Full-Order Terminal Sliding-Mode Control for Soft Open Point
Abstract
:1. Introduction
- 1.
- The influence of the parameter perturbation in the SOP is not considered completely in the existing controller design.
- 2.
- The uncertainties in the SOP control system cannot be compensated for by the existing control methods such as PI and MPC. Therefore, the PI and MPC controllers cannot satisfy the requirements of power and voltage control precision.
- 3.
- The conventional sliding-mode controller in the SOP control system cannot compensate for the unmatched uncertainties, and the inherent chattering problem may stimulate the unmodeled dynamic of the system.
- 1.
- The precision, rapidness and robustness of the SOP control system are improved by adopting the full-order sliding-mode control method.
- 2.
- On the premise that the anti-disturbance of the SMC is kept, the chattering in the conventional sliding-mode controller is eliminated by the integral-type control law; thus, the smoothed outputs of the controller can be obtained.
2. Preliminary
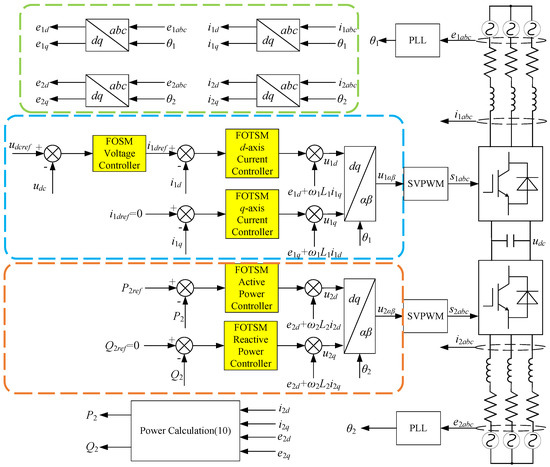
2.1. Dynamic Model of the SOP
2.2. Proposed Model of the SOP
2.2.1. Outer-Loop Subsystem
2.2.2. Inner-Loop Subsystem
3. Full-Order Sliding-Mode Control for the Rectifier Side
3.1. Voltage Controller Design for the Outer-Loop
3.2. Current Controller Design for the Inner-Loop
4. Full-Order Sliding-Mode Control for the Inverter Side
5. Simulations
5.1. Empirical Research Methodology
5.2. Simulation Results
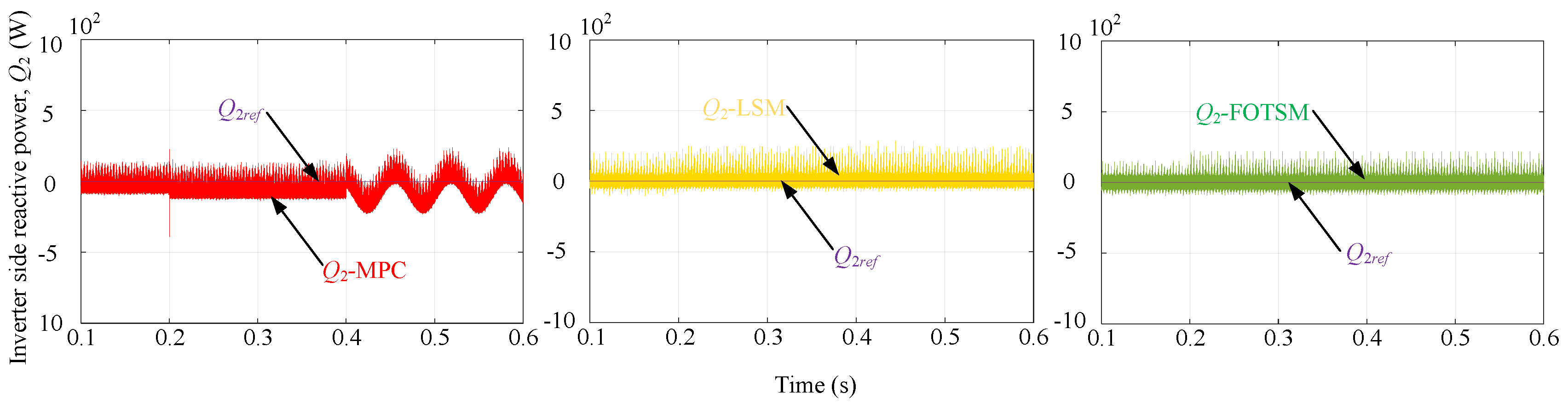
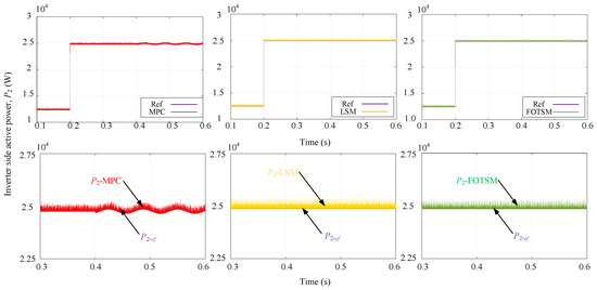
5.2.1. Start-up Response in the Case of Parameter Perturbation
5.2.2. Load-Adding Response in the Case of External Disturbance
6. Discussion
7. Conclusions
Author Contributions
Funding
Institutional Review Board Statement
Informed Consent Statement
Data Availability Statement
Acknowledgments
Conflicts of Interest
Abbreviations
| SOP | Soft open point |
| VSC | Voltage source converter |
| AC | Alternating current |
| DC | Direct current |
| LSM | Linear sliding-mode |
| FOTSM | Full-order terminal sliding-mode |
| FOSM | Full-order sliding-mode |
| PI | Practical proportional-integral |
| MPC | Model predictive control |
| SMC | Sliding-mode control |
| ISMC | Integral sliding-mode control |
| DOBSMC | Disturbance observer-based sliding-mode control |
| SVPWM | Signals of space vector pulse width modulation |
| PLL | Phase look loop |
References
- Jiang, X.; Zhou, Y.; Ming, W.; Yang, P.; Wu, J. An Overview of Soft Open Points in Electricity Distribution Networks. IEEE Trans. Smart Grid 2022, 13, 1899–1910. [Google Scholar] [CrossRef]
- Liu, Z.; Wang, L. A Robust Strategy for Leveraging Soft Open Points to Mitigate Load Altering Attacks. IEEE Trans. Smart Grid 2022, 13, 1555–1569. [Google Scholar] [CrossRef]
- Sun, F.; Ma, J.; Yu, M.; Wei, W. Optimized Two-Time Scale Robust Dispatching Method for the Multi-Terminal Soft Open Point in Unbalanced Active Distribution Networks. IEEE Trans. Sustain. Energy 2021, 12, 587–598. [Google Scholar] [CrossRef]
- Wang, J.; Zhou, N.; Chung, C.Y.; Wang, Q. Coordinated Planning of Converter-Based DG Units and Soft Open Points Incorporating Active Management in Unbalanced Distribution Networks. IEEE Trans. Sustain. Energy 2020, 11, 2015–2027. [Google Scholar] [CrossRef]
- Ding, T.; Wang, Z.; Jia, W.; Chen, B.; Chen, C.; Shahidehpour, M. Multiperiod Distribution System Restoration With Routing Repair Crews, Mobile Electric Vehicles, and Soft-Open-Point Networked Microgrids. IEEE Trans. Smart Grid 2020, 11, 4795–4808. [Google Scholar] [CrossRef]
- Ji, H.; Wang, C.; Li, P.; Ding, F.; Wu, J. Robust Operation of Soft Open Points in Active Distribution Networks With High Penetration of Photovoltaic Integration. IEEE Trans. Sustain. Energy 2019, 10, 280–289. [Google Scholar] [CrossRef]
- Ouyang, S.; Liu, J.; Yang, Y.; Chen, X.; Song, S.; Wu, H. DC Voltage Control Strategy of Three-Terminal Medium-Voltage Power Electronic Transformer-Based Soft Normally Open Points. IEEE Trans. Ind. Electron. 2020, 67, 3684–3695. [Google Scholar] [CrossRef]
- Yang, X.; Xu, C.; Zhang, Y.; Yao, W.; Wen, J.; Cheng, S. Real-Time Coordinated Scheduling for ADNs With Soft Open Points and Charging Stations. IEEE Trans. Power Syst. 2021, 36, 5486–5499. [Google Scholar] [CrossRef]
- Liang, X.; Saaklayen, M.A.; Igder, M.A.; Shawon, S.M.R.H.; Faried, S.O.; Janbakhsh, M. Planning and Service Restoration Through Microgrid Formation and Soft Open Points for Distribution Network Modernization: A Review. IEEE Trans. Ind. Appl. 2022, 36, 1843–1857. [Google Scholar] [CrossRef]
- Huo, Y.; Li, P.; Ji, H.; Yan, J.; Song, G.; Wu, J.; Wang, C. Data-Driven Adaptive Operation of Soft Open Points in Active Distribution Networks. IEEE Trans. Ind. Appl. 2021, 17, 8230–8242. [Google Scholar] [CrossRef]
- Zheng, L.; Kandula, R.P.; Divan, D. Robust Predictive Control for Modular Solid-State Transformer With Reduced DC Link and Parameter Mismatch. IEEE Trans. Power Electron. 2021, 36, 14295–14311. [Google Scholar] [CrossRef]
- Zhang, Z.; Fang, H.; Gao, F.; Rodríguez, J.; Kennel, R. Multiple-Vector Model Predictive Power Control for Grid-Tied Wind Turbine System With Enhanced Steady-State Control Performance. IEEE Trans. Power Electron. 2017, 64, 6287–6298. [Google Scholar] [CrossRef]
- Pamshetti, V.B.; Singh, S.; Thakur, A.K.; Singh, S.P. Multistage Coordination Volt/VAR Control With CVR in Active Distribution Network in Presence of Inverter-Based DG Units and Soft Open Points. IEEE Trans. Ind. Appl. 2021, 57, 2035–2047. [Google Scholar] [CrossRef]
- Wang, Z.; Zhou, H.; Huo, Q.; Hao, S. Three-Vector-Based Low Complexity Model Predictive Control for Soft Open Point. Math. Probl. Eng. 2022, 2022, 1526676. [Google Scholar] [CrossRef]
- Ivic, D.R.; Stefanov, P.C. An Extended Control Strategy for Weakly Meshed Distribution Networks With Soft Open Points and Distributed Generation. IEEE Access 2021, 9, 137886–137901. [Google Scholar] [CrossRef]
- Sarantakos, I.; Zografou-Barredo, N.-M.; Huo, D.; Greenwood, D. A Reliability-Based Method to Quantify the Capacity Value of Soft Open Points in Distribution Networks. IEEE Trans. Power Syst. 2021, 36, 5032–5043. [Google Scholar] [CrossRef]
- Jia, L.; Lakshmikanthan, S.; Li, X.; Liu, Y. New Modeling Method and Design Optimization for a Soft-Switched DC–DC Converter. IEEE Trans. Power Electron. 2018, 33, 5754–5772. [Google Scholar] [CrossRef]
- Fuad, K.S.; Hafezi, H.; Kauhaniemim, K.; Laaksonen, H. Soft Open Point in Distribution Networks. IEEE Access 2020, 8, 210550–210565. [Google Scholar] [CrossRef]
- Li, B.; Liang, Y.; Wang, G.; Li, H.; Ding, J. A control strategy for soft open points based on adaptive voltage droop outer-loop control and sliding mode inner-loop control with feedback linearization. Int. J. Electr. Power Energy Syst. 2020, 122, 106205. [Google Scholar] [CrossRef]
- Repecho, V.; Biel, D.; Olm, J.M.; Fossas, E. Robust sliding mode control of a DC/DC Boost converter with switching frequency regulation. J. Frankl. Inst. 2018, 355, 5367–5383. [Google Scholar] [CrossRef]
- Liu, X.; Shan, Z.; Li, Y. Dynamic boundary layer based neural network quasi-sliding mode control for soft touching down on asteroid. Adv. Space Res. 2017, 59, 2173–2185. [Google Scholar] [CrossRef]
- Kumar, V.; Mohanty, S.R.; Kumar, S. Event Trigger Super Twisting Sliding Mode Control for DC Micro Grid With Matched/Unmatched Disturbance Observer. IEEE Trans. Smart Grid 2020, 11, 3837–3849. [Google Scholar] [CrossRef]
- Zheng, X.; Li, P.; Li, H.; Ding, D. Adaptive backstepping-based NTSM control for unmatched uncertain nonlinear systems. J. Syst. Eng. Electron. 2015, 26, 557–564. [Google Scholar] [CrossRef]
- Sánchez, B.; Cuvas, C.; Ordaz, P.; Santos-Sánchez, O.; Poznyak, A. Full-Order Observer for a Class of Nonlinear Systems With Unmatched Uncertainties: Joint Attractive Ellipsoid and Sliding Mode Concepts. IEEE Trans. Ind. Electron. 2020, 67, 5677–5686. [Google Scholar] [CrossRef]
- Zhang, Y.; Zhang, Q.; Zhang, J.; Wang, Y. liding Mode Control for Fuzzy Singular Systems With Time Delay Based on Vector Integral Sliding Mode Surface. IEEE Trans. Fuzzy Syst. 2020, 28, 768–782. [Google Scholar] [CrossRef]
- Elkayam, M.; Kolesnik, S.; Kuperman, A. Guidelines to Classical Frequency-Domain Disturbance Observer Redesign for Enhanced Rejection of Periodic Uncertainties and Disturbances. IEEE Trans. Power Electron. 2019, 34, 3986–3995. [Google Scholar] [CrossRef]
- Yueneng, Y.; Ye, Y. Backstepping sliding mode control for uncertain strict-feedback nonlinear systems using neural-network-based adaptive gain scheduling. J. Syst. Eng. Electron. 2018, 34, 580–586. [Google Scholar]
- Rubagotti, M.; Estrada, A.; Castanos, F.; Ferrara, A.; Fridman, L. Integral Sliding Mode Control for Nonlinear Systems With Matched and Unmatched Perturbations. J. Syst. Eng. Electron. 2011, 56, 2699–2704. [Google Scholar] [CrossRef]
- Yang, J.; Li, S.; Yu, X. Sliding-Mode Control for Systems With Mismatched Uncertainties via a Disturbance Observer. IEEE Trans. Ind. Electron. 2013, 60, 160–169. [Google Scholar] [CrossRef]
- Ding, Z. Consensus Disturbance Rejection With Disturbance Observers. IEEE Trans. Ind. Electron. 2015, 62, 5829–5837. [Google Scholar] [CrossRef]
- Feng, Y.; Zhou, M.; Zheng, X.; Han, F.; Yu, X. Full-order Terminal Ssliding-mode Control of MIMO Systems with Unmatched Uncertainties. J. Frankl. Inst. 2018, 335, 653–674. [Google Scholar] [CrossRef]
- Wang, Z.; Sheng, L.; Huo, Q.; Hao, S. An Improved Model Predictive Control Method for Three-Port Soft Open Point. Math. Probl. Eng. 2021, 2021, 9910451. [Google Scholar] [CrossRef]
- Feng, Y.; Han, F.; Yu, X. Chattering Free Full-order Slidng-mode Control. Automatica 2014, 50, 1310–1314. [Google Scholar] [CrossRef]












| Symbol | Mean | Value |
|---|---|---|
| Grid-phase voltage | 220 V | |
| Load-grid-phase voltage | 220 V | |
| Voltage frequency | 50 Hz | |
| DC-side voltage | 850 V | |
| C | DC-side capacitor | 5000 |
| Grid resistance | ||
| Load-grid resistance | ||
| Grid inductances | 20 mH | |
| Load-grid inductance | 20 mH |
| Control | Outer-Loop Controller | Inner-Loop Controller |
|---|---|---|
| MPC | PI controller | Model predictive controller |
| LSM | ||
| FOSM | 15,000 | 15,000, |
| Control | Controller |
|---|---|
| MPC | Model predictive controller |
| LSM | |
| FOTSM |
Publisher’s Note: MDPI stays neutral with regard to jurisdictional claims in published maps and institutional affiliations. |
© 2022 by the authors. Licensee MDPI, Basel, Switzerland. This article is an open access article distributed under the terms and conditions of the Creative Commons Attribution (CC BY) license (https://creativecommons.org/licenses/by/4.0/).
Share and Cite
Zhou, M.; Su, H.; Zhou, H.; Wang, L.; Liu, Y.; Yu, H. Full-Order Terminal Sliding-Mode Control for Soft Open Point. Energies 2022, 15, 4999. https://doi.org/10.3390/en15144999
Zhou M, Su H, Zhou H, Wang L, Liu Y, Yu H. Full-Order Terminal Sliding-Mode Control for Soft Open Point. Energies. 2022; 15(14):4999. https://doi.org/10.3390/en15144999
Chicago/Turabian StyleZhou, Minghao, Hongyu Su, Haoyu Zhou, Likun Wang, Yi Liu, and Haofan Yu. 2022. "Full-Order Terminal Sliding-Mode Control for Soft Open Point" Energies 15, no. 14: 4999. https://doi.org/10.3390/en15144999
APA StyleZhou, M., Su, H., Zhou, H., Wang, L., Liu, Y., & Yu, H. (2022). Full-Order Terminal Sliding-Mode Control for Soft Open Point. Energies, 15(14), 4999. https://doi.org/10.3390/en15144999
