode plots for RLOAD = 50 Ω, using SiC transistors and FluxSan core, for fs = 12,800, 25,600, and 51,200 Hz.
Energies 15 05316 g008
Figure 9. The influence of the relative test signal amplitude on the equivalent serial resistance measurement.
Figure 9. The influence of the relative test signal amplitude on the equivalent serial resistance measurement.
Energies 15 05316 g009
Figure 10. The power loss resistance RLOSSES measured from the power loss, showing (a) the method of measuring RLOSSES, and (b) exemplary values of RLOSSES for the Super MSS coil core at fs = 25,600 Hz, and (c) exemplary values of RLOSSES for the FluxSan coil core at fs = 25,600 Hz.
Figure 10. The power loss resistance RLOSSES measured from the power loss, showing (a) the method of measuring RLOSSES, and (b) exemplary values of RLOSSES for the Super MSS coil core at fs = 25,600 Hz, and (c) exemplary values of RLOSSES for the FluxSan coil core at fs = 25,600 Hz.
Energies 15 05316 g010
Figure 11. The serial resistances Rse and RLOSSES for (a) Si, (b) SiC, and (c) GaN transistors when using coil core material Super MSS.
Figure 11. The serial resistances Rse and RLOSSES for (a) Si, (b) SiC, and (c) GaN transistors when using coil core material Super MSS.
Energies 15 05316 g011
Figure 12. The serial resistances Rse and RLOSSES for (a) Si, (b) SiC, and (c) GaN transistors when using the coil core material FluxSan.
Figure 12. The serial resistances Rse and RLOSSES for (a) Si, (b) SiC, and (c) GaN transistors when using the coil core material FluxSan.
Energies 15 05316 g012
Figure 13. The VSI output voltage and current when using the nonlinear rectifier RC load (PF = 0.6) for (a) open-loop control and (b) CDM control (τ = 8) with SiC bridge transistors and the Super MSS coil core material.
Figure 13. The VSI output voltage and current when using the nonlinear rectifier RC load (PF = 0.6) for (a) open-loop control and (b) CDM control (τ = 8) with SiC bridge transistors and the Super MSS coil core material.
Energies 15 05316 g013
Figure 14. Graphs of THDVOUT for the different RCDM values at fs = 25,600 Hz for the Si, SiC, and GaN transistors with (a) Super MSS and (b) FluxSan coil cores for the standard rectifier RC load. Black circles highlight the THDVOUT minima.
Figure 14. Graphs of THDVOUT for the different RCDM values at fs = 25,600 Hz for the Si, SiC, and GaN transistors with (a) Super MSS and (b) FluxSan coil cores for the standard rectifier RC load. Black circles highlight the THDVOUT minima.
Energies 15 05316 g014
Figure 15. The experimental VSI shows the replaceable coil and transistors.
Figure 15. The experimental VSI shows the replaceable coil and transistors.
Energies 15 05316 g015
Table 1. Basic properties of the tested transistors.
Table 1. Basic properties of the tested transistors.
VDS [V],
ID [A]
RDS [mΩ] (Tj = 25 °C)Ciss, Coss, Crss [pF]
(VGS = 0 V, f = 1.0 MHz)
Standard
Si-MOSFET
IRFP360 (Vishay)
400 V,
23 A
200
(VGS = 10 V, ID = 14 A)
4500, 1100, 490
(VDS = 25 V)
GaN + Si-MOSFET
Cascode Device Structure
GAN041-650WSB
650 V,
47.2 A
35
(VGS = 10 V; ID = 32 A)
1500, 147, 5
(VDS = 400 V)
SiC-MOSFET
AIMW120R060M1H
1200 V,
36 A
60
(VGS = 18 V, ID = 13 A)
1060, 58, 6.5
(VDS = 800 V)
Table 2. THD minima for each RCDM, transistor type, and coil core material.
Table 2. THD minima for each RCDM, transistor type, and coil core material.
IOUTRMS ≈ 0.5 ASi–Super MSSSiC–Super MSSGaN–Super MSSSi–Flux SanSiC–Flux SanGaN–Flux San
RLOSSES [Ω]2.82.212.81.31.1
RCDMmin [Ω]2.62.42.421.61.6
THDmin [%]3.4533.2313.2453.6573.5963.572
THDmin/THDmax10.05%7.69%8.46%3.07%5.04%4.39%
Publisher’s Note: MDPI stays neutral with regard to jurisdictional claims in published maps and institutional affiliations.

Share and Cite

MDPI and ACS Style

Bernacki, K.; Rymarski, Z. The Effect of Replacing Si-MOSFETs with WBG Transistors on the Control Loop of Voltage Source Inverters. Energies 2022, 15, 5316. https://doi.org/10.3390/en15155316

AMA Style

Bernacki K, Rymarski Z. The Effect of Replacing Si-MOSFETs with WBG Transistors on the Control Loop of Voltage Source Inverters. Energies. 2022; 15(15):5316. https://doi.org/10.3390/en15155316

Chicago/Turabian Style

Bernacki, Krzysztof, and Zbigniew Rymarski. 2022. "The Effect of Replacing Si-MOSFETs with WBG Transistors on the Control Loop of Voltage Source Inverters" Energies 15, no. 15: 5316. https://doi.org/10.3390/en15155316

APA Style

Bernacki, K., & Rymarski, Z. (2022). The Effect of Replacing Si-MOSFETs with WBG Transistors on the Control Loop of Voltage Source Inverters. Energies, 15(15), 5316. https://doi.org/10.3390/en15155316

Note that from the first issue of 2016, this journal uses article numbers instead of page numbers. See further details here.

Article Metrics

Back to TopTop