Numerical Investigation of Flow and Heat Transfer in Rectangular Microchannels with and without Semi-Elliptical Protrusions
Abstract
:1. Introduction
2. Numerical Method
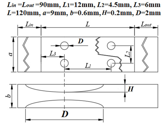
2.1. Physical Model and Boundary Conditions
2.2. Data Reduction
2.3. Method Validation
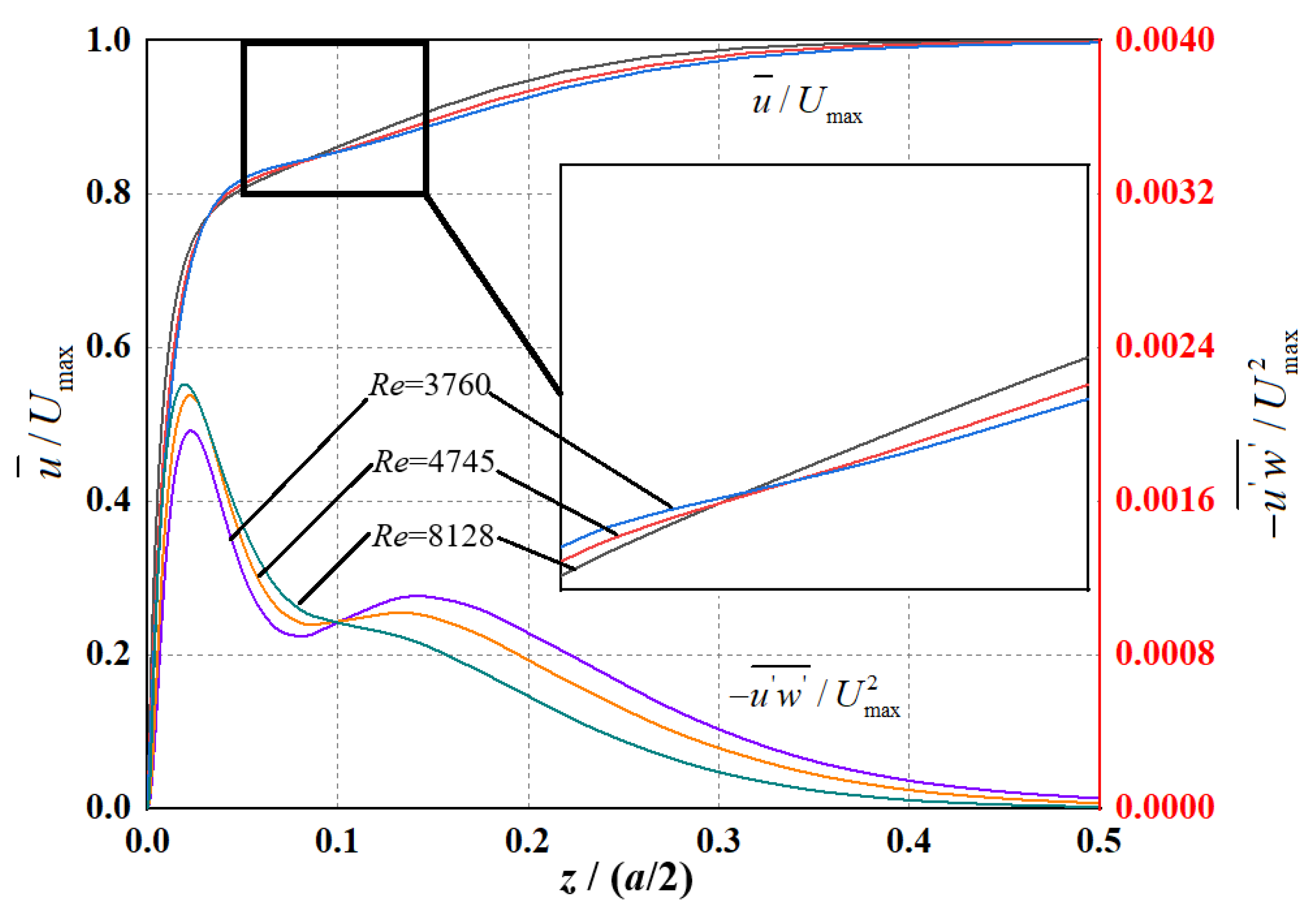
2.4. Grid Independence Study
2.5. Length Selection of Inlet Section
3. Results and Discussion
3.1. Smooth Channel (Channel without Protrusions)
3.2. Roughened Channel (Channel with Protrusions)
4. Conclusions
- In the smooth channel, when 2214 < Re < 3589, the turbulent flow area near the sidewall tends to expand to the middle of the channel, and mixes after meeting in the channel, forming an Λ-shaped velocity and turbulent kinetic energy distribution. The flow and turbulence are uniformly distributed downstream of the mixing point. As the Reynolds number increases, the mixing point is closer to the inlet, approximately reaching the center of the channel when Re = 3133. The heat transfer is significantly affected by the turbulent kinetic energy, showing an Λ-shape distribution and appearing higher at the mixing point. In practical application, attention should be paid to this Λ-shaped nonuniform heat transfer caused by the entrance effect.
- In the roughened channel, the flow and heat transfer laws change at Re = 1214, 2374, 3815. When Re < 1214, the turbulence formed by the protrusion is almost all behind it and does not spread to both sides. When 1214 < Re < 2374, the turbulence caused by the protrusions gradually spreads to the middle and both sides of the channel with the increase in Re. When 2374 < Re < 3815, the turbulence caused by the two columns of protrusions meets in the middle of the channel and forms stronger turbulence downstream. When Re > 3815, the flow in the channel is all turbulent. In addition, the Coanda effect exists when Re < 3815, and is the most significant when 1214 < Re < 2374. The Coanda effect causes asymmetry in flow and heat transfer. Users should pay attention to the different heat transfer behaviors near the protrusions at different Re.
- Near the side wall, there is an area that is significantly affected by the three wall shear stresses and where the eddy viscosity is larger. Near this area, the boundary layer is thicker and the heat transfer is weaker. If the uniformity of heat transfer is pursued in similar microchannels, it is recommended to appropriately adjust the perpendicular corner to a rounded corner or other forms.
- The thermal entropy generation rate and frictional entropy generation rate of the smooth and roughened channels both increase with the Reynolds number, and the presence of protrusions does not reduce the irreversibility of heat transfer and friction.
- The performance evaluation criteria (PEC) increases first and then decreases with Re. The maximum PEC is 1.80 when Re = 2004. From the perspective of comprehensive heat transfer, it is recommended to use this roughened channel when the Reynolds number is less than 2696, so that the PEC is greater than 1.
Author Contributions
Funding
Acknowledgments
Conflicts of Interest
Nomenclature
| a | the width of the microchannel, mm | PEC | performance evaluation criteria, - | 
| b | the height of the microchannel, mm | Re | Reynolds number, , - | 
| Cp | specific heat, J kg−1·K−1 | Sg | total entropy production rate, W K−1 | 
| D | the diameter of protrusions, mm | Sg, viscous | frictional entropy production rate, W K−1 | 
| Dh | hydraulic diameter of the channel, mm | Sg, thermal | thermal entropy production rate, W K−1 | 
| f | friction factor, - | T | temperature, K | 
| f∞ | friction factor when Lin = 480, - | uin | the average velocity of the entrance, m s−1 | 
| H | the depth of protrusions, mm | Umax | maximum value of velocity, m s−1 | 
| h | the surface heat transfer coefficient, W m−2 K−1 | X, Y, Z | dimensional directions, - | 
| k | turbulent kinetic energy, m2 s−2 | x, y, z | dimensional coordinates, mm | 
| l | nondimensionalized length of the channel, - | Greek | |
| lin | nondimensionalized length of the inlet section, - | α | aspect ratio, , - | 
| L | the length of the microchannel, mm | ε | dissipation rate of turbulent kinetic energy, - | 
| L1 | the distance between two rows of pits in the direction of flow, mm | ρ | density, kg m−3 | 
| L2 | the distance between two rows of pits in the vertical direction of flow, mm | μ | dynamic viscosity, kg m−1 s−1 | 
| L3 | the distance between the first pit and the entrance, mm | μt | eddy viscosity, kg m−1 s−1 | 
| Lin | the length of inlet section, mm | μ0 | nondimensionalized eddy viscosity, - | 
| Lout | the length of outlet section, mm | ν | kinematic viscosity, m s−2 | 
| Nu | Nusselt number, - | λ | the thermal conductivity, W m−1 K−1 | 
| Nu1 | Nusselt number of protrusions, - | Superscripts and subscripts | |
| Nu2 | Nusselt number of primary walls, - | — | time-averaged | 
| N | nondimensional total entropy production rate, - | ave | average value | 
| Nviscous | nondimensional frictional entropy production rate, - | in | inlet | 
| Nthermal | nondimensional thermal entropy production rate, - | x | local | 
| ΔP | the pressures difference between the inlet and outlet, Pa | w | wall | 
| Pr | Prandtl number, - | 0 | smooth channel | 
| Prt | turbulent Prandtl number, - | ||
References
- Tuckerman, D.B.; Pease, R.F.W. High-performance heat sinking for VLSI. IEEE Electron Device Lett. 1981, 2, 126–129. [Google Scholar] [CrossRef]
- Bunker, R.S. Gas turbine cooling: Moving from macro to micro cooling. Turbo Expo: Power for Land, Sea, and Air. Am. Soc. Mech. Eng. 2013, 55164, V03CT14A002. [Google Scholar] [CrossRef]
- Mehendale, S.S.; Jacobi, A.M.; Shah, R.K. Fluid Flow and Heat Transfer at Micro- and Meso-Scales with Application to Heat Exchanger Design. Appl. Mech. Rev. 2000, 53, 175–193. [Google Scholar] [CrossRef]
- Kandlikar, S.G.; Grande, W.J. Evolution of microchannel flow passages—thermohydraulic performance and fabrication technology. Heat Transf. Eng. 2003, 24, 3–17. [Google Scholar] [CrossRef]
- Celata, G.P. Heat Transfer and Fluid Flow in Microchannels; Begell House: New York, NY, USA, 2004. [Google Scholar]
- Peng, X.F.; Peterson, G.P.; Wang, B.X. Frictional Flow Characteristics of Water Flowing through Rectangular Microchannels. Exp. Heat Transf. 1994, 7, 249–264. [Google Scholar] [CrossRef]
- Peng, X.F.; Peterson, G.P.; Wang, B.X. Heat Transfer Characteristics of Water Flowing through Microchannels. Exp. Heat Transf. 1994, 7, 265–283. [Google Scholar] [CrossRef]
- Popescu, A.; Welty, J.R.; Pfund, D.; Rector, D. Thermal measurements in rectangular microchannels. In Proceedings of the ASME 2002 International Mechanical Engineering Congress and Exposition, New Orleans, LA, USA, 17–22 November 2002; pp. 277–284. [Google Scholar] [CrossRef]
- Zhang, J.; Diao, Y.H.; Zhao, Y.H.; Zhang, Y.N. An experimental study of the characteristics of fluid flow and heat transfer in the multiport microchannel flat tube. Appl. Therm. Eng. 2014, 65, 209–218. [Google Scholar] [CrossRef]
- Gao, P.; Le Person, S.; Favre-Marinet, M. Scale effects on hydrodynamics and heat transfer in two-dimensional mini and microchannels. Int. J. Therm. Sci. 2002, 41, 1017–1027. [Google Scholar] [CrossRef] [Green Version]
- Qu, W. Experimental and numerical study of pressure drop and heat transfer in a single-phase micro-channel heat sink. Int. J. Heat Mass Transf. 2002, 45, 2549–2565. [Google Scholar] [CrossRef]
- Toh, K.C.; Chen, X.Y.; Chai, J.C. Numerical computation of fluid flow and heat transfer in microchannels. Int. J. Heat Mass Transf. 2002, 45, 5133–5141. [Google Scholar] [CrossRef]
- Judy, J.; Maynes, D.; Webb, B.W. Characterization of frictional pressure drop for liquid flows through microchannels. Int. J. Heat Mass Transf. 2002, 45, 3477–3489. [Google Scholar] [CrossRef]
- Lee, P.-S.; Garimella, S.V.; Liu, D. Investigation of heat transfer in rectangular microchannels. Int. J. Heat Mass Transf. 2005, 48, 1688–1704. [Google Scholar] [CrossRef] [Green Version]
- Liu, D.; Garimella, S.V. Investigation of Liquid Flow in Microchannels. J. Thermophys. Heat Transf. 2004, 18, 65–72. [Google Scholar] [CrossRef] [Green Version]
- Xu, B.; Ooti, K.T.; Wong, N.T.; Choi, W.K. Experimental investigation of flow friction for liquid flow in microchannels. Int. J. Heat Mass Transf. 2000, 27, 1165–1176. [Google Scholar] [CrossRef]
- Morini, G.L. Scaling effects for liquid flows in microchannels. Heat Transf. Eng. 2006, 27, 64–73. [Google Scholar] [CrossRef]
- Rosa, P.; Karayiannis, T.G.; Collins, M.W. Single-phase heat transfer in microchannels: The importance of scaling effects. Appl. Therm. Eng. 2009, 29, 3447–3468. [Google Scholar] [CrossRef] [Green Version]
- Mokrani, O.; Bourouga, B.; Castelain, C.; Peerhossaini, H. Fluid flow and convective heat transfer in flat microchannels. Int. J. Heat Mass Transf. 2009, 52, 1337–1352. [Google Scholar] [CrossRef]
- Sahar, A.M.; Özdemir, M.R.; Fayyadh, E.M.; Wissink, J.; Mahmoud, M.M.; Karayiannis, T.G. Single phase flow pressure drop and heat transfer in rectangular metallic microchannels. Appl. Therm. Eng. 2016, 93, 1324–1336. [Google Scholar] [CrossRef]
- Moharana, M.K.; Singh, P.K.; Khandekar, S. Optimum Nusselt Number for Simultaneously Developing Internal Flow Under Conjugate Conditions in a Square Microchannel. J. Heat Transf. 2012, 134, 149–169. [Google Scholar] [CrossRef]
- Fedorov, A.G.; Viskanta, R. Three-dimensional conjugate heat transfer in the microchannel heat sink for electronic packaging. Int. J. Heat Mass Transf. 2000, 43, 399–415. [Google Scholar] [CrossRef]
- Gamrat, G.; Favre-Marinet, M.; Asendrych, D. Conduction and entrance effects on laminar liquid flow and heat transfer in rectangular microchannels. Int. J. Heat Mass Transf. 2005, 48, 2943–2954. [Google Scholar] [CrossRef] [Green Version]
- Sahar, A.M.; Wissink, J.; Mahmoud, M.M.; Karayiannis, T.G.; Ashrul Ishak, M.S. Effect of hydraulic diameter and aspect ratio on single phase flow and heat transfer in a rectangular microchannel. Appl. Therm. Eng. 2017, 115, 793–814. [Google Scholar] [CrossRef]
- Kandlikar, S.; Garimella, S.; Li, D.; Colin, S.; King, M.R. Heat Transfer and Fluid Flow in Minichannels and Microchannels; Elsevier: Amsterdam, The Netherlands, 2005. [Google Scholar]
- Rohsenow, W.M.; Hartnett, J.P.; Cho, Y.I. Handbook of Heat Transfer; McGraw-Hill: New York, NY, USA, 1998. [Google Scholar]
- Xu, M.; Lu, H.; Gong, L.; Chai, J.C.; Duan, X. Parametric numerical study of the flow and heat transfer in microchannel with dimples. Int. J. Heat Mass Transf. 2016, 76, 348–357. [Google Scholar] [CrossRef] [Green Version]
- Ligrani, P.M.; Harrison, J.L.; Mahmmod, G.I.; Hill, M.L. Flow structure due to dimple depressions on a channel surface. Phys. Fluids 2001, 13, 3442–3451. [Google Scholar] [CrossRef]
- Burgess, N.K.; Oliveira, M.M.; Ligrani, P.M. Nusselt Number Behavior on Deep Dimpled Surfaces within a Channel. J. Heat Transf. 2003, 125, 11–18. [Google Scholar] [CrossRef]
- Won, S.Y.; Ligrani, P.M. Numerical predictions of flow structure and local nusselt number ratios along and above dimpled surfaces with different dimple depths in a channel. Numer. Heat Transf. 2004, 46, 549–570. [Google Scholar] [CrossRef]
- Burgess, N.K.; Ligrani, P.M. Effects Of Dimple Depth on Channel Nusselt Numbers and Friction Factors. J. Heat Transf. 2005, 127, 839–847. [Google Scholar] [CrossRef]
- Park, J.; Ligrani, P.M. Numerical predictions of heat transfer and fluid flow characteristics for seven different dimpled surfaces in a channel. Numer. Heat Transf. 2005, 47, 209–232. [Google Scholar] [CrossRef]
- Elyyan, M.A.; Rozati, A.; Tafti, D.K. Investigation of dimpled fins for heat transfer enhancement in compact heat exchangers. Int. J. Heat Mass Transf. 2008, 51, 2950–2966. [Google Scholar] [CrossRef]
- Wei, X.J.; Joshi, Y.K.; Ligrani, P.M. Numerical Simulation of Laminar Flow and Heat Transfer Inside a Microchannel with One Dimpled Surface. J. Electron. Packag. 2007, 129, 63–70. [Google Scholar] [CrossRef]
- Isaev, S.A.; Kornev, N.V.; Leontiev, A.I.; Hassel, E. Influence of the Reynolds number and the spherical dimple depth on turbulent heat transfer and hydraulic loss in a narrow channel—ScienceDirect. Int. J. Heat Mass Transf. 2010, 53, 178–197. [Google Scholar] [CrossRef]
- Mahmood, G.I.; Ligrani, P.M.; Sabbagh, M.Z. Heat Transfer in a Channel with Dimples and Protrusions on Opposite Walls. J. Thermophys. Heat Transf. 2012, 15, 275–283. [Google Scholar] [CrossRef]
- Lee, J.; Lee, K.S. Correlations and shape optimization in a channel with aligned dimples and protrusions. Int. J. Heat Mass Transf. 2013, 64, 444–451. [Google Scholar] [CrossRef]
- Lan, J.; Xie, Y.; Di, Z. Flow and Heat Transfer in Microchannels With Dimples and Protrusions. J. Heat Transf. 2012, 134, 021901. [Google Scholar] [CrossRef]
- Xie, Y.; Qu, H.; Zhang, D. Numerical investigation of flow and heat transfer in rectangular channel with teardrop dimple/protrusion. Int. J. Heat Mass Transf. 2015, 84, 486–496. [Google Scholar] [CrossRef]
- Terzis, A.; Wagner, G.; von Wolfersdorf, J.; Ott, P.; Weigand, B. Hole staggering effect on the cooling performance of narrow impingement channels using the transient liquid crystal technique. J. Heat Transf. 2014, 136, 071701. [Google Scholar] [CrossRef]
- Boyce, M.P. Gas Turbine Engineering Handbook; Elsevier: Amsterdam, The Netherlands, 2011. [Google Scholar]
- Javadi, P.; Rashidi, S.; Esfahani, J.A. Effects of rib shapes on the entropy generation in a ribbed duct. J. Thermophys. Heat Transf. 2018, 32, 691–701. [Google Scholar] [CrossRef]
- Drikakis, D.; Frank, M.; Tabor, G. Multiscale Computational Fluid Dynamics. Energies 2019, 12, 3272. [Google Scholar] [CrossRef] [Green Version]
- Shah, R.K.; London, A.L. Laminar Flow Forced Convection in Ducts; Supplement to Advances in Heat Transfer; Elsevier Science Publishers: New York, NY, USA, 1978. [Google Scholar]
- Cioncolini, A.; Santini, L. An experimental investigation regarding the laminar to turbulent flow transition in helically coiled pipes. Exp. Therm. Fluid Sci. 2006, 30, 367–380. [Google Scholar] [CrossRef]
- Gnielinski, V. New equations for heat and mass transfer in turbulent pipe and channel flow. Int. Chem. Eng. 1976, 16, 359–368. [Google Scholar]
- Bourque, C.; Newman, B.G. Reattachment of a Two-Dimensional, Incompressible Jet to an Adjacent Flat Plate. Aeron Q. 1960, 11, 201–232. [Google Scholar] [CrossRef]
- Rathore, S.K.; Das, M.K. Comparison of two low-Reynolds number turbulence models for fluid flow study of wall bounded jets. Int. J. Heat Mass Transf. 2013, 61, 365–380. [Google Scholar] [CrossRef]
































| Mesh | Grid Number, Million | f × 102 | Diff, % | Nu | Diff, % | 
|---|---|---|---|---|---|
| Mesh 1 | 0.768 | 7.677 | 0.891% | 40.110 | 3.801% | 
| Mesh 2 | 1.593 | 7.709 | 0.478% | 41.377 | 0.763% | 
| Mesh 3 | 2.805 | 7.733 | 0.168% | 41.611 | 0.201% | 
| Mesh 4 | 3.278 | 7.746 | Ref | 41.695 | Ref | 
| Publisher’s Note: MDPI stays neutral with regard to jurisdictional claims in published maps and institutional affiliations. | 
© 2022 by the authors. Licensee MDPI, Basel, Switzerland. This article is an open access article distributed under the terms and conditions of the Creative Commons Attribution (CC BY) license (https://creativecommons.org/licenses/by/4.0/).
Share and Cite
Sun, H.; Fu, H.; Yan, L.; Ma, H.; Luan, Y.; Magagnato, F. Numerical Investigation of Flow and Heat Transfer in Rectangular Microchannels with and without Semi-Elliptical Protrusions. Energies 2022, 15, 4927. https://doi.org/10.3390/en15134927
Sun H, Fu H, Yan L, Ma H, Luan Y, Magagnato F. Numerical Investigation of Flow and Heat Transfer in Rectangular Microchannels with and without Semi-Elliptical Protrusions. Energies. 2022; 15(13):4927. https://doi.org/10.3390/en15134927
Chicago/Turabian StyleSun, Haiou, Hao Fu, Lanyi Yan, Hongfei Ma, Yigang Luan, and Franco Magagnato. 2022. "Numerical Investigation of Flow and Heat Transfer in Rectangular Microchannels with and without Semi-Elliptical Protrusions" Energies 15, no. 13: 4927. https://doi.org/10.3390/en15134927
APA StyleSun, H., Fu, H., Yan, L., Ma, H., Luan, Y., & Magagnato, F. (2022). Numerical Investigation of Flow and Heat Transfer in Rectangular Microchannels with and without Semi-Elliptical Protrusions. Energies, 15(13), 4927. https://doi.org/10.3390/en15134927
 
         
                                                
 
       