Modeling of an Elastocaloric Cooling System for Determining Efficiency
Abstract
:1. Introduction
2. Materials and Methods
2.1. Active Elastocaloric Heat Pipe
2.2. System Simulation
2.3. Analytical Determination of System Parameters
3. Results
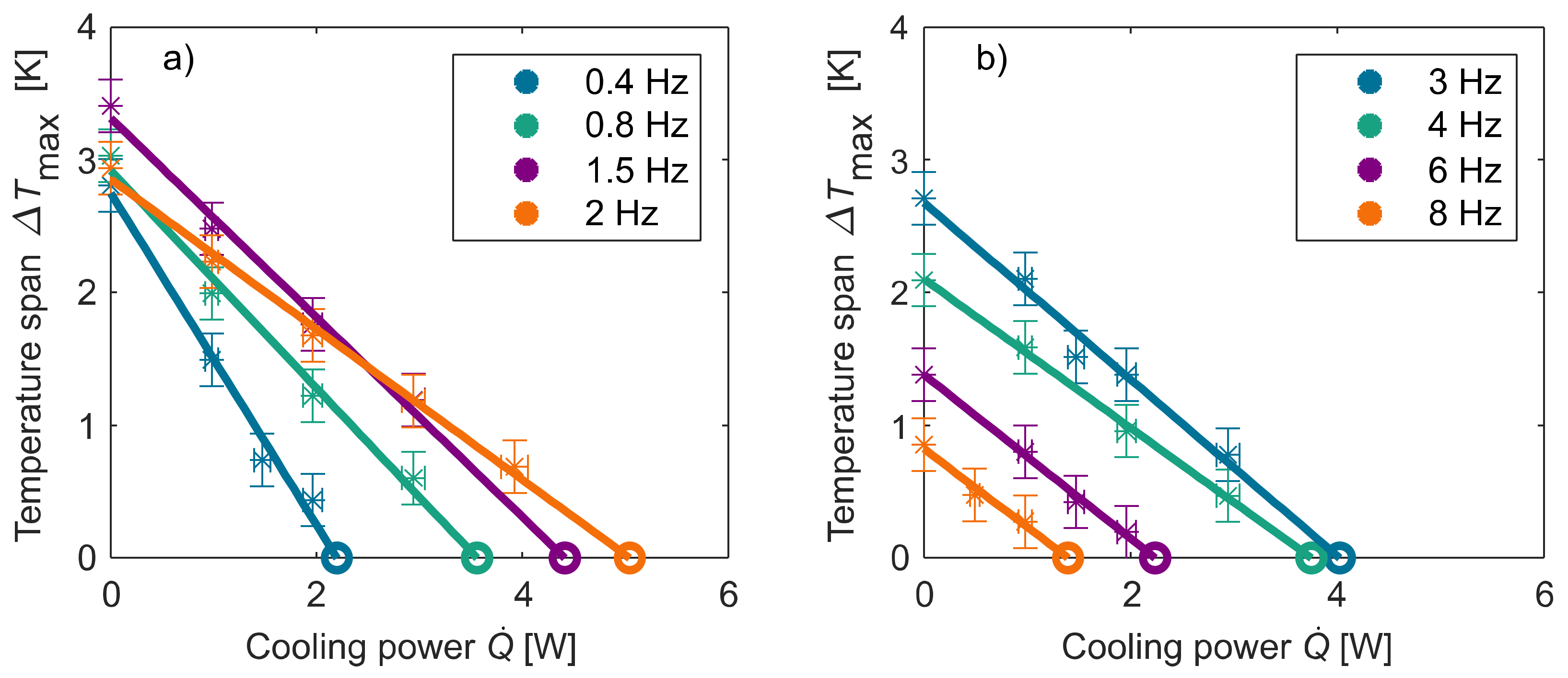
3.1. Experimental Data
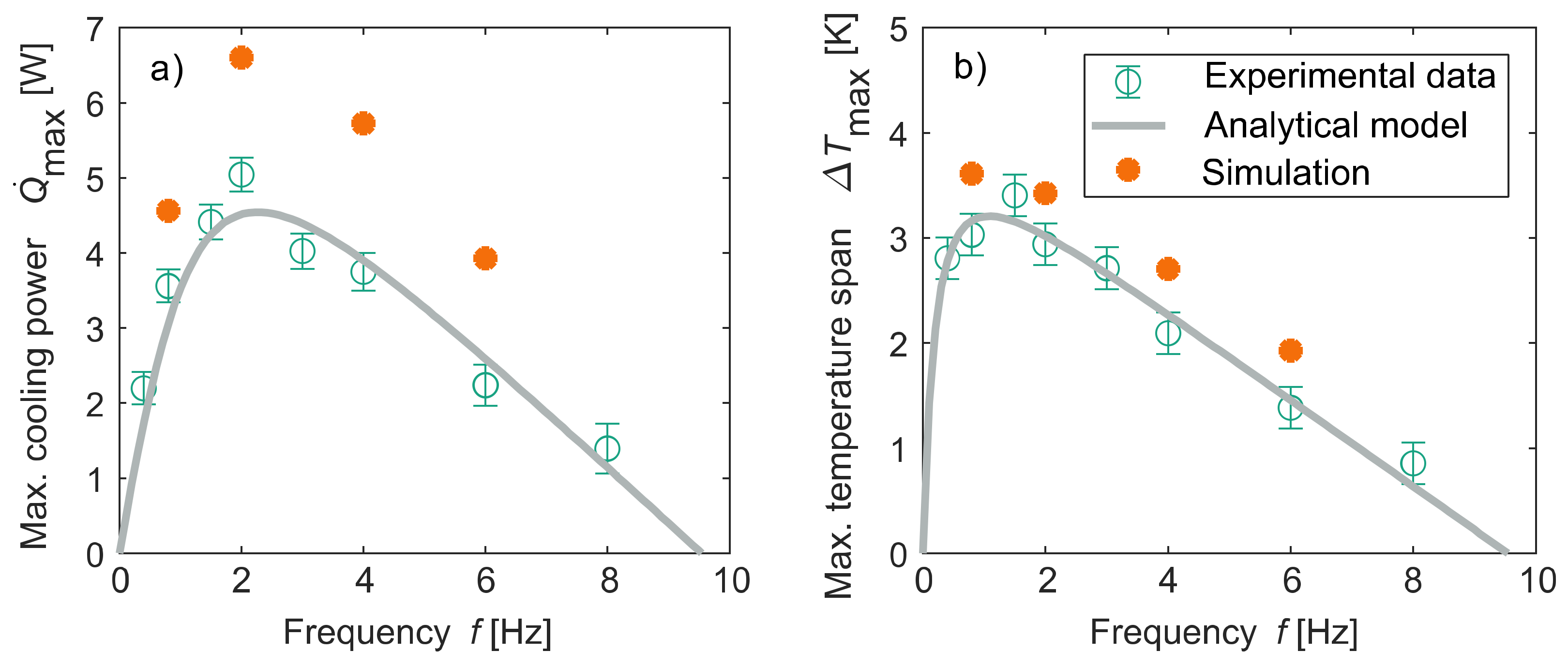
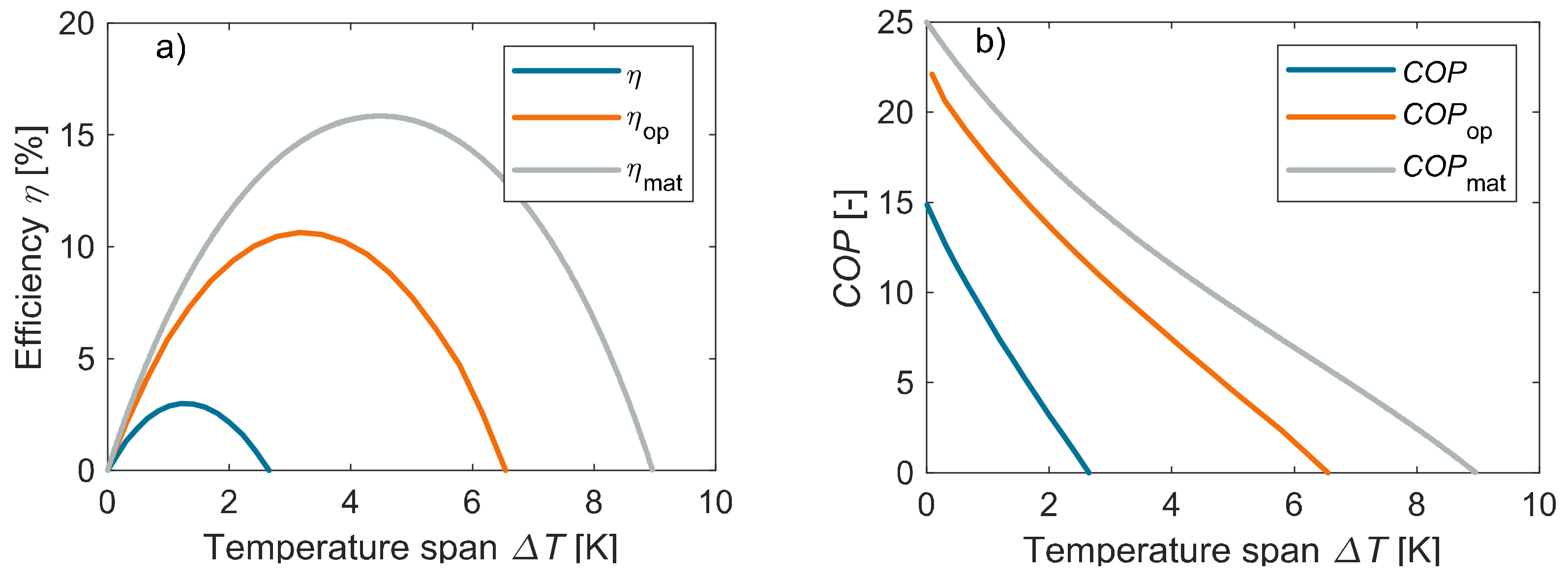
3.2. Results of the Analytical Evaluation
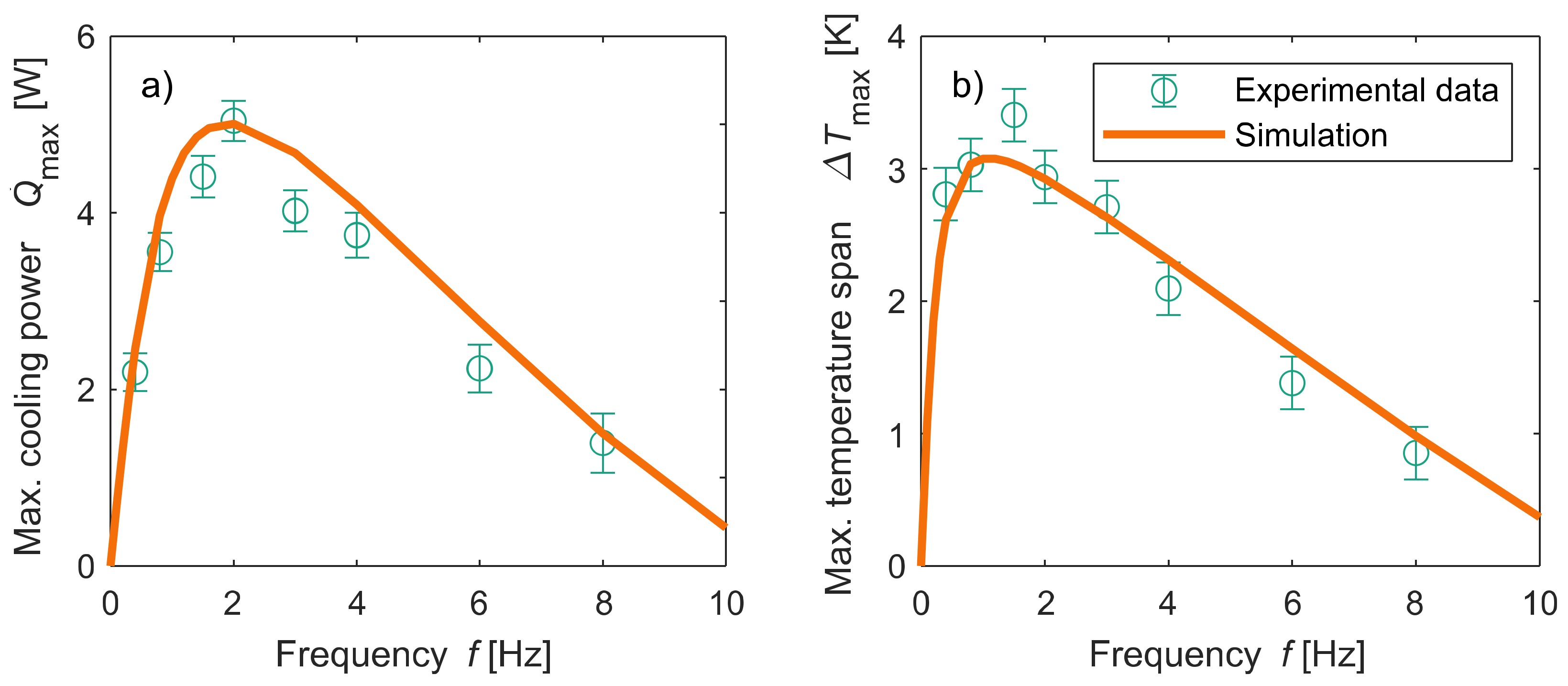
3.3. Results of the Simulation
4. Discussion
5. Conclusions
Author Contributions
Funding
Institutional Review Board Statement
Informed Consent Statement
Data Availability Statement
Conflicts of Interest
Nomenclature
| Roman symbols | |
| Working point variable, - | |
| Area, m2 | |
| Specific heat capacity, J kg−1 K−1 | |
| Specific baseline heat capacity, J kg−1 K−1 | |
| Coefficient of performance, - | |
| Young’s modulus, MPa | |
| Frequency, Hz | |
| Cut-off frequency, Hz | |
| Heat transfer coefficient, W m−2 K−1 | |
| Area moment of inertia, m4 | |
| Thermal conductivity, W m−1 K−1 | |
| Length, m | |
| Mass, kg | |
| Power, W | |
| Specific heat, J kg−1 | |
| Heat flux, W | |
| Radius, m | |
| Thermal resistance, K W−1 | |
| Insulation resistance of the evaporator, K W−1 | |
| Insulation resistance between the ECM and the environment, K W−1 | |
| Resistance between ECM and fluid, K W−1 | |
| Specific entropy, J kg−1 K−1 | |
| Temperature, K | |
| Peak temperature, K | |
| Greek symbols | |
| Half wide at half maximum of the peak, K | |
| Multiplicative inverse of the Clausius-Clapeyron coefficient, K MPa−1 | |
| Finite difference, - | |
| Exergetic efficiency, - | |
| Stress, MPa | |
| Subscripts | |
| a | Outer |
| A | Ambient |
| ad | Adiabatic |
| buckling | Critical buckling |
| c | Cold side |
| carnot | Carnot cycle |
| diss | Dissipative |
| ECM | Elastocaloric material |
| eff | Effective |
| Euler | Euler‘s buckling mode |
| h | Hot side |
| H | Average warming in relation to the environment and condenser |
| hys | Hysteresis |
| I | Inner |
| in | Into the evaporator |
| iso | Isothermal |
| m | Mean |
| mat | Material |
| max | Maximal |
| op | Optimized |
| p | For pumping of the heat |
| Insulation resistance of the evaporator | |
| Insulation resistance between the ECM and the environment | |
| Resistance between ECM and fluid | |
References
- International Energy Agency. The Future of Cooling: Opportunities for Energy-Efficient Air Conditioning. 2018. Available online: https://www.iea.org/reports/the-future-of-cooling (accessed on 2 January 2022).
- Goetzler, W.; Zogg, R.; Young, J.; Johnson, C. Energy Savings Potential and RD&D Opportunities for Non-Vapor-Compression HVAC Technologies; prepared for US Department of Energy; Navigant Consulting Inc.: Chicago, IL, USA, 2014. [Google Scholar]
- Kitanovski, A.; Tušek, J.; Tomc, U.; Plaznik, U.; Ožbolt, M.; Poredoš, A. Magnetocaloric Energy Conversion: From Theory to Applications; Springer: Cham, Switzerland, 2015; ISBN 978-3-319-08740-5. [Google Scholar]
- Ossmer, H.; Chluba, C.; Kauffmann-Weiss, S.; Quandt, E.; Kohl, M. TiNi-based films for elastocaloric microcooling—Fatigue life and device performance. APL Mater. 2016, 4, 64102. [Google Scholar] [CrossRef]
- Bruederlin, F.; Ossmer, H.; Wendler, F.; Miyazaki, S.; Kohl, M. SMA foil-based elastocaloric cooling: From material behavior to device engineering. J. Phys. D Appl. Phys. 2017, 50, 424003. [Google Scholar] [CrossRef]
- Schmidt, M.; Schuetze, A.; Seelecke, S. Scientific test setup for investigation of shape memory alloy based elastocaloric cooling processes. Int. J. Refrig. 2015, 54, 88–97. [Google Scholar] [CrossRef]
- Ulpiani, G.; Bruederlin, F.; Weidemann, R.; Ranzi, G.; Santamouris, M.; Kohl, M. Upscaling of SMA film-based elastocaloric cooling. Appl. Therm. Eng. 2020, 180, 115867. [Google Scholar] [CrossRef]
- Chen, Y.; Wang, Y.; Sun, W.; Qian, S.; Liu, J. A compact elastocaloric refrigerator. Innovation 2022, 3, 100205. [Google Scholar] [CrossRef] [PubMed]
- Snodgrass, R.; Erickson, D. A multistage elastocaloric refrigerator and heat pump with 28 K temperature span. Sci. Rep. 2019, 9, 18532. [Google Scholar] [CrossRef] [PubMed]
- Kirsch, S.-M.; Welsch, F.; Michaelis, N.; Schmidt, M.; Wieczorek, A.; Frenzel, J.; Eggeler, G.; Schütze, A.; Seelecke, S. NiTi-Based Elastocaloric Cooling on the Macroscale: From Basic Concepts to Realization. Energy Technol. 2018, 6, 1567–1587. [Google Scholar] [CrossRef]
- Engelbrecht, K.; Tušek, J.; Eriksen, D.; Lei, T.; Lee, C.-Y.; Tušek, J.; Pryds, N. A regenerative elastocaloric device: Experimental results. J. Phys. D Appl. Phys. 2017, 50, 424006. [Google Scholar] [CrossRef] [Green Version]
- Tušek, J.; Engelbrecht, K.; Eriksen, D.; Dall’Olio, S.; Tušek, J.; Pryds, N. A regenerative elastocaloric heat pump. Nat. Energy 2016, 1, 10. [Google Scholar] [CrossRef]
- Qian, S.; Geng, Y.; Wang, Y.; Muehlbauer, J.; Ling, J.; Hwang, Y.; Radermacher, R.; Takeuchi, I. Design of a hydraulically driven compressive elastocaloric cooling system. Sci. Technol. Built Environ. 2016, 22, 500–506. [Google Scholar] [CrossRef]
- Michaelis, N.; Kirsch, S.-M.; Welsch, F.; Rizello, G.; Seelecke, S.; Motzki, P. Investigation of Elastocaloric Air Cooling Potential Based on Superelastic SMA Wire Bundles. Available online: https://www.researchgate.net/publication/344198524_INVESTIGATION_OF_ELASTOCALORIC_AIR_COOLING_POTENTIAL_BASED_ON_SUPERELASTIC_SMA_WIRE_BUNDLES (accessed on 1 July 2021).
- Cheng, S.; Xiao, Y.; Li, X.; Lin, H.; Hua, P.; Sheng, L. Buckling Prevention of a Single Long NiTi Tube Compressive Elastocaloric Regenerator; SSRN: Rochester, NY, USA, 2022. [Google Scholar] [CrossRef]
- Zhang, J.; Zhu, Y.; Cheng, S.; Yao, S.; Sun, Q. Enhancing cooling performance of NiTi elastocaloric tube refrigerant via internal grooving. Appl. Therm. Eng. 2022, 213, 118657. [Google Scholar] [CrossRef]
- Ianniciello, L.; Bartholomé, K.; Fitger, A.; Engelbrecht, K. Long life elastocaloric regenerator operating under compression. Appl. Therm. Eng. 2022, 202, 117838. [Google Scholar] [CrossRef]
- Sharar, D.J.; Radice, J.; Warzoha, R.; Hanrahan, B.; Chang, B. First Demonstration of a Bending-Mode Elastocaloric Cooling ‘Loop’. In Proceedings of the 2018 17th IEEE InterSociety Conference on Thermal and Thermomechanical Phenomena in Electronic Systems, ITherm 2018, San Diego, CA, USA, 29 May–1 June 2018; IEEE: Piscataway, NJ, USA, 2018; pp. 218–226, ISBN 978-1-5386-1272-9. [Google Scholar]
- Bachmann, N.; Fitger, A.; Maier, L.M.; Mahlke, A.; Schäfer-Welsen, O.; Koch, T.; Bartholomé, K. Long-term stable compressive elastocaloric cooling system with latent heat transfer. Commun. Phys. 2021, 4, 615. [Google Scholar] [CrossRef]
- Welsch, F.; Kirsch, S.-M.; Michaelis, N.; Mandolino, M.; Schütze, A.; Seelecke, S.; Motzki, P.; Rizzello, G. System Simulation of an Elastocaloric Heating and Cooling Device Based on SMA. In Proceedings of the ASME 2020 Conference on Smart Materials, Adaptive Structures and Intelligent Systems, Virtual, Online, 15 September 2020; American Society of Mechanical Engineers: New York, NY, USA, 2020; Volume 09152020. [Google Scholar]
- Cheng, S.; Xiao, Y.; Li, X.; Lin, H.; Hua, P.; Sheng, L.; Sun, Q. Elastocaloric Effect Characterization of a NiTi Tube to be Applied in a Compressive Cooling Device; SSRN: Rochester, NY, USA, 2022. [Google Scholar]
- Bruederlin, F.; Bumke, L.; Chluba, C.; Ossmer, H.; Quandt, E.; Kohl, M. Elastocaloric Cooling on the Miniature Scale: A Review on Materials and Device Engineering. Energy Technol. 2018, 6, 1588–1604. [Google Scholar] [CrossRef]
- Qian, S.; Alabdulkarem, A.; Ling, J.; Muehlbauer, J.; Hwang, Y.; Radermacher, R.; Takeuchi, I. Performance enhancement of a compressive thermoelastic cooling system using multi-objective optimization and novel designs. Int. J. Refrig. 2015, 57, 62–76. [Google Scholar] [CrossRef] [Green Version]
- Bachmann, N.; Fitger, A.; Unmüßig, S.; Bach, D.; Schäfer-Welsen, O.; Koch, T.; Bartholomé, K. Phenomenological model for first-order elastocaloric materials. Int. J. Refrig. 2022, 136, 245–253. [Google Scholar] [CrossRef]
- Maier, L.M.; Hess, T.; Kaube, A.; Corhan, P.; Fitger, A.; Bachmann, N.; Schäfer-Welsen, O.; Wöllenstein, J.; Bartholomé, K. Method to characterize a thermal diode in saturated steam atmosphere. Rev. Sci. Instrum. 2020, 91, 65104. [Google Scholar] [CrossRef] [PubMed]
- Hess, T.; Maier, L.M.; Corhan, P.; Schäfer–Welsen, O.; Wöllenstein, J.; Bartholomé, K. Modelling cascaded caloric refrigeration systems that are based on thermal diodes or switches. Int. J. Refrig. 2019, 103, 215–222. [Google Scholar] [CrossRef]
- Hess, T.; Maier, L.M.; Bachmann, N.; Corhan, P.; Schäfer-Welsen, O.; Wöllenstein, J.; Bartholomé, K. Thermal hysteresis and its impact on the efficiency of first-order caloric materials. J. Appl. Phys. 2020, 127, 75103. [Google Scholar] [CrossRef]
- Baehr, H.D.; Stephan, K. Wärme- und Stoffübertragung; Springer: Berlin/Heidelberg, Germany, 2019; ISBN 978-3-662-58440-8. [Google Scholar]
- Lackmann, J.; Mertens, H.; Liebich, R. Stabilitätsprobleme. In Dubbel: Taschenbuch für den Maschinenbau; Grote, K.-H., Feldhusen, J., Eds.; Springer: Berlin/Heidelberg, Germany, 2011; pp. C42–C46. ISBN 978-3-642-17306-6. [Google Scholar]
- Altenbach, H. Technische Mechanik Festigkeitslehre; Springer Fachmedien: Wiesbaden, Germany, 2018; ISBN 978-3-658-22853-8. [Google Scholar]
- Verein Deutscher Ingenieure. VDI Heat Atlas, 2nd ed.; Springer: Berlin/Heidelberg, Germany, 2010; ISBN 978-3-540-77876-9. [Google Scholar]
- Ordonez-Miranda, J.; Hill, J.M.; Joulain, K.; Ezzahri, Y.; Drevillon, J. Conductive thermal diode based on the thermal hysteresis of VO2 and nitinol. J. Appl. Phys. 2018, 123, 85102. [Google Scholar] [CrossRef]












Publisher’s Note: MDPI stays neutral with regard to jurisdictional claims in published maps and institutional affiliations. |
© 2022 by the authors. Licensee MDPI, Basel, Switzerland. This article is an open access article distributed under the terms and conditions of the Creative Commons Attribution (CC BY) license (https://creativecommons.org/licenses/by/4.0/).
Share and Cite
Bachmann, N.; Schwarz, D.; Bach, D.; Schäfer-Welsen, O.; Koch, T.; Bartholomé, K. Modeling of an Elastocaloric Cooling System for Determining Efficiency. Energies 2022, 15, 5089. https://doi.org/10.3390/en15145089
Bachmann N, Schwarz D, Bach D, Schäfer-Welsen O, Koch T, Bartholomé K. Modeling of an Elastocaloric Cooling System for Determining Efficiency. Energies. 2022; 15(14):5089. https://doi.org/10.3390/en15145089
Chicago/Turabian StyleBachmann, Nora, Daniel Schwarz, David Bach, Olaf Schäfer-Welsen, Thomas Koch, and Kilian Bartholomé. 2022. "Modeling of an Elastocaloric Cooling System for Determining Efficiency" Energies 15, no. 14: 5089. https://doi.org/10.3390/en15145089
APA StyleBachmann, N., Schwarz, D., Bach, D., Schäfer-Welsen, O., Koch, T., & Bartholomé, K. (2022). Modeling of an Elastocaloric Cooling System for Determining Efficiency. Energies, 15(14), 5089. https://doi.org/10.3390/en15145089

